Bleb Morphology on Anterior-Segment Optical Coherence Tomography after XEN Gel Stent Implantation
Abstract
:1. Introduction
2. Materials and Methods
2.1. Study Participants
2.2. Ophthalmic Examinations
2.3. Surgical Procedures
2.4. Bleb Assessment Using AS-OCT
2.5. Statistical Analysis
3. Results
3.1. Quantitative Bleb Assessment
3.2. Comparison of Changes in IOP between Groups
3.3. Correlation between Bleb Parameters and IOP
3.4. Correlation between Bleb Parameters and Clinical Characteristics
4. Discussion
5. Conclusions
Supplementary Materials
Author Contributions
Funding
Institutional Review Board Statement
Informed Consent Statement
Data Availability Statement
Conflicts of Interest
References
- Balas, M.; Mathew, D.J. Minimally Invasive Glaucoma Surgery: A Review of the Literature. Vision 2023, 7, 54. [Google Scholar] [CrossRef] [PubMed]
- Francis, B.A.; Singh, K.; Lin, S.C.; Hodapp, E.; Jampel, H.D.; Samples, J.R.; Smith, S.D. Novel glaucoma procedures: A report by the American Academy of Ophthalmology. Ophthalmology 2011, 118, 1466–1480. [Google Scholar] [CrossRef]
- Saheb, H.; Ahmed, I.I. Micro-invasive glaucoma surgery: Current perspectives and future directions. Curr. Opin. Ophthalmol. 2012, 23, 96–104. [Google Scholar] [CrossRef]
- Lewczuk, K.; Konopińska, J.; Jabłońska, J.; Rudowicz, J.; Laszewicz, P.; Dmuchowska, D.A.; Mariak, Z.; Rękas, M. XEN Glaucoma Implant for the Management of Glaucoma in Naïve Patients versus Patients with Previous Glaucoma Surgery. J. Clin. Med. 2021, 10, 4417. [Google Scholar] [CrossRef] [PubMed]
- Reitsamer, H.; Sng, C.; Vera, V.; Lenzhofer, M.; Barton, K.; Stalmans, I. Two-year results of a multicenter study of the ab interno gelatin implant in medically uncontrolled primary open-angle glaucoma. Graefe’s Arch. Clin. Exp. Ophthalmol. 2019, 257, 983–996. [Google Scholar] [CrossRef]
- Fea, A.M.; Durr, G.M.; Marolo, P.; Malinverni, L.; Economou, M.A.; Ahmed, I. XEN(®) Gel Stent: A Comprehensive Review on Its Use as a Treatment Option for Refractory Glaucoma. Clin. Ophthalmol. 2020, 14, 1805–1832. [Google Scholar] [CrossRef] [PubMed]
- Lewis, R.A. Ab interno approach to the subconjunctival space using a collagen glaucoma stent. J. Cataract. Refract. Surg. 2014, 40, 1301–1306. [Google Scholar] [CrossRef]
- Furrer, S.; Menke, M.N.; Funk, J.; Töteberg-Harms, M. Evaluation of filtering blebs using the ‘Wuerzburg bleb classification score’ compared to clinical findings. BMC Ophthalmol. 2012, 12, 24. [Google Scholar] [CrossRef]
- Hoffmann, E.M.; Herzog, D.; Wasielica-Poslednik, J.; Butsch, C.; Schuster, A.K. Bleb grading by photographs versus bleb grading by slit-lamp examination. Acta Ophthalmol. 2020, 98, e607–e610. [Google Scholar] [CrossRef]
- Cantor, L.B.; Mantravadi, A.; WuDunn, D.; Swamynathan, K.; Cortes, A. Morphologic classification of filtering blebs after glaucoma filtration surgery: The Indiana Bleb Appearance Grading Scale. J. Glaucoma 2003, 12, 266–271. [Google Scholar] [CrossRef]
- Picht, G.; Grehn, F. Classification of filtering blebs in trabeculectomy: Biomicroscopy and functionality. Curr. Opin. Ophthalmol. 1998, 9, 2–8. [Google Scholar] [CrossRef] [PubMed]
- Wells, A.P.; Crowston, J.G.; Marks, J.; Kirwan, J.F.; Smith, G.; Clarke, J.C.; Shah, R.; Vieira, J.; Bunce, C.; Murdoch, I.; et al. A pilot study of a system for grading of drainage blebs after glaucoma surgery. J. Glaucoma 2004, 13, 454–460. [Google Scholar] [CrossRef] [PubMed]
- Hamanaka, T.; Omata, T.; Sekimoto, S.; Sugiyama, T.; Fujikoshi, Y. Bleb analysis by using anterior segment optical coherence tomography in two different methods of trabeculectomy. Investig. Ophthalmol. Vis. Sci. 2013, 54, 6536–6541. [Google Scholar] [CrossRef]
- Narita, A.; Morizane, Y.; Miyake, T.; Seguchi, J.; Baba, T.; Shiraga, F. Characteristics of early filtering blebs that predict successful trabeculectomy identified via three-dimensional anterior segment optical coherence tomography. Br. J. Ophthalmol. 2018, 102, 796–801. [Google Scholar] [CrossRef]
- Narita, A.; Morizane, Y.; Miyake, T.; Sugihara, K.; Ishikawa, T.; Seguchi, J.; Shiraga, F. Impact of Cataract Surgery on Filtering Bleb Morphology Identified Via Swept-source 3-dimensional Anterior Segment Optical Coherence Tomography. J. Glaucoma 2019, 28, 433–439. [Google Scholar] [CrossRef]
- Tominaga, A.; Miki, A.; Yamazaki, Y.; Matsushita, K.; Otori, Y. The assessment of the filtering bleb function with anterior segment optical coherence tomography. J. Glaucoma 2010, 19, 551–555. [Google Scholar] [CrossRef]
- Tsutsumi-Kuroda, U.; Kojima, S.; Fukushima, A.; Nakashima, K.I.; Iwao, K.; Tanihara, H.; Inoue, T. Early bleb parameters as long-term prognostic factors for surgical success: A retrospective observational study using three-dimensional anterior-segment optical coherence tomography. BMC Ophthalmol. 2019, 19, 155. [Google Scholar] [CrossRef]
- Wagdy, F.M. Bleb Morphology Using Anterior-Segment Optical Coherence Tomography after Ahmed Glaucoma Valve Surgery with Tenon Capsule Resection. J. Ophthalmol. 2020, 2020, 8386135. [Google Scholar] [CrossRef]
- Waibel, S.; Spoerl, E.; Furashova, O.; Pillunat, L.E.; Pillunat, K.R. Bleb Morphology After Mitomycin-C Augmented Trabeculectomy: Comparison Between Clinical Evaluation and Anterior Segment Optical Coherence Tomography. J. Glaucoma 2019, 28, 447–451. [Google Scholar] [CrossRef] [PubMed]
- Kawana, K.; Kiuchi, T.; Yasuno, Y.; Oshika, T. Evaluation of trabeculectomy blebs using 3-dimensional cornea and anterior segment optical coherence tomography. Ophthalmology 2009, 116, 848–855. [Google Scholar] [CrossRef]
- Gambini, G.; Carlà, M.M.; Giannuzzi, F.; Boselli, F.; Grieco, G.; Caporossi, T.; De Vico, U.; Savastano, A.; Baldascino, A.; Rizzo, C.; et al. Anterior Segment-Optical Coherence Tomography Bleb Morphology Comparison in Minimally Invasive Glaucoma Surgery: XEN Gel Stent vs. PreserFlo MicroShunt. Diagnostics 2022, 12, 1250. [Google Scholar] [CrossRef] [PubMed]
- Kim, Y.; Lim, S.H.; Rho, S. Bleb Analysis Using Anterior Segment Optical Coherence Tomography and Surgical Predictors of XEN Gel Stent. Transl. Vis. Sci. Technol. 2022, 11, 26. [Google Scholar] [CrossRef]
- Buffault, J.; Graber, M.; Bensmail, D.; Bluwol, É.; Jeanteur, M.N.; Abitbol, O.; Benhatchi, N.; Sauvan, L.; Lachkar, Y. Efficacy and safety at 6 months of the XEN implant for the management of open angle glaucoma. Sci. Rep. 2020, 10, 4527. [Google Scholar] [CrossRef]
- Laborda-Guirao, T.; Cubero-Parra, J.M.; Hidalgo-Torres, A. Efficacy and safety of XEN 45 gel stent alone or in combination with phacoemulsification in advanced open angle glaucoma patients: 1-year retrospective study. Int. J. Ophthalmol. 2020, 13, 1250–1256. [Google Scholar] [CrossRef]
- Tan, S.Z.; Walkden, A.; Au, L. One-year result of XEN45 implant for glaucoma: Efficacy, safety, and postoperative management. Eye 2018, 32, 324–332. [Google Scholar] [CrossRef]
- Theilig, T.; Rehak, M.; Busch, C.; Bormann, C.; Schargus, M.; Unterlauft, J.D. Comparing the efficacy of trabeculectomy and XEN gel microstent implantation for the treatment of primary open-angle glaucoma: A retrospective monocentric comparative cohort study. Sci. Rep. 2020, 10, 19337. [Google Scholar] [CrossRef] [PubMed]
- Wagner, F.M.; Schuster, A.K.; Emmerich, J.; Chronopoulos, P.; Hoffmann, E.M. Efficacy and safety of XEN®-Implantation vs. trabeculectomy: Data of a “real-world” setting. PLoS ONE 2020, 15, e0231614. [Google Scholar] [CrossRef]
- Chatzara, A.; Chronopoulou, I.; Theodossiadis, G.; Theodossiadis, P.; Chatziralli, I. XEN Implant for Glaucoma Treatment: A Review of the Literature. Semin. Ophthalmol. 2019, 34, 93–97. [Google Scholar] [CrossRef] [PubMed]
- Sacchi, M.; Agnifili, L.; Brescia, L.; Oddone, F.; Villani, E.; Nucci, P.; Mastropasqua, L. Structural imaging of conjunctival filtering blebs in XEN gel implantation and trabeculectomy: A confocal and anterior segment optical coherence tomography study. Graefe’s Arch. Clin. Exp. Ophthalmol. 2020, 258, 1763–1770. [Google Scholar] [CrossRef]
- Teus, M.A.; Paz Moreno-Arrones, J.; Castaño, B.; Castejon, M.A.; Bolivar, G. Optical coherence tomography analysis of filtering blebs after long-term, functioning trabeculectomy and XEN® stent implant. Graefe’s Arch. Clin. Exp. Ophthalmol. 2019, 257, 1005–1011. [Google Scholar] [CrossRef]
- Nakano, N.; Hangai, M.; Nakanishi, H.; Inoue, R.; Unoki, N.; Hirose, F.; Ojima, T.; Yoshimura, N. Early trabeculectomy bleb walls on anterior-segment optical coherence tomography. Graefe’s Arch. Clin. Exp. Ophthalmol. 2010, 248, 1173–1182. [Google Scholar] [CrossRef] [PubMed]
- Lenzhofer, M.; Strohmaier, C.; Hohensinn, M.; Hitzl, W.; Sperl, P.; Gerner, M.; Steiner, V.; Moussa, S.; Krall, E.; Reitsamer, H.A. Longitudinal bleb morphology in anterior segment OCT after minimally invasive transscleral ab interno Glaucoma Gel Microstent implantation. Acta Ophthalmol. 2019, 97, e231–e237. [Google Scholar] [CrossRef]
- Beauchamp, G.R.; Parks, M.M. Filtering surgery in children: Barriers to success. Ophthalmology 1979, 86, 170–180. [Google Scholar] [CrossRef] [PubMed]
- Khaw, P.T.; Migdal, C.S. Current techniques in wound healing modulation in glaucoma surgery. Curr. Opin. Ophthalmol. 1996, 7, 24–33. [Google Scholar] [CrossRef]
- Hoang, T.K.H.; Kim, Y.K.; Jeoung, J.W.; Park, K.H. Relationship between age and surgical success after trabeculectomy with adjunctive mitomycin C. Eye 2018, 32, 1321–1328. [Google Scholar] [CrossRef] [PubMed]
- Wong, J.K.W.; Leung, T.K.; Lai, J.S.; Chan, J.C. Evaluation of Adverse Effects of Topical Glaucoma Medications on Trabeculectomy Outcomes Using the Glaucoma Medications Intensity Index. Ophthalmol. Ther. 2022, 11, 387–401. [Google Scholar] [CrossRef]
- Lavin, M.J.; Wormald, R.P.; Migdal, C.S.; Hitchings, R.A. The influence of prior therapy on the success of trabeculectomy. Arch. Ophthalmol. 1990, 108, 1543–1548. [Google Scholar] [CrossRef] [PubMed]
- Rockwood, E.J.; Parrish, R.K., 2nd; Heuer, D.K.; Skuta, G.L.; Hodapp, E.; Palmberg, P.F.; Gressel, M.G.; Feuer, W. Glaucoma filtering surgery with 5-fluorouracil. Ophthalmology 1987, 94, 1071–1078. [Google Scholar] [CrossRef]
- Young, T.L.; Higginbotham, E.J.; Zou, X.L.; Farber, M.D. Effects of topical glaucoma drugs on fistulized rabbit conjunctiva. Ophthalmology 1990, 97, 1423–1427. [Google Scholar] [CrossRef]
- Sherwood, M.B.; Grierson, I.; Millar, L.; Hitchings, R.A. Long-term morphologic effects of antiglaucoma drugs on the conjunctiva and Tenon’s capsule in glaucomatous patients. Ophthalmology 1989, 96, 327–335. [Google Scholar] [CrossRef]
- Hong, S.; Lee, C.S.; Seo, K.Y.; Seong, G.J.; Hong, Y.J. Effects of topical antiglaucoma application on conjunctival impression cytology specimens. Am. J. Ophthalmol. 2006, 142, 185–186. [Google Scholar] [CrossRef] [PubMed]
- Seol, B.R.; Lee, S.Y.; Kim, Y.J.; Kim, Y.K.; Jeoung, J.W.; Park, K.H. Comparison of the Efficacy and Safety of Trabeculectomy with Mitomycin C According to Concentration: A Prospective Randomized Clinical Trial. J. Clin. Med. 2020, 10, 59. [Google Scholar] [CrossRef] [PubMed]




| Internal-Cavity | Uniform | p Value | |
|---|---|---|---|
| Number of eyes | 9 | 9 | |
| Age (years) | 64.6 ± 13.4 | 51.1 ± 17.4 | 0.077 a |
| Sex (M:F) | 3:6 | 5:4 | 0.343 b |
| Baseline IOP (mmHg) | 24.1 ± 5.6 | 24.6 ± 6.5 | 0.931 a |
| Baseline VA (logMAR) | 0.63 ± 0.91 | 0.67 ± 1.08 | 0.340 a |
| Baseline MD (dB) | −20.06 ± 8.81 | −11.66 ± 9.07 | 0.142 a |
| Number of anti-glaucoma medications | |||
| Baseline | 3.6 ± 0.7 | 3.8 ± 0.8 | 0.546 a |
| 6 months after surgery | 1.4 ± 1.2 | 2.3 ± 1.4 | 0.612 a |
| 1 year after surgery | 1.9 ± 1.2 | 2.1 ± 1.1 | 0.238 a |
| Number of bleb needlings | 0.3 ± 0.5 | 0.6 ± 1.1 | 0.198 a |
| Combined cataract surgery (%) | 11.1 | 22.2 | 0.527 b |
| Internal Cavity | Uniform | p Value | |
|---|---|---|---|
| 6 month post-surgery | |||
| Bleb height (μm) | 1.23 ± 0.55 | 0.69 ± 0.32 | 0.031 a |
| Height of internal cavity (μm) | 0.74 ± 0.58 | 0.00 ± 0.00 | <0.001 a |
| Bleb wall thickness (μm) | 0.38 ± 0.12 | 0.47 ± 0.26 | 0.340 a |
| Bleb epithelial thickness (μm) | 0.10 ± 0.03 | 0.10 ± 0.02 | 0.931 a |
| 1 year post-surgery | |||
| Bleb height (μm) | 1.28 ± 0.47 | 0.70 ± 0.35 | 0.039 a |
| Height of internal cavity (μm) | 0.86 ± 0.56 | 0.00 ± 0.00 | 0.001 a |
| Bleb wall thickness (μm) | 0.30 ± 0.24 | 0.41 ± 0.42 | 0.495 a |
| Bleb epithelial thickness (μm) | 0.08 ± 0.02 | 0.08 ± 0.04 | 0.755 a |
| Baseline Intraocular Pressure | ||||||
|---|---|---|---|---|---|---|
| Internal Cavity | Uniform | Total | ||||
| r | p | r | p | r | p | |
| Bleb height (μm) | −0.669 | 0.049 | −0.017 | 0.966 | −0.253 | 0.310 |
| Height of internal cavity (μm) | −0.720 | 0.029 | N/A | N/A | −0.245 | 0.327 |
| Bleb wall thickness (μm) | 0.452 | 0.222 | −0.042 | 0.915 | 0.245 | 0.327 |
| Bleb epithelial thickness (μm) | 0.781 | 0.013 | −0.025 | 0.949 | 0.343 | 0.163 |
| Postoperative Intraocular Pressure | ||||||
| Internal Cavity | Uniform | Total | ||||
| r | p | r | p | r | p | |
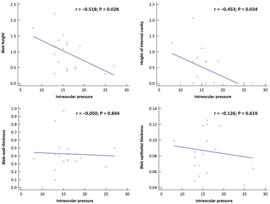
| Bleb height (μm) | −0.405 | 0.279 | −0.324 | 0.395 | −0.518 | 0.028 |
| Height of internal cavity (μm) | −0.396 | 0.292 | −0.204 | 0.661 | −0.453 | 0.034 |
| Bleb wall thickness (μm) | 0.209 | 0.589 | −0.280 | 0.465 | −0.050 | 0.844 |
| Bleb epithelial thickness (μm) | 0.368 | 0.330 | −0.454 | 0.220 | −0.126 | 0.619 |
| Age | ||||||
|---|---|---|---|---|---|---|
| Internal Cavity | Uniform | Total | ||||
| r | p | r | p | r | p | |
| Bleb height (μm) | 0.102 | 0.795 | 0.567 | 0.112 | 0.561 | 0.015 |
| Height of internal cavity (μm) | 0.000 | 1.000 | N/A | N/A | 0.398 | 0.102 |
| Bleb wall thickness (μm) | 0.599 | 0.117 | 0.400 | 0.286 | 0.416 | 0.086 |
| Bleb epithelial thickness (μm) | −0.094 | 0.810 | 0.650 | 0.058 | 0.217 | 0.387 |
| Male Sex | ||||||
| Internal Cavity | Uniform | Total | ||||
| r | p | r | p | r | p | |
| Bleb height (μm) | 0.091 | 0.815 | −0.520 | 0.152 | −0.280 | 0.260 |
| Height of internal cavity (μm) | 0.000 | 1.000 | N/A | N/A | −0.207 | 0.409 |
| Bleb wall thickness (μm) | 0.183 | 0.638 | −0.346 | 0.361 | −0.194 | 0.441 |
| Bleb epithelial thickness (μm) | 0.506 | 0.164 | −0.173 | 0.656 | 0.173 | 0.493 |
| Duration of Glaucoma | ||||||
| Internal Cavity | Uniform | Total | ||||
| r | p | r | p | r | p | |
| Bleb height (μm) | −0.500 | 0.170 | 0.067 | 0.865 | −0.178 | 0.481 |
| Height of internal cavity (μm) | −0.383 | 0.308 | N/A | N/A | −0.207 | 0.409 |
| Bleb wall thickness (μm) | 0.550 | 0.125 | 0.117 | 0.765 | 0.240 | 0.338 |
| Bleb epithelial thickness (μm) | −0.160 | 0.682 | −0.100 | 0.798 | −0.095 | 0.709 |
| Amount of Anti-Glaucoma Medication at Baseline | ||||||
| Internal Cavity | Uniform | Total | ||||
| r | p | r | p | r | p | |
| Bleb height (μm) | −0.722 | 0.028 | −0.298 | 0.436 | −0.486 | 0.041 |
| Height of internal cavity (μm) | −0.552 | 0.123 | N/A | N/A | −0.363 | 0.138 |
| Bleb wall thickness (μm) | 0.027 | 0.946 | −0.056 | 0.886 | −0.085 | 0.737 |
| Bleb epithelial thickness (μm) | 0.094 | 0.809 | −0.093 | 0.812 | 0.000 | 1.000 |
Disclaimer/Publisher’s Note: The statements, opinions and data contained in all publications are solely those of the individual author(s) and contributor(s) and not of MDPI and/or the editor(s). MDPI and/or the editor(s) disclaim responsibility for any injury to people or property resulting from any ideas, methods, instructions or products referred to in the content. |
© 2023 by the authors. Licensee MDPI, Basel, Switzerland. This article is an open access article distributed under the terms and conditions of the Creative Commons Attribution (CC BY) license (https://creativecommons.org/licenses/by/4.0/).
Share and Cite
Wy, S.; Shin, Y.I.; Kim, Y.K.; Jeoung, J.W.; Park, K.H. Bleb Morphology on Anterior-Segment Optical Coherence Tomography after XEN Gel Stent Implantation. J. Clin. Med. 2023, 12, 6740. https://doi.org/10.3390/jcm12216740
Wy S, Shin YI, Kim YK, Jeoung JW, Park KH. Bleb Morphology on Anterior-Segment Optical Coherence Tomography after XEN Gel Stent Implantation. Journal of Clinical Medicine. 2023; 12(21):6740. https://doi.org/10.3390/jcm12216740
Chicago/Turabian StyleWy, Seoyoung, Young In Shin, Young Kook Kim, Jin Wook Jeoung, and Ki Ho Park. 2023. "Bleb Morphology on Anterior-Segment Optical Coherence Tomography after XEN Gel Stent Implantation" Journal of Clinical Medicine 12, no. 21: 6740. https://doi.org/10.3390/jcm12216740
APA StyleWy, S., Shin, Y. I., Kim, Y. K., Jeoung, J. W., & Park, K. H. (2023). Bleb Morphology on Anterior-Segment Optical Coherence Tomography after XEN Gel Stent Implantation. Journal of Clinical Medicine, 12(21), 6740. https://doi.org/10.3390/jcm12216740

