Analgesic and Functional Efficiency of High-Voltage Electrical Stimulation in Patients with Lateral Epicondylitis—A Report with a 180-Day Follow-Up
Abstract
1. Introduction
2. Materials and Methods
2.1. Study Design
2.2. Participants
2.3. Sample Size
2.4. Qualification
2.4.1. HVES Group
2.4.2. NORM Group
2.5. Interventions
2.6. Outcome Measurements
2.7. Statistical Analysis
3. Results
3.1. Analysis of Results Regarding the Influence of High-Voltage Electrical Stimulation Therapy on the Subjective Experience of Functional Ability in Patients with Elbow Pain
3.2. Analysis of Influence of HVES Therapy on the Subjective Experience of Elbow Pain
4. Discussion
5. Conclusions
Author Contributions
Funding
Institutional Review Board Statement
Informed Consent Statement
Data Availability Statement
Acknowledgments
Conflicts of Interest
References
- Rodríguez-Huguet, M.; Góngora-Rodríguez, J.; Lomas-Vega, R.; Martín-Valero, R.; Díaz-Fernández, Á.; Obrero-Gaitán, E.; Ibáñez-Vera, A.J.; Rodríguez-Almagro, D. Percutaneous Electrolysis in the Treatment of Lateral Epicondylalgia: A Single-Blind Randomized Controlled Trial. J. Clin. Med. 2020, 9, 2068. [Google Scholar] [CrossRef] [PubMed]
- Turgay, T.; Günel Karadeniz, P.; Sever, G.B. Comparison of low level laser therapy and extracorporeal shock wave in treatment of chronic lateral epicondylitis. Acta Orthop. Traumatol. Turc. 2020, 54, 591–595. [Google Scholar] [CrossRef] [PubMed]
- Guler, T.; Yıldırım, P. Comparison of the efficacy of kinesiotaping and extracorporeal shock wave therapy in patients with newly diagnosed lateral epicondylitis: A prospective randomized trial. Niger. J. Clin. Pract. 2020, 23, 704–710. [Google Scholar] [CrossRef] [PubMed]
- Białek, L.; Franek, A.; Błaszczak, E.; Król, T.; Dolibog, P.; Białek, J.; Dolibog, P.; Wróbel, B.; Król, P. Radial shockwave and ultrasound in the treatment of lateral epicondylitis—A preliminary report. Med. Rehabil. 2018, 22, 15–21. [Google Scholar] [CrossRef]
- Ünver, H.H.; Bakılan, F.; Berkan Taşçıoğlu, F.; Armağan, O.; Özgen, M. Comparing the efficacy of continuous and pulsed ultrasound therapies in patients with lateral epicondylitis: A double-blind, randomized, placebo-controlled study. Turk. J. Phys. Med. Rehab. 2021, 67, 99–106. [Google Scholar] [CrossRef]
- Köksal, İ.; Güler, O.; Mahİroğulları, M.; Mutlu, S.; Çakmak, S.; Akşahİn, E. Comparison of extracorporeal shock wave therapy in acute and chronic lateral epicondylitis. Acta. Orthop. Traumatol. Turc. 2015, 49, 465–470. [Google Scholar] [CrossRef]
- Özmen, T.; Koparal, S.S.; Karataş, O.; Eser, F.; Özkurt, B.; Gafuroğlu, Ü. Comparison of the clinical and sonographic effects of ultrasound therapy, extracorporeal shock wave therapy, and Kinesio taping in lateral epicondylitis. Turk. J. Med. Sci. 2021, 51, 76–83. [Google Scholar] [CrossRef]
- Król, P.; Franek, A.; Durmała, J.; Błaszczak, E.; Ficek, K.; Król, B.; Detko, E.; Wnuk, B.; Białek, L.; Taradaj, J. Focused and Radial Shock Wave Therapy in the Treatment of Tennis Elbow: A Pilot Randomised Controlled Study. J. Hum. Kinet. 2015, 47, 127–135. [Google Scholar] [CrossRef]
- Sandoval, M.C.; Ramirez, C.R.; Camargo, D.M.; Russo, T.L.; Salvini, T.F. Effect of high-voltage electrical stimulation on the albumin and histamine serum concentrations, edema, and pain in acute joint inflammation of rats. Braz. J. Phys. Ther. 2015, 19, 89–96. [Google Scholar] [CrossRef][Green Version]
- Jette, D.U. Effect of Different Forms of Transcutaneous Electrical Nerve Stimulation on Experimental Pain. Phys. Ther. 1986, 66, 187–190. [Google Scholar] [CrossRef]
- Wong, R.A. High Voltage Versus Low Voltage Electrical Stimulation: Force of Induced Muscle Contraction and Perceived Discomfort in Healthy Subjects. Phys. Ther. 1986, 66, 1209–1214. [Google Scholar] [CrossRef] [PubMed][Green Version]
- Polak, A.; Franek, A.; Taradaj, J. High-Voltage Pulsed Current Electrical Stimulation in Wound Treatment. Adv. Wound Care 2014, 3, 104–117. [Google Scholar] [CrossRef] [PubMed]
- Cheah, Y.J.; Buyong, M.R.; Mohd Yunus, M.H. Wound Healing with Electrical Stimulation Technologies: A Review. Polymers 2021, 13, 3790. [Google Scholar] [CrossRef] [PubMed]
- Franek, A.; Kostur, R.; Polak, A.; Taradaj, J.; Szlachta, Z.; Blaszczak, E.; Dolibog, P.; Dolibog, P.T.; Koczy, B.; Kucio, C. Using high-voltage electrical stimulation in the treatment of recalcitrant pressure ulcers: Results of a randomized, controlled clinical study. Ostomy Wound Manag. 2012, 58, 30–44. [Google Scholar]
- Franek, A.; Polak, A.; Kucharzewski, M. Modern application of high voltage stimulation for enhanced healing of venous crural ulceration. Med. Eng. Phys. 2000, 22, 647–655. [Google Scholar] [CrossRef]
- Radpasand, M.; Owens, E. Combined multimodal therapies for chronic tennis elbow: Pilot study to test protocols for a randomized clinical trial. J. Manip. Physiol. Ther. 2009, 32, 571–585. [Google Scholar] [CrossRef]
- Reza Nourbakhsh, M.; Fearon, F.J. An alternative approach to treating lateral epicondylitis. A randomized, placebo-controlled, double-blinded study. Clin. Rehabil. 2008, 22, 601–609. [Google Scholar] [CrossRef]
- Chesterton, L.S.; Windt, D.A.; Sim, J.; Lewis, M.; Mallen, C.D.; Mason, E.E.; Warlow, C.; Hay, M. Transcutaneous elektrical nerve stimulation for the management of tenis elbow: A pragmatic randomized controlled trial: The TATE trial (ISRCTN 87141084). BMC Musculoskelet. Disord. 2009, 10, 156. [Google Scholar] [CrossRef]
- Weng, C.-S.; Shu, S.-H.; Chen, C.-C.; Tsai, Y.-S.; Hu, W.-C.; Chang, Y. The evaluation of two modulated frequency modes of acupuncture-like tens on the treatment of tenis elbow pain. Biomed. Eng. Appl. Basis Commun. 2005, 17, 236–242. [Google Scholar] [CrossRef][Green Version]
- Poltawski, L.; Johnson, M.; Watson, T. Microcurrent therapy in the management of chronic tennis elbow: Pilot studies to optimize parameters. Physiother. Res. Int. 2012, 17, 157–166. [Google Scholar] [CrossRef]
- Schulz, K.F.; Altman, D.G.; Moher, D. CONSORT 2010 statement: Updated guidelines for reporting parallel group randomised trials. BMJ 2010, 340, c332. [Google Scholar] [CrossRef] [PubMed]
- Hopkins, W.; Marshall, S.; Batterham, A.; Hanin, J. Progressive Statistics for Studies in Sports Medicine and Exercise Science. Med. Sci. Sports Exerc. 2009, 41, 3–13. [Google Scholar] [CrossRef] [PubMed]
- Pivovarsky, M.L.F.; Gaideski, F.; Macedo, R.M.; Korelo, R.I.G.; Guarita-Souza, L.C.; Liebano, R.E.; Macedo, A.C.B. Immediate analgesic effect of two modes of transcutaneous electrical nerve stimulation on patients with chronic low back pain: A randomized controlled trial. Einstein 2021, 19, eAO6027. [Google Scholar] [CrossRef] [PubMed]
- Tella, B.A.; Oghumu, S.N.; Gbiri, C.A.O. Efficacy of Transcutaneous Electrical Nerve Stimulation and Interferential Current on Tactile Acuity of Individuals With Nonspecific Chronic Low Back Pain. Neuromodulation 2021. [Google Scholar] [CrossRef] [PubMed]
- Lewis, M.; Chesterton, L.S.; Sim, J.; Mallen, C.D.; Hay, E.M.; van der Windt, D.A. An Economic Evaluation of TENS in Addition to Usual Primary Care Management for the Treatment of Tennis Elbow: Results from the TATE Randomized Controlled Trial. PLoS ONE 2015, 10, e0135460. [Google Scholar] [CrossRef] [PubMed]




| Parameter | HVES Group | NORM Group | p-Value |
|---|---|---|---|
| Total (n) | 29 | 29 | |
| Gender—female/male (n) | 17/12 | 17/12 | 1 * |
| Age (years) | |||
| Mean | 49.9 | 48.0 | |
| SD | 11.0 | 12.6 | |
| Median | 51.0 | 50.0 | 0.769 |
| Range | 29.0–72.0 | 20.0–65.0 | |
| Height (m) | |||
| Mean | 168.8 | 168.0 | |
| SD | 9.1 | 7.7 | |
| Median | 167.0 | 168.0 | 0.781 |
| Range | 153.0–182.0 | 150.0–184.0 | |
| Weight (kg) | |||
| Mean | 76.4 | 74.5 | |
| SD | 16.1 | 15.5 | |
| Median | 75.0 | 70.0 | 0.665 |
| Range | 49.0–110.0 | 55.0–106.0 | |
| Body weight status by World Health Organization standards | |||
| Normal weight (%) | 12 (41) | 12 (41) | |
| Overweight (%) | 13 (45) | 9 (31) | 0.352 * |
| Obesity (%) | 4 (14) | 8 (28) | |
| Affected side | |||
| Right | 19 | - | - |
| Left | 10 |
| Group | W0 | W1 | W2 | W3 | W4 | W5 | p Friedmann ANOVA **, Dunn–Bonferroni * (against the Baseline) Test |
|---|---|---|---|---|---|---|---|
| HVES (kG) | Main effect, p ** < 0.001 | ||||||
| Mean | 24.1 | 30.9 | 34.2 | 36.4 | 36.9 | 37.1 | W0 vs. W1, p * = 0.103 |
| SD | 13.4 | 12.9 | 12.7 | 11.9 | 11.8 | 12.4 | W0 vs. W2, p * < 0.001 |
| Median | 22.7 | 29.0 | 31.7 | 31.7 | 31.7 | 31.7 | W0 vs. W3, p * < 0.001 |
| Min | 2.3 | 8.2 | 13.6 | 20.4 | 22.7 | 20.4 | W0 vs. W4, p * < 0.001 |
| Max | 49.9 | 54.4 | 57.6 | 61.2 | 57.6 | 58.9 | W0 vs. W5, p * < 0.001 |
| NORM (kG) | |||||||
| Mean | 34.3 | 34.4 | 34.3 | 33.6 | 34.2 | 34.1 | |
| SD | 10.2 | 9.4 | 9.4 | 9.4 | 9.8 | 9.5 | ICC(2,k) = 0.991 |
| Median | 31.7 | 33.6 | 31.9 | 31.3 | 32.2 | 32.4 | −95% CI ICC(2,k) = 0.988 |
| Min | 18.1 | 19.5 | 19.1 | 18.1 | 17.2 | 18.1 | +95% CI ICC(2,k) = 0.994 |
| Max | 61.7 | 56.7 | 54.0 | 56.0 | 56.0 | 56.0 | p < 0.001 |
| p—Mann–Whitney U test | <0.001 | 0.134 | 0.638 | 0.534 | 0.564 | 0.600 |
| Group | W0 | W1 | W2 | W3 | W4 | W5 | p Friedmann ANOVA **, and Dunn–Bonferroni * (against the Baseline) Test |
|---|---|---|---|---|---|---|---|
| HVES (kG) | Main effect, p ** < 0.001 | ||||||
| Mean | 6.8 | 9.0 | 9.6 | 10.2 | 10.9 | 10.8 | W0 vs. W1, p * = 0.038 |
| SD | 3.4 | 3.8 | 4.3 | 4.6 | 4.0 | 4.0 | W0 vs. W2, p * < 0.001 |
| Median | 6.8 | 8.4 | 8.8 | 9.6 | 10.7 | 9.3 | W0 vs. W3, p * < 0.001 |
| Min | 1.7 | 4.5 | 4.5 | 4.5 | 4.5 | 4.5 | W0 vs. W4, p * < 0.001 |
| Max | 12.7 | 17.2 | 18.1 | 20.4 | 20.4 | 20.4 | W0 vs. W5, p * < 0.001 |
| NORM (kG) | |||||||
| Mean | 9.9 | 9.8 | 9.9 | 9.9 | 9.7 | 9.8 | |
| SD | 3.5 | 3.6 | 3.7 | 3.9 | 3.6 | 3.6 | ICC(2,k) = 0.987 |
| Median | 10.0 | 10.0 | 9.9 | 9.7 | 9.7 | 9.7 | −95% CI ICC(2,k) = 0.980 |
| Min | 4.5 | 4.1 | 4.5 | 3.6 | 4.1 | 4.5 | +95% CI ICC(2,k) = 0.991 |
| Max | 18.1 | 17.2 | 18.0 | 22.0 | 18.0 | 18.0 | p < 0.001 |
| p— Mann–Whitney U test | <0.001 | 0.154 | 0.505 | 0.968 | 0.249 | 0.465 |
| Group | W0 | W1 | W2 | W3 | W4 | W5 | p Friedmann ANOVA **, and Dunn–Bonferroni * (against the Baseline) Test |
|---|---|---|---|---|---|---|---|
| HVES (kG) | Main effect, p ** < 0.001 | ||||||
| Mean | 4.1 | 5.9 | 6.7 | 7.4 | 7.7 | 7.8 | W0 vs. W1, p * = 0.038 |
| SD | 2.9 | 3.3 | 3.7 | 3.9 | 3.7 | 3.8 | W0 vs. W2, p * < 0.001 |
| Median | 3.4 | 4.5 | 4.5 | 5.4 | 7.0 | 7.5 | W0 vs. W3, p * < 0.001 |
| Min | 0.4 | 2.3 | 2.3 | 3.2 | 3.6 | 2.3 | W0 vs. W4, p * < 0.001 |
| Max | 10.4 | 13.6 | 13.6 | 15.9 | 15.9 | 15.9 | W0 vs. W5, p * < 0.001 |
| NORM (kG) | |||||||
| Mean | 6.6 | 6.7 | 6.5 | 6.5 | 6.6 | 6.6 | |
| SD | 2.6 | 2.6 | 2.2 | 2.3 | 2.4 | 2.3 | ICC(2,k) = 0.991 |
| Median | 6.0 | 6.4 | 6.0 | 6.0 | 6.6 | 6.6 | −95% CI for ICC(2,k) = 0.986 |
| Min | 2.7 | 2.7 | 2.3 | 2.3 | 2.3 | 2.3 | +95% CI for ICC(2,k) = 0.993 |
| Max | 13.6 | 13.6 | 10.9 | 10.9 | 10.9 | 11.3 | p < 0.001 |
| p—Mann–Whitney U test | <0.001 | 0.049 | 0.493 | 0.989 | 0.510 | 0.313 |
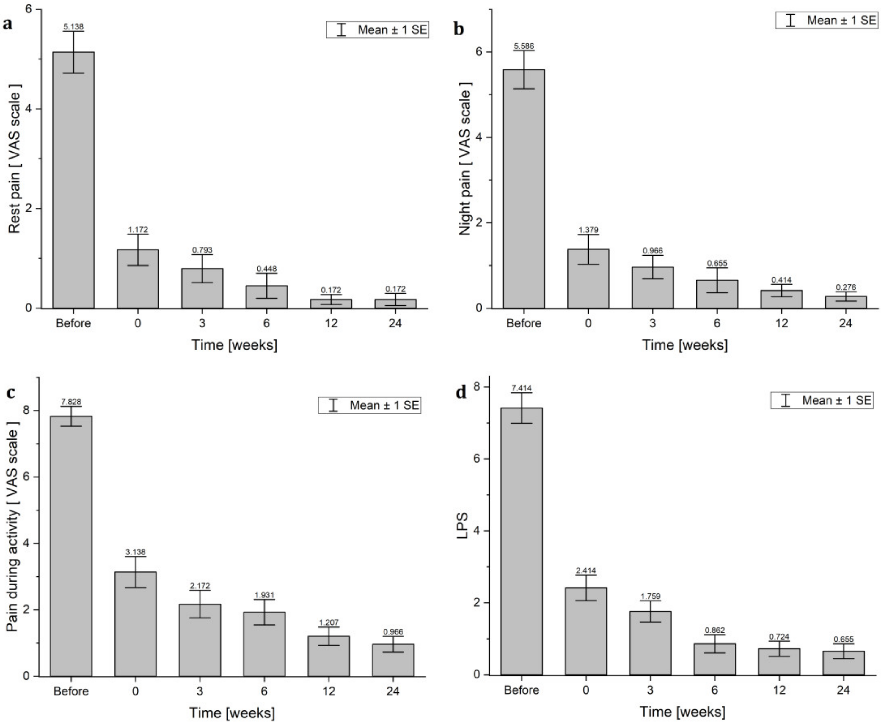
| Parameter (Points) | HVES Group | W0 | W1 | W2 | W3 | W4 | W5 | p Friedmann Annova **. and Dunn Bonferoni * Test |
|---|---|---|---|---|---|---|---|---|
| The VAS results: rest pain | Mean SD Median Min Max | 5.1 2.3 5.0 0.0 10.0 | 1.2 1.7 0.0 0.0 7.0 | 0.8 1.5 0.0 0.0 6.0 | 0.4 1.3 0.0 0.0 6.0 | 0.2 0.5 0.0 0.0 2.0 | 0.2 0.7 0.0 0.0 3.0 | Main effect, p ** < 0.001 W0 vs. W1, p * < 0.001 W0 vs. W2, p * < 0.001 W0 vs. W3, p < 0.001 W0 vs. W4, p * < 0.001 W0 vs. W5, p * < 0.001 |
| The VAS results: night pain | Mean SD Median Min Max | 5.6 2.4 6.0 0.0 10.0 | 1.4 1.9 1.0 0.0 6.0 | 0.9 1.5 0.0 0.0 5.0 | 0.7 1.6 0.0 0.0 8.0 | 0.4 0.8 0.0 0.0 3.0 | 0.3 0.6 0.0 0.0 2.0 | Main effect, p ** < 0.001 W0 vs. W1, p * < 0.001 W0 vs. W2, p * < 0.001 W0 vs. W3, p * < 0.001 W0 vs. W4, p * < 0.001 W0 vs. W5, p * < 0.001 |
| The VAS results: pain during activity | Mean SD Median Min Max | 7.8 1.6 8.0 3.0 10.0 | 3.1 2.5 3.0 0.0 9.0 | 2.2 2.2 2.0 0.0 8.0 | 1.9 2.1 2.0 0.0 8.0 | 1.2 1.5 1.0 0.0 5.0 | 0.9 1.3 1.0 0.0 4.0 | Main effect, p ** < 0.001 W0 vs. W1, p * = 0.001 W0 vs. W2, p * < 0.001 W0 vs. W3, p * < 0.001 W0 vs. W4, p * < 0.001 W0 vs. W5, p * < 0.001 |
| The LPS results | Mean SD Median Min Max | 7.4 2.3 7.0 4.0 12.0 | 2.4 1.9 2.0 0.0 9.0 | 1.8 1.6 2.0 0.0 6.0 | 0.9 1.4 0.0 0.0 5.0 | 0.7 1.1 0.0 0.0 4.0 | 0.7 1.1 0.0 0.0 4.0 | Main effect, p ** < 0.001 W0 vs. W1, p * = 0.002 W0 vs. W2, p * < 0.001 W0 vs. W3, p * < 0.001 W0 vs. W4, p * < 0.001 W0 vs. W5, p * < 0.001 |
Publisher’s Note: MDPI stays neutral with regard to jurisdictional claims in published maps and institutional affiliations. |
© 2022 by the authors. Licensee MDPI, Basel, Switzerland. This article is an open access article distributed under the terms and conditions of the Creative Commons Attribution (CC BY) license (https://creativecommons.org/licenses/by/4.0/).
Share and Cite
Dolibog, P.T.; Porębska, B.; Grzegorczyn, S.; Chmielewska, D.; Ślęzak, A.; Dolibog, P. Analgesic and Functional Efficiency of High-Voltage Electrical Stimulation in Patients with Lateral Epicondylitis—A Report with a 180-Day Follow-Up. J. Clin. Med. 2022, 11, 2571. https://doi.org/10.3390/jcm11092571
Dolibog PT, Porębska B, Grzegorczyn S, Chmielewska D, Ślęzak A, Dolibog P. Analgesic and Functional Efficiency of High-Voltage Electrical Stimulation in Patients with Lateral Epicondylitis—A Report with a 180-Day Follow-Up. Journal of Clinical Medicine. 2022; 11(9):2571. https://doi.org/10.3390/jcm11092571
Chicago/Turabian StyleDolibog, Paweł T., Beata Porębska, Sławomir Grzegorczyn, Daria Chmielewska, Andrzej Ślęzak, and Patrycja Dolibog. 2022. "Analgesic and Functional Efficiency of High-Voltage Electrical Stimulation in Patients with Lateral Epicondylitis—A Report with a 180-Day Follow-Up" Journal of Clinical Medicine 11, no. 9: 2571. https://doi.org/10.3390/jcm11092571
APA StyleDolibog, P. T., Porębska, B., Grzegorczyn, S., Chmielewska, D., Ślęzak, A., & Dolibog, P. (2022). Analgesic and Functional Efficiency of High-Voltage Electrical Stimulation in Patients with Lateral Epicondylitis—A Report with a 180-Day Follow-Up. Journal of Clinical Medicine, 11(9), 2571. https://doi.org/10.3390/jcm11092571

