Development and Validation of a Small for Gestational Age Screening Model at 21–24 Weeks Based on the Real-World Clinical Data
Abstract
1. Introduction
2. Materials and Methods
2.1. Study Population
2.2. Variables Measurements
2.3. Outcomes
2.4. Data Processing
2.5. Statistical Analysis
3. Result
3.1. Baseline Demographic, Blood Testing, and Ultrasonographic Characteristics of Pregnant Women
3.2. Model Development: Univariate and Multivariate Analysis
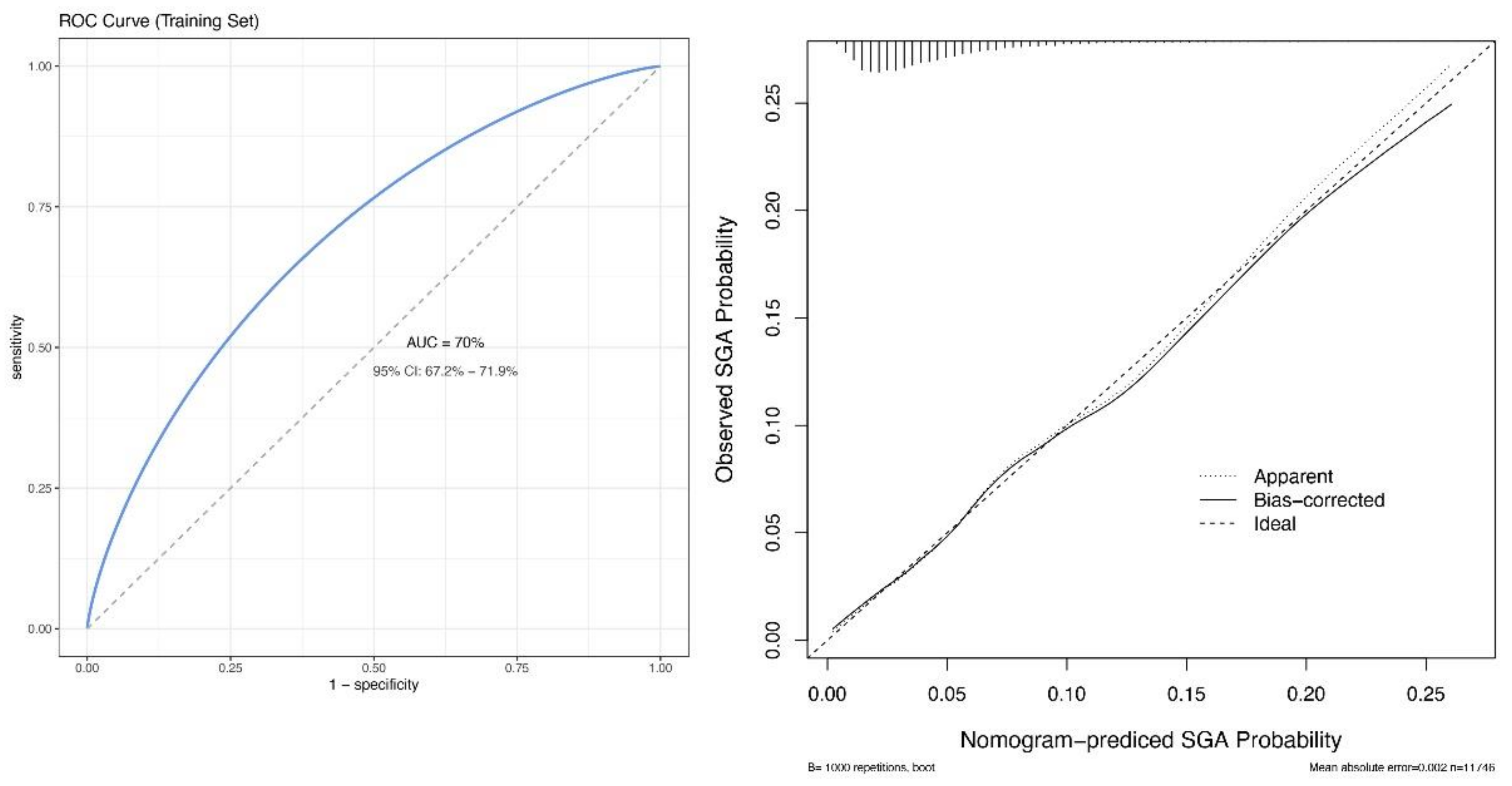
3.3. Model Performance and Validation
3.4. Model Cost-Benefit Analysis (DCA)
3.5. The Performance of the Preterm Subgroup
4. Discussion
5. Conclusions
Supplementary Materials
Author Contributions
Funding
Institutional Review Board Statement
Informed Consent Statement
Data Availability Statement
Acknowledgments
Conflicts of Interest
References
- Francis, A.; Hugh, O.; Gardosi, J. Customized vs INTERGROWTH-21st standards for the assessment of birthweight and stillbirth risk at term. Am. J. Obstet. Gynecol. 2018, 218, S692–S699. [Google Scholar] [CrossRef] [PubMed]
- American College of Obstetricians and Gynecologists’ Committee on Practice Bulletins. Obstetrics and the Society for Maternal-Fetal Medicin ACOG Practice Bulletin No. 204, ACOG Practice Bulletin No. 204: Fetal growth restriction. Obstet. Gynecol. 2019, 133, e97–e109. [Google Scholar] [CrossRef] [PubMed]
- Melamed, N.; Baschat, A.; Yinon, Y.; Athanasiadis, A.; Mecacci, F.; Figueras, F.; Berghella, V.; Nazareth, A.; Tahlak, M.; McIntyre, H.D.; et al. FIGO (International Federation of Gynecology and Obstetrics) initiative on fetal growth: Best practice advice for screening, diagnosis, and management of fetal growth restriction. Int. J. Gynecol. Obstet. 2021, 152 (Suppl. 1), 3–57. [Google Scholar] [CrossRef] [PubMed]
- Nawathe, A.; Lees, C. Early onset fetal growth restriction. Best Pr. Res. Clin. Obstet. Gynaecol. 2016, 38, 24–37. [Google Scholar] [CrossRef]
- Pay, A.; Frøen, J.F.; Staff, A.C.; Jacobson, B.; Gjessing, H.K. Prediction of small-for-gestational-age status by symphysis-fundus height: A registry-based population cohort study. BJOG Int. J. Obstet. Gynaecol. 2016, 123, 1167–1173. [Google Scholar] [CrossRef]
- Bais, J.M.; Eskes, M.; Pel, M.; Bonsel, G.J.; Bleker, O.P. Effectiveness of detection of intrauterine growth retardation by abdominal palpation as screening test in a low risk population: An observational study. Eur. J. Obstet. Gynecol. Reprod. Biol. 2004, 116, 164–169. [Google Scholar] [CrossRef]
- Alfirevic, Z.; Stampalija, T.; Dowswell, T. Fetal and umbilical Doppler ultrasound in high-risk pregnancies. Cochrane Database Syst. Rev. 2017, 6, CD007529. [Google Scholar] [CrossRef]
- Sotiriadis, A.; Figueras, F.; Eleftheriades, M.; Papaioannou, G.K.; Chorozoglou, G.; Dinas, K.; Papantoniou, N. First-trimester and combined first- and second-trimester prediction of small-for-gestational age and late fetal growth restriction. Ultrasound Obstet. Gynecol. 2019, 53, 55–61. [Google Scholar] [CrossRef]
- Poon, L.C.; Lesmes, C.; Gallo, D.M.; Akolekar, R.; Nicolaides, K.H. Prediction of small-for-gestational-age neonates: Screening by biophysical and biochemical markers at 19–24 weeks. Ultrasound Obstet. Gynecol. 2015, 46, 437–445. [Google Scholar] [CrossRef]
- Ciobanu, A.; Rouvali, A.; Syngelaki, A.; Akolekar, R.; Nicolaides, K.H. Prediction of small for gestational age neonates: Screening by maternal factors, fetal biometry, and biomarkers at 35–37 weeks’ gestation. Am. J. Obstet. Gynecol. 2019, 220, 486.e1–486.e11. [Google Scholar] [CrossRef]
- Collins, G.S.; Reitsma, J.B.; Altman, D.G.; Moons, K.G.M. Transparent reporting of a multivariable prediction model for individual prognosis or diagnosis (TRIPOD): The TRIPOD statement. BMJ 2014, 350, g7594. [Google Scholar] [CrossRef]
- WHO Expert Consultation. Appropriate body-mass index for Asian populations and its implications for policy and intervention strategies. Lancet 2004, 363, 157–163. [Google Scholar] [CrossRef]
- Salomon, L.J.; Alfirevic, Z.; Berghella, V.; Bilardo, C.; Hernandez-Andrade, E.; Johnsen, S.L.; Kalache, K.; Leung, K.; Malinger, G.; Munoz, H.; et al. Practice guidelines for performance of the routine mid-trimester fetal ultrasound scan. Ultrasound Obstet. Gynecol. 2010, 37, 116–126. [Google Scholar] [CrossRef]
- Zhu, L.; Zhang, R.; Zhang, S.; Shi, W.; Yan, W.; Wang, X.; Lyu, Q.; Liu, L.; Zhou, Q.; Qiu, Q.; et al. Chinese neonatal birth weight curve for different gestational age. Chin. J. Pediatr. 2015, 53, 97–103. [Google Scholar]
- Sterne, J.A.C.; White, I.R.; Carlin, J.B.; Spratt, M.; Royston, P.; Kenward, M.G.; Wood, A.M.; Carpenter, J.R. Multiple imputation for missing data in epidemiological and clinical research: Potential and pitfalls. BMJ 2009, 338, b2393. [Google Scholar] [CrossRef]
- Vickers, A.J.; van Calster, B.; Steyerberg, E.W. A simple, step-by-step guide to interpreting decision curve analysis. Diagn. Progn. Res. 2019, 3, 18. [Google Scholar] [CrossRef]
- Niederberger, M.; Spranger, J. Delphi Technique in Health Sciences: A Map. Front. Public Health 2020, 8, 457. [Google Scholar] [CrossRef]
- Park, S.Y. Nomogram: An analogue tool to deliver digital knowledge. J. Thorac. Cardiovasc. Surg. 2018, 155, 1793. [Google Scholar] [CrossRef]
- Schlembach, D. Fetal growth restriction—Diagnostic work-up, management and delivery. Geburtshilfe Frauenheilkd 2020, 80, 1016–1025. [Google Scholar] [CrossRef]
- Christians, J.K.; Lennie, K.I.; Munoz, M.F.H.; Binning, N. PAPP-A2 deficiency does not exacerbate the phenotype of a mouse model of intrauterine growth restriction. Reprod. Biol. Endocrinol. 2018, 16, 58. [Google Scholar] [CrossRef]
- Lin, L.; Lu, C.; Chen, W.; Li, C.; Guo, V.Y. Parity and the risks of adverse birth outcomes: A retrospective study among Chinese. BMC Pregnancy Childbirth 2021, 21, 257. [Google Scholar] [CrossRef] [PubMed]
- Shah, P.S.; Knowledge Synthesis Group on Determinants of LBW/PT Births. Parity and low birth weight and preterm birth: A systematic review and meta-analyses. Acta Obstet. Gynecol. Scand. 2010, 89, 862–875. [Google Scholar] [CrossRef] [PubMed]
- Canteiro, R.; Bahamondes, M.V.; Fernandes, A.D.S.; Espejo-Arce, X.; Marchi, N.M.; Bahamondes, L. Length of the endometrial cavity as measured by uterine sounding and ultrasonography in women of different parities. Contraception 2010, 81, 515–519. [Google Scholar] [CrossRef] [PubMed]
- Prefumo, F.; Bhide, A.; Sairam, S.; Penna, L.; Hollis, B.; Thilaganathan, B. Effect of parity on second-trimester uterine artery Doppler flow velocity and waveforms. Ultrasound Obstet. Gynecol. 2003, 23, 46–49. [Google Scholar] [CrossRef] [PubMed]
- Desplanches, T.; Bouit, C.; Cottenet, J.; Szczepanski, E.; Quantin, C.; Fauque, P.; Sagot, P. Combined effects of increasing maternal age and nulliparity on hypertensive disorders of pregnancy and small for gestational age. Pregnancy Hypertens. 2019, 18, 112–116. [Google Scholar] [CrossRef]
- Palatnik, A.; De Cicco, S.; Zhang, L.; Simpson, P.; Hibbard, J.; Egede, L.E. The Association between Advanced Maternal Age and Diagnosis of Small for Gestational Age. Am. J. Perinatol. 2019, 37, 37–43. [Google Scholar] [CrossRef]
- Li, H.; Fan, C.; Mubarik, S.; Nabi, G.; Ping, Y.X. The trend in delayed childbearing and its potential consequences on pregnancy outcomes: A single center 9-years retrospective cohort study in Hubei, China. BMC Pregnancy Childbirth 2022, 22, 514. [Google Scholar] [CrossRef]
- Behboudi-Gandevani, S.; Ziaei, S.; Farahani, F.K.; Jasper, M. The perspectives of Iranian women on delayed childbearing: A qualitative study. J. Nurs. Res. 2015, 23, 313–321. [Google Scholar] [CrossRef]
- Martins, J.G.; Biggio, J.R.; Abuhamad, A. Diagnosis and management of fetal growth restriction: (Replaces Clinical Guideline Number 3, April 2012), Society For Maternal Fetal Medicine Consult Series. No. 52. Am. J. Obstet. Gynecol. 2020, 223, B2–B17. [Google Scholar] [CrossRef]
- He, J.; Chen, Z.; Wen, T.; Xu, L.; Chen, C.; Liu, P. Utility of placental diffusion-weighted magnetic resonance imaging in prenatal diagnosis of small for gestational age infants and pregnancy outcome prediction. Placenta 2022, 121, 91–98. [Google Scholar] [CrossRef]
- Baschat, A.A.; Weiner, C.P. Umbilical artery Doppler screening for detection of the small fetus in need of antepartum surveillance. Am. J. Obstet. Gynecol. 2000, 182 Pt. 1, 154–158. [Google Scholar] [CrossRef]
- Macdonald, T.M.; Hui, L.; Robinson, A.J.; Dane, K.M.; Middleton, A.L.; Tong, S.; Walker, S.P. Cerebral–placental–uterine ratio as novel predictor of late fetal growth restriction: Prospective cohort study. Ultrasound Obstet. Gynecol. 2019, 54, 367–375. [Google Scholar] [CrossRef]
- Rial-Crestelo, M.; Portilla, R.J.M.; Cancemi, A.; Caradeux, J.; Fernandez, L.; Peguero, A.; Gratacos, E.; Figueras, F. Added value of cerebro-placental ratio and uterine artery Doppler at routine third trimester screening as a predictor of SGA and FGR in non-selected pregnancies. J. Matern. Neonatal Med. 2018, 32, 2554–2560. [Google Scholar] [CrossRef]
- Villar, J.; Altman, D.G.; Purwar, M.; Noble, J.A.; Knight, H.E.; Ruyan, P.; Ismail, L.C.; Barros, F.C.; Lambert, A.; Papageorghiou, A.T.; et al. The objectives, design and implementation of the INTERGROWTH-21st Project. BJOG Int. J. Obstet. Gynaecol. 2013, 120 (Suppl. 2), 9–26. [Google Scholar] [CrossRef]






| Training Set | Validation Set | |||||
|---|---|---|---|---|---|---|
| Characteristic | Non-SGA 1 (n = 11,259) | SGA 1 (n = 487) | p-Value 2 | Non-SGA 1 (n = 11,516) | SGA 1 (n = 521) | p-Value 2 |
| BMI | 20.9 (19.5, 22.9) | 20.0 (18.7, 21.6) | <0.001 | 20.9 (19.5, 22.6) | 20.2 (18.7, 21.5) | <0.001 |
| GA | 39.1 (38.4, 40.0) | 39.1 (38.1, 39.9) | 0.002 | 39.1 (38.6, 40.0) | 39.0 (38.3, 39.9) | 0.010 |
| SBP | 110 (103, 118) | 110 (102, 119) | 0.8 | 110 (103, 118) | 109 (103, 116) | 0.14 |
| DBP | 68 (63, 74) | 69 (63, 75) | 0.5 | 69 (63, 75) | 68 (63, 74) | 0.4 |
| Age | 0.046 | 0.3 | ||||
| <35 | 8820 (78%) | 400 (82%) | 9113 (79%) | 422 (81%) | ||
| ≥35 | 2439 (22%) | 87 (18%) | 2403 (21%) | 99 (19%) | ||
| Hus age | 0.009 | 0.018 | ||||
| <35 | 7788 (69%) | 364 (75%) | 8386 (73%) | 404 (78%) | ||
| ≥35 | 3471 (31%) | 123 (25%) | 3130 (27%) | 117 (22%) | ||
| Edu | >0.9 | 0.6 | ||||
| Bachelor | 5865 (52%) | 256 (53%) | 5708 (50%) | 252 (48%) | ||
| Above | 2264 (20%) | 101 (21%) | 2206 (19%) | 99 (19%) | ||
| Below | 2778 (25%) | 114 (23%) | 2546 (22%) | 113 (22%) | ||
| Unknown | 352 (3.1%) | 16 (3.3%) | 1056 (9.2%) | 57 (11%) | ||
| Hus edu | 0.6 | 0.030 | ||||
| Bachelor | 5648 (50%) | 255 (52%) | 5427 (47%) | 248 (48%) | ||
| Above | 2519 (22%) | 111 (23%) | 2433 (21%) | 98 (19%) | ||
| Below | 2405 (21%) | 91 (19%) | 2280 (20%) | 92 (18%) | ||
| Unknown | 687 (6.1%) | 30 (6.2%) | 1376 (12%) | 83 (16%) | ||
| Gravidity | <0.001 | <0.001 | ||||
| 1 | 5202 (46%) | 296 (61%) | 5655 (49%) | 318 (61%) | ||
| 2 | 3384 (30%) | 120 (25%) | 3392 (29%) | 133 (26%) | ||
| ≥3 | 2673 (24%) | 71 (15%) | 2469 (21%) | 70 (13%) | ||
| Parity | <0.001 | <0.001 | ||||
| 1 | 7584 (67%) | 390 (80%) | 8095 (70%) | 432 (83%) | ||
| ≥2 | 3675 (33%) | 97 (20%) | 3421 (30%) | 89 (17%) | ||
| Smoking | 0.6 | 0.4 | ||||
| No | 10,831 (96%) | 471 (97%) | 10,371 (90%) | 460 (88%) | ||
| Yes | 54 (0.5%) | 3 (0.6%) | 81 (0.7%) | 4 (0.8%) | ||
| Unknown | 374 (3.3%) | 13 (2.7%) | 1064 (9.2%) | 57 (11%) | ||
| Alcohol | 0.4 | 0.4 | ||||
| No | 10,700 (95%) | 469 (96%) | 9765 (85%) | 432 (83%) | ||
| Yes | 185 (1.6%) | 5 (1.0%) | 687 (6.0%) | 32 (6.1%) | ||
| Unknown | 374 (3.3%) | 13 (2.7%) | 1064 (9.2%) | 57 (11%) | ||
| Family history of diabetes or hypertension | 0.8 | 0.018 | ||||
| No | 8583 (76%) | 377 (77%) | 7603 (66%) | 313 (60%) | ||
| Yes | 2294 (20%) | 94 (19%) | 2317 (20%) | 120 (23%) | ||
| Unknown | 382 (3.4%) | 16 (3.3%) | 1596 (14%) | 88 (17%) | ||
| Conception | >0.9 | 0.2 | ||||
| Natural | 10,175 (90%) | 441 (91%) | 9705 (84%) | 434 (83%) | ||
| ART | 789 (7.0%) | 34 (7.0%) | 841 (7.3%) | 32 (6.1%) | ||
| Unknown | 295 (2.6%) | 12 (2.5%) | 970 (8.4%) | 55 (11%) | ||
| Training Set | Validation Set | |||||
|---|---|---|---|---|---|---|
| Characteristic | Non-SGA 1 (n = 11,259) | SGA 1 (n = 487) | p-Value 2 | Non-SGA 1 (n = 11,516) | SGA 1 (n = 521) | p-Value 2 |
| Placental location | 0.3 | 0.7 | ||||
| Normal | 10,831 (96%) | 475 (98%) | 11,035 (96%) | 503 (97%) | ||
| Low-lying | 192 (1.7%) | 5 (1.0%) | 197 (1.7%) | 8 (1.5%) | ||
| Previa | 236 (2.1%) | 7 (1.4%) | 284 (2.5%) | 10 (1.9%) | ||
| Velamentous Placenta | >0.9 | 0.5 | ||||
| No | 11,226 (99%) | 486 (99%) | 11,472 (100%) | 518 (99%) | ||
| Yes | 33 (0.3%) | 1 (0.2%) | 44 (0.4%) | 3 (0.6%) | ||
| Placental sinusoids | 0.7 | 0.4 | ||||
| No | 11,205 (99%) | 486 (99%) | 11,443 (99%) | 516 (99%) | ||
| Yes | 54 (0.5%) | 1 (0.2%) | 73 (0.6%) | 5 (1.0%) | ||
| SUA | 0.046 | 0.2 | ||||
| No | 11,230 (99%) | 483 (99%) | 11,479 (100%) | 518 (99%) | ||
| Yes | 29 (0.3%) | 4 (0.8%) | 37 (0.3%) | 3 (0.6%) | ||
| BPD | 56.0 (54.0, 58.0) | 55.0 (53.0, 58.0) | <0.001 | 56.0 (54.0, 58.0) | 55.0 (53.0, 57.0) | <0.001 |
| AC | 175 (169, 183) | 171 (164, 178) | <0.001 | 174 (167, 180) | 169 (163, 175) | <0.001 |
| HC | 199 (193, 206) | 195 (189, 203) | <0.001 | 198 (193, 204) | 195 (189, 201) | <0.001 |
| FL | 38.0 (37.0, 40.0) | 38.0 (36.0, 39.0) | <0.001 | 38.0 (37.0, 40.0) | 38.0 (36.0, 39.0) | <0.001 |
| HL | 36.0 (35.0, 38.0) | 36.0 (34.0, 37.0) | <0.001 | 36.0 (35.0, 38.0) | 35.0 (34.0, 37.0) | <0.001 |
| TTD | 55.0 (53.0, 58.0) | 54.0 (51.0, 56.0) | <0.001 | 55.0 (52.0, 57.0) | 53.0 (51.0, 56.0) | <0.001 |
| APTD | 57.0(54.0, 60.0) | 55.0 (53.0, 58.0) | <0.001 | 56.0 (54.0, 59.0) | 55.0 (52.0, 57.0) | <0.001 |
| AFV | 49 (43.0, 55.0) | 48 (42.0, 53.0) | 0.002 | 50 (45.0, 55.0) | 48 (43.0, 55.0) | 0.010 |
| Pl thickness | 26.0 (23.0, 28.0) | 25.0 (23.0, 28.0) | 0.012 | 26.0 (23.0, 28.0) | 25.0 (23.0, 28.0) | 0.002 |
| UA-S/D | 3.20 (2.85, 3.60) | 3.30 (2.91, 3.80) | <0.001 | 3.19 (2.81, 3.60) | 3.29 (2.91, 3.70) | <0.001 |
| UA-PI | 1.13 (1.02, 1.24) | 1.17 (1.05, 1.28) | <0.001 | 1.12 (1.01, 1.24) | 1.16 (1.04, 1.28) | <0.001 |
| UA-RI | 0.69 (0.65, 0.72) | 0.70 (0.66, 0.74) | <0.001 | 0.68 (0.65, 0.72) | 0.69 (0.66, 0.73) | <0.001 |
| HBA1C | 4.90 (4.80, 5.10) | 4.90 (4.80, 5.10) | 0.15 | 5.00 (4.80, 5.20) | 4.90 (4.80, 5.10) | <0.001 |
| FPG | 4.20 (3.95, 4.47) | 4.12 (3.87, 4.37) | <0.001 | 4.21 (3.97, 4.47) | 4.11 (3.88, 4.34) | <0.001 |
| GLU-1H | 7.66 (6.77, 8.80) | 7.50 (6.65, 8.54) | 0.008 | 7.68 (6.62, 8.81) | 7.62 (6.58, 8.77) | 0.3 |
| GLU-2H | 6.46 (5.64, 7.41) | 6.27 (5.49, 7.28) | 0.014 | 6.47 (5.67, 7.43) | 6.32 (5.44, 7.55) | 0.043 |
| TC | 4.47 (4.01, 4.96) | 4.39 (3.95, 4.88) | 0.054 | 4.43 (4.01, 4.91) | 4.46 (4.06, 4.95) | 0.3 |
| TG | 1.27 (1.01, 1.63) | 1.19 (0.96, 1.52) | <0.001 | 1.30 (1.03, 1.66) | 1.27 (1.01, 1.59) | 0.053 |
| HDL | 1.91 (1.65, 2.17) | 1.93 (1.67, 2.17) | 0.4 | 1.96 (1.70, 2.25) | 2.02 (1.73, 2.31) | 0.014 |
| LDL | 2.59 (2.16, 3.05) | 2.53 (2.12, 2.98) | 0.070 | 2.45 (2.08, 2.86) | 2.44 (2.10, 2.90) | 0.4 |
| Characteristic | OR 1 | 95% CI 2 | p-Value |
|---|---|---|---|
| Age | |||
| <35 | — | — | |
| ≥35 | 1.23 | (0.94, 1.59) | 0.12 |
| Gravidity | |||
| 1 | — | — | |
| 2 | 0.73 | 0.56, 0.93 | 0.014 |
| ≥3 | 0.62 | 0.43, 0.86 | 0.006 |
| Parity | |||
| 1 | — | — | |
| ≥2 | 0.69 | 0.51, 0.95 | 0.020 |
| BMI | 0.89 | 0.85, 0.92 | <0.001 |
| GA | 0.86 | 0.82, 0.91 | <0.001 |
| SUA | |||
| No | — | — | |
| Yes | 3.25 | 0.94, 8.61 | 0.033 |
| AC | 0.98 | 0.96, 0.99 | 0.012 |
| HL | 0.92 | 0.87, 0.98 | 0.004 |
| APTD | 0.98 | 0.93, 1.03 | 0.4 |
| UA-S/D | 1.40 | 1.20, 1.64 | <0.001 |
| FPG | 0.70 | 0.55, 0.88 | 0.003 |
Disclaimer/Publisher’s Note: The statements, opinions and data contained in all publications are solely those of the individual author(s) and contributor(s) and not of MDPI and/or the editor(s). MDPI and/or the editor(s) disclaim responsibility for any injury to people or property resulting from any ideas, methods, instructions or products referred to in the content. |
© 2023 by the authors. Licensee MDPI, Basel, Switzerland. This article is an open access article distributed under the terms and conditions of the Creative Commons Attribution (CC BY) license (https://creativecommons.org/licenses/by/4.0/).
Share and Cite
Gao, J.; Xiao, Z.; Chen, C.; Shi, H.-W.; Yang, S.; Chen, L.; Xu, J.; Cheng, W. Development and Validation of a Small for Gestational Age Screening Model at 21–24 Weeks Based on the Real-World Clinical Data. J. Clin. Med. 2023, 12, 2993. https://doi.org/10.3390/jcm12082993
Gao J, Xiao Z, Chen C, Shi H-W, Yang S, Chen L, Xu J, Cheng W. Development and Validation of a Small for Gestational Age Screening Model at 21–24 Weeks Based on the Real-World Clinical Data. Journal of Clinical Medicine. 2023; 12(8):2993. https://doi.org/10.3390/jcm12082993
Chicago/Turabian StyleGao, Jing, Zhongzhou Xiao, Chao Chen, Hu-Wei Shi, Sen Yang, Lei Chen, Jie Xu, and Weiwei Cheng. 2023. "Development and Validation of a Small for Gestational Age Screening Model at 21–24 Weeks Based on the Real-World Clinical Data" Journal of Clinical Medicine 12, no. 8: 2993. https://doi.org/10.3390/jcm12082993
APA StyleGao, J., Xiao, Z., Chen, C., Shi, H.-W., Yang, S., Chen, L., Xu, J., & Cheng, W. (2023). Development and Validation of a Small for Gestational Age Screening Model at 21–24 Weeks Based on the Real-World Clinical Data. Journal of Clinical Medicine, 12(8), 2993. https://doi.org/10.3390/jcm12082993

