Comparative Study of the Efficacy of Anti-CGRP mAbs on Migraineurs: Analysis of the First Year of Therapy, 1-Month Suspension Period, and Reprisal
Abstract
:1. Introduction
2. Methods
2.1. Study Design and Participants
2.2. Ethics
2.3. Endpoint
2.4. Statistical Analysis
3. Results
3.1. Chronic Migraineurs
3.2. High-Frequency Episodic Migraineurs
4. Discussion
Limitations of the Study
5. Conclusions
Author Contributions
Funding
Institutional Review Board Statement
Informed Consent Statement
Data Availability Statement
Conflicts of Interest
Abbreviations
References
- Wattiez, A.-S.; Sowers, L.P.; Russo, A.F. Calcitonin Gene-Related Peptide (CGRP): Role in Migraine Pathophysiology and Therapeutic Targeting. Expert Opin. Ther. Targets 2020, 24, 91–100. [Google Scholar] [CrossRef] [PubMed]
- Iyengar, S.; Johnson, K.W.; Ossipov, M.H.; Aurora, S.K. CGRP and the Trigeminal System in Migraine. Headache 2019, 59, 659–681. [Google Scholar] [CrossRef] [PubMed]
- Al-Hassany, L.; Goadsby, P.J.; Danser, A.H.J.; MaassenVanDenBrink, A. Calcitonin Gene-Related Peptide-Targeting Drugs for Migraine: How Pharmacology Might Inform Treatment Decisions. Lancet Neurol. 2022, 21, 284–294. [Google Scholar] [CrossRef] [PubMed]
- Goadsby, P.J.; Edvinsson, L.; Ekman, R. Vasoactive Peptide Release in the Extracerebral Circulation of Humans during Migraine Headache. Ann. Neurol. 1990, 28, 183–187. [Google Scholar] [CrossRef] [PubMed]
- Goadsby, P.J.; Edvinsson, L. The Trigeminovascular System and Migraine: Studies Characterizing Cerebrovascular and Neuropeptide Changes Seen in Humans and Cats. Ann. Neurol. 1993, 33, 48–56. [Google Scholar] [CrossRef] [PubMed]
- Hansen, J.M.; Hauge, A.W.; Olesen, J.; Ashina, M. Calcitonin Gene-Related Peptide Triggers Migraine-like Attacks in Patients with Migraine with Aura. Cephalalgia 2010, 30, 1179–1186. [Google Scholar] [CrossRef]
- Tepper, S.; Ashina, M.; Reuter, U.; Brandes, J.L.; Doležil, D.; Silberstein, S.; Winner, P.; Leonardi, D.; Mikol, D.; Lenz, R. Safety and Efficacy of Erenumab for Preventive Treatment of Chronic Migraine: A Randomised, Double-Blind, Placebo-Controlled Phase 2 Trial. Lancet Neurol. 2017, 16, 425–434. [Google Scholar] [CrossRef]
- Skljarevski, V.; Matharu, M.; Millen, B.A.; Ossipov, M.H.; Kim, B.-K.; Yang, J.Y. Efficacy and Safety of Galcanezumab for the Prevention of Episodic Migraine: Results of the EVOLVE-2 Phase 3 Randomized Controlled Clinical Trial. Cephalalgia 2018, 38, 1442–1454. [Google Scholar] [CrossRef]
- Ferrari, M.D.; Diener, H.C.; Ning, X.; Galic, M.; Cohen, J.M.; Yang, R.; Mueller, M.; Ahn, A.H.; Schwartz, Y.C.; Grozinski-Wolff, M.; et al. Fremanezumab versus Placebo for Migraine Prevention in Patients with Documented Failure to up to Four Migraine Preventive Medication Classes (FOCUS): A Randomised, Double-Blind, Placebo-Controlled, Phase 3b Trial. Lancet 2019, 394, 1030–1040. [Google Scholar] [CrossRef]
- Vernieri, F.; Altamura, C.; Brunelli, N.; Costa, C.M.; Aurilia, C.; Egeo, G.; Fofi, L.; Favoni, V.; Pierangeli, G.; Lovati, C.; et al. Galcanezumab for the Prevention of High Frequency Episodic and Chronic Migraine in Real Life in Italy: A Multicenter Prospective Cohort Study (the GARLIT Study). J. Headache Pain 2021, 22, 35. [Google Scholar] [CrossRef]
- Robblee, J.; Devick, K.L.; Mendez, N.; Potter, J.; Slonaker, J.; Starling, A.J. Real-World Patient Experience With Erenumab for the Preventive Treatment of Migraine. Headache 2020, 60, 2014–2025. [Google Scholar] [CrossRef]
- Caronna, E.; Gallardo, V.J.; Alpuente, A.; Torres-Ferrus, M.; Pozo-Rosich, P. Anti-CGRP Monoclonal Antibodies in Chronic Migraine with Medication Overuse: Real-Life Effectiveness and Predictors of Response at 6 Months. J. Headache Pain 2021, 22, 120. [Google Scholar] [CrossRef]
- Quintana, S.; Russo, M.; Manzoni, G.C.; Torelli, P. Comparison Study between Erenumab, Fremanezumab, and Galcanezumab in the Preventive Treatment of High Frequency Episodic Migraine and Chronic Migraine. Neurol. Sci. Off. J. Ital. Neurol. Soc. Ital. Soc. Clin. Neurophysiol. 2022, 43, 5757–5758. [Google Scholar] [CrossRef] [PubMed]
- Headache Classification Committee of the International Headache Society (IHS). The International Classification of Headache Disorders, 3rd Edition. Cephalalgia 2018, 38, 1–211. [Google Scholar] [CrossRef] [PubMed]
- Soni, P.; Chawla, E. Efficacy and Safety of Anti-Calcitonin Gene-Related Peptide Monoclonal Antibodies for Treatment of Chronic Migraine: A Systematic Review and Network Meta-Analysis. Clin. Neurol. Neurosurg. 2021, 209, 106893. [Google Scholar] [CrossRef] [PubMed]
- Wang, X.; Chen, Y.; Song, J.; You, C. Efficacy and Safety of Monoclonal Antibody Against Calcitonin Gene-Related Peptide or Its Receptor for Migraine: A Systematic Review and Network Meta-Analysis. Front. Pharmacol. 2021, 12, 649143. [Google Scholar] [CrossRef]
- Wang, X.; Wen, D.; He, Q.; You, C.; Ma, L. Efficacy and Safety of Monoclonal Antibody against Calcitonin Gene-Related Peptide or Its Receptor for Migraine Patients with Prior Preventive Treatment Failure: A Network Meta-Analysis. J. Headache Pain 2022, 23, 105. [Google Scholar] [CrossRef] [PubMed]
- Shi, M.; Guo, J.; Li, Z.; Sun, H.; Yang, X.; Yang, D.; Zhao, H. Network Meta-Analysis on Efficacy and Safety of Different Anti-CGRP Monoclonal Antibody Regimens for Prophylaxis and Treatment of Episodic Migraine. Neurol. Res. 2021, 43, 932–949. [Google Scholar] [CrossRef]
- Yang, C.-P.; Zeng, B.-Y.; Chang, C.-M.; Shih, P.-H.; Yang, C.-C.; Tseng, P.-T.; Wang, S.-J. Comparative Effectiveness and Tolerability of the Pharmacology of Monoclonal Antibodies Targeting the Calcitonin Gene-Related Peptide and Its Receptor for the Prevention of Chronic Migraine: A Network Meta-Analysis of Randomized Controlled Trials. Neurother. J. Am. Soc. Exp. Neurother. 2021, 18, 2639–2650. [Google Scholar] [CrossRef]
- Sun, W.; Cheng, H.; Xia, B.; Liu, X.; Li, Y.; Wang, X.; Liu, C. Comparative Efficacy and Safety of Five Anti-Calcitonin Gene-Related Peptide Agents for Migraine Prevention: A Network Meta-Analysis. Clin. J. Pain 2023, 39, 560–569. [Google Scholar] [CrossRef]
- Saccà, F.; Braca, S.; Sansone, M.; Miele, A.; Stornaiuolo, A.; De Simone, R.; Russo, C.V. A Head-to-Head Observational Cohort Study on the Efficacy and Safety of Monoclonal Antibodies against Calcitonin Gene-Related Peptide for Chronic and Episodic Migraine. Headache 2023, 63, 788–794. [Google Scholar] [CrossRef] [PubMed]
- Suzuki, K.; Suzuki, S.; Shiina, T.; Tatsumoto, M.; Fujita, H.; Haruyama, Y.; Hirata, K. Effectiveness of Three Calcitonin Gene-Related Peptide Monoclonal Antibodies for Migraine: A 12-Month, Single-Center, Observational Real-World Study in Japan. Cephalalgia 2023, 43, 3331024231177649. [Google Scholar] [CrossRef] [PubMed]
- Schiano di Cola, F.; Bolchini, M.; Ceccardi, G.; Caratozzolo, S.; Liberini, P.; Rao, R.; Padovani, A. An Observational Study on Monoclonal Antibodies against Calcitonin-Gene-Related Peptide and Its Receptor. Eur. J. Neurol. 2023, 30, 1764–1773. [Google Scholar] [CrossRef] [PubMed]
- Vernieri, F.; Brunelli, N.; Guerzoni, S.; Iannone, L.F.; Baraldi, C.; Rao, R.; Schiano di Cola, F.; Ornello, R.; Cevoli, S.; Lovati, C.; et al. Retreating Migraine Patients in the Second Year with Monoclonal Antibodies Anti-CGRP Pathway: The Multicenter Prospective Cohort RE-DO Study. J. Neurol. 2023, 270, 5436–5448. [Google Scholar] [CrossRef]
- Raffaelli, B.; Terhart, M.; Overeem, L.H.; Mecklenburg, J.; Neeb, L.; Steinicke, M.; Reuter, U. Migraine Evolution after the Cessation of CGRP(-Receptor) Antibody Prophylaxis: A Prospective, Longitudinal Cohort Study. Cephalalgia 2022, 42, 326–334. [Google Scholar] [CrossRef]



| Fremanezumab | Erenumab | Galcanezumab | p | |
|---|---|---|---|---|
| Number | 49 patients | 56 patients | 55 patients | |
| Female sex | 45/49 (92%) | 49/56 (88%) | 44/55 (80%) | 0.285 |
| Age | 49.388 ± 11.729 | 46.661 ± 11.550 | 46.709 ± 13.536 | 0.443 |
| Migraine onset | 19.224 ± 12.256 | 19.582 ± 8.713 | 20.222 ± 11.423 | 0.893 |
| Chronic migraine | 36/49 (73%) | 32/56 (57%) | 30/55 (55%) | 0.104 |
| BMI | 24.962 ± 5.236 | 24.047 ± 5.279 | 23.705 ± 4.113 | |
| Migraine frequency (days per month) | 20.592 ± 7.845 * | 16.482 ± 6.427 | 16.891 ± 8.900 | 0.015 |
| Intensity (NRS 1–10) | 8.714 ± 1.056 * | 8.125 ± 0.875 | 8.113 ± 1.171 | 0.007 |
| Symptomatic medications intake (number per month) | 21.128 ± 15.539 | 17.264 ± 14.836 | 30.941 ± 44.996 | 0.051 |
| Previous prophylaxis | 4.367 ± 1.424 | 4.250 ± 1.676 | 3.800 ± 1.568 | 0.146 |
| Major depressive Disorder | 16/49 (33%) | 8/56 (14%) | 10/55 (18%) | 0.057 |
| Familiarity for migraine | 33/49 (67%) | 36/56 (64%) | 34/55 (62%) | 0.895 |
| Unilateral migraine | 33/49 (67%) | 41/56 73%) | 34/55 (62%) | 0.445 |
| Aura | 10/49 (20%) | 9/56 (16%) | 18/55 (33%) | 0.100 |
| Photophobia | 42/49 (86%) | 52/56 (93%) | 47/55 (85%) | 0.432 |
| Phonophobia | 41/49 (84%) | 47/56 (84%) | 43/55 (78%) | 0.684 |
| Osmophobia | 26/49 (53%) | 26/56 (46%) | 25/55 (45%) | 0.709 |
| Nausea | 45/49 (92%) | 48/56 (86%) | 47/55 (85%) | 0.549 |
| Vomit | 25/49 (51%) | 28/56 (50%) | 22/55 (40%) | 0.454 |
| Chronic Migraineurs | ||||
| Migraine frequency (day per month) | 24.167 ± 5.735 ** | 20.750 ± 5.187 | 23.300 ± 5.784 | 0.039 |
| Migraine intensity (NRS 1–10) | 8.736 ± 1.038 | 8.281 ± 1.054 | 8.033 ± 1.189 * | 0.032 |
| Symptomatic medication intake (number per month) | 23.857 ± 16.914 | 20.897 ± 18.993 | 39.517 ± 53.425 | 0.076 |
| High-Frequency Episodic Migraineurs | ||||
| Migraine frequency (day per month) | 10.692 ± 2.394 | 10.792 ± 1.841 *** | 8.800 ± 3.391 | 0.024 |
| Migraine intensity (NRS 1–10) | 8.654 ± 1.144 | 7.917 ± 0.504 | 8.280 ± 1.137 | 0.078 |
| Symptomatic medication intake (number per month) | 14.462 ± 7.195 | 12.875 ± 4.665 | 18.958 ± 26.795 | 0.545 |
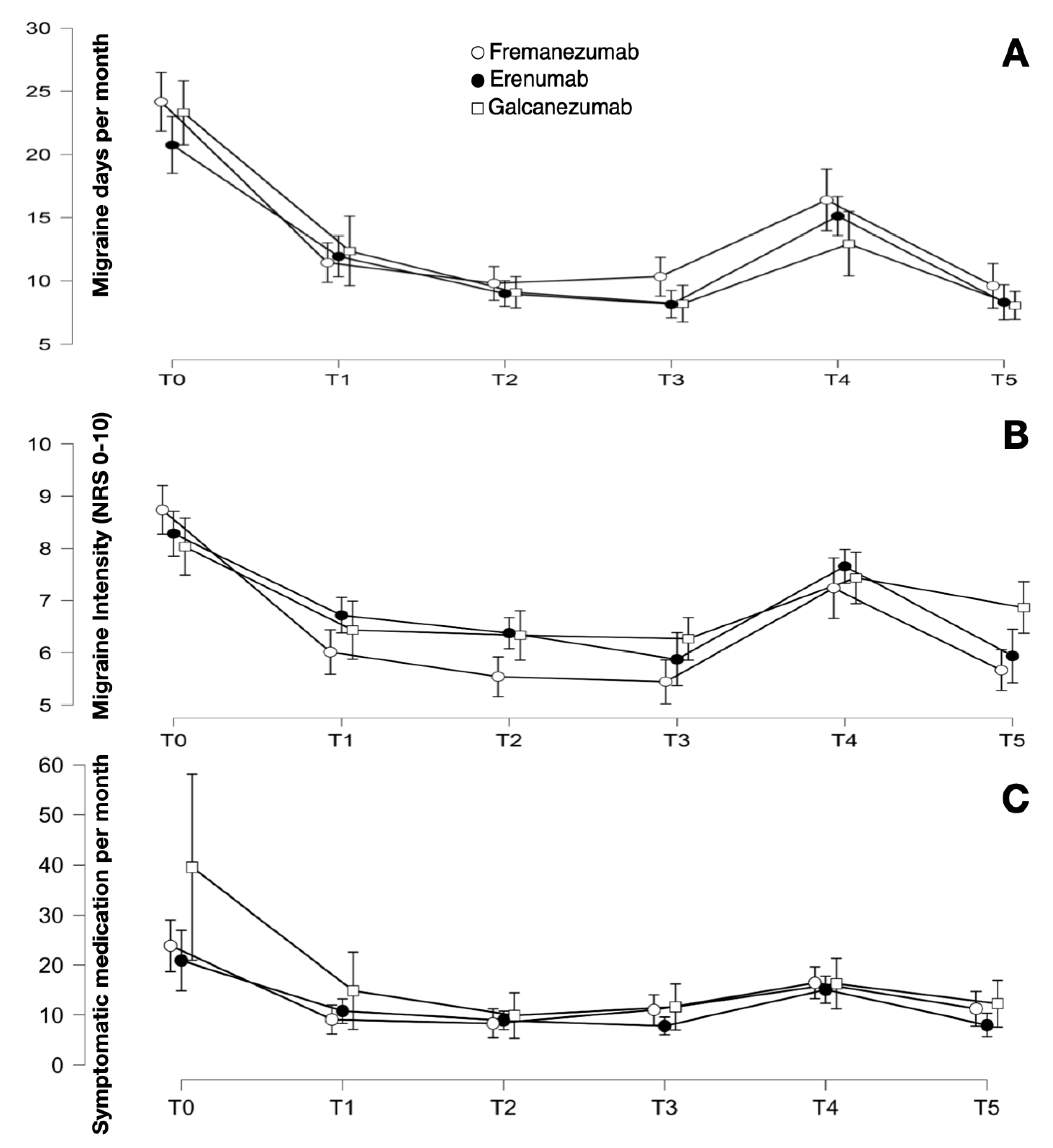
| Chronic and Episodic Migraine Patients (n = 160) | T0 | T1 | T2 | T3 | T4 | T5 |
|---|---|---|---|---|---|---|
| Fremanezumab | ||||||
| Frequency (migraine days/month) | 20.592 ± 7.845 | 9.694 ± 8.206 | 8.755 ± 8.092 | 9.020 ± 9.588 | 14.980 ± 9.660 | 8.531 ± 8.751 |
| Migraine intensity | 8.714 ± 1.056 | 5.888 ± 2.388 | 5.765 ± 2.280 | 5.531 ± 2.373 | 7.235 ± 1.945 | 5.612 ± 2.299 |
| Symptomatic intake | 21.128 ± 15.539 | 7.766 ± 9.037 | 7.532 ± 8.824 | 8.702 ± 14.859 | 14.043 ± 14.545 | 9.191 ± 15.905 |
| Erenumab | ||||||
| Frequency (migraine days/month) | 16.482 ± 6.427 | 9.214 ± 7.032 | 7.268 ± 6.189 | 6.679 ± 5.970 | 12.857 ± 6.428 | 7.143 ± 6.297 |
| Migraine intensity | 8.125 ± 0.875 | 6.696 ± 1.320 | 6.411 ± 1.385 | 6.089 ± 1.654 | 7.589 ± 1.092 | 6.161 ± 1.511 |
| Symptomatic intake | 17.264 ± 14.836 | 8.528 ± 6.849 | 7.189 ± 6.251 | 6.472 ± 6.169 | 12.566 ± 8.780 | 6.906 ± 6.227 |
| Galcanezumab | ||||||
| Frequency (migraine days/month) | 16.891 ± 8.900 | 8.527 ± 8.057 | 7.273 ± 5.626 | 6.782 ± 5.688 | 12.182 ± 7.493 | 6.836 ± 5.493 |
| Migraine intensity | 8.113 ± 1.171 | 6.264 ± 1.923 | 6.189 ± 2.001 | 6.358 ± 1.699 | 7.245 ± 1.479 | 6.679 ± 1.730 |
| Symptomatic intake | 30.941 ± 44.996 | 10.196 ± 13.862 | 9.686 ± 10.073 | 10.549 ± 14.036 | 16.059 ± 15.905 | 10.804 ± 14.058 |
| Chronic Migraine | T0 | T1 | T2 | T3 | T4 | T5 |
|---|---|---|---|---|---|---|
| Fremanezumab (36 patients) | ||||||
| Frequency (migraine days/month) | 24.167 ± 5.735 | 11.444 ± 8.765 | 9.806 ± 8.078 | 10.333 ± 9.989 | 16.389 ± 19.123 | 9.611 ± 9.305 |
| Migraine intensity | 8.736 ± 1.038 | 6.014 ± 2.294 | 5.542 ± 2.278 | 5.444 ± 2.455 | 7.236 ± 2.079 | 5.667 ± 2.242 |
| Symptomatic intake | 23.857 ± 16.914 | 9.114 ± 10.070 | 8.343 ± 9.136 | 11.000 ± 16.700 | 16.457 ± 16.287 | 11.257 ± 16.814 |
| Erenumab (32 patients) | ||||||
| Frequency (migraine days/month) | 20.750 ± 5.187 | 11.938 ± 7.947 | 9.000 ± 7.418 | 8.156 ± 7.274 | 15.125 ± 6.435 | 8.313 ± 7.826 |
| Migraine intensity | 8.281 ± 1.054 | 6.719 ± 2.294 | 6.375 ± 1.601 | 5.875 ± 1.913 | 7.656 ± 1.153 | 5.938 ± 1.777 |
| Symptomatic intake | 20.897 ± 18.993 | 10.793 ± 8.148 | 8.931 ± 7.625 | 7.828 ± 7.700 | 15.069 ± 10.299 | 8.000 ± 7.928 |
| Galcanezumab (30 patients) | ||||||
| Frequency (migraine days/month) | 23.300 ± 5.784 | 12.367 ± 9.080 | 9.100 ± 6.697 | 8.200 ± 7.039 | 12.933 ± 8.170 | 8.067 ± 6.464 |
| Migraine intensity | 8.033 ± 1.189 | 6.433 ± 2.012 | 6.333 ± 1.971 | 6.267 ± 1.799 | 7.433 ± 1.501 | 6.867 ± 1.408 |
| Symptomatic intake | 39.517 ± 53.425 | 14.862 ± 19.639 | 9.897 ± 8.312 | 11.621 ± 15.129 | 16.276 ± 14.919 | 12.276 ± 15.026 |
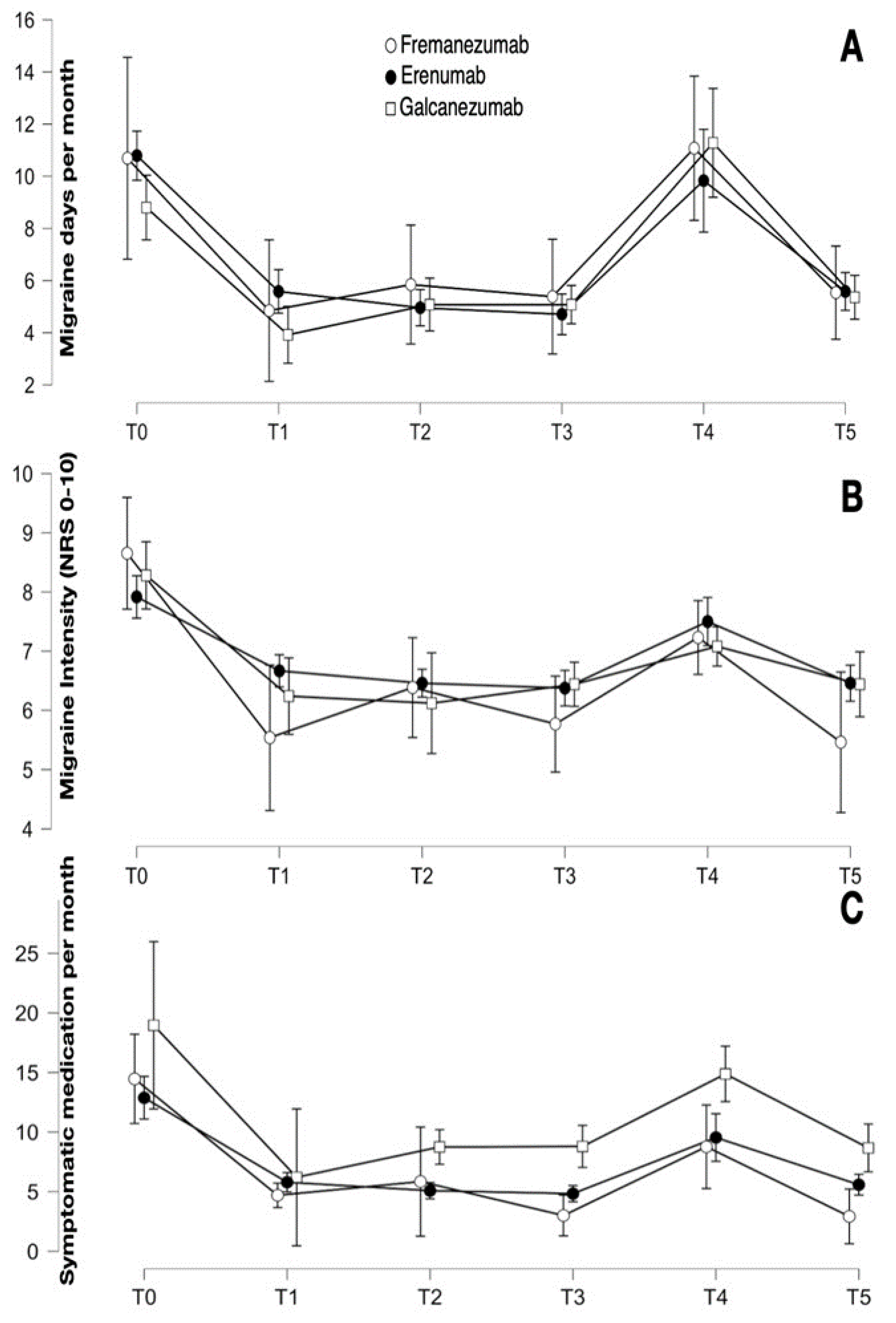
| High-Frequency Episodic Migraine | T0 | T1 | T2 | T3 | T4 | T5 |
|---|---|---|---|---|---|---|
| Fremanezumab (13 patients) | ||||||
| Frequency (migraine days/month) | 10.692 ± 2.394 | 4.846 ± 3.262 | 5.846 ± 7.690 | 5.385 ± 7.567 | 11.077 ± 7.205 | 5.538 ± 6.671 |
| Migraine intensity | 8.654 ± 1.144 | 5.538 ± 2.696 | 6.385 ± 2.256 | 5.769 ± 2.204 | 7.231 ± 1.589 | 5.462 ± 2.537 |
| Symptomatic intake | 14.462 ± 7.195 | 4.692 ± 3.816 | 5.846 ± 7.777 | 3.000 ± 2.972 | 8.769 ± 5.790 | 2.923 ± 4.192 |
| Erenumab (24 patients) | ||||||
| Frequency (migraine days/month) | 10.792 ± 1.841 | 5.583 ± 3.006 | 4.958 ± 2.774 | 4.708 ± 2.612 | 9.833 ± 5.130 | 5.583 ± 2.796 |
| Migraine intensity | 7.917 ± 0.504 | 6.667 ± 1.090 | 5.458 ± 1.062 | 6.375 ± 1.209 | 7.500 ± 1.022 | 6.458 ± 1.021 |
| Symptomatic intake | 12.875 ± 4.665 | 5.792 ± 3.310 | 5.083 ± 3.020 | 4.833 ± 2.959 | 9.542 ± 5.267 | 5.583 ± 2.796 |
| Galcanezumab (25 patients) | ||||||
| Frequency (migraine days/month) | 8.800 ± 3.391 | 3.920 ± 2.431 | 5.080 ± 2.798 | 5.080 ± 2.722 | 11.280 ± 6.643 | 5.360 ± 3.639 |
| Migraine intensity | 8.280 ± 1.137 | 6.240 ± 1.921 | 6.120 ± 2.027 | 6.440 ± 1.557 | 7.080 ± 1.412 | 6.440 ± 2.043 |
| Symptomatic intake | 18.958 ± 26.795 | 6.208 ± 4.064 | 8.750 ± 11.895 | 8.792 ± 12.240 | 14.875 ± 17.038 | 8.667 ± 12.352 |
| 50% Reduction in Migraine Days/Month | 3-Month | 6-Month | 12-Month | 1-Month Suspension | 3-Month Reprisal |
|---|---|---|---|---|---|
| Chronic and high-frequency episodic migraineurs | |||||
| Fremanezumab | 30/49 (61%) | 40/49 (82%) | 38/49 (78%) | 16/49 (33%) | 40/49 (82%) |
| Erenumab | 30/56 (54%) | 39/56 (70%) | 40/56 (71%) | 10/56 (18%) | 36/56 (64%) |
| Galcanezumab | 32/55 (58%) | 37/55 (67%) | 34/55 (62%) | 18/55 (33%) | 37/55 (67%) |
| Chi squared 𝜒2 | 0.642 | 3.033 | 3.138 | 4.018 | 4.245 |
| p | 0.726 | 0.219 | 0.208 | 0.134 | 0.120 |
| Chronic migraineurs | |||||
| Fremanezumab | 23/36 (64%) | 29/36 (80%) | 26/36 (72%) | 14/36 (39%) | 29/36 (80%) |
| Erenumab | 16/32 (50%) | 24/32 (75%) | 24/32 (75%) | 6/32 (17%) | 23/32 (72%) |
| Galcanezumab | 17/30 (57%) | 23/30(77%) | 23/30 (77%) | 17/30 (57%) | 23/30 (77%) |
| Chi squared | 1.338 | 0.320 | 0.067 | 9.504 | 0.711 |
| p | 0.512 | 0.852 | 0.967 | 0.009 | 0.701 |
| High-Frequency Episodic Migraineurs | |||||
| Fremanezumab | 7/13 (54%) | 11/13 (85%) | 12/13 (92%) | 2/13 (15%) | 11/13 (85%) |
| Erenumab | 14/24 (58%) | 15/24 (63%) | 16/24 (67%) | 4/24 (17%) | 13/24 (54%) |
| Galcanezumab | 15/25 (60%) | 14/25 (56%) | 12/25 (48%) | 1/25 (4%) | 14/25 (56%) |
| Chi squared | 0.134 | 3.129 | 7.413 | 2.237 | 3.789 |
| p | 0.935 | 0.209 | 0.025 | 0.327 | 0.150 |
Disclaimer/Publisher’s Note: The statements, opinions and data contained in all publications are solely those of the individual author(s) and contributor(s) and not of MDPI and/or the editor(s). MDPI and/or the editor(s) disclaim responsibility for any injury to people or property resulting from any ideas, methods, instructions or products referred to in the content. |
© 2023 by the authors. Licensee MDPI, Basel, Switzerland. This article is an open access article distributed under the terms and conditions of the Creative Commons Attribution (CC BY) license (https://creativecommons.org/licenses/by/4.0/).
Share and Cite
Tereshko, Y.; Dal Bello, S.; Pez, S.; Belgrado, E.; Lettieri, C.; Ercole, B.H.; Cellante, G.; Del Regno, C.; Sportelli, G.; Ermanis, G.; et al. Comparative Study of the Efficacy of Anti-CGRP mAbs on Migraineurs: Analysis of the First Year of Therapy, 1-Month Suspension Period, and Reprisal. J. Clin. Med. 2023, 12, 7329. https://doi.org/10.3390/jcm12237329
Tereshko Y, Dal Bello S, Pez S, Belgrado E, Lettieri C, Ercole BH, Cellante G, Del Regno C, Sportelli G, Ermanis G, et al. Comparative Study of the Efficacy of Anti-CGRP mAbs on Migraineurs: Analysis of the First Year of Therapy, 1-Month Suspension Period, and Reprisal. Journal of Clinical Medicine. 2023; 12(23):7329. https://doi.org/10.3390/jcm12237329
Chicago/Turabian StyleTereshko, Yan, Simone Dal Bello, Sara Pez, Enrico Belgrado, Christian Lettieri, Bruno Hector Ercole, Giulia Cellante, Caterina Del Regno, Giuseppe Sportelli, Giovanni Ermanis, and et al. 2023. "Comparative Study of the Efficacy of Anti-CGRP mAbs on Migraineurs: Analysis of the First Year of Therapy, 1-Month Suspension Period, and Reprisal" Journal of Clinical Medicine 12, no. 23: 7329. https://doi.org/10.3390/jcm12237329
APA StyleTereshko, Y., Dal Bello, S., Pez, S., Belgrado, E., Lettieri, C., Ercole, B. H., Cellante, G., Del Regno, C., Sportelli, G., Ermanis, G., Versace, S., Merlino, G., Gigli, G. L., & Valente, M. (2023). Comparative Study of the Efficacy of Anti-CGRP mAbs on Migraineurs: Analysis of the First Year of Therapy, 1-Month Suspension Period, and Reprisal. Journal of Clinical Medicine, 12(23), 7329. https://doi.org/10.3390/jcm12237329

