C-Reactive Protein (CRP) Blocks the Desensitization of Agonistic Stimulated G Protein Coupled Receptors (GPCRs) in Neonatal Rat Cardiomyocytes
Abstract
1. Introduction
2. Materials and Methods
2.1. Pharmacological Agonists and CRP
2.2. Cardiomyocyte Bioassay
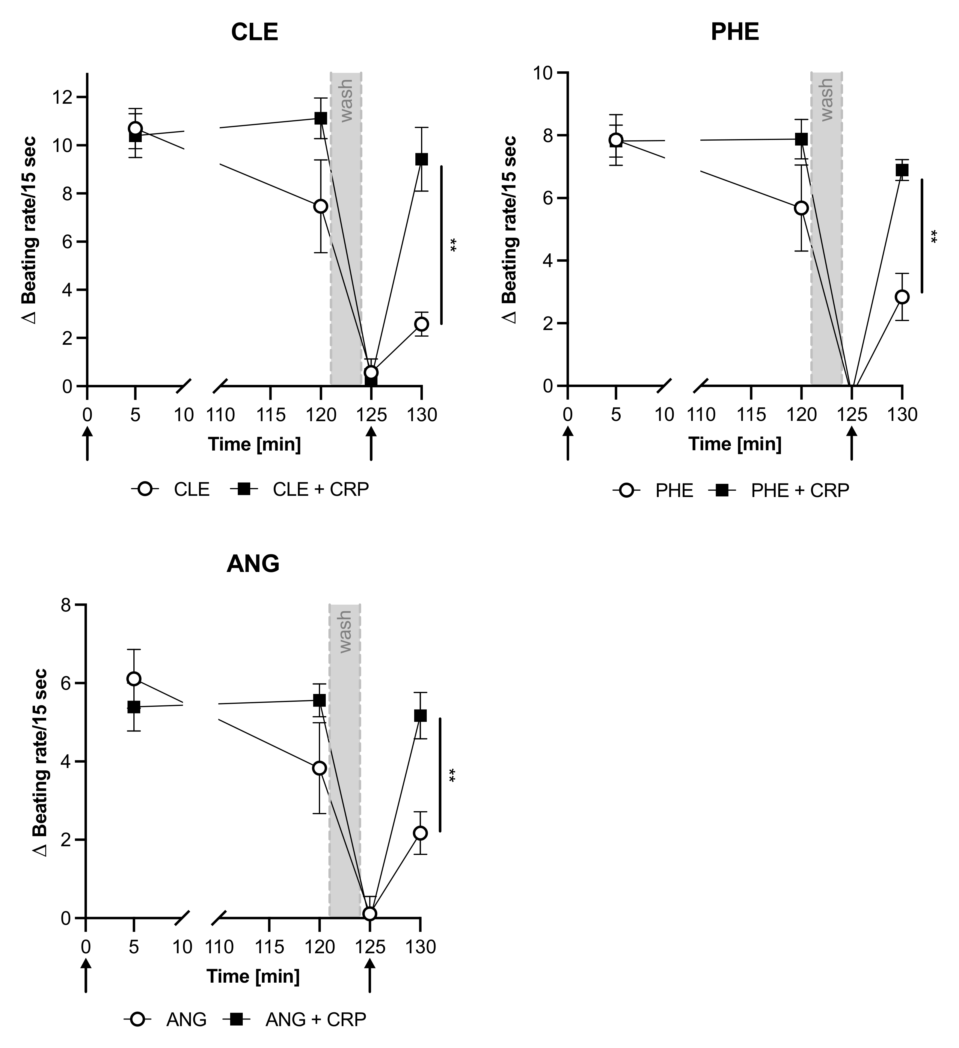
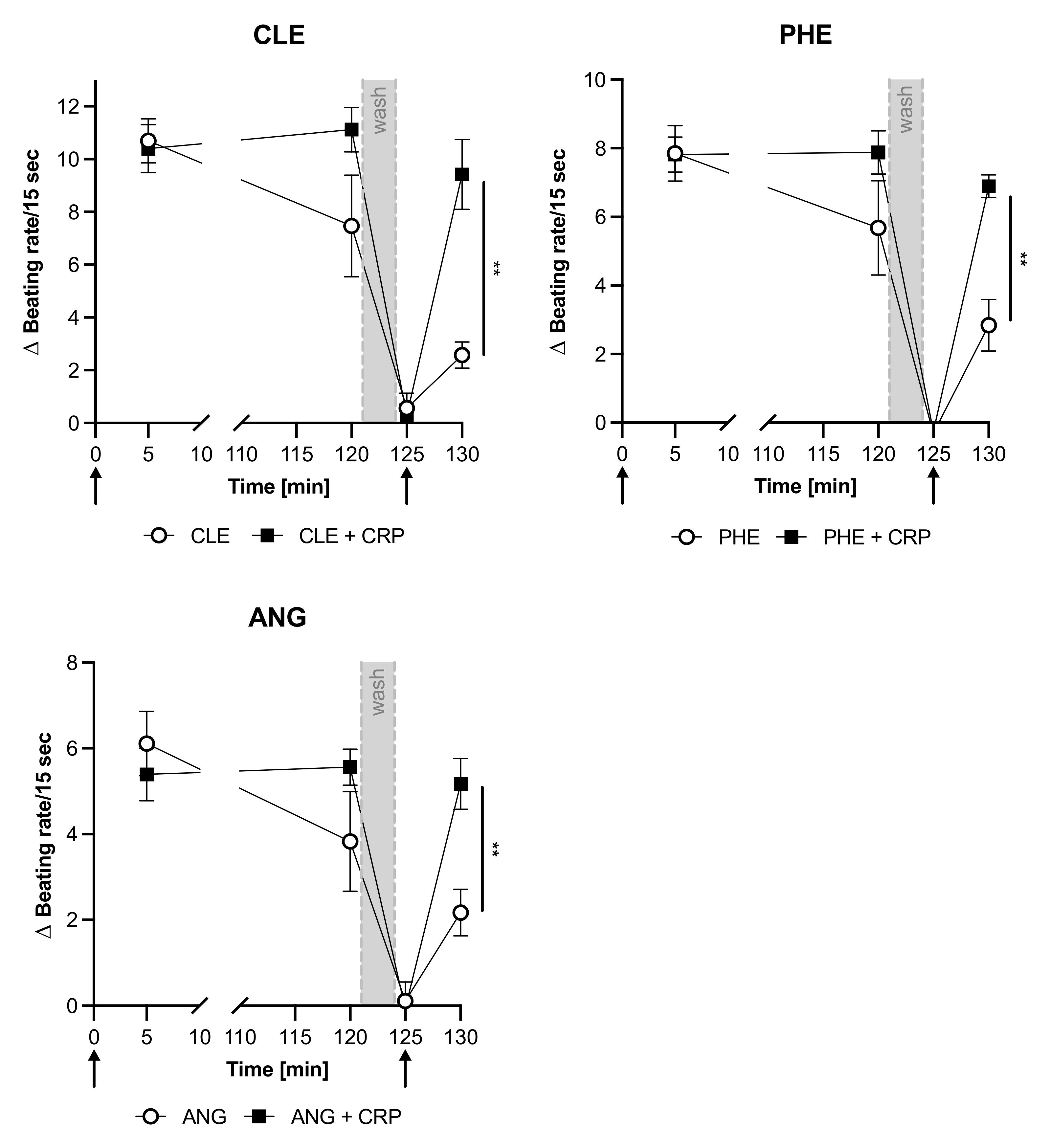
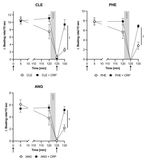
3. Results
4. Discussion
Study Limitations
Author Contributions
Funding
Institutional Review Board Statement
Informed Consent Statement
Data Availability Statement
Conflicts of Interest
References
- Sproston, N.R.; Ashworth, J.J. Role of C-Reactive Protein at Sites of Inflammation and Infection. Front. Immunol. 2018, 9, 754. [Google Scholar] [CrossRef]
- Ridker, P.M.; Everett, B.M.; Thuren, T.; MacFadyen, J.G.; Chang, W.H.; Ballantyne, C.; Fonseca, F.; Nicolau, J.; Koenig, W.; Anker, S.D.; et al. Antiinflammatory Therapy with Canakinumab for Atherosclerotic Disease. N. Eng. J. Med. 2017, 377, 1119–1131. [Google Scholar] [CrossRef]
- Ridker, P.M.; MacFadyen, J.G.; Everett, B.M.; Libby, P.; Thuren, T.; Glynn, R.J.; Group, C.T. Relationship of C-reactive protein reduction to cardiovascular event reduction following treatment with canakinumab: A secondary analysis from the CANTOS randomised controlled trial. Lancet 2018, 391, 319–328. [Google Scholar] [CrossRef]
- Torzewski, J. C-reactive protein and atherogenesis: New insights from established animal models. Am. J. Pathol. 2005, 167, 923–925. [Google Scholar] [CrossRef]
- Sheriff, A.; Kayser, S.; Brunner, P.; Vogt, B. C-Reactive Protein Triggers Cell Death in Ischemic Cells. Front. Immunol. 2021, 12, 273. [Google Scholar] [CrossRef]
- Ries, W.; Torzewski, J.; Heigl, F.; Pfluecke, C.; Kelle, S.; Darius, H.; Ince, H.; Mitzner, S.; Nordbeck, P.; Butter, C.; et al. C-Reactive Protein Apheresis as Anti-inflammatory Therapy in Acute Myocardial Infarction: Results of the CAMI-1 Study. Front. Cardiovasc. Med. 2021, 8, 155. [Google Scholar] [CrossRef]
- Venugopal, S.K.; Devaraj, S.; Yuhanna, I.; Shaul, P.; Jialal, I. Demonstration that C-reactive protein decreases eNOS expression and bioactivity in human aortic endothelial cells. Circulation 2002, 106, 1439–1441. [Google Scholar] [CrossRef]
- Anzai, T.; Yoshikawa, T.; Takahashi, T.; Maekawa, Y.; Okabe, T.; Asakura, Y.; Satoh, T.; Mitamura, H.; Ogawa, S. Early use of beta-blockers is associated with attenuation of serum C-reactive protein elevation and favorable short-term prognosis after acute myocardial infarction. Cardiology 2003, 99, 47–53. [Google Scholar] [CrossRef]
- Jenkins, N.P.; Keevil, B.G.; Hutchinson, I.V.; Brooks, N.H. Beta-blockers are associated with lower C-reactive protein concentrations in patients with coronary artery disease. Am. J. Med. 2002, 112, 269–274. [Google Scholar] [CrossRef]
- Bock, C.; Vogt, B.; Mattecka, S.; Yapici, G.; Brunner, P.; Fimpel, S.; Unger, J.K.; Sheriff, A. C-Reactive Protein Causes Blood Pressure Drop in Rabbits and Induces Intracellular Calcium Signaling. Front. Immunol. 2020, 11, 1978. [Google Scholar] [CrossRef]
- Bharadwaj, D.; Stein, M.P.; Volzer, M.; Mold, C.; Du Clos, T.W. The major receptor for C-reactive protein on leukocytes is fcgamma receptor II. J. Exp. Med. 1999, 190, 585–590. [Google Scholar] [CrossRef]
- Manolov, D.E.; Rocker, C.; Hombach, V.; Nienhaus, G.U.; Torzewski, J. Ultrasensitive confocal fluorescence microscopy of C-reactive protein interacting with FcgammaRIIa. Arteriosc. Thromb. Vasc. Biol. 2004, 24, 2372–2377. [Google Scholar] [CrossRef] [PubMed]
- Kaplan, M.H.; Volanakis, J.E. Interaction of C-reactive protein complexes with the complement system. I. Consumption of human complement associated with the reaction of C-reactive protein with pneumococcal C-polysaccharide and with the choline phosphatides, lecithin and sphingomyelin. J. Immunol. 1974, 112, 2135–2147. [Google Scholar]
- Wang, J.; Gareri, C.; Rockman, H.A. G-Protein Coupled Receptors in Heart Disease. Circ. Res. 2018, 123, 716–735. [Google Scholar] [CrossRef] [PubMed]
- Varpula, M.; Tallgren, M.; Saukkonen, K.; Voipio-Pulkki, L.M.; Pettila, V. Hemodynamic variables related to outcome in septic shock. Intensive Care Med. 2005, 31, 1066–1071. [Google Scholar] [CrossRef] [PubMed]
- Castelli, G.P.; Pognani, C.; Cita, M.; Stuani, A.; Sgarbi, L.; Paladini, R. Procalcitonin, C-reactive protein, white blood cells and SOFA score in ICU: Diagnosis and monitoring of sepsis. Minerva Anestesiol. 2006, 72, 69–80. [Google Scholar] [PubMed]
- Weis, W.I.; Kobilka, B.K. The Molecular Basis of G Protein–Coupled Receptor Activation. Ann. Rev. Biochem. 2018, 87, 897–919. [Google Scholar] [CrossRef]
- Bylund, D.B.; Eikenberg, D.C.; Hieble, J.P.; Langer, S.Z.; Lefkowitz, R.J.; Minneman, K.P.; Molinoff, P.B.; Ruffolo, R.R., Jr.; Trendelenburg, U. International Union of Pharmacology nomenclature of adrenoceptors. Pharmacol. Rev. 1994, 46, 121–136. [Google Scholar]
- Brodde, O.-E. Beta-adrenoceptors in cardiac disease. Pharmacol. Ther. 1993, 60, 405–430. [Google Scholar] [CrossRef]
- Lymperopoulos, A.; Rengo, G.; Koch, W.J. Adrenergic Nervous System in Heart Failure. Circ. Res. 2013, 113, 739–753. [Google Scholar] [CrossRef]
- Podlowski, S.; Luther, H.P.; Morwinski, R.; Muller, J.; Wallukat, G. Agonistic anti-beta1-adrenergic receptor autoantibodies from cardiomyopathy patients reduce the beta1-adrenergic receptor expression in neonatal rat cardiomyocytes. Circulation 1998, 98, 2470–2476. [Google Scholar] [CrossRef]
- Brodde, O.E. Beta 1- and beta 2-adrenoceptors in the human heart: Properties, function, and alterations in chronic heart failure. Pharmacol. Rev. 1991, 43, 203–242. [Google Scholar]
- Brodde, O.E.; Michel, M.C. Adrenergic and muscarinic receptors in the human heart. Pharmacol. Rev. 1999, 51, 651–690. [Google Scholar]
- Wallukat, G. The beta-adrenergic receptors. Herz 2002, 27, 683–690. [Google Scholar] [CrossRef]
- Lukitsch, I.; Kehr, J.; Chaykovska, L.; Wallukat, G.; Nieminen-Kelha, M.; Batuman, V.; Dragun, D.; Gollasch, M. Renal ischemia and transplantation predispose to vascular constriction mediated by angiotensin II type 1 receptor-activating antibodies. Transplantation 2012, 94, 8–13. [Google Scholar] [CrossRef]
- Wallukat, G.; Schimke, I. Agonistic autoantibodies directed against G-protein-coupled receptors and their relationship to cardiovascular diseases. Semin. Immunopathol. 2014, 36, 351–363. [Google Scholar] [CrossRef]
- Hohberger, B.; Kunze, R.; Wallukat, G.; Kara, K.; Mardin, C.Y.; Lammer, R.; Schlotzer-Schrehardt, U.; Hosari, S.; Horn, F.; Munoz, L.; et al. Autoantibodies Activating the beta2-Adrenergic Receptor Characterize Patients With Primary and Secondary Glaucoma. Front. Immunol. 2019, 10, 2112. [Google Scholar] [CrossRef]
- Wenzel, K.; Wallukat, G.; Qadri, F.; Hubner, N.; Schulz, H.; Hummel, O.; Herse, F.; Heuser, A.; Fischer, R.; Heidecke, H.; et al. Alpha1A-adrenergic receptor-directed autoimmunity induces left ventricular damage and diastolic dysfunction in rats. PLoS ONE 2010, 5, e9409. [Google Scholar] [CrossRef]
- Lefkowitz, R.J.; Pitcher, J.; Krueger, K.; Daaka, Y. Mechanisms of β-Adrenergic Receptor Desensitization and Resensitization. In Advances in Pharmacology; Goldstein, D.S., Eisenhofer, G., McCarty, R., Eds.; Academic Press: Cambridge, MA, USA, 1997; Volume 42, pp. 416–420. [Google Scholar]
- Luther, H.P.; Homuth, V.; Wallukat, G. Alpha 1-adrenergic receptor antibodies in patients with primary hypertension. Hypertension 1997, 29, 678–682. [Google Scholar] [CrossRef]
- Wallukat, G.; Homuth, V.; Fischer, T.; Lindschau, C.; Horstkamp, B.; Jupner, A.; Baur, E.; Nissen, E.; Vetter, K.; Neichel, D.; et al. Patients with preeclampsia develop agonistic autoantibodies against the angiotensin AT1 receptor. J. Clin. Investig. 1999, 103, 945–952. [Google Scholar] [CrossRef]
- Haase, N.; Herse, F.; Spallek, B.; Haase, H.; Morano, I.; Qadri, F.; Szijarto, I.A.; Rohm, I.; Yilmaz, A.; Warrington, J.P.; et al. Amyloid-beta peptides activate alpha1-adrenergic cardiovascular receptors. Hypertension 2013, 62, 966–972. [Google Scholar] [CrossRef]
- Schroedl, W.; Jaekel, L.; Krueger, M. C-reactive protein and antibacterial activity in blood plasma of colostrum-fed calves and the effect of lactulose. J. Dairy Sci. 2003, 86, 3313–3320. [Google Scholar] [CrossRef]
- Gurevich, V.V.; Gurevich, E.V. GPCR Signaling Regulation: The Role of GRKs and Arrestins. Front. Pharmacol. 2019, 10, 125. [Google Scholar] [CrossRef] [PubMed]
- Richter, K.; Sagawe, S.; Hecker, A.; Kullmar, M.; Askevold, I.; Damm, J.; Heldmann, S.; Pohlmann, M.; Ruhrmann, S.; Sander, M.; et al. C-Reactive Protein Stimulates Nicotinic Acetylcholine Receptors to Control ATP-Mediated Monocytic Inflammasome Activation. Front. Immunol. 2018, 9, 1604. [Google Scholar] [CrossRef] [PubMed]
- Meng, S.; Zhang, L.; Zhao, L.; Fang, Y.R.; Fujimoto, T.; Hirano, S.; Inoue, H.; Uchihashi, K.; Nishikawa, Y.; Wu, Y.F. Effects of C-reactive protein on CC chemokine receptor 2-mediated chemotaxis of monocytes. DNA Cell Biol. 2012, 31, 30–35. [Google Scholar] [CrossRef] [PubMed]
- Wang, C.H.; Li, S.H.; Weisel, R.D.; Fedak, P.W.; Dumont, A.S.; Szmitko, P.; Li, R.K.; Mickle, D.A.; Verma, S. C-reactive protein upregulates angiotensin type 1 receptors in vascular smooth muscle. Circulation 2003, 107, 1783–1790. [Google Scholar] [CrossRef]
- Bisoendial, R.J.; Kastelein, J.J.; Levels, J.H.; Zwaginga, J.J.; van den Bogaard, B.; Reitsma, P.H.; Meijers, J.C.; Hartman, D.; Levi, M.; Stroes, E.S. Activation of inflammation and coagulation after infusion of C-reactive protein in humans. Circ. Res. 2005, 96, 714–716. [Google Scholar] [CrossRef]
- Bisoendial, R.; Birjmohun, R.; Keller, T.; van Leuven, S.; Levels, H.; Levi, M.; Kastelein, J.; Stroes, E. In vivo effects of C-reactive protein (CRP)-infusion into humans. Circ. Res. 2005, 97, e115–e116. [Google Scholar] [CrossRef][Green Version]
- Birjmohun, R.S.; Bisoendial, R.J.; van Leuven, S.I.; Ackermans, M.; Zwinderman, A.; Kastelein, J.J.; Stroes, E.S.; Sauerwein, H.P. A single bolus infusion of C-reactive protein increases gluconeogenesis and plasma glucose concentration in humans. Metabolism 2007, 56, 1576–1582. [Google Scholar] [CrossRef]



| Agonist | n | CRP (50 μg/mL) | Difference in Beating Rate/15 s at Incubation Time (min) | p-Value | |||
|---|---|---|---|---|---|---|---|
| 5 | 120 | 125 | 130 | 130 min, ±CRP | |||
| Isoprenaline (1 μM) | 5 | − | 11.76 ± 1.46 | 9.31 ± 2.07 | 0.71 ± 0.56 | 3.47 ± 0.63 | <0.001 |
| 5 | + | 11.26 ± 1.10 | 11.99 ± 1.66 | 0.19 ± 0.61 | 9.91 ± 1.46 | ||
| Clenbuterol (3 μM) | 4 | − | 10.69 ± 0.84 | 7.47 ± 1.93 | 0.56 ± 0.57 | 2.58 ± 0.50 | 0.001 |
| 4 | + | 10.40 ± 0.91 | 11.12 ± 0.85 | 0.28 ± 0.44 | 9.42 ± 1.33 | ||
| Phenylephrine (10 μM) | 3 | − | 7.85 ± 0.81 | 5.68 ± 1.38 | −0.32 ± 0.43 | 2.84 ± 0.75 | 0.006 |
| 3 | + | 7.82 ± 0.51 | 7.88 ± 0.63 | −0.27 ± 0.17 | 6.89 ± 0.34 | ||
| Angiotensin II (1 μM) | 3 | − | 6.11 ± 0.75 | 3.83 ± 1.16 | 0.11 ± 0.44 | 2.17 ± 0.54 | 0.006 |
| 3 | + | 5.39 ± 0.61 | 5.56 ± 0.42 | −0.06 ± 0.08 | 5.17 ± 0.59 | ||
| Endothelin 1 (0,1 μM) | 4 | − | −7.20 ± 0.55 | −4.08 ± 1.91 | −0.52 ± 0.53 | −2.01 ± 0.53 | 0.002 |
| 3 | + | −7.42 ± 0.96 | −7.02 ± 0.60 | −0.83 ± 0.24 | −7.69 ± 0.76 | ||
Publisher’s Note: MDPI stays neutral with regard to jurisdictional claims in published maps and institutional affiliations. |
© 2022 by the authors. Licensee MDPI, Basel, Switzerland. This article is an open access article distributed under the terms and conditions of the Creative Commons Attribution (CC BY) license (https://creativecommons.org/licenses/by/4.0/).
Share and Cite
Wallukat, G.; Mattecka, S.; Wenzel, K.; Schrödl, W.; Vogt, B.; Brunner, P.; Sheriff, A.; Kunze, R. C-Reactive Protein (CRP) Blocks the Desensitization of Agonistic Stimulated G Protein Coupled Receptors (GPCRs) in Neonatal Rat Cardiomyocytes. J. Clin. Med. 2022, 11, 1058. https://doi.org/10.3390/jcm11041058
Wallukat G, Mattecka S, Wenzel K, Schrödl W, Vogt B, Brunner P, Sheriff A, Kunze R. C-Reactive Protein (CRP) Blocks the Desensitization of Agonistic Stimulated G Protein Coupled Receptors (GPCRs) in Neonatal Rat Cardiomyocytes. Journal of Clinical Medicine. 2022; 11(4):1058. https://doi.org/10.3390/jcm11041058
Chicago/Turabian StyleWallukat, Gerd, Stephan Mattecka, Katrin Wenzel, Wieland Schrödl, Birgit Vogt, Patrizia Brunner, Ahmed Sheriff, and Rudolf Kunze. 2022. "C-Reactive Protein (CRP) Blocks the Desensitization of Agonistic Stimulated G Protein Coupled Receptors (GPCRs) in Neonatal Rat Cardiomyocytes" Journal of Clinical Medicine 11, no. 4: 1058. https://doi.org/10.3390/jcm11041058
APA StyleWallukat, G., Mattecka, S., Wenzel, K., Schrödl, W., Vogt, B., Brunner, P., Sheriff, A., & Kunze, R. (2022). C-Reactive Protein (CRP) Blocks the Desensitization of Agonistic Stimulated G Protein Coupled Receptors (GPCRs) in Neonatal Rat Cardiomyocytes. Journal of Clinical Medicine, 11(4), 1058. https://doi.org/10.3390/jcm11041058

