The Role of Nondiabetic Hyperglycemia in Critically Ill Patients with Acute Ischemic Stroke
Abstract
:1. Introduction
2. Materials and Methods
2.1. Data Source
2.2. Study Populations and Variable Extraction
2.3. Outcome Measures
2.4. Statistical Analysis
3. Results
3.1. Pre-PSM Characteristics and Outcome Measurement
3.2. Post-PSM Characteristics and Outcome Measurement
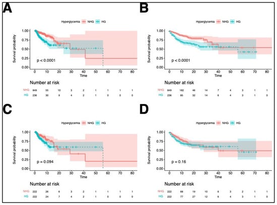
3.3. Kaplan–Meier Survival Curves and Univariate Cox Regression Analysis of Primary Outcomes
4. Discussion
5. Conclusions
Author Contributions
Funding
Institutional Review Board Statement
Informed Consent Statement
Data Availability Statement
Conflicts of Interest
References
- Roth, G.A.; Abate, D.; Abate, K.H.; Abay, S.M.; Abbafati, C.; Abbasi, N.; Abbastabar, H.; Abd-Allah, F.; Abdela, J.; Abdelalim, A.; et al. Global, regional, and national age-sex-specific mortality for 282 causes of death in 195 countries and territories, 1980–2017: A systematic analysis for the Global Burden of Disease Study 2017. Lancet 2018, 392, 1736–1788. [Google Scholar] [CrossRef]
- Feigin, V.L.; Brainin, M.; Norrving, B.; Martins, S.; Sacco, R.L.; Hacke, W.; Fisher, M.; Pandian, J.; Lindsay, P. World Stroke Organization (WSO): Global Stroke Fact Sheet 2022. Int. J. Stroke 2022, 17, 18–29. [Google Scholar] [CrossRef] [PubMed]
- Kleindorfer, D.O.; Towfighi, A.; Chaturvedi, S.; Cockroft, K.M.; Gutierrez, J.; Lombardi-Hill, D.; Kamel, H.; Kernan, W.N.; Kittner, S.J.; Leira, E.C.; et al. 2021 Guideline for the Prevention of Stroke in Patients with Stroke and Transient Ischemic Attack: A Guideline from the American Heart Association/American Stroke Association. Stroke 2021, 52, e364–e467. [Google Scholar] [CrossRef]
- Guzik, A.; Bushnell, C. Stroke Epidemiology and Risk Factor Management. Continuum 2017, 23, 15–39. [Google Scholar] [CrossRef] [PubMed]
- Louis, E.D.; Mayer, S.A.; Rowland, L.P. Merritt’s Neurology, 3rd ed.; Wolters Kluwer: Philadelphia, PA, USA, 2016. [Google Scholar]
- Wu, C.S.; Chen, P.H.; Chang, S.H.; Lee, C.H.; Yang, L.Y.; Chen, Y.C.; Jhou, H.J. Atrial Fibrillation Is Not an Independent Determinant of Mortality among Critically Ill Acute Ischemic Stroke Patients: A Propensity Score-Matched Analysis from the MIMIC-IV Database. Front. Neurol. 2021, 12, 730244. [Google Scholar] [CrossRef]
- Mechanick, J.I. Metabolic mechanisms of stress hyperglycemia. JPEN J. Parenter. Enteral. Nutr. 2006, 30, 157–163. [Google Scholar] [CrossRef]
- Parsons, M.W.; Barber, P.A.; Desmond, P.M.; Baird, T.A.; Darby, D.G.; Byrnes, G.; Tress, B.M.; Davis, S.M. Acute hyperglycemia adversely affects stroke outcome: A magnetic resonance imaging and spectroscopy study. Ann. Neurol. 2002, 52, 20–28. [Google Scholar] [CrossRef]
- Els, T.; Klisch, J.; Orszagh, M.; Hetzel, A.; Schulte-Monting, J.; Schumacher, M.; Lucking, C.H. Hyperglycemia in patients with focal cerebral ischemia after intravenous thrombolysis: Influence on clinical outcome and infarct size. Cerebrovasc. Dis. 2002, 13, 89–94. [Google Scholar] [CrossRef]
- Prado, R.; Ginsberg, M.D.; Dietrich, W.D.; Watson, B.D.; Busto, R. Hyperglycemia increases infarct size in collaterally perfused but not end-arterial vascular territories. J. Cereb. Blood Flow Metab. 1988, 8, 186–192. [Google Scholar] [CrossRef]
- DiNardo, M.M.; Korytkowski, M.T.; Siminerio, L.S. The importance of normoglycemia in critically ill patients. Crit. Care Nurs. Q. 2004, 27, 126–134. [Google Scholar] [CrossRef]
- Corstjens, A.M.; van der Horst, I.C.; Zijlstra, J.G.; Groeneveld, A.B.; Zijlstra, F.; Tulleken, J.E.; Ligtenberg, J.J. Hyperglycaemia in critically ill patients: Marker or mediator of mortality? Crit. Care 2006, 10, 216. [Google Scholar] [CrossRef]
- Powers, W.J.; Rabinstein, A.A.; Ackerson, T.; Adeoye, O.M.; Bambakidis, N.C.; Becker, K.; Biller, J.; Brown, M.; Demaerschalk, B.M.; Hoh, B.; et al. 2018 Guidelines for the Early Management of Patients With Acute Ischemic Stroke: A Guideline for Healthcare Professionals From the American Heart Association/American Stroke Association. Stroke 2018, 49, e46–e110. [Google Scholar] [CrossRef]
- Johnson, A.; Bulgarelli, L.; Pollard, T.; Horng, S.; Celi, L.A.; Mark, R. MIMIC-IV (Version 1.0). PhysioNet 2021, 101, e215–e220. [Google Scholar] [CrossRef]
- Johnson, A.E.; Stone, D.J.; Celi, L.A.; Pollard, T.J. The MIMIC Code Repository: Enabling reproducibility in critical care research. J. Am. Med. Inform Assoc. 2018, 25, 32–39. [Google Scholar] [CrossRef] [PubMed]
- Charlson, M.; Szatrowski, T.P.; Peterson, J.; Gold, J. Validation of a combined comorbidity index. J. Clin. Epidemiol. 1994, 47, 1245–1251. [Google Scholar] [CrossRef]
- Quan, H.; Li, B.; Couris, C.M.; Fushimi, K.; Graham, P.; Hider, P.; Januel, J.M.; Sundararajan, V. Updating and validating the Charlson comorbidity index and score for risk adjustment in hospital discharge abstracts using data from 6 countries. Am. J. Epidemiol. 2011, 173, 676–682. [Google Scholar] [CrossRef]
- Li, Q.X.; Zhao, X.J.; Fan, H.Y.; Li, X.N.; Wang, D.L.; Wang, X.J.; Zhang, J.; Chen, R.Y.; Zhang, L. Application Values of Six Scoring Systems in the Prognosis of Stroke Patients. Front. Neurol. 2019, 10, 1416. [Google Scholar] [CrossRef]
- von Elm, E.; Altman, D.G.; Egger, M.; Pocock, S.J.; Gotzsche, P.C.; Vandenbroucke, J.P.; Initiative, S. The Strengthening the Reporting of Observational Studies in Epidemiology (STROBE) statement: Guidelines for reporting observational studies. J. Clin. Epidemiol. 2008, 61, 344–349. [Google Scholar] [CrossRef]
- Lee, J.; Little, T.D. A practical guide to propensity score analysis for applied clinical research. Behav. Res. Ther. 2017, 98, 76–90. [Google Scholar] [CrossRef]
- Parsons, L.S.; SAS Users Group. Reducing bias in a propensity score matched-pair sample using greedy matching techniques. In Proceedings of the 26th Annual SAS Users Group International Conference, Long Beach, CA, USA, 23–25 April 2001. [Google Scholar]
- Marik, P.E.; Bellomo, R. Stress hyperglycemia: An essential survival response! Crit. Care 2013, 17, 305. [Google Scholar] [CrossRef] [Green Version]
- Olivot, J.M.; Mlynash, M.; Kleinman, J.T.; Straka, M.; Venkatasubramanian, C.; Bammer, R.; Moseley, M.E.; Albers, G.W.; Wijman, C.A. MRI profile of the perihematomal region in acute intracerebral hemorrhage. Stroke 2010, 41, 2681–2683. [Google Scholar] [CrossRef] [PubMed]
- Chiu, C.D.; Chen, C.C.; Shen, C.C.; Chin, L.T.; Ma, H.I.; Chuang, H.Y.; Cho, D.Y.; Chu, C.H.; Chang, C. Hyperglycemia exacerbates intracerebral hemorrhage via the downregulation of aquaporin-4: Temporal assessment with magnetic resonance imaging. Stroke 2013, 44, 1682–1689. [Google Scholar] [CrossRef] [PubMed]
- van Kooten, F.; Hoogerbrugge, N.; Naarding, P.; Koudstaal, P.J. Hyperglycemia in the acute phase of stroke is not caused by stress. Stroke 1993, 24, 1129–1132. [Google Scholar] [CrossRef] [PubMed]
- Kruyt, N.D.; Biessels, G.J.; Devries, J.H.; Roos, Y.B. Hyperglycemia in acute ischemic stroke: Pathophysiology and clinical management. Nat. Rev. Neurol. 2010, 6, 145–155. [Google Scholar] [CrossRef] [PubMed]
- Yoon, J.A.; Shin, Y.I.; Kim, D.Y.; Sohn, M.K.; Lee, J.; Lee, S.G.; Lee, Y.S.; Han, E.Y.; Joo, M.C.; Oh, G.J.; et al. Post-Stroke Hyperglycemia in Non-diabetic Ischemic Stroke is Related With Worse Functional Outcome: A Cohort Study. Ann. Rehabil. Med. 2021, 45, 359–367. [Google Scholar] [CrossRef]
- Lau, L.H.; Lew, J.; Borschmann, K.; Thijs, V.; Ekinci, E.I. Prevalence of diabetes and its effects on stroke outcomes: A meta-analysis and literature review. J. Diabetes Investig. 2019, 10, 780–792. [Google Scholar] [CrossRef]
- American Diabetes Association. Diabetes Care in the Hospital: Standards of Medical Care in Diabetes-2020. Diabetes Care 2020, 43, S193–S202. [Google Scholar] [CrossRef]
- Investigators, N.-S.S.; Finfer, S.; Chittock, D.R.; Su, S.Y.; Blair, D.; Foster, D.; Dhingra, V.; Bellomo, R.; Cook, D.; Dodek, P.; et al. Intensive versus conventional glucose control in critically ill patients. N. Engl. J. Med. 2009, 360, 1283–1297. [Google Scholar] [CrossRef]
- Capes, S.E.; Hunt, D.; Malmberg, K.; Pathak, P.; Gerstein, H.C. Stress hyperglycemia and prognosis of stroke in nondiabetic and diabetic patients: A systematic overview. Stroke 2001, 32, 2426–2432. [Google Scholar] [CrossRef]
- Farrokhnia, N.; Bjork, E.; Lindback, J.; Terent, A. Blood glucose in acute stroke, different therapeutic targets for diabetic and non-diabetic patients? Acta Neurol. Scand. 2005, 112, 81–87. [Google Scholar] [CrossRef]
- Fuentes, B.; Castillo, J.; San Jose, B.; Leira, R.; Serena, J.; Vivancos, J.; Davalos, A.; Nunez, A.G.; Egido, J.; Diez-Tejedor, E.; et al. The prognostic value of capillary glucose levels in acute stroke: The GLycemia in Acute Stroke (GLIAS) study. Stroke 2009, 40, 562–568. [Google Scholar] [CrossRef] [PubMed]
- Grant, P.S.; Ali, K. A Prospective, Observational Study of the Management of Hyperglycaemia in Acute Stroke. What is the Optimum Level of Blood Glucose at which to Intervene? Br. J. Diabetes Vasc. Dis. 2010, 10, 287–291. [Google Scholar] [CrossRef]
- Johnston, K.C.; Bruno, A.; Pauls, Q.; Hall, C.E.; Barrett, K.M.; Barsan, W.; Fansler, A.; Van de Bruinhorst, K.; Janis, S.; Durkalski-Mauldin, V.L.; et al. Intensive vs Standard Treatment of Hyperglycemia and Functional Outcome in Patients With Acute Ischemic Stroke: The SHINE Randomized Clinical Trial. JAMA 2019, 322, 326–335. [Google Scholar] [CrossRef] [PubMed]
- Staszewski, J.; Brodacki, B.; Kotowicz, J.; Stepien, A. Intravenous insulin therapy in the maintenance of strict glycemic control in nondiabetic acute stroke patients with mild hyperglycemia. J. Stroke Cerebrovasc. Dis. 2011, 20, 150–154. [Google Scholar] [CrossRef] [PubMed]
- Gray, C.S.; Hildreth, A.J.; Sandercock, P.A.; O’Connell, J.E.; Johnston, D.E.; Cartlidge, N.E.F.; Bamford, J.M.; James, O.F.; Alberti, K.G.M.M. Glucose-potassium-insulin infusions in the management of post-stroke hyperglycaemia: The UK Glucose Insulin in Stroke Trial (GIST-UK). Lancet Neurol. 2007, 6, 397–406. [Google Scholar] [CrossRef]
- Torbey, M.T.; Pauls, Q.; Gentile, N.; Falciglia, M.; Meurer, W.; Pettigrew, C.L.; Durkalski, V.L.; Bleck, T.; Bruno, A. Neurological Emergencies Treatment Trials, N.; et al. Intensive Versus Standard Treatment of Hyperglycemia in Acute Ischemic Stroke Patient: A Randomized Clinical Trial Subgroups Analysis. Stroke 2022, 53, 1510–1515. [Google Scholar] [CrossRef]
- Marfella, R.; Sasso, F.C.; Cacciapuoti, F.; Portoghese, M.; Rizzo, M.R.; Siniscalchi, M.; Carbonara, O.; Ferraraccio, F.; Torella, M.; Petrella, A.; et al. Tight glycemic control may increase regenerative potential of myocardium during acute infarction. J. Clin. Endocrinol. Metab. 2012, 97, 933–942. [Google Scholar] [CrossRef]
- Caturano, A.; Galiero, R.; Pafundi, P.C.; Cesaro, A.; Vetrano, E.; Palmiero, G.; Rinaldi, L.; Salvatore, T.; Marfella, R.; Sardu, C.; et al. Does a strict glycemic control during acute coronary syndrome play a cardioprotective effect? Pathophysiology and clinical evidence. Diabetes Res. Clin. Pract. 2021, 178, 108959. [Google Scholar] [CrossRef]
- Maiorino, M.I.; Longo, M.; Scappaticcio, L.; Bellastella, G.; Chiodini, P.; Esposito, K.; Giugliano, D. Improvement of glycemic control and reduction of major cardiovascular events in 18 cardiovascular outcome trials: An updated meta-regression. Cardiovasc. Diabetol. 2021, 20, 210. [Google Scholar] [CrossRef]
- Strain, W.D.; Frenkel, O.; James, M.A.; Leiter, L.A.; Rasmussen, S.; Rothwell, P.M.; Sejersten, R.M.; Truelsen, T.C.; Husain, M. Effects of Semaglutide on Stroke Subtypes in Type 2 Diabetes: Post Hoc Analysis of the Randomized SUSTAIN 6 and PIONEER 6. Stroke 2022, 53, 2749–2757. [Google Scholar] [CrossRef]
- Chiu, D.; Peterson, L.; Elkind, M.S.V.; Rosand, J.; Gerber, L.M.; Silverstein, M.D.; Glycine Antagonist in Neuroprotection(GAIN) Americas Trial Investigators. Comparison of outcomes after intracerebral hemorrhage and ischemic stroke. J. Stroke Cerebrovasc. Dis. 2010, 19, 225–229. [Google Scholar] [CrossRef] [PubMed]
- van Kranendonk, K.R.; Treurniet, K.M.; Boers, A.M.M.; Berkhemer, O.A.; van den Berg, L.A.; Chalos, V.; Lingsma, H.F.; van Zwam, W.H.; van der Lugt, A.; van Oostenbrugge, R.J.; et al. Hemorrhagic transformation is associated with poor functional outcome in patients with acute ischemic stroke due to a large vessel occlusion. J. Neurointerv. Surg. 2019, 11, 464–468. [Google Scholar] [CrossRef] [PubMed]




| All Patients | Propensity-Matched Pairs | |||||
|---|---|---|---|---|---|---|
| Characteristics | HG Group (n = 236) | Non-HG Group (n = 849) | p Value | HG Group (n = 222) | Non-HG Group (n = 222) | p Value |
| Age (years) | 71.3 ± 13.6 | 67.2 ± 15.2 | <0.001 | 71.2 ± 13.6 | 72.2 ± 14.3 | 0.440 |
| Gender, n | 0.011 | 0.703 | ||||
| Male | 106 (44.9%) | 461 (54.3%) | 101 (45.5%) | 105 (47.3%) | ||
| Female | 130 (55.1%) | 388 (45.7%) | 121 (54.5%) | 117 (52.7%) | ||
| Race, n | 0.239 | 0.556 # | ||||
| White | 151 (64.0%) | 558 (65.7%) | 143 (64.4%) | 131 (59.0%) | ||
| Black | 22 (9.3%) | 61 (7.2%) | 20 (9.0%) | 21 (9.5%) | ||
| Asian | 8 (3.4%) | 13(1.5%) | 7 (3.2%) | 4 (1.8%) | ||
| Other | 55 (23.3%) | 217 (25.6%) | 52 (23.4%) | 66 (29.7%) | ||
| MAP (mmHg) | 117.2 ± 21.0 | 115.4 ± 19.9 | 0.231 | 117.0 ± 21.2 | 115.4 ± 20.7 | 0.441 |
| Temperature (°C) | 37.5 ± 0.6 | 37.3 ± 0.5 | <0.001 | 37.5 ± 0.6 | 37.4 ± 0.6 | 0.035 |
| Heart rate (beats/min) | 105.3 ± 21.0 | 94.0 ± 19.2 | <0.001 | 104.3 ± 20.8 | 97.0 ± 23.0 | <0.001 |
| Respiratory rate (breaths/min) | 27.7 ± 5.7 | 26.6 ± 5.8 | 0.010 | 27.4 ± 5.5 | 27.6 ± 6.4 | 0.792 |
| Comorbidities, n | ||||||
| CCI | 6.90 ± 2.50 | 6.07 ± 2.37 | <0.001 | 6.90 ± 2.50 | 6.83 ± 2.32 | 0.783 |
| Hypertension | 170 (72.0%) | 582 (68.6%) | 0.305 | 161 (72.5%) | 165 (74.3%) | 0.667 |
| Hyperlipidemia | 54 (22.9%) | 160 (18.8%) | 0.168 | 50 (22.5%) | 41 (18.5%) | 0.290 |
| Coronary artery disease | 32 (13.6%) | 78 (9.2%) | 0.049 | 31 (14.0%) | 26 (11.7%) | 0.478 |
| Congestive heart failure | 46 (19.5%) | 128 (15.1%) | 0.102 | 43 (19.4%) | 44 (19.8%) | 0.905 |
| PVD | 24 (10.2%) | 103 (12.1%) | 0.407 | 24 (10.8%) | 24 (10.8%) | 1.000 |
| COPD | 36 (15.3%) | 125 (14.7%) | 0.839 | 34 (15.3%) | 39 (17.6%) | 0.552 |
| Liver disease | ||||||
| Mild | 5 (2.1%) | 21 (2.5%) | 0.753 | 5 (2.3%) | 7 (3.2%) | 0.558 |
| Moderate to severe | 1 (0.4%) | 4 (0.5%) | 1.000 # | 1 (0.5%) | 2 (0.9%) | 1.000 # |
| Peptic ulcer disease | 7 (3.0%) | 4 (0.5%) | 0.003 # | 6 (2.7%) | 1 (0.5%) | 0.122 # |
| Renal disease | 22 (9.3%) | 87 (10.2%) | 0.676 | 19 (8.6%) | 32 (14.4%) | 0.053 |
| Rheumatoid disease | 7 (3.0%) | 19 (2.2%) | 0.518 | 7 (3.2%) | 5 (2.3%) | 0.558 |
| Malignancy | 30 (12.7%) | 51 (6.0%) | 0.001 | 27 (12.2%) | 15 (6.8%) | 0.052 |
| Laboratory parameters | ||||||
| WBC (109/L) | 13.6 ± 6.1 | 10.0 ± 3.9 | <0.001 | 13.4 ± 5.9 | 10.8 ± 5.2 | <0.001 |
| Hgb (g/dL) | 12.5 ± 2.1 | 12.6 ± 2.0 | 0.222 | 12.5 ± 2.1 | 12.4 ± 2.1 | 0.749 |
| Platelet (109/L) | 255.0 ± 113.5 | 230.2 ± 87.9 | <0.001 | 250.7 ± 106.0 | 235.3 ± 92.8 | 0.106 |
| Creatinine (mEq/L) | 1.1 ± 0.5 | 1.0 ± 0.8 | 0.316 | 1.0 ± 0.4 | 1.0 ± 0.8 | 0.528 |
| BUN (mg/dL) | 22.1 ± 14.4 | 17.4 ± 10.4 | <0.001 | 20.8 ± 12.4 | 19.1 ± 11.4 | 0.143 |
| Sodium (mmol/L) | 141.0 ± 5.1 | 140.4 ± 3.5 | 0.057 | 140.8 ± 4.8 | 140.7 ± 3.8 | 0.818 |
| Potassium (mmol/L) | 4.3 ± 0.7 | 4.2 ± 0.6 | <0.001 | 4.3 ± 0.7 | 4.2 ± 0.6 | 0.006 |
| Bilirubin (mg/dL) | 0.7 ± 0.5 | 0.7 ± 0.7 | 0.917 | 0.7 ± 0.5 | 0.7 ± 0.5 | 0.516 |
| Drugs, n | ||||||
| Anti-platelet agents | 176 (74.6%) | 690 (81.3%) | 0.023 | 165 (74.3%) | 173 (77.9%) | 0.373 |
| Anti-coagulation agents | ||||||
| Warfarin | 51 (21.6%) | 216 (25.4%) | 0.227 | 46 (20.7%) | 61 (27.5%) | 0.096 |
| NOAC | 5 (2.1%) | 59 (6.9%) | 0.005 | 4 (1.8%) | 10 (4.5%) | 0.103 |
| tPA or EVT | 56 (23.7%) | 203 (23.9%) | 0.954 | 54 (24.3%) | 62 (27.9%) | 0.387 |
| APS III | 49.1 ± 24.1 | 34.6 ± 16.0 | <0.001 | 45.7 ± 19.9 | 45.7 ± 19.5 | 0.988 |
| ICU mortality, n | 45 (19.1%) | 42 (4.9%) | <0.001 | 39 (17.6%) | 24 (10.8%) | 0.041 |
| ICU length of stay, day | 5.5 ± 6.8 | 3.8±5.1 | <0.001 | 5.2 ± 6.7 | 5.2 ± 8.1 | 0.910 |
| In-hospital mortality, n | 66 (28.0%) | 73 (8.6%) | <0.001 | 59 (26.6%) | 42 (18.9%) | 0.054 |
| Hospital length of stay, day | 10.2 ± 11.1 | 7.0 ± 7.7 | <0.001 | 10.0 ± 11.0 | 9.1 ± 10.6 | 0.404 |
| Intracranial hemorrhage, n | 27 (11.4%) | 88 (10.4%) | 0.635 | 27 (12.2%) | 29 (13.1%) | 0.775 |
| Tracheostomy, n | 17 (7.2%) | 35 (4.1%) | 0.050 | 16 (7.2%) | 10 (4.5%) | 0.225 |
| PEG/PEJ tube placement, n | 42 (17.8%) | 94 (11.1%) | 0.006 | 39 (17.6%) | 36 (16.2%) | 0.704 |
| With Hyperglycemia Versus Non-Hyperglycemia (Reference) | ||||
|---|---|---|---|---|
| Variables | Before PSM-Univariate | After PSM-Univariate | ||
| Outcomes | Crude HR (95%CI) | p Value | Adjusted HR (95%CI) | p Value |
| ICU Mortality | 2.55 (1.67−3.89) | <0.001 | 1.54 (0.92−2.57) | 0.097 |
| In-hospital Mortality | 2.51 (1.79−3.52) | <0.001 | 1.33 (0.90−1.98) | 0.156 |
Publisher’s Note: MDPI stays neutral with regard to jurisdictional claims in published maps and institutional affiliations. |
© 2022 by the authors. Licensee MDPI, Basel, Switzerland. This article is an open access article distributed under the terms and conditions of the Creative Commons Attribution (CC BY) license (https://creativecommons.org/licenses/by/4.0/).
Share and Cite
Shih, H.-S.; Wang, W.-S.; Yang, L.-Y.; Chang, S.-H.; Chen, P.-H.; Jhou, H.-J. The Role of Nondiabetic Hyperglycemia in Critically Ill Patients with Acute Ischemic Stroke. J. Clin. Med. 2022, 11, 5116. https://doi.org/10.3390/jcm11175116
Shih H-S, Wang W-S, Yang L-Y, Chang S-H, Chen P-H, Jhou H-J. The Role of Nondiabetic Hyperglycemia in Critically Ill Patients with Acute Ischemic Stroke. Journal of Clinical Medicine. 2022; 11(17):5116. https://doi.org/10.3390/jcm11175116
Chicago/Turabian StyleShih, Hung-Sheng, Wei-Sheng Wang, Li-Yu Yang, Shu-Hao Chang, Po-Huang Chen, and Hong-Jie Jhou. 2022. "The Role of Nondiabetic Hyperglycemia in Critically Ill Patients with Acute Ischemic Stroke" Journal of Clinical Medicine 11, no. 17: 5116. https://doi.org/10.3390/jcm11175116
APA StyleShih, H.-S., Wang, W.-S., Yang, L.-Y., Chang, S.-H., Chen, P.-H., & Jhou, H.-J. (2022). The Role of Nondiabetic Hyperglycemia in Critically Ill Patients with Acute Ischemic Stroke. Journal of Clinical Medicine, 11(17), 5116. https://doi.org/10.3390/jcm11175116

