Lymphopenia and Early Variation of Lymphocytes to Predict In-Hospital Mortality and Severity in ED Patients with SARS-CoV-2 Infection
Abstract
:1. Introduction
2. Materials and Methods
2.1. Study Population and Settings
2.2. Data Collection
2.3. Statistics
3. Results
3.1. Characteristics of the Study Population
3.2. Biochemical Factors Associated with Severe COVID-19
3.3. Predictive Factors of Severe COVID-19
3.4. Biochemical Factors Associated with Mortality
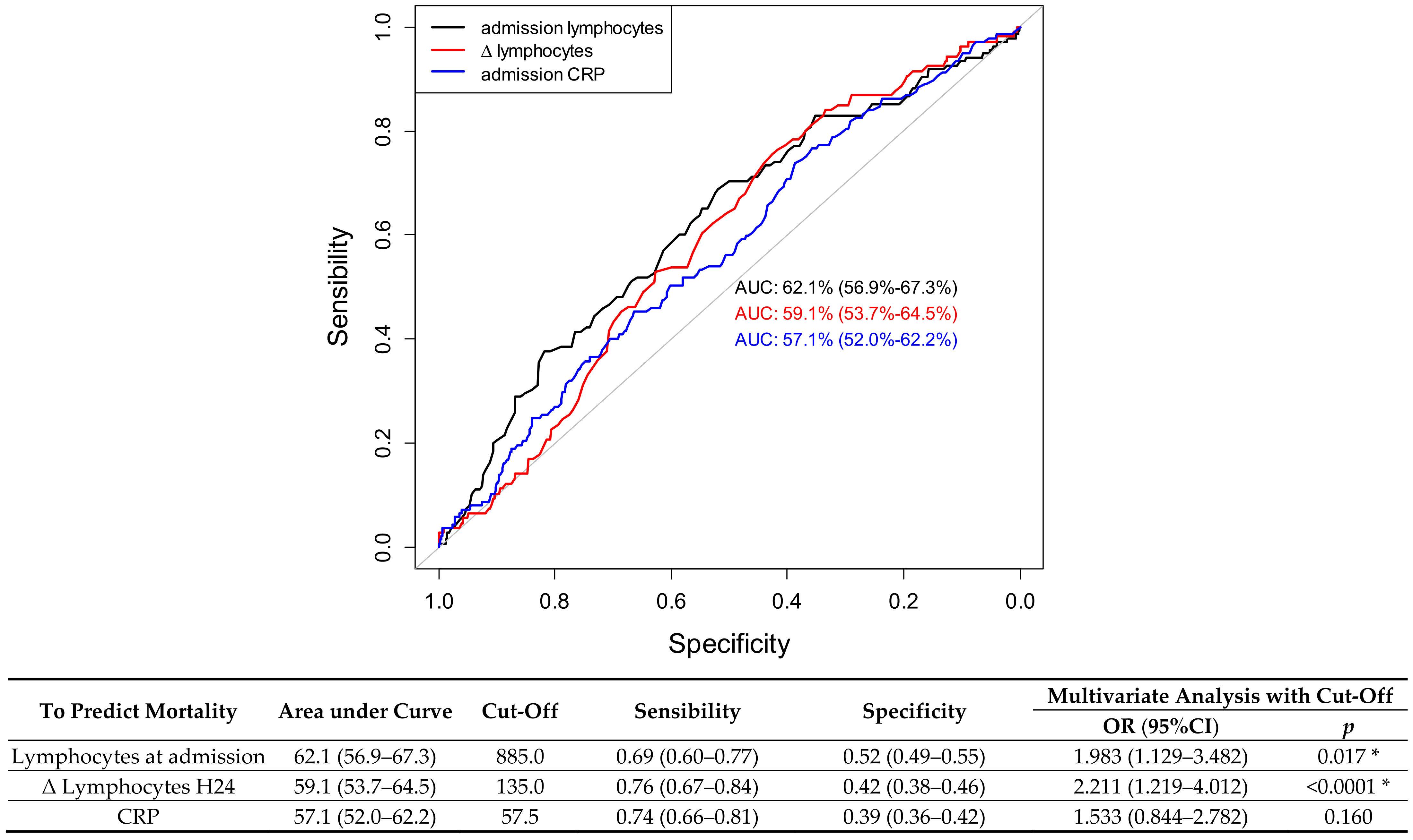
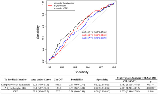
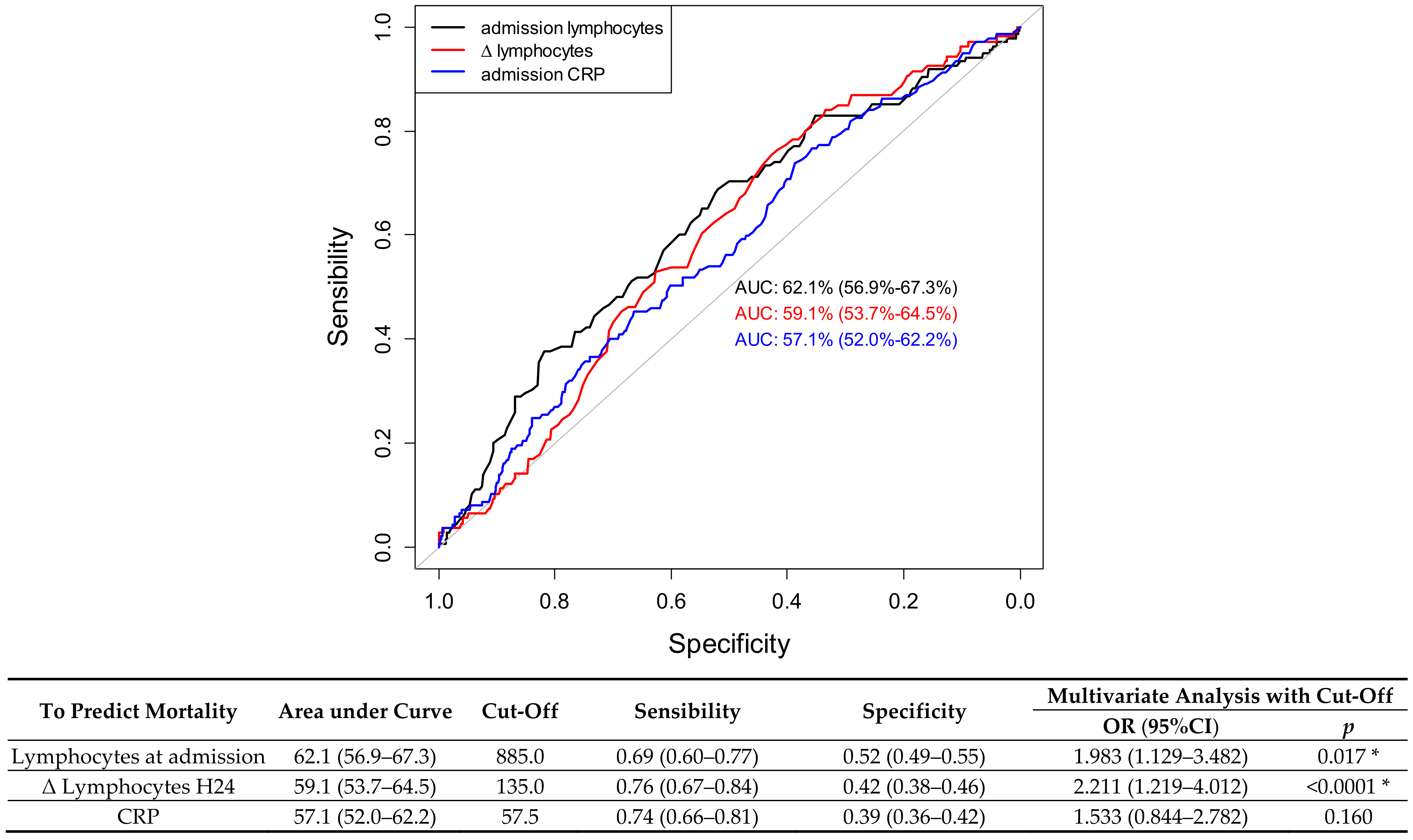
3.5. Predictive Factors of Mortality
4. Discussion
Limitations
5. Conclusions
Supplementary Materials
Author Contributions
Funding
Institutional Review Board Statement
Informed Consent Statement
Data Availability Statement
Conflicts of Interest
References
- WHO. Coronavirus (COVID-19) Dashboard. Available online: https://covid19.who.int (accessed on 30 December 2020).
- Kucewicz-Czech, E.; Damps, M. Triage during the COVID-19 pandemic. Anaesthesiol. Intensive Ther. 2020, 52, 312–315. [Google Scholar] [CrossRef] [PubMed]
- Khandelwal, A.; Singh, G.P.; Rath, G.P.; Chaturvedi, A. The “COVID-19 Score” can predict the need for tracheal intubation in critically ill COVID-19 patients—A hypothesis. Med. Hypotheses 2020, 144, 110292. [Google Scholar] [PubMed]
- Gerotziafas, G.T.; Sergentanis, T.N.; Voiriot, G.; Lassel, L.; Papageorgiou, C.; Elabbadi, A.; Turpin, M.; Vandreden, P.; Papageorgiou, L.; Psaltopoulou, T.; et al. Derivation and Validation of a Predictive Score for Disease Worsening in Patients with COVID-19. Thromb. Haemost. 2020, 120, 1680–1690. [Google Scholar] [CrossRef] [PubMed]
- Linssen, J.; Ermens, A.; Berrevoets, M.; Seghezzi, M.; Previtali, G.; van der Sar-van der Brugge, S.; Russcher, H.; Verbon, A.; Gillis, J.; Riedl, J.; et al. A novel haemocytometric COVID-19 prognostic score developed and validated in an observational multicentre European hospital-based study. eLife 2020, 9, e63195. [Google Scholar] [CrossRef]
- Xie, J.; Hungerford, D.; Chen, H.; Abrams, S.T.; Li, S.; Wang, G.; Wang, Y.; Kang, H.; Bonnett, L.; Zheng, R.; et al. Development and external validation of a prognostic multivariable model on admission for hospitalized patients with COVID-19. medRxiv 2020. [Google Scholar] [CrossRef]
- Liang, W.; Yao, J.; Chen, A.; Lv, Q.; Zanin, M.; Liu, J.; Wong, S.; Li, Y.; Lu, J.; Liang, H.; et al. Early triage of critically ill COVID-19 patients using deep learning. Nat. Commun. 2020, 11, 3543. [Google Scholar] [CrossRef]
- Berezné, A.; Bono, W.; Guillevin, L.; Mouthon, L. Diagnosis of lymphocytopenia. Presse Med. 2006, 35 Pt 2, 895–902. [Google Scholar]
- Lippi, G.; Plebani, M. Laboratory abnormalities in patients with COVID-2019 infection. Clin. Chem. Lab. Med. 2020, 58, 1131–1134. [Google Scholar] [CrossRef] [Green Version]
- Illg, Z.; Muller, G.; Mueller, M.; Nippert, J.; Allen, B. Analysis of absolute lymphocyte count in patients with COVID-19. Am. J. Emerg. Med. 2021, 46, 16–19. [Google Scholar] [CrossRef]
- Zhao, Q.; Meng, M.; Kumar, R.; Wu, Y.; Huang, J.; Deng, Y.; Weng, Z.; Yang, L. Lymphopenia is associated with severe coronavirus disease 2019 (COVID-19) infections: A systemic review and meta-analysis. Int. J. Infect. Dis. 2020, 96, 131–135. [Google Scholar] [CrossRef]
- Vahedi, H.S.M.; Bagheri, A.; Jahanshir, A.; Seyedhosseini, J.; Vahidi, E. Association of Lymphopenia with Short Term Outcomes of Sepsis Patients; a Brief Report. Arch. Acad. Emerg. Med. 2019, 7, e14. [Google Scholar] [CrossRef] [PubMed]
- Jang, J.E.; Kim, Y.R.; Kim, S.-J.; Cho, H.; Chung, H.; Lee, J.Y.; Park, H.; Kim, Y.; Cheong, J.-W.; Min, Y.H.; et al. A new prognostic model using absolute lymphocyte count in patients with primary central nervous system lymphoma. Eur. J. Cancer 2016, 57, 127–135. [Google Scholar] [CrossRef] [PubMed]
- Tatara, T.; Suzuki, S.; Kanaji, S.; Yamamoto, M.; Matsuda, Y.; Hasegawa, H.; Yamashita, K.; Matsuda, T.; Oshikiri, T.; Nakamura, T.; et al. Lymphopenia predicts poor prognosis in older gastric cancer patients after curative gastrectomy. Geriatr. Gerontol. Int. 2019, 19, 1215–1219. [Google Scholar] [CrossRef] [PubMed]
- Universalis, E. Réaction Inflammatoire [Internet]. Encyclopædia Universalis. Available online: https://www.universalis.fr/encyclopedie/reaction-inflammatoire/ (accessed on 19 February 2022).
- Girardot, T.; Rimmelé, T.; Venet, F.; Monneret, G. Apoptosis-induced lymphopenia in sepsis and other severe injuries. Apoptosis 2017, 22, 295–305. [Google Scholar] [CrossRef] [PubMed]
- Dymond, T. The Effects of Viral Infection on Lymphocyte Metabolism: A New Perspective on Disease Characterization. Viral Immunol. 2018, 31, 278–281. [Google Scholar] [CrossRef]
- Drewry, A.M.; Samra, N.; Skrupky, L.P.; Fuller, B.; Compton, S.M.; Hotchkiss, R.S. Persistent Lymphopenia After Diagnosis of Sepsis Predicts Mortality. Shock 2014, 42, 383–391. [Google Scholar] [CrossRef] [Green Version]
- Chen, N.; Zhou, M.; Dong, X.; Qu, J.; Gong, F.; Han, Y.; Qiu, Y.; Wang, J.; Liu, Y.; Wei, Y.; et al. Epidemiological and clinical characteristics of 99 cases of 2019 novel coronavirus pneumonia in Wuhan, China: A descriptive study. Lancet 2020, 395, 507–513. [Google Scholar] [CrossRef] [Green Version]
- Wang, D.; Hu, B.; Hu, C.; Zhu, F.; Liu, X.; Zhang, J.; Wang, B.; Xiang, H.; Cheng, Z.; Xiong, Y.; et al. Clinical Characteristics of 138 Hospitalized Patients With 2019 Novel Coronavirus—Infected Pneumonia in Wuhan, China. JAMA 2020, 323, 1061–1069. [Google Scholar] [CrossRef]
- Huang, C.; Wang, Y.; Li, X.; Ren, L.; Zhao, J.; Hu, Y.; Zhang, L.; Fan, G.; Xu, J.; Gu, X.; et al. Clinical features of patients infected with 2019 novel coronavirus in Wuhan, China. Lancet 2020, 395, 497–506. [Google Scholar] [CrossRef] [Green Version]
- Tan, L.; Wang, Q.; Zhang, D.; Ding, J.; Huang, Q.; Tang, Y.; Wang, Q.; Miao, H. Lymphopenia predicts disease severity of COVID-19: A descriptive and predictive study. Signal Transduct. Target. Ther. 2020, 5, 33. [Google Scholar] [CrossRef]
- Henry, B.M.; Cheruiyot, I.; Vikse, J.; Mutua, V.; Kipkorir, V.; Benoit, J.; Plebani, M.; Bragazzi, N.; Lippi, G. Lymphopenia and neutrophilia at admission predicts severity and mortality in patients with COVID-19: A meta-analysis. Acta Biomed. 2020, 91, e2020008. Available online: https://pubmed.ncbi.nlm.nih.gov/32921706/ (accessed on 12 August 2021). [PubMed]
- Knaus, W.A.; Zimmerman, J.E.; Wagner, D.P.; Draper, E.A.; Lawrence, D.E. APACHE-acute physiology and chronic health evaluation: A physiologically based classification system. Crit. Care Med. 1981, 9, 591–597. [Google Scholar] [CrossRef] [PubMed]
- Chen, R.; Sang, L.; Jiang, M.; Yang, Z.; Jia, N.; Fu, W.; Xie, J.; Guan, W.; Liang, W.; Ni, Z.; et al. Longitudinal hematologic and immunologic variations associated with the progression of COVID-19 patients in China. J. Allergy Clin. Immunol. 2020, 146, 89–100. Available online: https://pubmed.ncbi.nlm.nih.gov/32407836/ (accessed on 17 August 2021). [CrossRef] [PubMed]
- Liang, J.; Nong, S.; Jiang, L.; Chi, X.; Bi, D.; Cao, J.; Mo, L.; Luo, X.; Huang, H. Correlations of disease severity and age with hematology parameter variations in patients with COVID-19 pre- and post-treatment. J. Clin. Lab. Anal. 2021, 35, e23609. [Google Scholar]
- Taghiloo, S.; Aliyali, M.; Abedi, S.; Mehravaran, H.; Sharifpour, A.; Zaboli, E.; Eslami-Jouybari, M.; Ghasemian, R.; Vahedi-Larijani, L.; Hossein-Nattaj, H.; et al. Apoptosis and immunophenotyping of peripheral blood lymphocytes in Iranian COVID-19 patients: Clinical and laboratory characteristics. J. Med. Virol. 2021, 93, 1589–1598. [Google Scholar] [CrossRef]
- Hamming, I.; Timens, W.; Bulthuis, M.L.C.; Lely, A.T.; Navis, G.J.; van Goor, H. Tissue distribution of ACE2 protein, the functional receptor for SARS coronavirus. A first step in understanding SARS pathogenesis. J. Pathol. 2004, 203, 631–637. [Google Scholar] [CrossRef]
- Harmer, D.; Gilbert, M.; Borman, R.; Clark, K.L. Quantitative mRNA expression profiling of ACE2, a novel homologue of angiotensin converting enzyme. FEBS Lett. 2002, 532, 107–110. [Google Scholar] [CrossRef] [Green Version]
- Ropa, J.; Cooper, S.; Capitano, M.L.; Van’t Hof, W.; Broxmeyer, H.E. Human Hematopoietic Stem, Progenitor, and Immune Cells Respond Ex Vivo to SARS-CoV-2 Spike Protein. Stem Cell Rev. Rep. 2021, 17, 253–265. [Google Scholar] [CrossRef]
- Haas, R.; Smith, J.; Rocher-Ros, V.; Nadkarni, S.; Montero-Melendez, T.; D’Acquisto, F.; Bland, E.J.; Bombardieri, M.; Pitzalis, C.; Perretti, M.; et al. Lactate Regulates Metabolic and Pro-inflammatory Circuits in Control of T Cell Migration and Effector Functions. PLoS Biol. 2015, 13, e1002202. [Google Scholar] [CrossRef]
- Mao, Y.; Xu, B.; Guan, W.; Xu, D.; Li, F.; Ren, R.; Zhu, X.; Gao, Y.; Jiang, L. The Adrenal Cortex, an Underestimated Site of SARS-CoV-2 Infection. Front. Endocrinol. 2021, 11, 593179. Available online: https://www.ncbi.nlm.nih.gov/pmc/articles/PMC7820749/ (accessed on 7 March 2021). [CrossRef]
- Xiang, Z.; Liu, J.; Shi, D.; Chen, W.; Li, J.; Yan, R.; Bi, Y.; Hu, W.; Zhu, Z.; Yu, Y.; et al. Glucocorticoids improve severe or critical COVID-19 by activating ACE2 and reducing IL-6 levels. Int. J. Biol. Sci. 2020, 16, 2382–2391. [Google Scholar] [CrossRef] [PubMed]
- Guan, W.; Ni, Z.; Hu, Y.; Liang, W.; Ou, C.; He, J.; Liu, L.; Shan, H.; Lei, C.; Hui, D.S.C.; et al. Clinical characteristics of 2019 novel coronavirus infection in China. medRxiv. 2020. [Google Scholar] [CrossRef] [Green Version]
- Truog, R.D.; Mitchell, C.; Daley, G.Q. The Toughest Triage—Allocating Ventilators in a Pandemic. N. Engl. J. Med. 2020, 382, 1973–1975. [Google Scholar] [CrossRef] [PubMed]
- Emanuel, E.J.; Persad, G.; Upshur, R.; Thome, B.; Parker, M.; Glickman, A.; Zhang, C.; Boyle, C.; Smith, M.; Phillips, J.P. Fair Allocation of Scarce Medical Resources in the Time of COVID-19. N. Engl. J. Med. 2020, 382, 2049–2055. [Google Scholar] [CrossRef] [PubMed]
- Sprung, C.L.; Woodcock, T.; Sjokvist, P.; Ricou, B.; Bulow, H.-H.; Lippert, A.; Maia, P.; Cohen, S.; Baras, M.; Hovilehto, S.; et al. Reasons, considerations, difficulties and documentation of end-of-life decisions in European intensive care units: The ETHICUS Study. Intensive Care Med. 2008, 34, 271–277. [Google Scholar] [CrossRef]
- Solomon, M.Z.; Wynia, M.K.; Gostin, L.O. COVID-19 Crisis Triage—Optimizing Health Outcomes and Disability Rights. N. Engl. J. Med. 2020, 383, e27. [Google Scholar] [CrossRef]
- Levenfus, I.; Ullmann, E.; Battegay, E.; Schuurmans, M.M. Triage tool for suspected COVID-19 patients in the emergency room: AIFELL score. Braz. J. Infect. Dis. 2020, 24, 458–461. [Google Scholar] [CrossRef]
- COVID-19: Prise en Charge Aux Soins Intensifs [Internet]. Revue Medicale Suisse. Available online: https://www.revmed.ch/revue-medicale-suisse/2020/revue-medicale-suisse-691-2/covid-19-prise-en-charge-aux-soins-intensifs (accessed on 12 January 2022).


| All Patients n = 1035 | Moderate n = 789 | Severe n = 246 | p | |
|---|---|---|---|---|
| General characteristics | ||||
| Age (years) | 69 (58–79) | 70 (58–81) | 66 (57–72) | <0.001 * |
| Gender male | 609 (58.8) | 433 (54.9) | 179 (71.5) | <0.001 * |
| Overweight (BMI > 25) | 527 (69.2) | 370 (67.0) | 157 (74.8) | 0.039 * |
| Chronic medical illness | ||||
| hypertension | 587 (56.7) | 453 (57.4) | 134 (54.5) | 0.416 |
| Diabetes mellitus | 275 (26.7) | 202 (25.6) | 73 (26.6) | 0.207 |
| CKD | 237 (23.2) | 199 (25.5) | 38 (15.8) | 0.002 * |
| Cardiovascular illness | 357 (34.5) | 291 (36.9) | 66 (26.8) | 0.004 * |
| Total autonomy | 796 (77.2) | 569 (72.4) | 227 (92.7) | <0.001 * |
| Laboratory Findings | ||||
| CRP > 100 mg/L | 418 (40.7) | 275 (35.0) | 143 (58.9) | <0.001 * |
| Lymphocytes (/mm3) | 870 (630–1200) | 900 (640–1220) | 780 (590–1123) | 0.003 * |
| Lymphocytes H24 (/mm3) | 940 (670–1300) | 1010 (710–1360) | 800 (570–1110) | <0.001 * |
| Lymphocytes < 800/mm3 | 433 (42.5) | 305 (39.4) | 128 (52.5) | <0.001 * |
| ∆ lymphocytes H24 | 60 (−123–290) | 100 (−100–323) | −20 (−153–140) | <0.001 * |
| Outcome | ||||
| Hospital stay (days) | 10.0 (7.0–17.3) | 8.0 (6.0–12.0) | 24.0 (17.0–38.0) | <0.001 * |
| Intra-hospital mortality | 139 (13.6) | 82 (10.4) | 57 (24.1) | <0.001 * |
| Multivariate Analysis ** | |||||
|---|---|---|---|---|---|
| All | Moderate | Severe | OR (95% CI) | p-Value | |
| CRP > 100 mg/L | 418 (40.7) | 275 (35.0) | 143 (58.9) | 2.51 (1.40–3.71) | <0.001 * |
| Lymphopenia < 800/mm3 | 433 (42.5) | 305 (39.4) | 128 (52.5) | 2.15 (1.42–3.27) | <0.001 * |
| ∆ lymphocytes H24 < 0 | 322 (39.7) | 211 (35.2) | 111 (52.4) | 3.16 (2.11–4.75) | <0.001 * |
| Multivariate Analysis ** | |||||
|---|---|---|---|---|---|
| All | Survivors | Non-Survivors | OR (95% CI) | p-Value | |
| Age > 75 years | 328 (32.1) | 247 (27.9) | 81 (58.3) | 2.74 (1.57–4.80) | <0.001 * |
| CRP > 100 mg/L | 412 (40.5) | 345 (39.2) | 67 (48.9) | 1.48 (0.87–2.52) | 0.151 |
| Lymphopenia (<800/mm3) | 428 (42.5) | 349 (40.0) | 79 (58.5) | 1.88 (1.09–3.25) | 0.023 * |
| ∆ lymph H24 < 135 | 487 (60.7) | 406 (58.3) | 81 (76.4) | 2.23 (1.23–4.05) | 0.009 * |
Publisher’s Note: MDPI stays neutral with regard to jurisdictional claims in published maps and institutional affiliations. |
© 2022 by the authors. Licensee MDPI, Basel, Switzerland. This article is an open access article distributed under the terms and conditions of the Creative Commons Attribution (CC BY) license (https://creativecommons.org/licenses/by/4.0/).
Share and Cite
Simon, M.; Le Borgne, P.; Lefevbre, F.; Chabrier, S.; Cipolat, L.; Remillon, A.; Baicry, F.; Bilbault, P.; Lavoignet, C.-E.; Abensur Vuillaume, L. Lymphopenia and Early Variation of Lymphocytes to Predict In-Hospital Mortality and Severity in ED Patients with SARS-CoV-2 Infection. J. Clin. Med. 2022, 11, 1803. https://doi.org/10.3390/jcm11071803
Simon M, Le Borgne P, Lefevbre F, Chabrier S, Cipolat L, Remillon A, Baicry F, Bilbault P, Lavoignet C-E, Abensur Vuillaume L. Lymphopenia and Early Variation of Lymphocytes to Predict In-Hospital Mortality and Severity in ED Patients with SARS-CoV-2 Infection. Journal of Clinical Medicine. 2022; 11(7):1803. https://doi.org/10.3390/jcm11071803
Chicago/Turabian StyleSimon, Maxence, Pierrick Le Borgne, François Lefevbre, Sylvie Chabrier, Lauriane Cipolat, Aline Remillon, Florent Baicry, Pascal Bilbault, Charles-Eric Lavoignet, and Laure Abensur Vuillaume. 2022. "Lymphopenia and Early Variation of Lymphocytes to Predict In-Hospital Mortality and Severity in ED Patients with SARS-CoV-2 Infection" Journal of Clinical Medicine 11, no. 7: 1803. https://doi.org/10.3390/jcm11071803
APA StyleSimon, M., Le Borgne, P., Lefevbre, F., Chabrier, S., Cipolat, L., Remillon, A., Baicry, F., Bilbault, P., Lavoignet, C.-E., & Abensur Vuillaume, L. (2022). Lymphopenia and Early Variation of Lymphocytes to Predict In-Hospital Mortality and Severity in ED Patients with SARS-CoV-2 Infection. Journal of Clinical Medicine, 11(7), 1803. https://doi.org/10.3390/jcm11071803

