You are currently viewing a new version of our website. To view the old version click .
Journal of Clinical Medicine
  • Article
  • Open Access

4 May 2022

Systematic Review and Metaanalysis of Worldwide Incidence and Prevalence of Antineutrophil Cytoplasmic Antibody (ANCA) Associated Vasculitis

,
,
,
,
and
1
Instituto de Investigación Biomédica de Málaga (IBIMA), UGC de Reumatología, Hospital Regional Universitario de Málaga, 29010 Malaga, Spain
2
Departamento de Medicina, Universidad de Málaga, 29016 Malaga, Spain
*
Author to whom correspondence should be addressed.
This article belongs to the Section Vascular Medicine

Abstract

Objective: In this study, we aimed to evaluate the worldwide incidence and prevalence of ANCA-associated vasculitis (AAV). Methods: A systematic search of Medline and Embase was conducted until June 2020 for studies that analyzed the incidence and prevalence of patients aged >16 years diagnosed with AAV in different geographical areas. A meta-analysis was undertaken to estimate the pooled incidence per million person-years and prevalence per million persons in AAV overall and for each subtype of AAV: granulomatosis with polyangiitis (GPA), microscopic polyangiitis (MPA), and eosinophilic granulomatosis with polyangiitis (EGPA). The 95% confidence interval (CI) and I2 for heterogeneity were calculated. Results: The meta-analysis included 25 studies that met the inclusion criteria and covered a total of 4547 patients with AAV. Frequency increased over time. The global pooled incidence (95% CI) was 17.2 per million person-years (13.3–21.6) and the global pooled prevalence (95% CI) was 198.0 per million persons (187.0–210.0). The pooled incidence per million person-years for each AAV subtype varied from highest to lowest, as follows: GPA, 9.0; MPA, 5.9; and EGPA, 1.7. The individual pooled prevalence per million persons was, as follows: GPA, 96.8; MPA, 39.2; and EGPA, 15.6. AAV was more predominant in the northern hemisphere. By continent, a higher incidence in America and pooled prevalence of AAV was observed in America and Europe. Conclusion: The pooled incidence and prevalence of AAV seem to be increasing over time and are higher in the case of GPA. AAV was generally more frequent (incidence and prevalence) in the northern hemisphere.

1. Introduction

Vasculitis comprises a heterogeneous group of diseases characterized by inflammation and destruction of blood vessel walls, leading to damage in various organs and tissues [1,2]. Antineutrophil cytoplasmic antibody (ANCA)-associated vasculitis (AAV) affects small- and medium-caliber vessels and has a variable clinical course [3]. Its diagnosis is based on clinical factors, serology, and histopathology. The etiology of AAV is unknown, although environmental and genetic factors are involved [4]. The disease is slightly more common in men [5], except for eosinophilic granulomatosis with polyangiitis (EGPA), which is more common in women [6]. AAV includes granulomatosis with polyangiitis (GPA), microscopic polyangiitis (MPA), and EGPA. GPA and MPA are more common than EGPA [7].
Interest in the study of the epidemiology of AAV is increasing, since this will enable us to better understand the factors underlying the disease and enable better health care planning. This meta-analysis is significant for several reasons. First, an accurate and valid estimate of the incidence and prevalence of AAV can support the need for health resources, as well as provide solid evidence for the implementation of general procedures that promote early care for these patients. Second, identifying the differences in incidence and prevalence by geographic area allows us to support that there are different genetic and environmental factors that can influence the pathogenesis of the disease. Therefore, this study provides a basis for future research that could help inform intervention for the evaluation and treatment of patients with this pathology with a high impact on health. While little was known about the frequency of AAV until a relatively short time ago, recent years have seen the reporting of large datasets that have not yet been assessed in a meta-analysis. Furthermore, the incidence and prevalence of AAV in general seem to have increased in recent decades, in part owing to better diagnosis and therapeutic management of these diseases [4].
The objective of this systematic review and meta-analysis was to synthetize current evidence on the incidence and prevalence of AAV and its subtypes throughout the world.

2. Materials and Methods

2.1. Search Strategy and Selection of Studies

We performed a systematic search in Medline and Embase up to 6 June 2020 using the following MeSH terms and free text: “incidence” or “incidences”, “prevalence” or “prevalences” and “systemic vasculitis” or “ANCA-associated vasculitis” (Supplementary Table S1). A secondary manual search of related articles was also performed. This was restricted to English language articles and human studies. The review protocol followed the declaration of Preferred Reporting Items for Systematic Reviews and Meta-Analyses (PRISMA) and was submitted to PROSPERO (being assessed, CRD42020216225). The search was performed by 2 researchers (R-R, R and M-V, N), who independently reviewed article titles and abstracts. Disagreement between reviewers on the inclusion/exclusion of studies was resolved by consensus or with the assistance of a third reviewer (F-N, A).

2.2. Inclusion and Exclusion Criteria

The inclusion criteria were as follows: (1) English language articles only; (2) cross-sectional studies, case series, and cohort studies on the incidence and prevalence of AAV in adults (>16 years), with AAV defined according to the 2012 Revised International Chapel Hill Consensus Conference, and the European Medicines Agency Algorithm (EMEA) [8]; and (3) studies that presented a case definition with only data obtained after 1995 due the concept of AAV as group of small vessel vasculitides was not codified until 1994 in Chapel Hill Consensus Conference Document. The exclusion criteria were as follows: (1) editorials, conference abstracts, case reports, or case series with fewer than 30 cases and narrative reviews; (2) insufficient description of methods; (3) lack of data to compute the incidence or prevalence; and (4) duplicate publications.

2.3. Outcome Measures

The main outcome measures were the pooled incidence of all cases of AAV, measured as the number of incident cases per million person-years (95% CI) and the pooled prevalence of all AAV measured as the number of prevalent cases per million persons (95% CI). The secondary outcome measures were the pooled incidence and prevalence of each subtype of vasculitis individually and by geographic area.
For the meta-analysis of pooled incidence and pooled prevalence of all types of AAV, we excluded those articles that included in their total count other types of vasculitis, such as polyarteritis nodosa. However, these articles were included for the meta-analysis of each individual type of AAV.

2.4. Data Extraction and Measures of Study Quality

The whole text was read in the case of articles whose titles or abstracts met the inclusion criteria. Not fulfilling an eligibility criterion led the study to be excluded. In addition to the main and secondary outcome measures, we extracted information on the authors, year of publication, continent, country, region, age, sex, ethnic group, determination of ANCA, and subtypes. The level of the evidence was assessed using the Scottish Intercollegiate Guidelines Network (SIGN) grading system [9].

2.5. Data Synthesis and Analysis

In addition to the calculation of the pooled incidence and the pooled prevalence of the total number of AAV, we calculated the I2 statistic as a measure of heterogeneity. In accordance with the Cochrane review rules, we selected the random effects model (DerSimonian and Laird method) in cases of severe heterogeneity with I2 > 50%; if this were not the case, then the fixed effects model was chosen (Mantel-Haenszel method) [10]. Sensitivity analyses were conducted by excluding one study at a time.

3. Results

3.1. Search

The literature search initially retrieved 4577 published studies and 6 articles from a secondary search for the years 1995 to 2020. Of these, 629 were excluded as duplicates, 3901 after reading the title and abstract, and 32 after reading the whole article (Supplementary Table S2). Therefore, 25 articles met the selection criteria (Figure 1). Only two included articles used ACR criteria and did not include Chapel Hill criteria have been selected for evaluation independently of GPA or EGPA. All of the studies included in the analysis were observational, most were retrospective, 20 were based on hospital registries, 1 used national surveys, 1 used a national database, 1 combined primary care and hospital databases and data registry from the National Social Security System, and 2 used hospital and primary care registries.
Figure 1. Preferred Reporting Items for Systematic Reviews and Meta-Analyses (PRISMA) flow diagram.

3.2. Characteristics of the Studies, Ethnicity, Age, and Sex

Of the 25 studies included, 10 evaluated both incidence and prevalence, 9 only assessed incidence, and 6 only prevalence. Figure 2 shows the types of AAV analyzed in the studies of incidence and/or prevalence, with most evaluating all types of AAV.
Figure 2. Types of vasculitis analyzed.
A total of 4547 patients were included, with GPA as the most frequent type of AAV. Only 9 of 25 studies reported the ethnicity of the study population, which was Caucasian in most cases.
AAV more commonly affected men than women, and the mean age was higher than 56 years. The ratio of men to women in GPA was 152%, with a mean (SD) age of 57 (5.74) years. The ratio was 164% in MPA, with a mean (SD) age of 65 (5.89) years, and 145% in EGPA, with a mean (SD) age of 52 (7.86) years.
The percentage of ANCA-positive patients was 95% for GPA; these were positive for c-ANCA/anti-PR3 (proteinase 3) in 80%. The percentage of ANCA-positive patients in MPA was 83%, with a predominance of p-ANCA/anti-MPO (myeloperoxidase) (64%). However, only 57% of patients with EGPA were ANCA-positive, with anti-MPO predominating (58%).

3.3. Incidence

Table 1 summarizes incidence data for all types of AAV and for each subtype separately throughout the world.
Table 1. Worldwide incidence of AAV.
Incidence was analyzed in 19 studies. While eight studies analyzed all types of AAV, one out of the eight also included cases of polyarteritis nodosa. Therefore, only seven studies analyzing only AAV were eventually included.
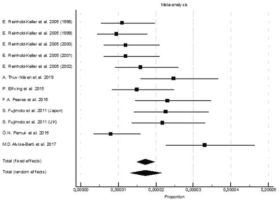
The pooled incidence of all AAV was 17.2 per million person-years (95% CI, 13.3–21.6) (Figure 3). However, the incidence in the various studies ranged from 8.1 per million (95% CI, 1.0–15.2) [11] to 33.0 per million person-years (95% CI, 24.0–41.0) [12]. The individual pooled incidence for each AAV subtype went from higher to lower in GPA, MPA, and EGPA (Table 2) (See Supplementary Material Figures S1–S32).
Figure 3. Pooled incidence of total ANCA-associated vasculitis [11,12,16,18,20,25,27].
Table 2. Pooled incidence of ANCA-associated vasculitis (number of studies included, 95% CI, and I2 [heterogeneity]).

3.3.1. Geographic Distribution of Incidence

The highest incidence recorded was in Minnesota and the lowest in Turkey. Table 3 shows the pooled incidence of each type of vasculitis by geographic area. Worldwide, the incidence of GPA and MPA was greater in the northern hemisphere than in the southern hemisphere. The incidence of EGPA in the southern hemisphere could not be analyzed since only one study was identified. Analysis by continent revealed that the grouped incidence for GPA was greater in America and that MPA predominated in America and Asia. Rates were similar for EGPA in Europe and Asia, although this could not be calculated for America owing to the lack of studies. The cumulative incidence could not be evaluated in Oceania since only one study was available. No studies from Africa were identified.
Table 3. Pooled incidence of ANCA-associated vasculitis by geographic region (number of studies included, 95% CI, and I2 [heterogeneity]).

3.3.2. Temporal Trends in Incidence

In most studies, we observed an increase in the incidence of AAV over time. Studies from Germany [16], Norway [18], Turkey [11], Taiwan [28], and Minnesota [12] revealed an increasing trend in incidence from the second half of the study period onward. However, the trend remained stable in studies from Oceania [13].

3.4. Prevalence

Table 4 summarizes prevalence data for all types of AAV and for each subtype separately throughout the world.
Table 4. Worldwide prevalence of AAV.
Prevalence was analyzed in 16 studies. While seven of these studies included all types of AAV, we only included four since three of the seven also included cases of polyarteritis nodosa and were therefore excluded.
The pooled prevalence for all types of AAV was 198.0 per million persons (95% CI, 187.0–210.0) (Figure 4). However, the prevalence in the different studies varied from 44.8 per million persons (95% CI, 23.5–66.1) [30] to 421.0 per million persons (95% CI, 296.0–546.0) [12]. The individual pooled prevalence was highest for GPA, followed by MPA and EGPA (Table 5) (See Supplementary Material Figures S1–S32).
Figure 4. Pooled prevalence of total ANCA-associated vasculitis [11,12,18,30].
Table 5. Pooled prevalence of ANCA-associated vasculitis (number of studies included, 95% CI, and I2 [heterogeneity]).

3.4.1. Geographic Distribution of Prevalence

The highest prevalence reported was from Minnesota and the lowest from south Spain. Table 6 shows the pooled prevalence for each type of vasculitis by geographic area. By hemisphere, both GPA and MPA were more prevalent in the northern hemisphere than in the southern hemisphere. However, EGPA could not be analyzed in the southern hemisphere, since only one study was identified. By continent, the pooled prevalence for GPA was greater in Europe and MPA in America. Asia could not be evaluated since only one study was identified. The prevalence of EGPA was greater in Europe than in Asia, although it could not be evaluated in Oceania or America owing to the lack of studies. No studies from Africa were identified.
Table 6. Pooled prevalence of ANCA-associated vasculitis by geographic region (number of studies included, 95% CI, and I2 [heterogeneity]).

3.4.2. Temporal Trends in Prevalence

Studies from Oceania [13] and Norway [18] evaluated prevalence for the different study periods and found that it increased in the second period.

4. Discussion

In this study we estimated the pooled incidence and the pooled prevalence of AAV through a systematic review of the literature and meta-analysis. Our results show a pooled incidence of 17.2 per million person-years (95% CI, 13.3–21.6) and a pooled prevalence of 198.0 per million persons (95% CI, 187.0–210.0) in patients with AAV. Nevertheless, we recorded marked variability in the results between studies. Incidence and prevalence generally seemed to increase over time, probably owing to the increased frequency resulting from better identification of cases and greater survival of patients with AAV [37,38].
In our meta-analysis, both incidence and prevalence were greater for GPA than for MPA and EGPA. This finding was consistent with those of most of the individual studies included, although MPA was more common than GPA and EGPA [22,23,25,29,30,33]. The higher incidence and prevalence recorded for GPA in the present meta-analysis could be influenced by the higher number of studies that specifically addressed GPA compared with those that addressed the frequency of AAV overall.
The highest incidence of GPA was reported by Hissaria et al. in 2008 in South Australia [14]; the highest incidence for MPA was reported by Fujimoto et al. in Japan [27]. The highest incidence of EGPA was reported by M.D Alvise-Berti et al. 2017 [12]. In other words, the incidence of one or another type of vasculitis may depend on the geographic area where the study was carried out and, therefore, on genetic or ethnic differences [39,40], as seen in some of the studies included in our analysis. Similarly, retrospective analyses from Asia other than Japan (although it could not be included in this meta-analysis) also indicate MPA seems to be the most common disease subtype among AAV [41], indicating a clear difference (predominance of GPA in the Western countries and MPA in Asia, respectively) according to geographic regions. Likewise, it has been shown that there are differences regarding the phenotype between Europe and Japan. The patients with MPA in Japan had a higher age at onset, more frequent MPO-ANCA positivity, lower serum creatinine, and more frequent interstitial pneumonitis than those in Europe [42].
In addition to the geographic variability by country, our study highlighted variability between the northern and southern hemispheres and between continents, thus, again, highlighting ethnic and/or genetic differences, in addition to differences in latitude [41], as factors that can contribute to the greater incidence in America and greater prevalence in Europe and America.
In general, both the incidence and the prevalence of AAV vary depending on latitude (northern or southern hemisphere) [41], probably due to environmental factors such as the degree of ultraviolet radiation, which varies with latitude within the specific hemisphere [41]. In fact, Gatenby et al. [43,44] found a correlation between GPA, latitude, and levels of ultraviolet radiation. However, our study cannot explain whether the variability of results depends only on geographic regions, on latitude, ethnic, genetic or environmental factors, or even due to factors inherent to access to health care.
The present study is subject to a series of limitations. First, we were unable to determine the global prevalence or incidence of AAV in some studies since the data collected included polyarteritis nodosa. However, we retrieved individual data on AAV subtypes in order to perform an independent analysis of the incidence and prevalence of these conditions. Thus, we carried out the first systematic review and meta-analysis to date to assess the pooled incidence and prevalence of AAV overall and according to the various subtypes. We also analyzed different geographic areas and found that few studies had been performed on some continents, such as Oceania and Asia, and that none had been performed in Africa. Similar results were found when we performed our analysis by hemisphere, with more studies in the northern hemisphere. Even so, we were able to draw comparisons between the northern and southern hemispheres, as well as differences with other continents. Our study did not include papers on the incidence and prevalence of AAVs in children (<16 years). However, it has been described that the prevalence of systemic vasculitis in children accounts for 2 to 10% of rheumatic diseases, IgA vasculitis and Kawasaki disease are the most common, whereas AAV are rarer [45]. Finally, although in our study all articles included AAV defined according to the 2012 Revised International Chapel Hill Consensus Conference, and the European Medicines Agency Algorithm (EMEA), in two included articles used ACR criteria and did not include Chapel Hill criteria have been selected for evaluation independently of GPA or EGPA.

5. Conclusions

In conclusion, our results show that the pooled incidence and pooled prevalence of AAV seem to be increasing over time and are higher for GPA. AAV was generally more frequent (incidence and prevalence) in the northern hemisphere.

Supplementary Materials

The following supporting information can be downloaded at: https://www.mdpi.com/article/10.3390/jcm11092573/s1, Table S1. Search Strategies in MEDLINE and EMBASE. Table S2. Studies excluded and reason for exclusion [46,47,48,49,50,51,52,53,54,55,56,57,58,59,60,61,62,63,64,65,66,67,68,69,70,71,72,73,74,75,76,77]. Figures S1–S32.

Author Contributions

R.R.-R.: writing the manuscript; reviewed article titles and abstracts, analyzing and interpreting results. N.M.-V.: writing the manuscript and reviewed article titles and abstracts. A.M.C.-L.: reviewed article titles and abstracts, S.M.-A.: analyzing and interpreting results. A.M.: analyzing and interpreting results. A.F.-N.: writing the manuscript; analyzing and interpreting the patient data. All authors have read and agreed to the published version of the manuscript.

Funding

This research received no external funding.

Institutional Review Board Statement

Not applicable as it is a systematic review and meta-analysis.

Data Availability Statement

Data presented in this study are available on request from the corresponding author.

Acknowledgments

FERBT2021-The authors thank the Spanish Foundation of Rheumatology for providing medical writing/editorial assistance during the preparation of the manuscript.

Conflicts of Interest

The authors declare that they have no conflicts of interest.

References

  1. Jennette, J.C. Chapel-Hill Vasculitis 2012. Clin. Exp. Nephrol. 2013, 17, 603–606. [Google Scholar] [CrossRef] [PubMed]
  2. Gapud, E.J.; Seo, P.; Antiochos, B. ANCA-Associated Vasculitis Pathogenesis: A Commentary. Curr. Rheumatol. Rep. 2017, 19, 1. [Google Scholar] [CrossRef] [PubMed]
  3. Rivero, D.S. Enfrentamiento de las vasculitis primarias. Rev. Médica Clínica Las Condes 2012, 23, 403–411. [Google Scholar] [CrossRef][Green Version]
  4. Berti, A.; Dejaco, C. Update on the epidemiology, risk factors, and outcomes of systemic vasculitides. Best Pract. Res. Clin. Rheumatol. 2018, 32, 271–294. Available online: http://www.ncbi.nlm.nih.gov/pubmed/30527432 (accessed on 2 January 2022). [CrossRef]
  5. Geetha, D.; Jefferson, J. ANCA-Associated Vasculitis: Core Curriculum 2020. Am. J. Kidney Dis. 2020, 75, 124–137. Available online: http://www.embase.com/search/results?subaction=viewrecord&from=export&id=L2002390148 (accessed on 8 February 2022). [CrossRef]
  6. Castellano Cuesta, J.A.; González Domínguez, J.; García Manzanares, A. Sindrome De Churg-Strauss. Arq. Med. 1993, 7, 350–354. [Google Scholar]
  7. Valbuena, R.J.J.; Cantillo, T.J.J.; Contreras, V.K.M. Vasculitis Sistémicas y Riñón: Aproximación Teórico-Práctica Para el Clínico. 2012. Available online: http://asocolnef.com/wp-content/uploads/2018/02/Cap%C3%ADtulo-%E2%80%93-Vasculitis-Renal.pdf (accessed on 10 January 2022).
  8. Khan, I.; Watts, R.A. Classification of ANCA-Associated Vasculitis. Curr. Rheumatol. Rep. 2013, 15, 1–6. [Google Scholar] [CrossRef]
  9. Miller, J. The Scottish Intercollegiate Guidelines Network (SIGN). Br. J. Diabetes 2002, 2, 47–49. [Google Scholar] [CrossRef]
  10. Cumpston, M.; Li, T.; Page, M.J.; Chandler, J.; Welch, V.A.; Higgins, J.P.; Thomas, J. Updated guidance for trusted systematic reviews: A new edition of the Cochrane Handbook for Systematic Reviews of Interventions. Cochrane Database Syst. Rev. 2019, 10, D142. [Google Scholar] [CrossRef]
  11. Pamuk, Ö.N.; Dönmez, S.; Calayır, G.B.; Pamuk, G.E. The epidemiology of antineutrophil cytoplasmic antibody-associated vasculi-tis in northwestern Turkey. Clin. Rheumatol. 2016, 35, 2063–2071. [Google Scholar] [CrossRef]
  12. Alvise Berti, M.D.; Divi Cornec, M.D.; Cynthia, S.; Crowson, M.S.; Eric LMatteson, M.D. He epi-demiology of ANCA associated vasculitis in Olmsted County, Minnesota (USA): A 20 year population-based study. Arthritis Rheumatol. 2018, 69, 2338–2350. [Google Scholar] [CrossRef] [PubMed]
  13. Ormerod, A.S.; Cook, M. Epidemiology of primary systemic vasculitis in the Australian Capital Territory and south-eastern New South Wales. Intern. Med. J. 2008, 38, 816–823. [Google Scholar] [CrossRef] [PubMed]
  14. Hissaria, P.; Cai, F.Z.J.; Ahern, M.; Smith, M.; Gillis, D.; Roberts-Thomson, P. Wegener’s granulomatosis: Epidemiological and clinical features in a South Australian study. Intern. Med. J. 2008, 38, 776–780. [Google Scholar] [CrossRef] [PubMed]
  15. Reinhold Keller, E.; Herlyn, K.; Wagner Bastmeyer, R.; Gutfleisch, J.; Peter, H.H.; Raspe, H.H.; Gross, W.L. No difference in the inci-dences of vasculitides between north and south Germany: First results of the German vasculitis register. Rheumatology 2002, 41, 540–549. Available online: http://www.embase.com/search/results?subaction=viewrecord&from=export&id=L34575305 (accessed on 12 January 2022). [CrossRef] [PubMed]
  16. Reinhold Keller, E.; Herlyn, K.; Wagner Bastmeyer, R.; Gross, W.L. Stable incidence of primary systemic vasculitides over five years: Results from the German vasculitis resister. Arthritis Care Res. 2005, 53, 93–99. Available online: http://www.embase.com/search/results?subaction=viewrecord&from=export&id=L40216357 (accessed on 10 January 2022). [CrossRef]
  17. Vinit, J.; Muller, G.; Bielefeld, P.; Pfitzenmeyer, P.; Bonniaud, P.; Lorcerie, B.; Besancenot, J.-F. Churg–Strauss syndrome: Retrospective study in Burgundian population in France in past 10 years. Rheumatol. Int. 2009, 31, 587–593. [Google Scholar] [CrossRef]
  18. Nilsen, A.T.; Karlsen, C.; Bakland, G.; Watts, R.; Luqmani, R.; Koldingsnes, W. Increasing incidence and prevalence of AN-CA-associated vasculitis in Northern Norway. Rheumatology 2020, 59, 2316–2324. [Google Scholar] [CrossRef]
  19. Kanecki, K.; Nitsch-Osuch, A.; Gorynski, P.; Tarka, P.; Bogdan, M.; Tyszko, P. Epidemiology of Granulomatosis with Polyangiitis in Poland, 2011–2015. Clin. Med. Res. 2018, 1116, 131–138. [Google Scholar] [CrossRef]
  20. Elfving, P.; Marjoniemi, O.; Niinisalo, H.; Kononoff, A.; Arstila, L.; Savolainen, E.; Rutanen, J.; Kaipianen-Steppanen, O. Estimating the incidence of connective tissue diseases and vasculitides in a defined population in Northern Savo area in 2010. Rheumatol. Int. 2016, 36, 917–924. [Google Scholar] [CrossRef]
  21. Catanoso, M.; Macchioni, P.; Boiardi, L.; Manenti, L.; Tumiati, B.; Cavazza, A.; Luberto, F.; Pipitone, N.; Salvarani, C. Epidemiology of granulomatosis with polyangiitis (Wegener’s granulomatosis) in Northern Italy: A 15-year population-based study. Semin. Arthritis Rheum. 2014, 44, 202–207. [Google Scholar] [CrossRef]
  22. Panagiotakis, S.H.; Perysinakis, G.S.; Kritikos, H.; Vassilopoulos, D.; Vrentzos, G.; Linardakis, M. The epidemiology of primary systemic vasculitides involving small vessels in Crete (southern Greece): A comparison of older versus younger adult patients. Clin. Exp. Rheumatol. 2009, 27, 409–415. [Google Scholar] [PubMed]
  23. Mohammad, A.J.; Jacobsson, L.T.H.; Westman, K.W.A.; Sturfelt, G.; Segelmark, M. Incidence and survival rates in Wegener’s granu-lomatosis, microscopic polyangiitis, Churg-Strauss syndrome and polyarteritis nodosa. Rheumatology 2009, 48, 1560–1565. [Google Scholar] [CrossRef] [PubMed]
  24. Pearce, F.; Grainge, M.; Lanyon, P.; Watts, R.A.; Hubbard, R.B. The incidence, prevalence and mortality of granulomatosis with polyangiitis in the UK Clinical Practice Research Datalink. Rheumatology 2016, 56, 589–596. [Google Scholar] [CrossRef] [PubMed]
  25. Pearce, F.A.; Lanyon, P.C.; Grainge, M.J.; Shaunak, R.; Mahr, A.; Hubbard, R.B. Incidence of ANCA-associated vasculitis in a UK mixed ethnicity population. Rheumatology 2016, 55, 1656–1663. Available online: http://www.embase.com/search/results?subaction=viewrecord&from=export&id=L613312860 (accessed on 15 January 2022). [CrossRef]
  26. Watts, R.A.; Mooney, J.; Skinner, J.; Scott, D.G.I.; MacGregor, A. The contrasting epidemiology of granulomatosis with polyangiitis (Wegener’s) and microscopic polyangiitis. Rheumatology 2012, 51, 926–931. [Google Scholar] [CrossRef]
  27. Fujimoto, S.; Watts, R.A.; Kobayashi, S.; Suzuki, K.; Jayne, D.R.W.; Scott, D.G.I.; Hashimito, H.; Nunoi, H. Comparison of the epidemiology of an-ti-neutrophil cytoplasmic antibody-associated vasculitis between Japan and the U.K. Rheumatology 2011, 50, 1916–1920. [Google Scholar] [CrossRef]
  28. Wu, C.-S.; Hsieh, C.-J.; Peng, Y.-S.; Chang, T.-H.; Wu, Z.-Y. Antineutrophil cytoplasmic antibody-associated vasculitis in Taiwan: A hospital-based study with reference to the population-based National Health Insurance database. J. Microbiol. Immunol. Infect. 2015, 48, 477–482. [Google Scholar] [CrossRef]
  29. Pierini, F.S.; Scolnik, M.; Scaglioni, V.; Mollerach, F.; Soriano, E.R. Incidence and prevalence of granulomatosis with polyangiitis and microscopic polyangiitis in health management organization in Argentina: A 15-year study. Clin. Rheumatol. 2019, 38, 1935–1940. [Google Scholar] [CrossRef]
  30. Romero Gómez, C.; Aguilar García, J.A.; García de Lucas, M.D. Epidemiological study of primary systemic vasculitides among adults in southern Spain and review of the main epidemiological studies. Clin. Exp. Rheumatol. 2015, 33, 11–18. Available online: http://www.embase.com/search/results?subaction=viewrecord&from=export&id=L613657990 (accessed on 10 January 2022).
  31. Gibson, A.; Stamp, L.K.; Chapman, P.T.; Donnell, J.L.O. The epidemiology of Wegener’ s granulomatosis and microscopic polyan-giitis in a Southern Hemisphere region. Rheumatology 2006, 2005, 624–628. [Google Scholar] [CrossRef]
  32. Eaton, W.W.; Rose, N.R.; Kalaydjian, A.; Pedersen, M.G.; Mortensen, P.B. Epidemiology of autoimmune diseases in Denmark. J. Autoimmun. 2007, 29, 1–9. [Google Scholar] [CrossRef] [PubMed]
  33. Mahr, A.; Guillevin, L.; Poissonnet, M.; Aymé, S. Prevalences of Polyarteritis Nodosa, Microscopic Polyangiitis, Wegener’s Gra-nulomatosis, and Churg-Strauss Syndrome in a French Urban Multiethnic Population in 2000: A Capture-Recapture Estima-te. Arthritis Care Res. 2004, 51, 92–99. [Google Scholar] [CrossRef] [PubMed]
  34. Mohammad, A.J.; Jacobsson, L.T.H.; Mahr, A.D.; Sturfelt, G.; Segelmark, M. Prevalence of Wegener’s granulomatosis, microscopic polyangiitis, polyarteritis nodosa and Churg-Strauss syndrome within a defined population in southern Sweden. Rheumatology 2007, 46, 1329–1337. [Google Scholar] [CrossRef] [PubMed]
  35. Sada, K.-E.; Amano, K.; Uehara, R.; Yamamura, M.; Arimura, Y.; Nakamura, Y.; Makino, H. A nationwide survey on the epidemiology and clinical features of eosinophilic granulomatosis with polyangiitis (Churg-Strauss) in Japan. Mod. Rheumatol. 2014, 24, 640–644. [Google Scholar] [CrossRef]
  36. Zeft, A.S.; Schlesinger, M.H.; Keenan, H.; Larson, R.; Emery, H.; Weiss, N.S. Wegener’s Granulomatosis and Environmental Factors in Western Montana. Rheumatol. Rep. 2010, 2, 2010.e8. [Google Scholar] [CrossRef]
  37. Nelveg-kristensen, K.E.; Szpirt, W.; Carlson, N.; Mcclure, M.; Jayne, D.; Dieperink, H. Increasing incidence and improved sur-vival in ANCA-associated vasculitis—A Danish nationwide study. Nephrol. Dial. Transpl. 2020, 37, 63–71. [Google Scholar] [CrossRef]
  38. Watts, R.A.; Mahr, A.; Mohammad, A.J.; Gatenby, P.; Basu, N.; Flores-Suárez, L.F. Classification, epidemiology and clinical subgrouping of antineutrophil cytoplasmic antibody (ANCA)-associated vasculitis. Nephrol. Dial. Transpl. 2015, 30, i14–i22. [Google Scholar] [CrossRef]
  39. Tsuchiya, N. Genetics of ANCA-associated vasculitis in Japan: A role for HLA-DRB1*09:01 haplotype. Clin. Exp. Nephrol. 2012, 17, 628–630. [Google Scholar] [CrossRef]
  40. Naidu, G.S.R.S.N.K.; Prasanna, D. Is granulomatosis with polyangiitis in Asia different from the West? Int. J. Rheum. Dis. 2018, 8, 1–5. [Google Scholar] [CrossRef]
  41. Li, J.; Cui, Z.; Long, J.-Y.; Huang, W.; Wang, J.-W.; Wang, H.; Zhang, L.; Chen, M.; Zhao, M.-H. The frequency of ANCA-associated vasculitis in a national database of hospitalized patients in China. Arthritis Res. Ther. 2018, 20, 1–10. [Google Scholar] [CrossRef]
  42. Furuta, S.; Chaudhry, A.N.; Hamano, Y.; Fujimoto, S.; Nagafuchi, H.; Makino, H.; Matsuo, S.; Ozaki, S.; Endo, T.; Muso, E.; et al. Comparison of Phenotype and Outcome in Microscopic Polyangiitis Between Europe and Japan. J. Rheumatol. 2014, 41, 325–333. [Google Scholar] [CrossRef] [PubMed]
  43. Gatenby, P.A.; Lucas, R.M.; Engelsen, O.; Ponsonby, A.-L.; Clements, M. Antineutrophil cytoplasmic antibody-associated vasculitides: Could geographic patterns be explained by ambient ultraviolet radiation? Arthritis Care Res. 2009, 61, 1417–1424. [Google Scholar] [CrossRef] [PubMed]
  44. Gatenby, P.A. Anti-neutrophil cytoplasmic antibody-associated systemic vasculitis: Nature or nurture? Intern. Med. J. 2012, 42, 351–359. [Google Scholar] [CrossRef] [PubMed]
  45. Iudici, M.; Quartier, P.; Terrier, B.; Mouthon, L.; Guillevin, L.; Puéchal, X. Childhood-onset granulomatosis with polyangiitis and microscopic polyangiitis: Systematic review and meta-analysis. Orphanet J. Rare Dis. 2016, 11, 141. [Google Scholar] [CrossRef]
  46. Dadoniene, J.; Kirdaite, G.; Mackiewicz, Z.; Rimkevicius, A.; Haugeberg, G. Incidence of primary systemic vasculitides in Vilnius: A university hospital population based study. Ann. Rheum. Dis. 2005, 64, 335–336. [Google Scholar] [CrossRef]
  47. Gray, J.; Soden, M. Epidemiology of ANCA-associated vasculitis in Townsville, North Queensland. Intern. Med. J. 2015, 45, 20. Available online: http://www.embase.com/search/results?subaction=viewrecord&from=export&id=L614879490 (accessed on 15 December 2021).
  48. Nufio Cho, E.I.; Arreloa, E.R.; Herrera Mendez, M. Vasculitis at roosevelt hospital. J. Clin. Rheumatol. 2018, 24, S37. Available online: http://www.embase.com/search/results?subaction=viewrecord&from=export&id=L622213891 (accessed on 1 January 2022).
  49. Chakravarty, K.; Saeed, I.; Sajna, J.; Kiprianos, A.P.; Church, L.D.; Little, M.; Savage, C.O.; Bacon, P.A.; Young, S.P.; Rajappa, S.M.; et al. Vasculitis [232-238]: Primary Systemic Vasculitis: A 10 Year True to Life Study from a North London District General Hospital. Rheumatology 2010, 49, i122–i124. [Google Scholar] [CrossRef]
  50. Karadag, O.; Bilgen, S.A.; Armagan, B. Two-year results of a prospective vasculitis cohort from eastern mediterranean: Demographic characteristics and distribution of the vasculitides frequencies. Rheumatology 2017, 56, iii88. Available online: http://www.embase.com/search/results?subaction=viewrecord&from=export&id=L619334761 (accessed on 5 January 2022). [CrossRef][Green Version]
  51. Nilsen, A.T.; Watts, R.A.; Koldingsnes, W. Epidemiology of ANCA-associated vasculitis in northern Norway. Ann. Rheum. Dis. 2017, 76, 319. Available online: http://www.embase.com/search/results?subaction=viewrecord&from=export&id=L621420609 (accessed on 8 February 2022).
  52. Lu, L.Y.; Keng, H.M.; Yen, L.J.; Hwu, R.J.; Tseng, J.C. Characteristics and outcomes of patients with ANCA-associated vasculitis at a single medical center in southern Taiwan. Rheumatology 2017, 56, iii105. Available online: http://www.embase.com/search/results?subaction=viewrecord&from=export&id=L619334614 (accessed on 1 February 2022).
  53. Barahona Correa, J.E.; Gómez Cárdenas, Ó.E.; Sarmiento Monroy, J.C.; Mantilla, R.D. Classification, epidemiology, and clinical phenotypes of primary vasculitides in colombia. Ann. Rheum. Dis. 2017, 76, 1250. Available online: http://www.embase.com/search/results?subaction=viewrecord&from=export&id=L621423541 (accessed on 6 February 2022).
  54. Watts, R.A.; Scott, D.G. The epidemiology of vasculitis in the UK. Rheumatology 2014, 53, i187. Available online: http://www.embase.com/search/results?subaction=viewrecord&from=export&id=L71521046. (accessed on 1 February 2022). [CrossRef][Green Version]
  55. Andrews, M.; Edmunds, M.; Campbell, A.; Walls, J.; Feehally, J. Systemic vasculitis in the 1980s—Is there an increasing incidence of Wegener’s granulomatosis and microscopic polyarteritis? J. R. Coll. Physicians. Lond. 1990, 24, 284–288. [Google Scholar] [PubMed]
  56. De Zoysa, J.R.; Kendrick-Jones, J.; Lam, M.; Yehia, M. ANCA-associated vasculitis in auckland 1998–2008. Nephrology 2012, 17, 38. Available online: http://www.embase.com/search/results?subaction=viewrecord&from=export&id=L71377281 (accessed on 8 February 2022).
  57. Pearce, F.; Lanyon, P.; Watts, R. SAT0267 Epidemiology of ANCA Associated Vasculitis in A Multi-Ethnic Urban Population. Ann. Rheum. Dis. 2014, 689, 690. [Google Scholar] [CrossRef]
  58. Cervera-Castillo, H.; Blanco-Favela, F.; Silva-López, Y.F.; Paredez-Rivera, G.E.; Torres-Caballero, V. [ANCA-associated vasculitides at Mexico City’s metropolitan Eastern area]. Rev. Med. Inst. Mex. Seguro. Soc. 2017, 55, 430–440. [Google Scholar]
  59. O’Donnell, J.L.; Stevanovic, V.R.; Frampton, C.; Stamp, L.K.; Chapman, P.T. Wegener?s granulomatosis in New Zealand: Evidence for a latitude-dependent incidence gradient. Intern. Med. J. 2007, 37, 242–246. [Google Scholar] [CrossRef]
  60. Koldingsnes, W.; Nossent, H. Epidemiology of Wegener’s granulomatosis in northern Norway. Arthritis Rheum. 2000, 43, 2481–2487. [Google Scholar] [CrossRef]
  61. Takala, J.H.; Kautiainen, H.; Malmberg, H.; Leirisalo-Repo, M. Wegener’s granulomatosis in Finland in 1981–2000, Clinical presentation and diagnostic delay. Scand. J. Rheumatol. 2008, 37, 435–438. [Google Scholar] [CrossRef]
  62. Gonzalez-Gay, M.A.; Garcia-Porrua, C.; Guerrero, J.; Rodriguez-Ledo, P.; Llorca, J. The epidemiology of the primary systemic vasculitides in northwest Spain: Implications of the Chapel Hill Consensus Conference definitions. Arthritis Care Res. 2003, 49, 388–393. [Google Scholar] [CrossRef]
  63. Watts, R.A.; Gonzalez-Gay, M.A.; Lane, S.E.; Garcia-Porrua, C.; Bentham, G.; Scott, D.G.I. Geoepidemiology of systemic vasculitis: Comparison of the incidence in two regions of Europe. Ann. Rheum. Dis. 2001, 60, 170–172. [Google Scholar] [CrossRef] [PubMed]
  64. Faurschou, M.; Helleberg, M.; Obel, N.; Baslund, B. Incidence of granulomatosis with polyangiitis (Wegener’s) in Greenland and the Faroe Islands: Epidemiology of an ANCA-associated vasculitic syndrome in two ethnically distinct populations in the North Atlantic area. Clin. Exp. Rheumatol. 2013, 31, S52–S55. [Google Scholar] [PubMed]
  65. Knight, A.; Ekbom, A.; Brandt, L.; Askling, J. Increasing Incidence of Wegener’ s Granulomatosis in Sweden, 1975–2001. J. Rheumatol. 2006, 33, 8–11. [Google Scholar]
  66. Watts, R.A.; Al-Tair, A.; Scott, D.G.I.; Macgregor, A.J. Prevalence and Incidence of Wegener’ s Granulomatosis in the UK General Practice Research Database. Arthritis Care Res. 2009, 61, 1412–1416. [Google Scholar] [CrossRef] [PubMed]
  67. Watts, R.A.; Lane, S.E.; Bentham, G.; Scott, D.G.I. Epidemiology of systemic vasculitis: A ten-year study in the United Kingdom. Arthritis Care Res. 2000, 43, 414–419. [Google Scholar] [CrossRef]
  68. Carruthers, D.M.; Watts, R.A.; Symmons, D.P.M.; Scott, D.G.L. Wegener’ s granulomatosis—Increased incidence or increased recognition? Rheumatology 1996, 1996, 142–145. [Google Scholar] [CrossRef]
  69. Watts, R.A.; Jolliffe, V.A.; Carruthers, D.M.; Lockwood, M.; Scott, D.G.I. Effect of classification on the incidence of polyarteritis nodosa and microscopic polyangiitis. Arthritis Care Res. 1996, 39, 1208–1212. [Google Scholar] [CrossRef]
  70. Reinhold-Keller, E.; Zeidler, A.; Gutfleisch, J.; Peter, H.H.; Raspe, H.H.; Gross, W.L. Giant cell arteritis is more prevalent in urban than in rural populations: Results of an epidemiological study of primary systemic vasculitides in Germany. Rheumatology 2000, 39, 1396–1402. [Google Scholar] [CrossRef][Green Version]
  71. Herlyn, K.; Buckert, F.; Gross, W.L.; Reinhold-Keller, E. Doubled prevalence rates of ANCA-associated vasculitides and giant cell arteritis between 1994 and 2006 in northern Germany. Rheumatology 2014, 53, 882–889. [Google Scholar] [CrossRef]
  72. Haugeberg, G.; Bie, R.; Bendvold, A.; Storm Larsen, A.; Johnsen, V. Rheumatology Original Article Primary Vasculitis in a Norwegian Community Hospital: A Retrospective Study. Clin. Rheumatol. 1998, 17, 364–368. [Google Scholar] [CrossRef] [PubMed]
  73. Cotch, M.F.; Hoffman, G.S.; Yerg, D.E.; Kaufman, G.I.; Targonski, P.; Kaslow, R.A. The epidemiology of Wegener’s granulomatosis. Estimates of the five-year period prevalence, annual mortality, and geographic disease distribution from population-based data sources. Arthritis Care Res. 1996, 39, 87–92. [Google Scholar] [CrossRef] [PubMed]
  74. Nesher, G.; Ben-Chetrit, E.; Mazal, B.; Breuer, G.S. The Incidence of Primary Systemic Vasculitis in Jerusalem: A 20-year Hospital-based Retrospective Study. J. Rheumatol. 2016, 43, 1072–1077. [Google Scholar] [CrossRef] [PubMed]
  75. Berti, A.; Cornec, D.; Crowson, C.S.; Specks, U.; Matteson, E.L. The epidemiology of ANCA associated vasculitis in the U.S.: A 20 year population based study. Arthritis Rheumatol. 2017, 69, 2338. Available online: http://www.embase.com/search/results?subaction=viewrecord&from=export&id=L618916528 (accessed on 8 February 2022). [CrossRef] [PubMed]
  76. Belem, J.M.F.M.; Pereira, R.M.R.; Perez, M.O.; do Prado, L.L.; Calich, A.L.; Sachetto, Z. Epidemiologic Features of Systemic Vasculitides in the Southeast Region of Brazil: Hospital-Based Survey. J. Clin. Rheumatol. Pr. Rep. Rheum. Musculoskelet. Dis. 2019, 26, 106–110. [Google Scholar] [CrossRef]
  77. Jokar, M.; Mirfeizi, Z. Epidemiology of Vasculitides in Khorasan Province, Iran. Iran. J. Med. Sci. 2015, 40, 362–366. [Google Scholar]
Publisher’s Note: MDPI stays neutral with regard to jurisdictional claims in published maps and institutional affiliations.

Article Metrics

Citations

Article Access Statistics

Multiple requests from the same IP address are counted as one view.