Umbilical Cord Mesenchymal Stem Cell Secretome Improves Clinical Outcomes and Changes Biomarkers in Knee Osteoarthritis
Abstract
:1. Introduction
2. Materials and Methods
2.1. Study Participants/Patient Selection
2.2. Description of Umbilical Cord Mesenchymal Stem Cell (UC-MSC) Secretome and Hyaluronic Acid products
2.3. Randomisation and Intervention
2.4. Clinical Outcomes Measures
2.5. Biochemical Assay
2.6. Statistical Analysis
3. Results
3.1. Baseline Characteristic
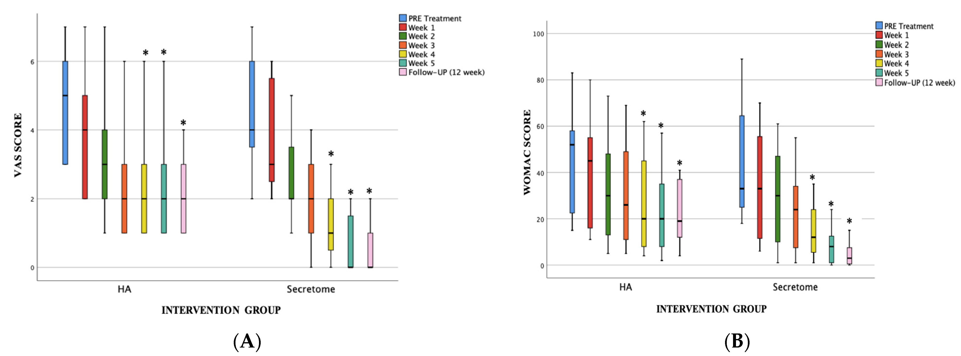
3.2. Clinical Results
3.3. Biochemical Results
4. Discussion
5. Conclusions
Author Contributions
Funding
Institutional Review Board Statement
Informed Consent Statement
Data Availability Statement
Acknowledgments
Conflicts of Interest
References
- Vos, T.; Allen, C.; Arora, M.; Barber, R.M.; Brown, A.; Carter, A.; Casey, D.C.; Charlson, F.J.; Chen, A.Z.; Coggeshall, M.; et al. Global, regional, and national incidence, prevalence, and years lived with disability for 310 diseases and injuries, 1990–2015: A systematic analysis for the Global Burden of Disease Study 2015. Lancet 2016, 388, 1545–1602. [Google Scholar] [CrossRef] [PubMed]
- Safiri, S.; Kolahi, A.A.; Smith, E.; Hill, C.; Bettampadi, D.; Mansournia, M.A.; Hoy, D.; Ashrafi-Asgarabad, A.; Sepidarkish, M.; Almasi-Hashiani, A.; et al. Global, regional and national burden of osteoarthritis 1990-2017: A systematic analysis of the Global Burden of Disease Study 2017. Ann. Rheum. Dis. 2020, 79, 819–828. [Google Scholar] [CrossRef] [PubMed]
- Maricar, N.; Callaghan, M.J.; Parkes, M.J.; Felson, D.T.; O’Neill, T.W. Clinical assessment of effusion in knee osteoarthritis-A systematic review. Semin. Arthritis Rheum. 2016, 45, 556–563. [Google Scholar] [CrossRef]
- Soetjahjo, B.; Utomo, D.N. Mesenchymal Stem Cells Secretome and Osteoarthritis: A State of The Art. Hip Knee J. 2022, 3, 56–63. [Google Scholar] [CrossRef]
- Zhang, W.; Doherty, M.; Peat, G.; Bierma-Zeinstra, S.M.A.; Arden, N.K.; Bresnihan, B.; Herrero-Beaumont, G.; Kirschner, S.; Leeb, B.F.; Lohmander, L.S.; et al. EULAR evidence-based recommendations for the diagnosis of knee osteoarthritis. Ann. Rheum. Dis. 2010, 69, 483–489. [Google Scholar] [CrossRef]
- Mabey, T.; Honsawek, S. Cytokines as biochemical markers for knee osteoarthritis. World J. Orthop. 2015, 6, 95. [Google Scholar] [CrossRef]
- Mora, J.C.; Przkora, R.; Cruz-Almeida, Y. Knee osteoarthritis: Pathophysiology and current treatment modalities. J. Pain Res. 2018, 11, 2189–2196. [Google Scholar] [CrossRef]
- Richmond, J.; Hunter, D.; Irrgang, J.; Jones, M.H.; Levy, B.; Marx, R.; Snyder-Mackler, L.; Waiters, W.C.; Haralson, R.H.; Turkelson, C.M.; et al. Treatment of Osteoarthritis of the Knee (Nonarthroplasty). J. Am. Acad. Orthop. Surg. 2009, 17, 591. [Google Scholar] [CrossRef]
- Becker, J.C.; Domschke, W.; Pohle, T. Current approaches to prevent NSAID-induced gastropathy—COX selectivity and beyond. Br. J. Clin. Pharmacol. 2004, 58, 587–600. [Google Scholar] [CrossRef]
- Tang, J.Z.; Nie, M.J.; Zhao, J.Z.; Zhang, G.C.; Zhang, Q.; Wang, B. Platelet-rich plasma versus hyaluronic acid in the treatment of knee osteoarthritis: A meta-analysis. J. Orthop. Surg. Res. 2020, 15, 403. [Google Scholar] [CrossRef]
- Dharmayuda, C.G.O.; Kawiyana, I.K.S.; Bakta, I.M.; Astawa, I.N.M.; Astawa, P.; Manuaba, I.B.P.; Suyasa, I.K.; Subawa, A.A.N.; Suroto, H.; Maker, L.P.L.I. Administration of mesenchymal stem cell derivate secretome causes lower levels of Matrix Metalloproteinase-13, Aggrecanase-2, and Interleukin-1β than hyaluronic acid in rabbit knee osteoarthritis. Bali Med. J. 2023, 12, 899–903. [Google Scholar] [CrossRef]
- D’arrigo, D.; Roffi, A.; Cucchiarini, M.; Moretti, M.; Candrian, C.; Filardo, G. Secretome and Extracellular Vesicles as New Biological Therapies for Knee Osteoarthritis: A Systematic Review. J. Clin. Med. 2019, 8, 1867. [Google Scholar] [CrossRef]
- Ibáñez, L.; Guillem-Llobat, P.; Marín, M.; Guillén, M.I. Connection between Mesenchymal Stem Cells Therapy and Osteoclasts in Osteoarthritis. Int. J. Mol. Sci. 2022, 23, 4693. [Google Scholar] [CrossRef] [PubMed]
- Huang, H.Y.; Hsu, C.W.; Lin, G.C.; Lin, H.S.; Chou, Y.J.; Liou, I.H.; Sun, S.F. Comparing efficacy of a single intraarticular injection of platelet-rich plasma (PRP) combined with different hyaluronans for knee osteoarthritis: A randomized-controlled clinical trial. BMC Musculoskelet. Disord. 2022, 23, 954. [Google Scholar] [CrossRef] [PubMed]
- Dilogo, I.H.; Canintika, A.F.; Hanitya, A.L.; Pawitan, J.A.; Liem, I.K.; Pandelaki, J. Umbilical cord-derived mesenchymal stem cells for treating osteoarthritis of the knee: A single-arm, open-label study. Eur. J. Orthop. Surg. Traumatol. 2020, 30, 799–807. [Google Scholar] [CrossRef]
- Khatab, S.; van Osch, G.J.V.M.; Kops, N.; Bastiaansen-Jenniskens, Y.M.; Bos, P.K.; Verhaar, J.A.N.; Bernsen, M.R.; Buul, G.M. Mesenchymal stem cell secretome reduces pain and prevents cartilage damage in a murine osteoarthritis model. Eur. Cell. Mater. 2018, 36, 218–230. [Google Scholar] [CrossRef]
- Matas, J.; Orrego, M.; Amenabar, D.; Infante, C.; Tapia-Limonchi, R.; Cadiz, M.I.; Alcayaga-Miranda, F.; González, P.L.; Muse, E.; Khoury, M.; et al. Umbilical Cord-Derived Mesenchymal Stromal Cells (MSCs) for Knee Osteoarthritis: Repeated MSC Dosing Is Superior to a Single MSC Dose and to Hyaluronic Acid in a Controlled Randomized Phase I/II Trial. Stem Cells Transl. Med. 2019, 8, 215–224. [Google Scholar] [CrossRef]
- Mohd Noor, N.A.; Abdullah Nurul, A.; Ahmad Mohd Zain, M.R.; Wan Nor Aduni, W.K.; Azlan, M. Extracellular Vesicles from Mesenchymal Stem Cells as Potential Treatments for Osteoarthritis. Cells 2021, 10, 1287. [Google Scholar] [CrossRef]
- Palamà, M.E.F.; Shaw, G.M.; Carluccio, S.; Reverberi, D.; Sercia, L.; Persano, L.; Pisignano, D.; Cortese, K.; Barry, F.P.; Murphy, J.M.; et al. The secretome derived from mesenchymal stromal cells cultured in a xeno-free medium promotes human cartilage recovery in vitro. Front. Bioeng. Biotechnol. 2020, 8, 502597. [Google Scholar] [CrossRef]
- Lubis, A.M.T.; Aprianto, P.; Pawitan, J.A.; Priosoeryanto, B.P.; Dewi, T.I.T.; Kamal, A.F. Intra-articular injection of secretome, derived from umbilical cord mesenchymal stem cell, enhances the regeneration process of cartilage in early-stage osteo-arthritis: An animal study. Acta Orthop. 2023, 94, 300. [Google Scholar] [CrossRef]
- Gu, J.; Rao, W.; Huo, S.; Fan, T.; Qiu, M.; Zhu, H.; Chen, D.; Sheng, X. MicroRNAs and long non-coding RNAs in cartilage homeostasis and osteoarthritis. Front. Cell Dev. Biol. 2022, 10, 1092776. [Google Scholar] [CrossRef] [PubMed]
- Yan, L.; Liu, G.; Wu, X. The umbilical cord mesenchymal stem cell-derived exosomal lncRNA H19 improves osteochondral activity through miR-29b-3p/FoxO3 axis. Clin. Transl. Med. 2021, 11, e255. [Google Scholar] [CrossRef]
- Arrigoni, C.; D’Arrigo, D.; Rossella, V.; Candrian, C.; Albertini, V.; Moretti, M. Umbilical Cord MSCs and Their Secretome in the Therapy of Arthritic Diseases: A Research and Industrial Perspective. Cells 2020, 9, 1343. [Google Scholar] [CrossRef] [PubMed]
- Bousnaki, M.; Bakopoulou, A.; Kritis, A.; Koidis, P. The Efficacy of Stem Cells Secretome Application in Osteoarthritis: A Systematic Review of in Vivo Studies. Stem Cell Rev. Rep. 2020, 16, 1222–1241. [Google Scholar] [CrossRef] [PubMed]
- Partan, R.U.; Hidayat, R.; Reagan, M.; Muthia, P. The role of inflammatory cytokine and inflammatory regulatprotein related to severity of joint effusion in osteoarthritis. Open Access Maced. J. Med. Sci. 2020, 8, 214–219. [Google Scholar] [CrossRef]
- Soetjahjo, B.; Hidayat, M.; Sujuti, H.; Fibrianto, Y.H. The significant effect of conditioned medium of umbilical cord mesenchymal stem cells in histological improvement of cartilage defect in Wistar rats. Turk. J. Immunol. 2018, 6, 57–64. [Google Scholar] [CrossRef]
- Soetjahjo, B.; Hidayat, M.; Sujuti, H.; Fibrianto, Y. Immunohistochemistry Evaluation of TGF-β1, SOX-9, Type II Collagen and Aggrecan in Cartilage Lesions Treated with Conditioned Medium of Umbilical Cord Mesencyhmal Stem Cells in Wistar Mice (Rattus novergicus). J. Trop. Life Sci. 2018, 8, 21–27. [Google Scholar] [CrossRef]





| Variable | Total n:30 (%) | Intervention Group | p | |
|---|---|---|---|---|
| UC-MSC Secretome (%) | HA (%) | |||
| Gender | 0.100 a | |||
| Female | 28 (93) | 14 (93) | 14 (93) | |
| Male | 2 (7) | 1 (7) | 1 (7) | |
| BMI | ||||
| Severe Underweight (<17) | 0.056 a | |||
| Underweight (17–18.4) | ||||
| Normal (18.5–25) | 6 (20) | 3 (20) | 3 (30) | |
| Overweight (25.1–27) | 12 (30) | 6 (30) | 6 (30) | |
| Obese (>27) | 12 (30) | 6 (30) | 6 (30) | |
| Physical Activity | 0.232 a | |||
| Mild | 9 (30) | 3 (20) | 6 (40) | |
| Moderate | 21 (70) | 12 (80) | 9 (60) | |
| Severe | ||||
| Kellgren Lawrence Grade | 0.068 a | |||
| Grade 2 | 15 (50) | 10 (67) | 5 (33) | |
| Grade 3 | 15 (50) | 5 (33) | 10 (67) | |
| Serum 25(OH)D Level | 0.057 a | |||
| Normal | ||||
| Insufficiency | 20 (67) | 10 (67) | 10 (67) | |
| Deficiency | 10 (33) | 5 (33) | 5 (33) | |
Disclaimer/Publisher’s Note: The statements, opinions and data contained in all publications are solely those of the individual author(s) and contributor(s) and not of MDPI and/or the editor(s). MDPI and/or the editor(s) disclaim responsibility for any injury to people or property resulting from any ideas, methods, instructions or products referred to in the content. |
© 2023 by the authors. Licensee MDPI, Basel, Switzerland. This article is an open access article distributed under the terms and conditions of the Creative Commons Attribution (CC BY) license (https://creativecommons.org/licenses/by/4.0/).
Share and Cite
Partan, R.U.; Putra, K.M.; Kusuma, N.F.; Darma, S.; Reagan, M.; Muthia, P.; Radiandina, A.S.; Saleh, M.I.; Salim, E.M. Umbilical Cord Mesenchymal Stem Cell Secretome Improves Clinical Outcomes and Changes Biomarkers in Knee Osteoarthritis. J. Clin. Med. 2023, 12, 7138. https://doi.org/10.3390/jcm12227138
Partan RU, Putra KM, Kusuma NF, Darma S, Reagan M, Muthia P, Radiandina AS, Saleh MI, Salim EM. Umbilical Cord Mesenchymal Stem Cell Secretome Improves Clinical Outcomes and Changes Biomarkers in Knee Osteoarthritis. Journal of Clinical Medicine. 2023; 12(22):7138. https://doi.org/10.3390/jcm12227138
Chicago/Turabian StylePartan, Radiyati Umi, Khoirun Mukhsinin Putra, Narisa Felinka Kusuma, Surya Darma, Muhammad Reagan, Putri Muthia, Afifah Salshabila Radiandina, MGS Irsan Saleh, and Eddy Mart Salim. 2023. "Umbilical Cord Mesenchymal Stem Cell Secretome Improves Clinical Outcomes and Changes Biomarkers in Knee Osteoarthritis" Journal of Clinical Medicine 12, no. 22: 7138. https://doi.org/10.3390/jcm12227138
APA StylePartan, R. U., Putra, K. M., Kusuma, N. F., Darma, S., Reagan, M., Muthia, P., Radiandina, A. S., Saleh, M. I., & Salim, E. M. (2023). Umbilical Cord Mesenchymal Stem Cell Secretome Improves Clinical Outcomes and Changes Biomarkers in Knee Osteoarthritis. Journal of Clinical Medicine, 12(22), 7138. https://doi.org/10.3390/jcm12227138

