Abstract
Primary cardiac schwannoma (PCS) is a neurogenic tumor that arises from Schwann cells. Malignant schwannoma (MSh) is an aggressive cancer comprising 2% of all sarcomas. Information on the proper management of these tumors is limited. Four databases were searched for case reports/series of PCS. The primary outcome was overall survival (OS). Secondary outcomes included therapeutic strategies and the corresponding outcomes. Among 439 potentially eligible studies, 53 met the inclusion criteria. The patients included had 43.72 ± 17.76 years and 28.3% were males. Over 50% of patients had MSh, with 9.4% also demonstrating metastases. Schwannoma commonly occurs in the atria (66.0%). Left-sided PCS were more common than right-sided ones. Surgery was performed in almost 90% of the cases; chemotherapy and radiotherapy were used in 16.9% and 15.1% of cases, respectively. Compared to benign cases, MSh occurs at a younger age and is commonly located on the left side. OS of the entire cohort at 1 and 3 years were 60.7%, and 54.0%, respectively. Females and males OS were similar up to 2 years follow-up. Surgery was associated with higher OS (p < 0.01). Surgery is the primary treatment option for both benign and malignant cases and was the only factor associated with a relative improvement in survival.
1. Introduction
Primary cardiac tumors are extremely rare tumors with a prevalence of 0.02–0.056% [1]. Primary cardiac neurogenic tumors are incredibly rare [2,3,4]. These tumors typically arise from Schwann cells and can be either benign or malignant. Malignant peripheral nerve sheath tumors (MPNSTs), also called malignant schwannoma, or neurofibrosarcoma are an aggressive type of cancer that make up only 2% of all sarcomas [5]. They have a high rate of recurrence and metastasis [6,7,8]. Cardiac MPNSTs are even rarer, accounting for only 0.75% of all primary cardiac tumors [2,3,4]. Due to their rarity, there is limited knowledge of the clinical manifestations, imaging features, and proper management of these tumors. Surgical resection is the primary method of treatment for both benign and malignant cases, often followed by radiation and/or chemotherapy to reduce the risk of recurrence and spread in malignant cases [9,10]. Imaging including computed tomography (CT) and magnetic resonance imaging (MRI) can aid in the diagnosis and assessment of the tumor, while transthoracic echocardiography (TTE) is a common method to detect the presence and location of a cardiac mass. It is often difficult to distinguish between benign and malignant cases based on imaging findings, making the perioperative diagnosis a challenging task [11]. Genetic studies have identified specific gene mutations in MPNSTs, such as neurofibromatosis 1 (NF1), polycomb repressive complex 2 (SUZ12), embryonic ectoderm development (EED), the tumor suppressor gene P53 (TP53), and cyclin-dependent kinase inhibitor 2A (CDKN2A), providing a deeper understanding of the complexity of these tumors [12].
In the context of rare diseases, a meta-analysis of case reports (MACRs) can provide valuable information about the diagnosis, management, and outcomes of these conditions, which may not have been studied in large-scale randomized controlled trials (RCTs). MACRs can help to identify patterns and associations among rare cases and can provide insights into the natural history, clinical presentation, and treatment options for rare diseases. They can also help to identify potential risk factors and prognostic indicators for these conditions [13]. Herein, we conducted a MACR for one such rare disease, cardiac schwannoma.
2. Materials and Methods
2.1. Search Strategy
This systematic review and meta-analysis were conducted according to the preferred reporting items for systematic reviews and meta-analyses (PRISMA) guidelines [14]. The PRISMA flowchart is presented in Supplementary Figure S1. The Ovid MEDLINE, Ovid Embase, Web of Science, and Cochrane Library databases were searched until November 2022 for publications reporting case reports of cardiac schwannomas. The full search strategy is shown in Supplementary Table S1. Furthermore, the references of all studies and reviews were examined to identify additional articles (i.e., “backward snowballing”). To limit publication bias, there were no publication date or language restrictions on the search strategy.
This review was registered with the PROSPERO register of systematic reviews (ID: CRD42023393128). There was no individual patient involvement in this study; as such, research ethics board approval or patient’s consent was not required.
2.2. Study Selection
The following steps were taken for study selection: (1) identification of titles of records through database search; (2) removal of duplicates; (3) screening and selection of abstracts; (4) assessment for eligibility through full-text articles; and (5) final inclusion in study. Studies were independently screened for inclusion by two authors (M.B. and A.D.). Discrepancies were arbitrated by a third author (M.R.) to achieve consensus. Articles considered for inclusion were all case reports and case series of cardiac schwannoma.
2.3. Data Extraction and Critical Appraisal
Microsoft Office 365 Excel software (Microsoft, Redmond, WA, USA) was used for data extraction. Data on the study period, study center, and country were retrieved. The following patient characteristics were abstracted: age, sex, history of cancer, schwannomatosis, neurofibromatosis, malignancy, position inside the heart, and therapeutic strategy.
The Joanna Briggs Institute critical appraisal tool was used for critical appraisal of the quality of the included case reports [15].
2.4. Outcomes of Interest
The primary outcome was to identify the overall survival (OS) of the entire cohort. OS was defined as the length of time from either the date of surgery or the start of treatment of patients diagnosed with PCS that are still alive. Secondary outcomes were the analysis of therapeutic strategies and the corresponding outcomes. Subgroup analyses were performed according to sex, location within the heart, malignancy, and surgery vs. no surgery. Finally, predictors of late mortality were identified.
2.5. Statistical Analysis
Continuous data were presented as median and interquartile range and compared using Mann–Whitney U test or as mean and standard deviation and compared using a t-test after testing for normality. Categorical data were presented as frequency count and percentages and compared across groups using Chi-square or Fisher’s test, as appropriate.
Overall survival was estimated using Kaplan–Meier methods, presented as survival percentage ± standard error, and compared among groups using a log-rank test. Cox regression was used to identify the predictors of late mortality and was reported as hazard ratio (HRs), and their 95% confidence intervals (95% CI). Firth biased-reduced correction was applied to overcome broad confidence intervals. Variables were selected for multivariate analysis based on their statistical and clinical significance. A barplot was used to assess the geographical trends of reported case reports. Data were analyzed using R version 4.2.2 (R Foundation for Statistical Computing, Vienna, Austria) within RStudio (Vienna, Austria). “Tableone”, “Survival”, and “Survminer” R packages were used.
3. Result
3.1. Study Selection and Characteristics
The medical literature search identified 439 potentially eligible studies. Seven additional articles were identified through backward snowballing. After the removal of duplicates, 259 studies were screened. Fifty-five full-text articles were assessed for eligibility. Fifty-three papers [16,17,18,19,20,21,22,23,24,25,26,27,28,29,30,31,32,33,34,35,36,37,38,39,40,41,42,43,44,45,46,47,48,49,50,51,52,53,54,55,56,57,58,59,60,61,62,63,64,65,66,67,68] met the inclusion criteria. Supplementary Figure S1. Of note, schwannomas involving the aorta, pulmonary artery, or pericardium were not considered included here. Details of the patient’s characteristics are shown in Table 1 and Supplementary Table S2. The critical appraisal of the included studies is shown in Supplementary Table S3. Most cases were reported in the United States (ten cases), followed by China (nine patients), and Japan (five cases). Supplementary Figure S2.
Table 1.
Patients’ characteristics of the included studies.
Only two patients underwent preoperative biopsy to confirm the diagnosis (one malignant, one benign) before surgery was performed. In three patients the diagnosis (all malignant cases) was achieved at autopsy, in two patients because the patient died before the final diagnosis, and in one patient because it was considered terminally ill and the cardiac mass was not further investigated. Two patients did not undergo surgery as the preoperative biopsy showed a malignant histology. In all the other patients the final diagnosis was obtained from the surgical specimen pathologic evaluation.
3.2. Meta-Analysis of the Outcomes
The mean age of the overall population was 43.72 ± 17.76 years, with 15 (28.3%) male patients. More than half of the patients presented with a malignant form of the disease, and five (9.4%) with metastases. A total of 46 patients were diagnosed after surgical specimen pathologic evaluation, four patients were diagnosed through a preoperative biopsy and three patients at autopsy. The atrium was the location where the majority of occurrences happened (66.0%), and lesions on the left side were more prevalent than those on the right. Of note, there was only one case of neurofibromatosis and another case of schwannomatosis. There were no embolization events reported. Surgery was performed in almost 90% of the cases with additional chemotherapy and radiotherapy in 16.9% and 15.1% of cases, respectively. The six patients that did not undergo surgery were due to death before diagnosis in two, not amenable to surgery due to extension and/or metastasis in three, or considered terminally ill in one. In four out of these six patients, the tumor was located in the ventricle. Of note, no use of heart transplantation for treatment was reported in any included study. A total of 13 deaths occurred, and seven recurrences of cardiac schwannoma were reported, both of which were in malignant cases. At follow-up, the crude mortality was 26.7% and 26.5% for males and females, respectively (p = 0.901), while it was 25.0% and 29.2% for the right and left tumor side, respectively (p = 0.999). Outcomes are summarized in Table 1.
Overall survival of the entire cohort at 1, 2, and 3 years were 60.7% ± 9.6%, 54.0% ± 10.6%, and 54.0% ± 10.6%, respectively, Table 2 and Supplementary Figure S3. Malignancy was identified as a risk factor, while surgery was a protective factor for late survival, at both univariable and multivariable Cox regression, Table 3.
Table 2.
Kaplan–Meier obtained survival at 1,2, and 3 years.
Table 3.
Factors affecting overall mortality in Cox regression among (A) Overall cohort and (B) Malignant subgroup.
3.3. Subgroup Analysis
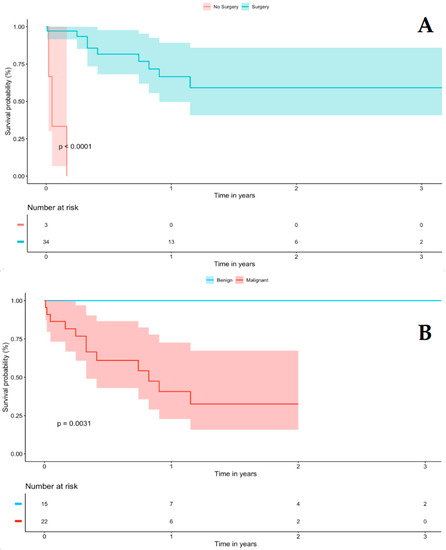
No significant differences between sexes were found. Overall, patients undergoing surgery showed higher survival rates compared to no surgery in the whole cohort (log-rank p < 0.001) Figure 1A as well as in the malignant subgroup (log-rank p = 0.003) Figure 1B, while no survival differences were noted between left and right lesions (log-rank p = 0.99) and between sex (log-rank p = 0.80) up to 2 years follow-up, Supplementary Figure S4). Only 14 papers reported surgical margins after resection, eight were R0 (four benign, four malignant) and six were R2 (two benign, four malignant). All R0 survived, while three R2 died (all malignant).
Figure 1.
Kaplan–Meier curve of overall survival comparing (A) surgery vs. no surgery and (B) malignant vs. benign tumors.
Patients with malignant tumors were older (p = 0.041), presented with more left-sided lesions (p = 0.016), and had worse survival rates (p = 0.003). Kaplan–Meier curves confirmed higher mortality rates in the malignant subgroup compared to benign lesions (40.7% ± 12.0% vs. 100% at 1 year, respectively, log-rank p = 0.0031) Figure 1B. Patients with malignant disease undergoing surgery had longer survival when compared to no surgery (HR 0.057 [95% CI: 0.0053–0.617, p = 0.018] Table 3. Tumor characteristics were not always reported, but among the malignant cases 15/20 (75%) were greater than 5 cm, 4/8 (50%) had a high grading (≥3), and 5/14 (36%) had a high mitotic index (>30%).
Subgroup analysis for late mortality after adjustment for sex revealed the absence of significant difference in relation to prior cancer (p = 0.924), laterality (p = 0.818), location (p = 0.141), and surgery (0.972), Supplementary Figure S5; while after adjustment for cardiac location revealed the absence of significant difference in relation to sex (p = 0.818), prior cancer (p = 0.942), location (p = 0.527), and surgery (0.358), Supplementary Figure S6.
4. Discussion
4.1. Incidence, Prevalence, and Sites
Primary cardiac tumors are extremely rare tumors [1,69] and cardiac schwannomas are even more rare. The exact incidence and prevalence of these tumors are not well known. These tumors originate from the nerve sheath cells (Schwann cells) of the cardiac plexus, as well as the base maker, and the conduction system. Based on our findings, they are more commonly found in the fifth decade and more common in women than in men (38 vs. 15 cases, respectively). The most common site of origin for cardiac schwannomas is the atria (66.0%), as it is rich in nerves that originate from the superior and inferior cervical sympathetic ganglia 28,59,67. The cardiac branch of the vagus nerve is a common origin. Cardiac schwannomas can also originate from ventricles (28.3%) [42,55,64], and from the conduction system of the heart (septal in location, 3 cases, 5.7%), specifically the atrioventricular (AV) node [57] and the bundle of His. These tumors are less common than those that originate from the atria.
Cardiac schwannoma can be benign or malignant. Benign cardiac schwannomas, also called neurofibromas, are characterized by slow growth and a low likelihood of invading surrounding structures or metastasizing [64]. These tumors can be asymptomatic and discovered incidentally during imaging studies for other reasons [1,26,34,39,42,59,67,70]. The symptoms vary according to size and location (exertional dyspnea, syncope, atrial fibrillation, fatigue, and palpitations) [16,18,19,28,36,50,55,56,57,65,71]. Malignant cardiac schwannomas (also called neurofibrosarcomas, or MPNSTs), on the other hand, are an aggressive subtype. They are characterized by a higher likelihood of invading surrounding structures and metastasizing [22,24]. They are often symptomatic and can cause arrhythmias, embolic events, chest pain, and compression symptoms [17,20,21,22,24,25,26,29,35,43,44,45,46,48,49,51,52,54,60,61,62,63,72]. In this meta-analysis, more than 50% of the reported cases were malignant (29/53 cases) which denotes that the incidence of cardiac MPNST is more than that of benign cases.
Cardiac schwannomas can be sporadic or hereditary. The most well-known genetic disorder associated with familial cardiac schwannomas is neurofibromatosis type 1 (NF1), and type 2 (NF2). Both conditions have an autosomal dominant inheritance that leads to the development of multiple benign tumors, including schwannomas and meningiomas10. Malignant transformation to MPNST can occur on top of atypical plexiform neurofibroma10. Almost half of all MPNSTs arise in the context of NF1 syndrome [9,72,73,74,75], while others occur sporadically or after radiation exposure [7,8]. The most frequent sites of MPNSTs are the extremities (45%), the trunk (34%), and head and neck region (19%) [9,76,77]. Unusual visceral locations of MPNSTs in these contexts have been reported [9,73,78,79]. Studies have suggested that malignant cardiac schwannomas may be more commonly associated with NF1 than with NF2 [10,58]. There is no evidence that spontaneous MPNST is a feature of NF2. King et al. reported that the rate of MPNST per benign cranial nerves schwannoma, particularly the vestibulocochlear nerve schwannoma in NF2 patients is lower than previously reported in the general population [80]. Among 27 cardiac MPNSTs cases included in this meta-analysis, only one case arises on top of preexisting intra-cardiac plexiform neurofibroma [58].
Other genetic disorders associated with familial cardiac schwannomas include schwannomatosis and schwannomatosis-like disorders [67]. Schwannomatosis is an autosomal dominant disorder characterized by the development of multiple schwannomas, and it is caused by mutations in the SMARCB1 and LZTR1 genes [81,82]. Schwannomatosis-like disorders are rare disorders that share clinical and genetic features with schwannomatosis but are caused by mutations in the SMARCE1 gene [83]. In this meta-analysis, we had only one such case in a 46-year-old asymptomatic man [67].
Outside these genetic syndromes, through our cases review, we found that few studies reported another association of cardiac schwannoma with other malignant tumors, such as lung cancer [48,64], renal cell carcinoma [19], ovarian cancer [26,41], breast cancer [51], colon cancer [39], parathyroid carcinoma [20], and lymphoma [72].
4.2. Diagnostic Tools
Diagnostic imaging plays an important role in the diagnosis of cardiac schwannomas. It is important to note that the diagnosis is usually confirmed by histological examination. The most used imaging modalities include echocardiography [1], CT [65], MRI [84], and positron emission tomography (PET) [65]. Each of these modalities provides different information (the location, size, and relationship of the tumor to surrounding structures and to differentiate it from other cardiac masses) and can be used in combination to make the diagnosis and plan for treatment. Several studies have shown that the diffusion pattern observed in diffusion-weighted MRI can be utilized to distinguish between benign neurofibroma and MPNST [85,86,87]. According to the findings of Koike H et al, a specific cutoff value of the mean apparent diffusion coefficient (ADC) at 1.85 × 10–3 mm2/s resulted in a sensitivity of 80% and a specificity of 74%. Moreover, the mean and minimum ADC values were significantly lower in MPNST than in benign neurofibroma (with p-values of 0.03 and 0.003, respectively) [85].
4.3. Management
The management of malignant cardiac schwannomas is challenging, and the optimal approach is not well-established due to its rarity. Treatment options are limited, and the best approach is tailored to the individual case and depends on many factors, including the size, location, tumor invasiveness, and the patient’s overall health and treatment goals. Surgery (including heart transplant) is the primary treatment for benign and malignant cardiac schwannomas, and it is usually the first-line treatment, as a general rule for all MPNSTs [8,88]. MPNSTs are well known to be chemo-resistant and relatively radio-resistant [89]. As a result, chemotherapy and radiotherapy are not standard treatments, but they can be considered as salvage therapy in cases of unresectable or recurrent tumors or in cases where surgery is not possible or appropriate, as a neo-adjuvant treatment for locally advanced cases, or in cases with residual disease after resection [90,91,92,93,94,95]. There are limited data on the efficacy of chemoradiation in these cases as studies have reported varying response rates, and the long-term outcomes are not well known. However, chemoradiation therapy might improve the local control but does not affect overall survival [8,96,97]. There is no consensus on the best chemotherapy regimen [92]. Some studies have used a combination of drugs, such as doxorubicin, cisplatin, and etoposide [92,95], while others have used single agents, such as doxorubicin or ifosfamide [91,98,99]. The data about the type of chemotherapy used was not reported in all the included papers of this meta-analysis. However, the most used was ifosfamide among the others (doxorubicin, docetaxel, actinomycin D, vincristine, and cyclophosphamide). Nowadays, with a good molecular understanding of these tumors (which includes upregulation of mitogen-activated protein kinase (RAS/MAPK), phosphoinositide 3-kinase (Pi3K), and the mammalian target of rapamycin (MTOR) pathways [99]), new evolving targeted therapy are now under investigations, and new insights into therapeutic options for MPNST will likely result [100]. The use of radiotherapy for cardiac MPNSTs is limited due to the proximity of the tumor to critical structures and the potential for radiation-induced toxicity that affect the heart, lung, and other structures. Twenty-four out of 27 cases of cardiac MPNSTs in our meta-analysis underwent surgical resection with or without chemoradiation. Only three cases were locally advanced and beyond surgical intervention. All benign cases underwent resection of the tumor with good outcomes.
4.4. Prognosis, and Prognostic Factors
Despite aggressive combined modality therapy, 5-year survival rates of MPNSTs range from 35% to 50% in many series [94,101,102]. In our study, surgery was the most important determinant of better survival in both univariate and multivariate analyses. Two-year survival was 59.2% ± 11.2% for cases that underwent surgery vs. zero for the no surgery group. This observation is consistent with several other studies, which report that complete surgical resection is of utmost importance in its impact on survival [94,102]. The crude 5-year actuarial disease-specific mortality rate was 100% for patients who underwent a partial resection, and 5-year survival was 50% for those who underwent complete resection in one series of MPNSTs all over the body [7]. Due to the relatively small sample size, the pathological findings (grade, mitotic index, and tumor size) are not statistically significant predictors of survival in our study. However, most clinical series recognize tumor size as a significant factor impacting survival [94,101,102,103,104]. Zou et al. reported that tumors >10 cm were associated with a three-fold increased risk of developing distant metastases [7]. The mitotic index measured by Ki-67 expression is considered one of the most important prognostic indicators in sarcomas, and elevated Ki-67 expression (i.e., high mitotic index) has been linked to decreased survival in soft tissue MPNSTs [105,106,107]. The mitotic index in our study does not have a negative impact on survival. This might be due to the small sample size, as well as some data missing.
4.5. Strength and Limitations
While this meta-analysis of case reports is the first one on cardiac schwannoma, it has several limitations that should be considered. They are based on a small number of cases, often in a diverse group of patients with different characteristics, and may not include all relevant information. They may be subject to publication bias when only surgically resected, positive, or significant results are more likely to be published. This can lead to overestimating the effectiveness of interventions or the frequency of certain conditions.
5. Conclusions
In this meta-analysis, more than half of the cases were found to be malignant. Both benign and malignant cases were commonly located in the atria, and there was no significant difference in outcome between males and females. However, malignant cases were found to occur at a younger age and were more frequently located on the left side compared to benign cases. Preoperative diagnosis of these tumors was challenging, with most cases being diagnosed after surgical resection and pathological evaluation. Surgery is the primary treatment option for both benign and malignant cases, while chemotherapy and radiation therapy may be used as adjuvant or neoadjuvant therapy for malignant cases that do not respond well to surgery. For cardiac MPNSTs, survival rates were poor, and on multivariate analysis, complete surgical resection was the only factor that was associated with a relative improvement of 2-year overall survival.
Supplementary Materials
The following supporting information can be downloaded at: https://www.mdpi.com/article/10.3390/jcm12103356/s1, Figure S1: PRISMA flow diagram of the included studies; Figure S2: Number of cases per country; Figure S3: Kaplan–Meier curve showing the overall survival of the entire cohort; Figure S4: Kaplan–Meier curve of overall survival comparing (A) females vs. males and (B); Figure S5: Subgroup analysis for late mortality after adjustment for sex; Figure S6: Subgroup analysis for late mortality after adjustment for cardiac location. Table S1: Search strategy; Table S2: Overview of included studies; Table S3: Joanna Briggs Institute Critical Appraisal tool.
Author Contributions
Conceptualization, M.R. and M.B.; methodology, M.R. and M.B.; software, M.R. and M.B.; validation, M.R. and M.B.; formal analysis, M.R. and M.B.; investigation, all authors; resources, M.R., A.T., M.M.E.-S.A., C.L., L.G., M.G., R.L. and S.L.M.; data curation, M.B., S.K., A.D., E.I. and Y.N.; writing—original draft preparation, M.R., M.B., S.K. and A.D.; writing—review and editing, all authors.; visualization, M.B., S.K., A.D., E.I. and Y.N.; supervision, M.R., A.T., M.M.E.-S.A., C.L., L.G., M.G., R.L. and S.L.M.; project administration, M.R., M.B., and S.L.M. All authors have read and agreed to the published version of the manuscript.
Funding
This research received no external funding.
Institutional Review Board Statement
There was no individual patient involvement in this study; as such, research ethics board approval or patient consent are not required.
Informed Consent Statement
There was no individual patient involvement in this study; as such, research ethics board approval or patient consent are not required.
Data Availability Statement
The data that support the findings of this study are available from the corresponding author upon reasonable request.
Conflicts of Interest
The authors declare no conflict of interest.
References
- Butany, J.; Nair, V.; Naseemuddin, A.; Nair, G.M.; Catton, C.; Yau, T. Cardiac tumours: Diagnosis and management. Lancet Oncol. 2005, 6, 219–228. [Google Scholar] [CrossRef] [PubMed]
- Katz, D.; Lazar, A.; Lev, D. Malignant peripheral nerve sheath tumour (MPNST): The clinical implications of cellular signalling pathways. Expert Rev. Mol. Med. 2009, 11, e30. [Google Scholar] [CrossRef] [PubMed]
- Kar, M.; Deo, S.V.S.; Shukla, N.K.; Malik, A.; DattaGupta, S.; Mohanti, B.K.; Thulkar, S. Malignant peripheral nerve sheath tumors (MPNST)—Clinicopathological study and treatment outcome of twenty-four cases. World J. Surg. Oncol. 2006, 4, 55. [Google Scholar] [CrossRef] [PubMed]
- Gupta, G.; Maniker, A. Malignant peripheral nerve sheath tumors. Neurosurg. Focus 2007, 22, 1–8. [Google Scholar] [CrossRef] [PubMed]
- Farid, M.; Ngeow, J. Sarcomas Associated with Genetic Cancer Predisposition Syndromes: A Review. Oncologist 2016, 21, 1002–1013. [Google Scholar] [CrossRef] [PubMed]
- Watson, K.L.; Al Sannaa, G.A.; Kivlin, C.M.; Ingram, D.R.; Landers, S.M.; Roland, C.L.; Cormier, J.N.; Hunt, K.K.; Feig, B.W.; Guadagnolo, B.A.; et al. Patterns of recurrence and survival in sporadic, neurofibromatosis Type 1–Associated, and radiation-associated malignant peripheral nerve sheath tumors. J. Neurosurg. 2017, 126, 319–329. [Google Scholar] [CrossRef] [PubMed]
- Zou, C.; Smith, K.D.; Liu, J.; Lahat, G.; Myers, S.; Wang, W.-L.; Zhang, W.; McCutcheon, I.E.; Slopis, J.M.; Lazar, A.J.; et al. Clinical, Pathological, and Molecular Variables Predictive of Malignant Peripheral Nerve Sheath Tumor Outcome. Ann. Surg. 2009, 249, 1014–1022. [Google Scholar] [CrossRef]
- Stucky, C.-C.H.; Johnson, K.N.; Gray, R.J.; Pockaj, B.A.; Ocal, I.T.; Rose, P.S.; Wasif, N. Malignant Peripheral Nerve Sheath Tumors (MPNST): The Mayo Clinic Experience. Ann. Surg. Oncol. 2012, 19, 878–885. [Google Scholar] [CrossRef]
- Farid, M.; Demicco, E.G.; Garcia, R.; Ann, L.; Merola, P.R.; Cioffi, A.; Maki, R.G. Malignant peripheral nerve sheath tumors. Oncologist 2014, 19, 193–201. [Google Scholar] [CrossRef]
- Ferner, R.E. Neurofibromatosis 1 and neurofibromatosis 2: A twenty first century perspective. Lancet Neurol. 2007, 6, 340–351. [Google Scholar] [CrossRef]
- Rodriguez, F.J.; Folpe, A.L.; Giannini, C.; Perry, A. Pathology of peripheral nerve sheath tumors: Diagnostic overview and update on selected diagnostic problems. Acta Neuropathol. 2012, 123, 295–319. [Google Scholar] [CrossRef] [PubMed]
- Brohl, A.S.; Kahen, E.; Yoder, S.J.; Teer, J.K.; Reed, D.R. The genomic landscape of malignant peripheral nerve sheath tumors: Diverse drivers of Ras pathway activation. Sci. Rep. 2017, 7, 14992. [Google Scholar] [CrossRef] [PubMed]
- Carey, J.C. The Importance of Case Reports in Advancing Scientific Knowledge of Rare Diseases. Adv. Exp. Med. Biol. 2010, 686, 77–86. [Google Scholar] [CrossRef] [PubMed]
- Page, M.J.; McKenzie, J.E.; Bossuyt, P.M.; Boutron, I.; Hoffmann, T.C.; Mulrow, C.D.; Shamseer, L.; Tetzlaff, J.M.; Akl, E.A.; Brennan, S.E. The PRISMA 2020 statement: An updated guideline for reporting systematic reviews. BMJ 2021, 372, n71. [Google Scholar] [CrossRef]
- Moola, S.; Mumn, Z.; Tufanaru, C.; Aromataris, E.C. Chapter 7: Systematic Reviews of Etiology and Risk. Joanna Briggs Institute Reviewer’s Manual; The Joanna Briggs Institute: Adelaide, Australia, 2017. [Google Scholar]
- Anderson, C.D.; Hashimi, S.; Brown, T.; Moyers, J.; Farivar, R.S. Primary benign interatrial schwannoma encountered during aortic valve replacement. J. Card. Surg. 2011, 26, 63–65. [Google Scholar] [CrossRef]
- Arava, S.; Bagmar, S.; Jain, P.; Kumaran, M.; Kumar, S.; Ray, R. Primary intracardiac malignant peripheral nerve sheath tumor: A rare case report. Indian J. Pathol. Microbiol. 2015, 58, 531. [Google Scholar] [CrossRef]
- Betancourt, B.; Defendini, E.A.; Johnson, C.; De Jesus, M.; Pavía-Villamil, A.; Díaz Cruz, A.; Medina, J.C. Severe right ventricular outflow tract obstruction caused by an intracavitary cardiac neurilemoma: Successful surgical removal and postoperative diagnosis. Chest 1979, 75, 522–524. [Google Scholar] [CrossRef]
- Bizzarri, F.; Mondillo, S.; Tanganelli, P.; Lisi, G.; Guerrini, F.; Ammaturo, T.; Barbati, R.; Maccherini, M.; Toscano, M. A primary intracavitary right atrial neurilemoma. J. Cardiovasc. Surg. 2001, 42, 777–779. [Google Scholar]
- Brandão, S.C.S.; Dompieri, L.T.; Tonini, R.C.; Grativvol, P.S.; Gama, J.D.; Calado, E.B.; Pedroti, F.C.M. Cardiac Malignant Peripheral Nerve Sheath Tumor Accessed by 18F-FDG PET/CT. Can. J. Cardiol. 2020, 36, 967.e17–967.e19. [Google Scholar] [CrossRef]
- Cho, W.-C.; Jung, S.-H.; Lee, S.H.; Bang, J.-H.; Kim, J.; Lee, J.W. Malignant Peripheral Nerve Sheath Tumor Arising from the Left Ventricle. J. Card. Surg. 2012, 27, 567–570. [Google Scholar] [CrossRef]
- Dammert, K.; Elfving, G.; Halonen, P.I. Neurogenic sarcoma in the heart. Am. Heart J. 1955, 49, 794–800. [Google Scholar] [CrossRef] [PubMed]
- Early, S.A.; McGuinness, J.; Galvin, J.; Kennedy, M.; Hurley, J. Asymptomatic schwannoma of the heart. J. Cardiothorac. Surg. 2007, 2, 1. [Google Scholar] [CrossRef] [PubMed]
- Eekhoudt, C.R.; Hebbard, P.; Tan, L.; Qiu, H.; Jassal, D.S. Peripheral Malignant Nerve Sheath Tumour: At the Heart of the Matter. Can. J. Cardiol. 2019, 36, 967.e21–967.e22. [Google Scholar] [CrossRef]
- Eindhoven, J.A.; Loonstra, E.E.G.; Kik, C.; Bos, E.J.V.D.; Kofflard, M.J.M. Atypical presentation of a primary cardiac malignant peripheral nerve sheath tumor. Int. J. Cardiovasc. Imaging 2018, 34, 903–904. [Google Scholar] [CrossRef] [PubMed]
- Factor, S.; Turi, G.; Biempica, L. Primary cardiac neurilemoma. Cancer 1976, 37, 883–890. [Google Scholar] [CrossRef]
- Fan, R. Primary MPNST Arising From Cardiac Mitral Valve. Am. J. Clin. Pathol. 2012, 138, A055. [Google Scholar] [CrossRef]
- Forbes, A.D.; Schmidt, R.A.; Wood, D.E.; Cochran, R.P.; Munkenbeck, F.; Verrier, E.D. Schwannoma of the left atrium: Diagnostic evaluation and surgical resection. Ann. Thorac. Surg. 1994, 57, 743–746. [Google Scholar] [CrossRef]
- Gelfand, E.T.; Taylor, R.F.; Rao, S.; Hendin, D.; Akabutu, J.; Callaghan, J.C. Melanotic malignant schwannoma of the right atrium. J. Thorac. Cardiovasc. Surg. 1977, 74, 808–812. [Google Scholar] [CrossRef]
- Gleason, T.H.; Dillard, D.H.; Gould, V.E. Cardiac neurilemoma. N. Y. State J. Med. 1972, 72, 2435–2436. [Google Scholar]
- Guo, Z.; Song, Z.; Xie, F.; Zhang, Y.; Huang, Z. A case of malignant peripheral schwannoma of the heart. Chin. Med. J. 2002, 41, 493. [Google Scholar]
- Guschmann, M.; Weng, Y. Primary multiple malignant schwannoma of the heart—A rarity. Pathologe 1996, 17, 222–226. [Google Scholar] [CrossRef]
- Hallman, G.; Cooley, D.; Webb, J. Primary tumors of the heart: Results of surgical treatment in ten patients. J. Cardiovasc. Surg. 1966, 7, 447–457. [Google Scholar]
- Hashimoto, T.; Eguchi, S.; Nakayama, T.; Ohzeki, H.; Hayashi, J.-I. Successful removal of massive cardiac neurilemoma with cardiopulmonary bypass. Ann. Thorac. Surg. 1998, 66, 553–555. [Google Scholar] [CrossRef] [PubMed]
- Huang, J.J.; Bo, L.; Yang, Y.S.; Yang, Y.; Xu, S. Malignant peripheral nerve sheath tumor of the heart: Report of a case. Zhonghua Bing Li Xue Za Zhi Chin. J. Pathol. 2021, 50, 826–828. [Google Scholar] [CrossRef]
- Hwang, S.K.; Jung, S.-H. Schwannoma of the heart. Korean J. Thorac. Cardiovasc. Surg. 2014, 47, 141. [Google Scholar] [CrossRef]
- Ivanov, A.; Lugovskiy, M.; Iljinsky, I.; Mogeiko, N.; Abramova, N. Right Atrial Benign Schwannoma. Russ. J. Transpl. Artif. Organs 2019, 21, 72–76. [Google Scholar] [CrossRef]
- Jassal, D.S.; Légaré, J.F.; Cummings, B.; Arora, R.C.; Raza, A.; Crowell, R.; Hirsch, G. Primary cardiac ancient schwannoma. J. Thorac. Cardiovasc. Surg. 2003, 125, 733–735. [Google Scholar] [CrossRef]
- Jung, J.C.; Chang, H.W.; Kim, K.-H. An Unusual Presentation of Schwannoma in the Interatrial Space. Korean J. Thorac. Cardiovasc. Surg. 2015, 48, 95–97. [Google Scholar] [CrossRef]
- Kodama, M.; Aoki, M.; Sakai, K. Images in cardiovascular medicine. Primary cardiac neurilemoma. Circulation 1995, 92, 274–275. [Google Scholar] [CrossRef]
- Koujanian, S.; Pawlowicz, B.; Landry, D.; Alexopoulou, I.; Nair, V. Benign cardiac schwannoma: A case report. Hum. Pathol. Case Rep. 2017, 8, 24–26. [Google Scholar] [CrossRef]
- La Francesca, S.; Gregoric, I.D.; Cohn, W.E.; Frazier, O. Successful Resection of a Primary Left Ventricular Schwannoma. Ann. Thorac. Surg. 2007, 83, 1881–1882. [Google Scholar] [CrossRef] [PubMed]
- Li, X.; Liu, C.; Zhang, R. Primary cardiac malignant peripheral nerve sheath tumor: A case report. Int. J. Cardiovasc. Imaging 2019, 35, 1615–1618. [Google Scholar] [CrossRef] [PubMed]
- Li, S.; Qiu, Y.; Yu, J.; Liang, C.; Peng, L. Cardiac malignant peripheral nerve sheath tumor on computed tomography and magnetic resonance imaging: A case report. Medicine 2019, 98, e17463. [Google Scholar] [CrossRef] [PubMed]
- Li, J.; Chen, Q.; Yu, S.; Yang, S. Multiple Primary Cardiac Malignant Peripheral Nerve Sheath Tumors in the Left Atrium: Case Report. J. Chest Surg. 2021, 54, 422–424. [Google Scholar] [CrossRef]
- Machado, I.; Arana, E.; Cruz, J.; Brotons, S.; Vendrell, J.; Escriba, I.; Chust, M.L.; Martínez-Banaclocha, N.; Lavernia, J.; Llombart-Bosch, A. Malignant Peripheral Nerve Sheath Tumor with Osseous Heterologous Differentiation in Uncommon Locations (Heart and Retropharynx). Int. J. Surg. Pathol. 2016, 24, 456–462. [Google Scholar] [CrossRef]
- Moldovan, H.; Ciomaga, I.; Nechifor, E.; Tigănașu, R.; Badea, A.; Dobra, I.; Nica, C.; Scarlat, C.; Gheorghiță, D.; Antoniac, I.; et al. A Rare Case of Left Ventricular Malignant Peripheral Nerve Sheath Tumour—Case Report and Review of the Literature. Medicina 2022, 58, 1404. [Google Scholar] [CrossRef]
- Monroe, B.; Federman, M.; Balogh, K. Cardiac neurilemoma. Report of a case with electron microscopic ex-amination. Arch. Pathol. Lab. Med. 1984, 108, 300–304. [Google Scholar]
- Morishita, T.; Yamazaki, J.; Ohsawa, H.; Uchi, T.; Kawamura, Y.; Okuzumi, K.; Nakano, H.; Wakakura, M.; Okamoto, K.; Koyama, N.; et al. Malignant schwannoma of the heart. Clin. Cardiol. 1988, 11, 126–130. [Google Scholar] [CrossRef]
- Nakamura, K.; Onitsuka, T.; Yano, M.; Yano, Y. Surgical resection of right atrial neurilemoma extending to pulmonary vein. Eur. J. Cardio-Thorac. Surg. 2003, 24, 840–842. [Google Scholar] [CrossRef]
- Pauwels, P.; Cin, P.D.; Sciot, R.; Lammens, M.; Penn, O.; Van Nes, E.; Kwee, W.S.; Berghe, H.V.D. Primary malignant peripheral nerve sheath tumour of the heart. Histopathology 1999, 34, 56–59. [Google Scholar] [CrossRef]
- Prifti, E.; Baboci, A.; Ikonomi, M. A Giant Cardiac Malignant Peripheral Nerve Sheath Tumor Presenting with Total Obstruction of the Superior Vena Cava. Ann. Thorac. Surg. 2014, 97, e7–e9. [Google Scholar] [CrossRef] [PubMed]
- Rausche, T.; El-Mokthari, N.-E.; Krüger, D.; Herrman, G.; Tiroke, A.; Rahimi-Barfeh, A.; Lins, M. Benign mediastinal schwannoma: Cardiac considerations. Clin. Res. Cardiol. 2006, 95, 422–424. [Google Scholar] [CrossRef] [PubMed]
- Salem, M.; Pell, J.; Richens, D.; Foster, C. Unusual Case of Primary Cardiac Sarcoma. Eur. J. Intern. Med. 2011, 22, S84–S85. [Google Scholar] [CrossRef]
- Sevimli, S.; Erkut, B.; Becit, N.; Aksakal, E.; Polat, P. Primary Benign Schwannoma of the Left Ventricle Coursing under the Left Anterior Descending Artery. Echocardiography 2007, 24, 1093–1095. [Google Scholar] [CrossRef] [PubMed]
- Sirlak, M.; Uymaz, O.K.; Taşoz, R.; Erden, E.; Ozyurda, U.; Akalin, H. Primary benign schwannoma of the heart. Cardiovasc. Pathol. 2003, 12, 290–292. [Google Scholar] [CrossRef]
- Son, K.H.; Kim, K.-W.; Ahn, C.B.; Choi, C.H.; Park, K.Y.; Park, C.H.; Lee, J.-I.; Bin Jeon, Y. Surgical Planning by 3D Printing for Primary Cardiac Schwannoma Resection. Yonsei Med. J. 2015, 56, 1735–1737. [Google Scholar] [CrossRef]
- Stępień-Wałek, A.; Spałek, M.; Pietrzyk, E.; Lewitowicz, P.; Wożakowska-Kapłon, B. Cardiac malignant pe-ripheral nerve sheath tumours arising from atrial neurofibroma as an unusual complication of neurofibromatosis. Kardiol. Pol. 2018, 76, 214. [Google Scholar] [CrossRef]
- Stolf, N.A.; Santos, G.G.; Sobral, M.L.; Haddad, V.L. Primary schwannoma of the right atrium: Successful surgical resection. Clinics 2006, 61, 87–88. [Google Scholar] [CrossRef]
- Sun, J.; Chen, S.; Fan, R. Primary cardiac malignant peripheral nerve sheath tumor in a 23-month-old infant. Cardiovasc. Pathol. 2014, 23, 248–250. [Google Scholar] [CrossRef]
- Ursell, P.C.; Albala, A.; Fenoglio, J.J. Malignant neurogenic tumor of the heart. Hum. Pathol. 1982, 13, 640–645. [Google Scholar] [CrossRef]
- Valeviciene, N.; Petrulionieme, Z.; Palionis, D.; Glaveckaite, S.; Gateliene, E.; Brasiuniene, B.; Tamosiunas, A.; Uzdavinys, G.; Laucevicius, A. Malignant peripheral nerve sheath tumor of the heart: Case report. Gazz. Med. Ital. Arch. Per Le Sci. Med. 2011, 170, 443–447. [Google Scholar]
- Voluckiene, E.; Uzdavinys, G.; Cicenas, S.; Ivaskeviciene, L.; Zakarkaite, D.; Nogiene, G. Primary malignant peripheral nerve sheath tumour of the heart. Open Med. 2012, 7, 655–658. [Google Scholar] [CrossRef]
- Wang, F.; Li, L.; Ma, H.; Chi, X.-X. A primary cardiac schwannoma of the right ventricle: A case report and literature review. BMC Cardiovasc. Disord. 2022, 22, 498. [Google Scholar] [CrossRef] [PubMed]
- Wang, S.-Y.; Liu, J.-H.; Yao, S.; Wang, S.-X.; Shao, D. PET/CT and contrast-enhanced CT imaging findings in benign solitary schwannomas. Eur. J. Radiol. 2021, 141, 109820. [Google Scholar] [CrossRef]
- Xiao, Y.; Cai, Y.; Tang, H.; Xiao, X. Primary malignant peripheral nerve sheath tumour in the right atrium. Eur. Heart J. 2018, 39, 3147–3148. [Google Scholar] [CrossRef]
- Yokoyama, K.; Yoshizaki, T.; Tasaki, D. Left atrial schwannoma in schwannomatosis: A case report. Surg. Case Rep. 2021, 7, 75. [Google Scholar] [CrossRef]
- Zhu, X.; Zhang, J. Primary malignant schwannoma of the heart. J. Card. Surg. 2019, 34, 211–213. [Google Scholar] [CrossRef]
- Rahouma, M.; Arisha, M.J.; Elmously, A.; El-Sayed Ahmed, M.M.; Spadaccio, C.; Mehta, K.; Baudo, M.; Kamel, M.; Mansor, E.; Ruan, Y.; et al. Cardiac tumors prevalence and mortality: A systematic review and meta-analysis. Int. J. Surg. 2020, 76, 178–189. [Google Scholar] [CrossRef]
- Wang, J.-G.; Wang, B.; Hu, Y.; Liu, J.-H.; Liu, B.; Liu, H.; Zhao, P.; Zhang, L.; Li, Y.-J. Clinicopathologic features and outcomes of primary cardiac tumors: A 16-year-experience with 212 patients at a Chinese medical center. Cardiovasc. Pathol. 2018, 33, 45–54. [Google Scholar] [CrossRef]
- Elstner, K.; Granger, E.; Wilson, S.; Kumaradevan, N.; Chew, M.; Harris, C. Schwannoma of the Pulmonary Artery. Heart Lung Circ. 2013, 22, 231–233. [Google Scholar] [CrossRef]
- Jo, V.Y.; Fletcher, C.D. Epithelioid malignant peripheral nerve sheath tumor: Clinicopathologic analysis of 63 cases. Am. J. Surg. Pathol. 2015, 39, 673–682. [Google Scholar] [CrossRef] [PubMed]
- Thway, K.; Fisher, C. Malignant peripheral nerve sheath tumor: Pathology and genetics. Ann. Diagn. Pathol. 2014, 18, 109–116. [Google Scholar] [CrossRef] [PubMed]
- Schaefer, I.M.; Fletcher, C.D. Malignant peripheral nerve sheath tumor (MPNST) arising in diffuse-type neu-rofibroma: Clinicopathologic characterization in a series of 9 cases. Am. J. Surg. Pathol. 2015, 39, 1234–1241. [Google Scholar] [CrossRef] [PubMed]
- Brahmi, M.; Thiesse, P.; Ranchere, D.; Mognetti, T.; Pinson, S.; Renard, C.; Decouvelaere, A.-V.; Blay, J.-Y.; Combemale, P. Diagnostic Accuracy of PET/CT-Guided Percutaneous Biopsies for Malignant Peripheral Nerve Sheath Tumors in Neurofibromatosis Type 1 Patients. PLoS ONE 2015, 10, e0138386. [Google Scholar] [CrossRef]
- Devesa, P.M.; Mitchell, T.E.; Scott, I.; Moffat, D.A. Malignant Peripheral Nerve Sheath Tumors of the Head and Neck: Two Cases and a Review of the Literature. Ear Nose Throat J. 2006, 85, 392–396. [Google Scholar] [CrossRef]
- Arshi, A.; Tajudeen, B.A.; St John, M. Malignant peripheral nerve sheath tumors of the head and neck: De-mographics, clinicopathologic features, management, and treatment outcomes. Oral. Oncol. 2015, 51, 1088–1094. [Google Scholar] [CrossRef]
- Ng, V.Y.; Scharschmidt, T.J.; Mayerson, J.L.; Fisher, J.L. Incidence and survival in sarcoma in the United States: A focus on musculoskeletal lesions. Anticancer Res. 2013, 33, 2597–2604. [Google Scholar]
- Reynen, K. Frequency of primary tumors of the heart. Am. J. Cardiol. 1996, 77, 107. [Google Scholar] [CrossRef]
- King, A.T.; Rutherford, S.A.; Hammerbeck-Ward, C.; Lloyd, S.K.; Freeman, S.R.; Pathmanaban, O.N.; Kellett, M.; Obholzer, R.; Afridi, S.; Axon, P.; et al. Malignant Peripheral Nerve Sheath Tumors are not a Feature of Neurofibromatosis Type 2 in the Unirradiated Patient. Neurosurgery 2018, 83, 38–42. [Google Scholar] [CrossRef]
- Piotrowski, A.; Xie, J.; Liu, Y.F.; Poplawski, A.B.; Gomes, A.R.; Madanecki, P.; Fu, C.; Crowley, M.R.; Crossman, D.K.; Armstrong, L.; et al. Germline loss-of-function mutations in LZTR1 predispose to an inherited disorder of multiple schwannomas. Nat. Genet. 2014, 46, 182–187. [Google Scholar] [CrossRef]
- Kehrer-Sawatzki, H.; Kluwe, L.; Friedrich, R.E.; Summerer, A.; Schäfer, E.; Wahlländer, U.; Matthies, C.; Gugel, I.; Farschtschi, S.; Hagel, C.; et al. Phenotypic and genotypic overlap between mosaic NF2 and schwannomatosis in patients with multiple non-intradermal schwannomas. Hum. Genet. 2018, 137, 543–552. [Google Scholar] [CrossRef] [PubMed]
- Kehrer-Sawatzki, H.; Farschtschi, S.; Mautner, V.-F.; Cooper, D.N. The molecular pathogenesis of schwannomatosis, a paradigm for the co-involvement of multiple tumour suppressor genes in tumorigenesis. Hum. Genet. 2016, 136, 129–148. [Google Scholar] [CrossRef] [PubMed]
- Gulati, G.; Sharma, S.K.; Kothari, S.S.; Juneja, R.; Saxena, A.; Talwar, K. Comparison of Echo and MRI in the Imaging Evaluation of Intracardiac Masses. Cardiovasc. Interv. Radiol. 2004, 27, 459–469. [Google Scholar] [CrossRef] [PubMed]
- Koike, H.; Nishida, Y.; Ito, S.; Shimoyama, Y.; Ikuta, K.; Urakawa, H.; Sakai, T.; Shimizu, K.; Ito, K.; Imagama, S. Diffusion-Weighted Magnetic Resonance Imaging Improves the Accuracy of Differentiation of Benign from Malignant Peripheral Nerve Sheath Tumors. World Neurosurg. 2022, 157, e207–e214. [Google Scholar] [CrossRef] [PubMed]
- Matsumine, A.; Kusuzaki, K.; Nakamura, T.; Nakazora, S.; Niimi, R.; Matsubara, T.; Uchida, K.; Murata, T.; Kudawara, I.; Ueda, T.; et al. Differentiation between neurofibromas and malignant peripheral nerve sheath tumors in neurofibromatosis 1 evaluated by MRI. J. Cancer Res. Clin. Oncol. 2009, 135, 891–900. [Google Scholar] [CrossRef]
- Bhargava, R.; Parham, D.M.; Lasater, O.E.; Chari, R.S.; Chen, G.; Fletcher, B.D. MR imaging differentiation of benign and malignant peripheral nerve sheath tumors: Use of the target sign. Pediatr. Radiol. 1997, 27, 124–129. [Google Scholar] [CrossRef]
- Valentin, T.; Le Cesne, A.; Ray-Coquard, I.; Italiano, A.; Decanter, G.; Bompas, E.; Isambert, N.; Thariat, J.; Linassier, C.; Bertucci, F.; et al. Management and prognosis of malignant peripheral nerve sheath tumors: The experience of the French Sarcoma Group (GSF-GETO). Eur. J. Cancer 2016, 56, 77–84. [Google Scholar] [CrossRef]
- Cheng, S.-F.; Chen, Y.-I.; Chang, C.-Y.; Peng, Y.; Liao, S.-L. Malignant Peripheral Nerve Sheath Tumor of the Orbit: Malignant Transformation from Neurofibroma Without Neurofibromatosis. Ophthalmic Plast. Reconstr. Surg. 2008, 24, 413–415. [Google Scholar] [CrossRef]
- Moretti, V.M.; Crawford, E.A.; Staddon, A.P.; Lackman, R.D.; Ogilvie, C.M. Early outcomes for malignant peripheral nerve sheath tumor treated with chemotherapy. Am. J. Clin. Oncol. 2011, 34, 417–421. [Google Scholar] [CrossRef]
- Hsu, C.-C.; Huang, T.-W.; Hsu, J.-Y.; Shin, N.; Chang, H. Malignant peripheral nerve sheath tumor of the chest wall associated with neurofibromatosis: A case report. J. Thorac. Dis. 2013, 5, E78–E82. [Google Scholar] [CrossRef]
- Gronchi, A.; Ferrari, S.; Quagliuolo, V.; Martin-Broto, J.M.; Pousa, A.L.; Grignani, G.; Basso, U.; Blay, J.-Y.; Tendero, O.; Beveridge, R.D.; et al. Histotype-tailored neoadjuvant chemotherapy versus standard chemotherapy in patients with high-risk soft-tissue sarcomas (ISG-STS 1001): An international, open-label, randomised, controlled, phase 3, multicentre trial. Lancet Oncol. 2017, 18, 812–822. [Google Scholar] [CrossRef] [PubMed]
- Higham, C.S.; Steinberg, S.M.; Dombi, E.; Perry, A.; Helman, L.J.; Schuetze, S.M.; Ludwig, J.A.; Staddon, A.; Milhem, M.M.; Rushing, D.; et al. SARC006: Phase II trial of chemotherapy in sporadic and neurofibromatosis type 1 associated chemoIpy-naive malignant peripheral nerve sheath tumors. Sarcoma 2017, 2017, 8685638. [Google Scholar] [CrossRef] [PubMed]
- Carli, M.; Ferrari, A.; Mattke, A.; Zanetti, I.; Casanova, M.; Bisogno, G.; Cecchetto, G.; Alaggio, R.; De Sio, L.; Koscielniak, E.; et al. Pediatric Malignant Peripheral Nerve Sheath Tumor: The Italian and German Soft Tissue Sarcoma Cooperative Group. J. Clin. Oncol. 2005, 23, 8422–8430. [Google Scholar] [CrossRef] [PubMed]
- Kroep, J.R.; Ouali, M.; Gelderblom, H.; Le Cesne, A.; Dekker, T.J.A.; Van Glabbeke, M.; Hogendoorn, P.C.W.; Hohenberger, P. First-line chemotherapy for malignant peripheral nerve sheath tumor (MPNST) versus other histological soft tissue sarcoma subtypes and as a prognostic factor for MPNST: An EORTC Soft Tissue and Bone Sarcoma Group study. Ann. Oncol. 2011, 22, 207–214. [Google Scholar] [CrossRef]
- Bradford, D.; Kim, A. Current Treatment Options for Malignant Peripheral Nerve Sheath Tumors. Curr. Treat. Options Oncol. 2015, 16, 12. [Google Scholar] [CrossRef]
- Kahn, J.; Gillespie, A.; Tsokos, M.; Ondos, J.; Dombi, E.; Camphausen, K.; Widemann, B.C.; Kaushal, A. Radiation Therapy in Management of Sporadic and Neurofibromatosis Type 1-Associated Malignant Peripheral Nerve Sheath Tumors. Front. Oncol. 2014, 4, 324. [Google Scholar] [CrossRef]
- Judson, I.; Verweij, J.; Gelderblom, H.; Hartmann, J.T.; Schöffski, P.; Blay, J.-Y.; Kerst, J.M.; Sufliarsky, J.; Whelan, J.; Hohenberger, P.; et al. Doxorubicin alone versus intensified doxorubicin plus ifosfamide for first-line treatment of advanced or metastatic soft-tissue sarcoma: A randomised controlled phase 3 trial. Lancet Oncol. 2014, 15, 415–423. [Google Scholar] [CrossRef]
- Endo, M.; Yamamoto, H.; Setsu, N.; Kohashi, K.; Takahashi, Y.; Ishii, T.; Iida, K.; Matsumoto, Y.; Hakozaki, M.; Aoki, M.; et al. Prognostic Significance of AKT/mTOR and MAPK Pathways and Antitumor Effect of mTOR Inhibitor in NF1-Related and Sporadic Malignant Peripheral Nerve Sheath TumorsAKT/mTOR and MAPK Pathways in MPNSTs. Clin. Cancer Res. 2013, 19, 450–461. [Google Scholar] [CrossRef]
- Martin, E.; Lamba, N.; Flucke, U.E.; Verhoef, C.; Coert, J.H.; Versleijen-Jonkers, Y.M.; Desar, I.M. Non-cytotoxic systemic treatment in malignant peripheral nerve sheath tumors (MPNST): A systematic review from bench to bedside. Crit. Rev. Oncol. 2019, 138, 223–232. [Google Scholar] [CrossRef]
- Anghileri, M.; Miceli, R.; Fiore, M.; Mariani, L.; Ferrari, A.; Mussi, C.; Lozza, L.; Collini, P.; Olmi, P.; Casali, P.G.; et al. Malignant peripheral nerve sheath tumors: Prognostic factors and survival in a series of patients treated at a single institution. Cancer 2006, 107, 1065–1074. [Google Scholar] [CrossRef]
- Ducatman, B.S.; Scheithauer, B.W.; Piepgras, D.G.; Reiman, H.M.; Ilstrup, D.M. Malignant peripheral nerve sheath tumors. A clinicopathologic study of 120 cases. Cancer 1986, 57, 2006–2021. [Google Scholar] [CrossRef] [PubMed]
- Hruban, R.H.; Shiu, M.H.; Senie, R.T.; Woodruff, J.M. Malignant peripheral nerve sheath tumors of the buttock and lower extremity. A study of 43 cases. Cancer 1990, 66, 1253–1265. [Google Scholar] [CrossRef] [PubMed]
- Wanebo, J.E.; Malik, J.M.; VandenBerg, S.R.; Wanebo, H.J.; Driesen, N.; Persing, J.A. Malignant peripheral nerve sheath tumors. A clinicopathologic study of 28 cases. Cancer 1993, 71, 1247–1253. [Google Scholar] [CrossRef] [PubMed]
- Liapis, H.; Marley, E.F.; Lin, Y.; Dehner, L.P. p53 and Ki-67 Proliferating Cell Nuclear Antigen in Benign and Malignant Peripheral Nerve Sheath Tumors in Children. Pediatr. Dev. Pathol. 1999, 2, 377–384. [Google Scholar] [CrossRef]
- Kindblom, L.-G.; Meis-Kindblom, J.M.; Stenman, G. Immunohistochemical and molecular analysis of p53, MDM2, proliferating cell nuclear antigen and Ki67 in benign and malignant peripheral nerve sheath tumours. Virchows Arch. 1995, 427, 19–26. [Google Scholar] [CrossRef]
- Watanabe, T.; Oda, Y.; Tamiya, S.; Kinukawa, N.; Masuda, K.; Tsuneyoshi, M. Malignant peripheral nerve sheath tumours: High Ki67 labelling index is the significant prognostic indicator. Histopathology 2001, 39, 187–197. [Google Scholar] [CrossRef]
Disclaimer/Publisher’s Note: The statements, opinions and data contained in all publications are solely those of the individual author(s) and contributor(s) and not of MDPI and/or the editor(s). MDPI and/or the editor(s) disclaim responsibility for any injury to people or property resulting from any ideas, methods, instructions or products referred to in the content. |
© 2023 by the authors. Licensee MDPI, Basel, Switzerland. This article is an open access article distributed under the terms and conditions of the Creative Commons Attribution (CC BY) license (https://creativecommons.org/licenses/by/4.0/).
