Different Efficacy of Burosumab on Physical Performance and Serum Phosphate in Adult Patients with X-Linked Hyphophosphatemic Rickets during the First Six-Month of Treatment
Abstract
1. Introduction
2. Materials and Methods
Statistical Analysis
3. Results
3.1. Baseline Characteristics
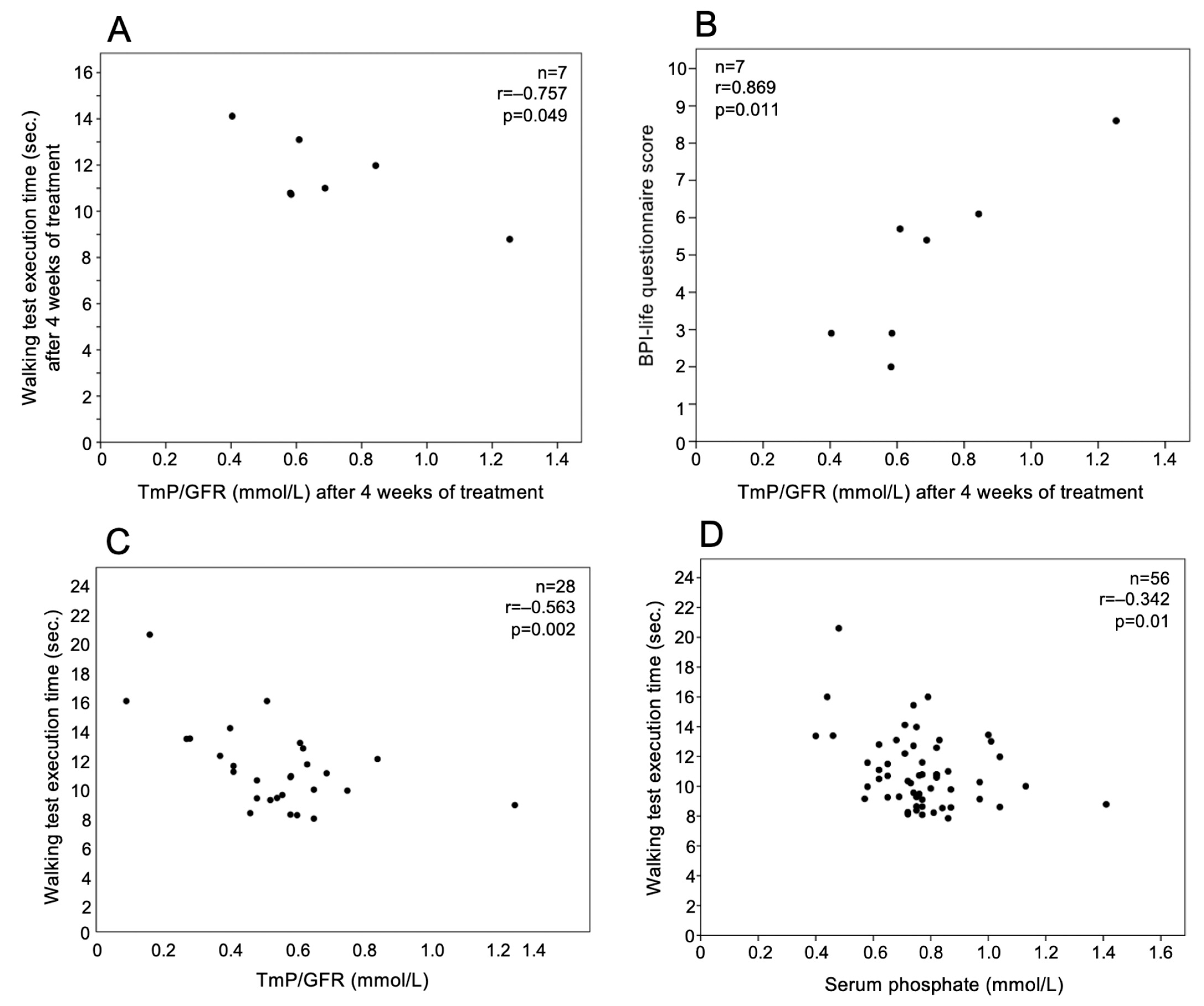
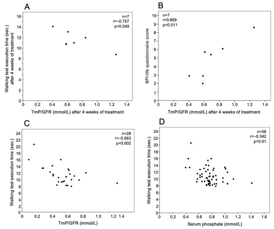
3.2. Serum Phosphate and TmP/GFR during Treatment with Burosumab
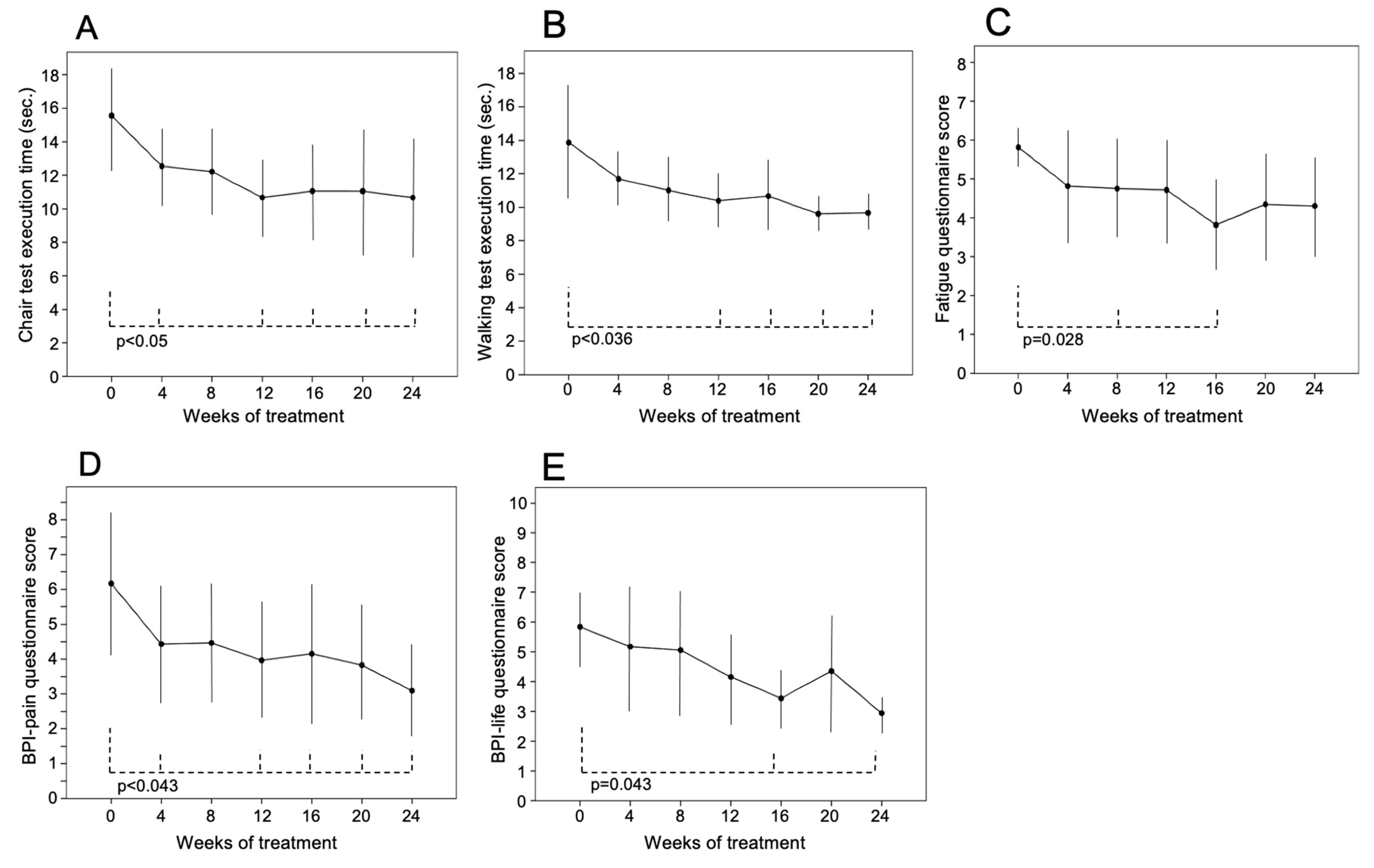
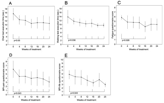
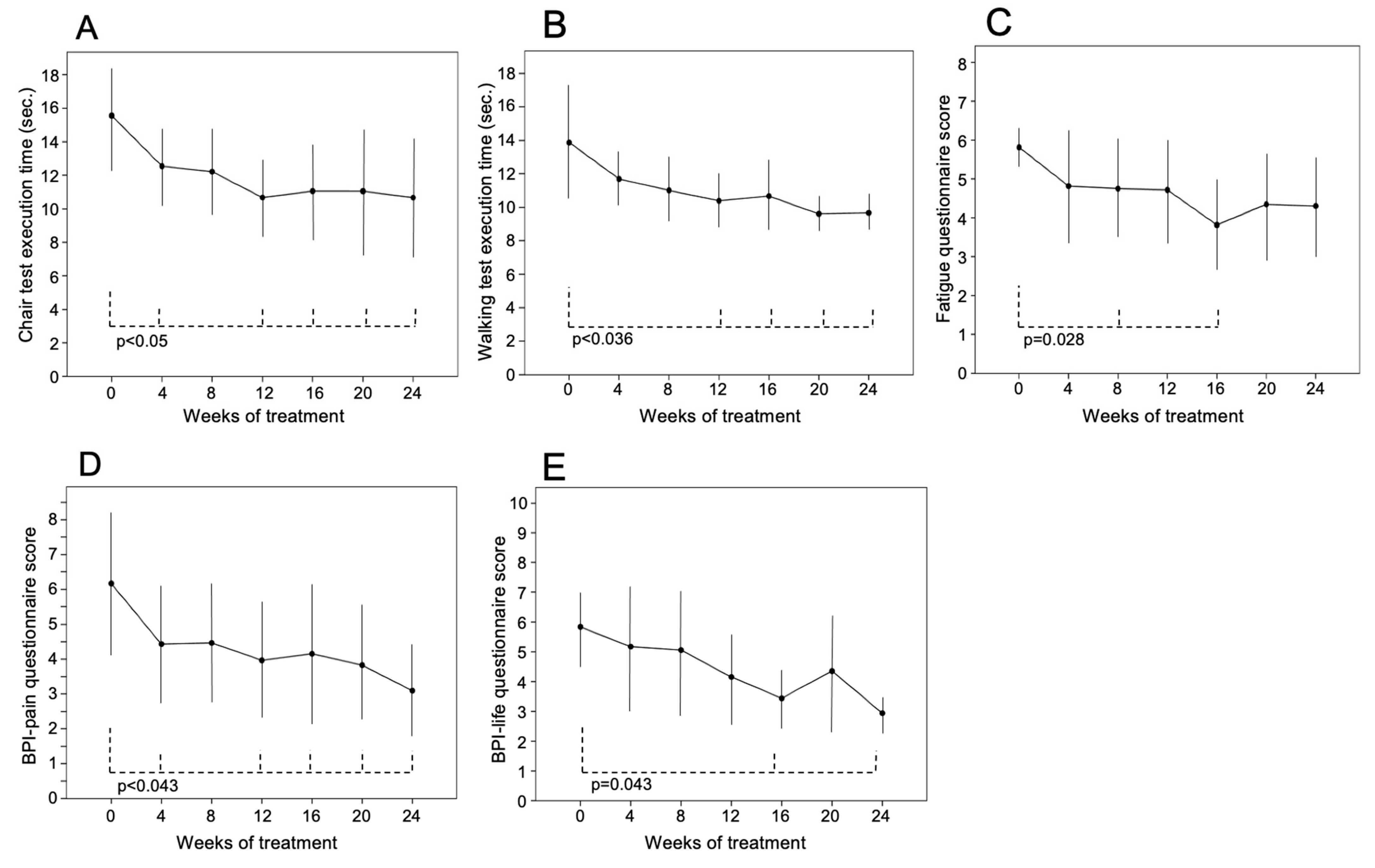
3.3. Physical Tests and Quality of Life Surveys during Treatment with Burosumab
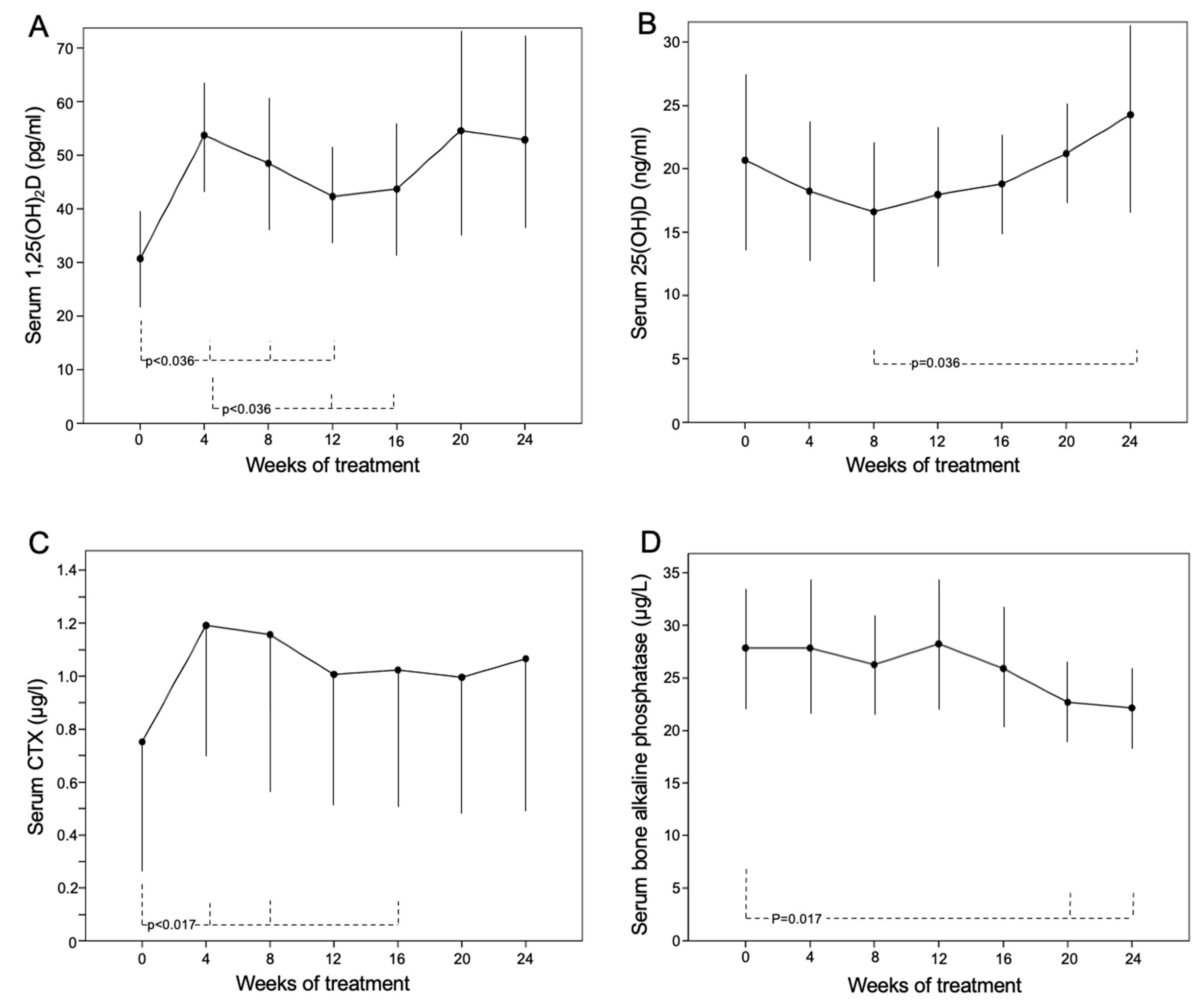
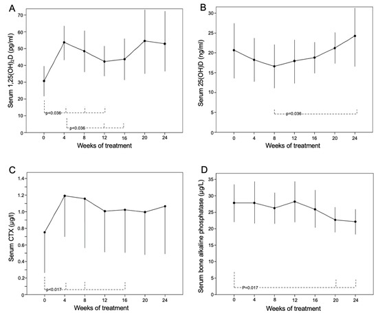
3.4. Other Variables of Calcium-Phosphate Metabolisms during Treatment with Burosumab
4. Discussion
Author Contributions
Funding
Institutional Review Board Statement
Informed Consent Statement
Data Availability Statement
Conflicts of Interest
References
- The Hyp Consortium. A gene (PHEX) with homologies to endopeptidases is mutated in patients with X-linked hypophosphatemic rickets. Nat. Genet. 1995, 11, 130–136. [Google Scholar] [CrossRef] [PubMed]
- Fukumoto, S. FGF23-related hypophosphatemic rickets/osteomalacia: Diagnosis and new treatment. J. Mol. Endocrinol. 2021, 66, R57–R65. [Google Scholar] [CrossRef] [PubMed]
- Baroncelli, G.I.; Mora, S. X-Linked hypophosphatemic rickets: Multisystemic disorder in children requiring multidisciplinary management. Front. Endocrinol. 2021, 12, 688309. [Google Scholar] [CrossRef] [PubMed]
- Giannini, S.; Bianchi, M.L.; Rendina, D.; Massoletti, P.; Lazzerini, D.; Brandi, M.L. Burden of disease and clinical targets in adult patients with X-linked hypophosphatemia. A comprehensive review. Osteoporos. Int. 2021, 32, 1937–1949. [Google Scholar] [CrossRef] [PubMed]
- Carpenter, T.O.; Imel, E.A.; Holm, I.A.; de Beur, S.M.J.; Insogna, K.L. A clinician’s guide to X-linked hypophosphatemia. J. Bone Miner. Res. 2011, 26, 1381–1388. [Google Scholar] [CrossRef] [PubMed]
- Fuller, T.J.; Carter, N.W.; Knochel, J.P. Reversible changes of the muscle cell in experimental phosphorus deficiency. J. Clin. Investig. 1976, 57, 1019–1024. [Google Scholar] [CrossRef] [PubMed]
- Veilleux, L.N.; Cheung, M.; Ben Amor, M.; Rauch, F. Abnormalities in muscle density and muscle function in hypophosphatemic rickets. J. Clin. Endocrinol. Metab. 2012, 97, E1492–E1498. [Google Scholar] [CrossRef] [PubMed]
- Beck-Nielsen, S.S.; Mughal, Z.; Haffner, D.; Nilsson, O.; Levtchenko, E.; Ariceta, G.; de Lucas, C.C.; Schnabel, D.; Jandhyala, R.; Maäkitie, O. FGF23 and its role in X-linked hypophosphatemia-related morbidity. Orphanet J. Rare Dis. 2019, 14, 58. [Google Scholar] [CrossRef]
- Liu, S.; Quarles, L.D. How fibroblast growth factor 23 works. J. Am. Soc. Nephrol. 2007, 18, 1637–1647. [Google Scholar] [CrossRef] [PubMed]
- Carpenter, T.O.; Whyte, M.P.; Imel, E.A.; Boot, A.M.; Högler, W.; Linglart, A.; Padidela, R.; van’t Hoff, W.; Mao, M.; Chen, C.Y.; et al. Burosumab therapy in children with X-linked hypophosphatemia. N. Engl. J. Med. 2018, 378, 1987–1998. [Google Scholar] [CrossRef]
- Insogna, K.L.; Briot, K.; Imel, E.A.; Kamenicky, P.; Ruppe, M.D.; Portale, A.A.; Weber, T.; Pitukcheewanont, P.; Cheong, H.; deBeur, S.J.; et al. A Randomized, Double-Blind, Placebo-Controlled, Phase 3 Trial evaluating the efficacy of burosumab, an anti-FGF23 antibody, in adults with X-linked hypophosphatemia: Week 24 primary analysis. J. Bone Miner. Res. 2018, 33, 1383–1393. [Google Scholar] [CrossRef] [PubMed]
- Leong, D.P.; Teo, K.K.; Rangarajan, S.; Lopez-Jaramillo, P.; Avezum Jr, A.; Orlandini, A.; Seron, P.; Ahmed, S.H.; Rosengren, A.; Kelishadi, R.; et al. Prognostic value of grip strength: Findings from the Prospective Urban Rural Epidemiology (PURE) study. Lancet 2015, 386, 266–273. [Google Scholar] [CrossRef] [PubMed]
- Whitney, S.L.; Wrisley, D.M.; Marchetti, G.F.; Gee, M.A.; Redfern, M.S., Furman. Clinical measurement of sit-to-stand performance in people with balance disorders: Validity of data for the Five-Times-Sit-to-Stand Test. Phys. Ther. 2005, 85, 1034–1045. [Google Scholar] [CrossRef] [PubMed]
- Craig, C.L.; Marshall, A.L.; Sjostrom, M.; Bauman, A.E.; Booth, M.L.; Ainsworth, B.E. International physical activity questionnaire: 12 country reliability and validity. Med. Sci. Sports Exerc. 2003, 35, 1381–1395. [Google Scholar] [CrossRef] [PubMed]
- Caraceni, A.; Mendoza, T.R.; Mencaglia, E.; Baratella, C.; Edwards, K.; Forjaz, M.J.; Martini, C.; Serlin, R.C.; De Conno, F.; Cleeland, C.S. A validation study of an italian version of the Brief Pain Inventory. Pain 1996, 65, 87–92. [Google Scholar] [CrossRef] [PubMed]
- Valko, P.O.; Bassetti, C.L.; Bloch, K.E.; Held, U.; Baumann, C.R. Validation of the fatigue severity scale in a swiss cohort. Sleep 2008, 31, 1601–1607. [Google Scholar] [CrossRef] [PubMed]
- Walton, R.J.; Bijvoet, O.L. Panel Discussion: Some aspects of the management of patients with X-linked hypophosphataemic rickets. Adv. Ther. 2020, 37, 121–126. [Google Scholar] [CrossRef]
- Janssen, I.; Heymsfield, S.B.; Ross, R. Low relative skeletal muscle mass (sarcopenia) in older persons is associated with functional impairment and physical disability. J. Am. Geriatr. Soc. 2002, 50, 889–896. [Google Scholar] [CrossRef] [PubMed]
- Carpenter, T.O.; Imel, E.A.; Ruppe, M.D.; Weber, T.J.; Klausner, M.A.; Wooddell, M.M.; Kawakami, T.; Ito, T.; Zhang, X.; Humphrey, J.L.; et al. Randomized trial of the anti-FGF23 antibody KRN23 in X-linked hypophosphatemia. J. Clin. Investig. 2014, 124, 1587–1597. [Google Scholar] [CrossRef] [PubMed]
- Yamazaki, Y.; Okazaki, R.; Shibata, M.; Hasegawa, Y.; Satoh, K.; Tajima, T.; Takeuchi, Y.; Fujita, T.; Nakahara, K.; Yamashita, T.; et al. Increased circulatory level of biologically active full-length FGF-23 in patients with hypophosphatemic rickets/osteomalacia. J. Clin. Endocrinol. Metab. 2002, 87, 4957–4960. [Google Scholar] [CrossRef] [PubMed]
- Shimada, T.; Hasegawa, H.; Yamazaki, Y.; Muto, T.; Hino, R.; Takeuchi, Y.; Fujita, T.; Nakahara, K.; Fukumoto, S.; Yamashita, T. FGF-23 is a potent regulator of vitamin D metabolism and phosphate homeostasis. J. Bone Miner. Res. 2004, 19, 429–435. [Google Scholar] [CrossRef]
- Faul, C.; Amaral, A.P.; Oskouei, B.; Hu, M.C.; Sloan, A.; Isakova, T.; Gutieérrez, O.M.; Aguillon-Prada, R.; Lincoln, J.; Hare, J.M.; et al. FGF23 induces left ventricular hypertrophy. J. Clin. Investig. 2011, 121, 4393–4408. [Google Scholar] [CrossRef] [PubMed]
- Avin, K.G.; Vallejo, J.A.; Chen, N.X.; Wang, K.; Touchberry, C.D.; Brotto, M.; Dallas, S.L.; Moe, S.M.; Wacker, M.J. Fibroblast growth factor 23 does not directly influence skeletal muscle cell proliferation and differentiation or ex vivo muscle contractility. Am. J. Physiol. Endocrinol. Metab. 2018, 315, E594–E604. [Google Scholar] [CrossRef]
- Imel, E.A.; Glorieux, F.H.; Whyte, M.P.; Munns, C.F.; Ward, L.M.; Nilsson, O.; Simmons, J.H.; Padidela, R.; Namba, N.; Cheong, H.I.; et al. Burosumab versus conventional therapy in children with X-linked hypophosphataemia: A randomised, active-controlled, open-label, phase 3 trial. Lancet 2019, 393, 2416–2427. [Google Scholar] [CrossRef]
- Ruppe, M.D.; Zhang, X.; Imel, E.A.; Weber, T.J.; Klausner, M.A.; Ito, T.; Vergeire, M.; Humphrey, J.S.; Glorieux, F.H.; Portale, A.A.; et al. Effect of four monthly doses of a human monoclonal anti-FGF23 antibody (KRN23) on quality of life in X-linked hypophosphatemia. Bone Rep. 2016, 5, 158–162. [Google Scholar] [CrossRef] [PubMed]
- Ashrafzadeh-Kian, S.L.; Ito, N.; Srivastava, T.; Garg, U.; Kato, H.; Algeciras-Schimnich, A.; Bornhost, J.A. The effect of burosumab on intact and C-terminal FGF23 measurements. Clin. Endocrinol. 2022. Online ahead of print. [Google Scholar] [CrossRef] [PubMed]
- Brener, A.; Lebenthal, Y.; Cleper, R.; Kapusta, L.; Zeitlin, L. Body composition and cardiometabolic health of pediatric patients with X-linked hypophosphatemia (XLH) under burosumab therapy. Ther. Adv. Endocrinol. Metab. 2021, 12, 20420188211001150. [Google Scholar] [CrossRef]
- Sato, C.; Iso, Y.; Mizukami, T.; Otabe, K.; Sasai, M.; Kurata, M.; Sanbe, T.; Sekiya, I.; Miyazaki, A.; Suzuki, H. Fibroblast growth factor-23 induces cellular senescence in human mesenchymal stem cells from skeletal muscle. Biochem. Biophys. Res. Commun. 2016, 470, 657–662. [Google Scholar] [CrossRef]
- Pesta, D.H.; Tsirigotis, D.N.; Befroy, D.E.; Caballero, D.; Jurczak, M.J.; Rahimi, Y.; Cline, G.W.; Dufour, S.; Birkenfeld, A.L.; Rothman, D.L.; et al. Hypophosphatemia promotes lower rates of muscle ATP synthesis. FASEB J. 2016, 30, 3378–3387. [Google Scholar] [CrossRef]
- Schubert, L.; DeLuca, H.F. Hypophosphatemia is responsible for skeletal muscle weakness of vitamin D deficiency. Arch. Biochem. Biophys. 2010, 500, 157–161. [Google Scholar] [CrossRef] [PubMed]




| Sex | Age (Years) | Body Weight (kg) | Height (m) | BMI (kg/m2) | Hip/Body Height Ratio | Chair Test (s) | Walking Test (s) | Serum Phosphate (mmol/L) | Serum Calcium (mmol/L) | PTH (pg/mL) | bALP (µg/L) | CTX (ng/L) | FGF23 (pg/mL) | 25(OH)D (ng/mL) | 1,25(OH)2D (pg/mL) | Urine Calcium (mmol/24 h) | TRP (%) | TmP/GFR (mmol/L) | Fatigue Test | BPI- Pain | BPI- Life | |
|---|---|---|---|---|---|---|---|---|---|---|---|---|---|---|---|---|---|---|---|---|---|---|
| Normal Range | (=0.5) | (<14) | (<16) | (0.8–1.5) | (2.1–2.54) | (15–65) | (5–26) | (<580) | (10–50) | (>20) | (20–79) | (2–7.5) | (>75) | (0.9–1.35) | (<7) | (<10) | (<10) | |||||
| 1 | M | 31 | 59 | 1.52 | 25.5 | 0.49 | 19 | 16 | 0.44 | 2.39 | 55 | 23 | 410 | 102 | 15 | 26 | 2.86 | 38 | 0.18 | 5.8 | 2.5 | 6.6 |
| 2 | F | 47 | 57 | 1.5 | 25.3 | 0.47 | 14 | 11 | 0.62 | 2.31 | 75 | 19 | 583 | 35 | 19 | 34 | 3.86 | 77 | 0.48 | 7 | 7.5 | 10 |
| 3 | M | 46 | 77 | 1.55 | 31.9 | 0.5 | 19 | 16 | 0.79 | 2.3 | 56 | 12 | 230 | 67 | 14 | 51 | 2.2 | 77 | 0.61 | 6.3 | 7 | 7.3 |
| 4 | F | 20 | 54 | 1.38 | 28.4 | 0.5 | 15 | 13 | 0.4 | 2.48 | 43 | 22 | 554 | 72 | 27 | 30 | 1.64 | 68 | 0.27 | 5.4 | 5.3 | 5.3 |
| 5 | M | 31 | 77 | 1.6 | 30.2 | 0.48 | 13 | 11 | 0.62 | 2.3 | 70 | 26 | 778 | 238 | 35 | 29 | 3.1 | 67 | 0.41 | 5.2 | 8 | 6.4 |
| 6 | M | 34 | 77 | 1.46 | 35.9 | 0.47 | 17 | 13 | 0.46 | 2.41 | 90 | 55 | 1270 | 159 | 17 | 27 | 4.56 | 62 | 0.3 | 5.8 | 5 | 5.9 |
| 7 | M | 40 | 85 | 1.61 | 32.8 | 0.48 | 11 | 10 | 0.58 | 2.48 | 54 | 15 | 388 | 159 | 13 | 20 | 4.45 | 66 | 0.38 | - | - | - |
| 8 | F | 59 | 60 | 1.35 | 32.7 | 0.44 | 18 | 21 | 0.48 | 2.38 | 257 | 52 | 1803 | - | 25 | 29 | 0.84 | 34 | 0.18 | 6.1 | 7 | 4 |
| mv- | 39 | 68 | 1.5 | 30 | 0.48 | 16 | 14 | 0.55 | 2.38 | 88 | 28 | 752 | 119 | 21 | 31 | 2.94 | 43 | 0.33 | 5.8 | 6 | 5.8 | |
Disclaimer/Publisher’s Note: The statements, opinions and data contained in all publications are solely those of the individual author(s) and contributor(s) and not of MDPI and/or the editor(s). MDPI and/or the editor(s) disclaim responsibility for any injury to people or property resulting from any ideas, methods, instructions or products referred to in the content. |
© 2023 by the authors. Licensee MDPI, Basel, Switzerland. This article is an open access article distributed under the terms and conditions of the Creative Commons Attribution (CC BY) license (https://creativecommons.org/licenses/by/4.0/).
Share and Cite
Arcidiacono, T.; Foligno, N.E.; Brioni, E.; Bologna, A.; Weber, G.; Mora, S.; Pitea, M.; Vitale, C.; Vezzoli, G. Different Efficacy of Burosumab on Physical Performance and Serum Phosphate in Adult Patients with X-Linked Hyphophosphatemic Rickets during the First Six-Month of Treatment. J. Clin. Med. 2023, 12, 2906. https://doi.org/10.3390/jcm12082906
Arcidiacono T, Foligno NE, Brioni E, Bologna A, Weber G, Mora S, Pitea M, Vitale C, Vezzoli G. Different Efficacy of Burosumab on Physical Performance and Serum Phosphate in Adult Patients with X-Linked Hyphophosphatemic Rickets during the First Six-Month of Treatment. Journal of Clinical Medicine. 2023; 12(8):2906. https://doi.org/10.3390/jcm12082906
Chicago/Turabian StyleArcidiacono, Teresa, Nadia E. Foligno, Elena Brioni, Arianna Bologna, Giovanna Weber, Stefano Mora, Marco Pitea, Corrado Vitale, and Giuseppe Vezzoli. 2023. "Different Efficacy of Burosumab on Physical Performance and Serum Phosphate in Adult Patients with X-Linked Hyphophosphatemic Rickets during the First Six-Month of Treatment" Journal of Clinical Medicine 12, no. 8: 2906. https://doi.org/10.3390/jcm12082906
APA StyleArcidiacono, T., Foligno, N. E., Brioni, E., Bologna, A., Weber, G., Mora, S., Pitea, M., Vitale, C., & Vezzoli, G. (2023). Different Efficacy of Burosumab on Physical Performance and Serum Phosphate in Adult Patients with X-Linked Hyphophosphatemic Rickets during the First Six-Month of Treatment. Journal of Clinical Medicine, 12(8), 2906. https://doi.org/10.3390/jcm12082906

