Are Static Spacers Superior to Articulated Spacers in the Staged Treatment of Infected Primary Knee Arthroplasty? A Systematic Review and Meta-Analysis
Abstract
1. Introduction
2. Materials and Methods


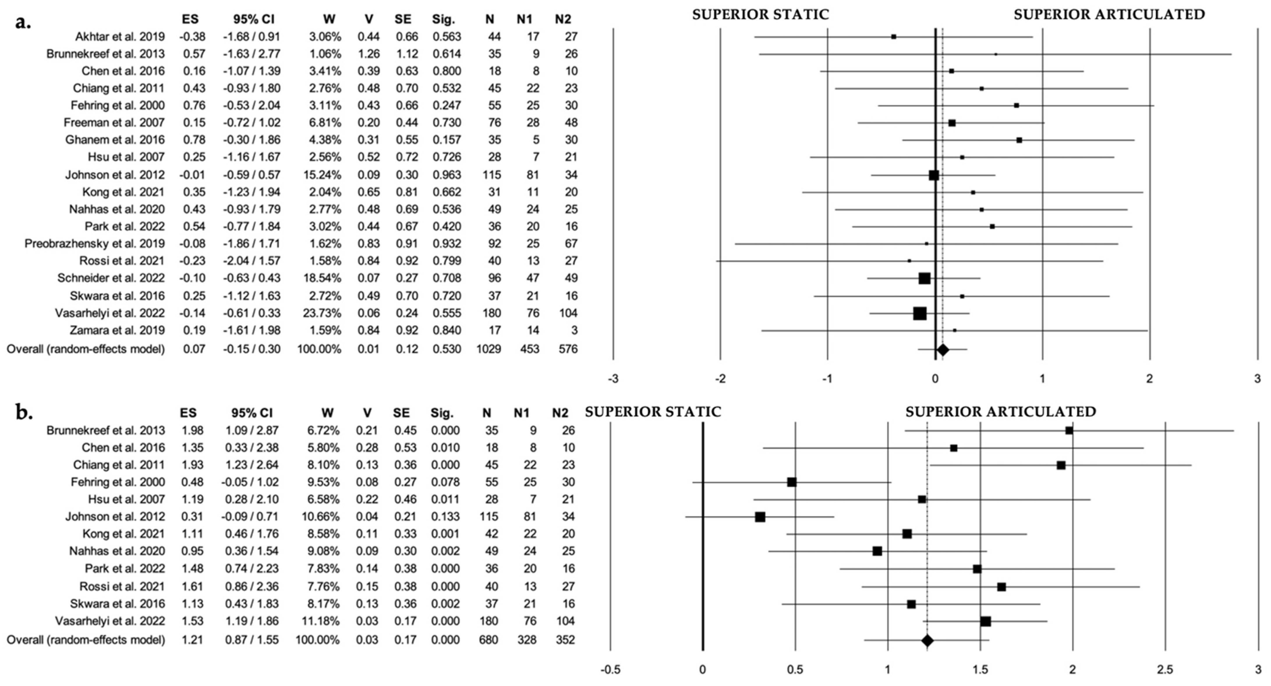
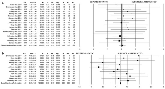
3. Results
4. Discussion
5. Conclusions
Author Contributions
Funding
Institutional Review Board Statement
Informed Consent Statement
Data Availability Statement
Conflicts of Interest
References
- Gehrke, T.; Alijanipour, P.; Parvizi, J. The management of an infected total knee arthroplasty. Bone Jt. J. 2015, 97, 20–29. [Google Scholar] [CrossRef]
- Lamagni, T. Epidemiology and burden of prosthetic joint infections. J. Antimicrob. Chemother. 2014, 69 (Suppl. 1), i5–i10. [Google Scholar] [CrossRef] [PubMed]
- Sambri, A.; Fiore, M.; Tedeschi, S.; De Paolis, M. The Need for Multidisciplinarity in Modern Medicine: An Insight into Orthopaedic Infections. Microorganisms 2022, 10, 756. [Google Scholar] [CrossRef] [PubMed]
- Calanna, F.; Chen, F.; Risitano, S.; Vorhies, J.S.; Franceschini, M.; Giori, N.J.; Indelli, P.F. Debridement, antibiotic pearls, and retention of the implant (DAPRI): A modified technique for implant retention in total knee arthroplasty PJI treatment. J. Orthop. Surg. 2019, 27, 2309499019874413. [Google Scholar] [CrossRef]
- Parvizi, J.; Tan, T.L.; Goswami, K.; Higuera, C.; Della Valle, C.; Chen, A.F.; Shohat, N. The 2018 Definition of Periprosthetic Hip and Knee Infection: An Evidence-Based and Validated Criteria. J. Arthroplast. 2018, 33, 1309–1314.e2. [Google Scholar] [CrossRef]
- Osmon, D.R.; Berbari, E.F.; Berendt, A.R.; Lew, D.; Zimmerli, W.; Steckelberg, J.M.; Rao, N.; Hanssen, A.; Wilson, W.R.; Infectious Diseases Society of, A. Diagnosis and management of prosthetic joint infection: Clinical practice guidelines by the Infectious Diseases Society of America. Clin. Infect. Dis. 2013, 56, e1–e25. [Google Scholar] [CrossRef] [PubMed]
- Izakovicova, P.; Borens, O.; Trampuz, A. Periprosthetic joint infection: Current concepts and outlook. EFORT Open Rev. 2019, 4, 482–494. [Google Scholar] [CrossRef]
- Masters, J.P.; Smith, N.A.; Foguet, P.; Reed, M.; Parsons, H.; Sprowson, A.P. A systematic review of the evidence for single stage and two stage revision of infected knee replacement. BMC Musculoskelet. Disord. 2013, 14, 222. [Google Scholar] [CrossRef]
- Charette, R.S.; Melnic, C.M. Two-Stage Revision Arthroplasty for the Treatment of Prosthetic Joint Infection. Curr. Rev. Musculoskelet. Med. 2018, 11, 332–340. [Google Scholar] [CrossRef]
- Sambri, A.; Bianchi, G.; Parry, M.; Frenos, F.; Campanacci, D.; Donati, D.; Jeys, L. Is Arthrodesis a Reliable Salvage Option following Two-Stage Revision for Suspected Infection in Proximal Tibial Replacements? A Multi-Institutional Study. J. Knee Surg. 2018, 32, 911–918. [Google Scholar] [CrossRef]
- Guild, G.N., III; Wu, B.; Scuderi, G.R. Articulating vs. Static antibiotic impregnated spacers in revision total knee arthroplasty for sepsis. A systematic review. J. Arthroplast. 2014, 29, 558–563. [Google Scholar] [CrossRef] [PubMed]
- Anagnostakos, K.; Fink, B. Antibiotic-loaded cement spacers—Lessons learned from the past 20 years. Expert Rev. Med. Devices 2018, 15, 231–245. [Google Scholar] [CrossRef] [PubMed]
- Anagnostakos, K.; Meyer, C. Antibiotic Elution from Hip and Knee Acrylic Bone Cement Spacers: A Systematic Review. BioMed Res. Int. 2017, 2017, 4657874. [Google Scholar] [CrossRef] [PubMed]
- Risitano, S.; Sabatini, L.; Atzori, F.; Massè, A.; Indelli, P.F. Static antibiotic spacers augmented by calcium sulphate impregnated beads in revision TKA: Surgical technique and review of literature. J. Orthop. 2018, 15, 313–318. [Google Scholar] [CrossRef] [PubMed]
- DeBoer, D.K. Comparison of Traditional Molded, First-Generation Premolded, and Second-Generation Premolded Antibiotic-Loaded Polymethylmethacrylate Articulating Spacers for Treatment of Chronic Prosthetic Joint Infection of the Knee. J. Arthroplast. 2020, 35, S53–S56. [Google Scholar] [CrossRef] [PubMed]
- Nodzo, S.R.; Boyle, K.K.; Spiro, S.; Nocon, A.A.; Miller, A.O.; Westrich, G.H. Success rates, characteristics, and costs of articulating antibiotic spacers for total knee periprosthetic joint infection. Knee 2017, 24, 1175–1181. [Google Scholar] [CrossRef]
- Romano, C.L.; Gala, L.; Logoluso, N.; Romano, D.; Drago, L. Two-stage revision of septic knee prosthesis with articulating knee spacers yields better infection eradication rate than one-stage or two-stage revision with static spacers. Knee Surg. Sports Traumatol. Arthrosc. 2012, 20, 2445–2453. [Google Scholar] [CrossRef]
- Page, M.J.; McKenzie, J.E.; Bossuyt, P.M.; Boutron, I.; Hoffmann, T.C.; Mulrow, C.D.; Shamseer, L.; Tetzlaff, J.M.; Akl, E.A.; Brennan, S.E.; et al. The PRISMA 2020 statement: An updated guideline for reporting systematic reviews. BMJ 2021, 372, n71. [Google Scholar] [CrossRef]
- Sterne, J.A.; Hernan, M.A.; Reeves, B.C.; Savovic, J.; Berkman, N.D.; Viswanathan, M.; Henry, D.; Altman, D.G.; Ansari, M.T.; Boutron, I.; et al. ROBINS-I: A tool for assessing risk of bias in non-randomised studies of interventions. BMJ 2016, 355, i4919. [Google Scholar] [CrossRef]
- Sterne, J.A.C.; Savovic, J.; Page, M.J.; Elbers, R.G.; Blencowe, N.S.; Boutron, I.; Cates, C.J.; Cheng, H.Y.; Corbett, M.S.; Eldridge, S.M.; et al. RoB 2: A revised tool for assessing risk of bias in randomised trials. BMJ 2019, 366, l4898. [Google Scholar] [CrossRef]
- Akhtar, A.; Mitchell, C.; Assis, C.; Iranpour, F.; Kropelnicki, A.; Strachan, R. Cement Pedestal Spacer Technique for Infected Two-stage Revision Knee Arthroplasty: Description and Comparison of Complications. Indian J. Orthop. 2019, 53, 695–699. [Google Scholar] [CrossRef] [PubMed]
- Barrack, R.L.; Engh, G.; Rorabeck, C.; Sawhney, J.; Woolfrey, M. Patient satisfaction and outcome after septic versus aseptic revision total knee arthroplasty. J. Arthroplast. 2000, 15, 990–993. [Google Scholar] [CrossRef] [PubMed]
- Brunnekreef, J.; Hannink, G.; Malefijt Mde, W. Recovery of knee mobility after a static or mobile spacer in total knee infection. Acta Orthop. Belg. 2013, 79, 83–89. [Google Scholar] [PubMed]
- Chen, Y.P.; Wu, C.C.; Ho, W.P. Autoclaved metal-on-cement spacer versus static spacer in two-stage revision in periprosthetic knee infection. Indian J. Orthop. 2016, 50, 146–153. [Google Scholar] [CrossRef]
- Chiang, E.R.; Su, Y.P.; Chen, T.H.; Chiu, F.Y.; Chen, W.M. Comparison of articulating and static spacers regarding infection with resistant organisms in total knee arthroplasty. Acta Orthop. 2011, 82, 460–464. [Google Scholar] [CrossRef]
- Choi, H.R.; Malchau, H.; Bedair, H. Are prosthetic spacers safe to use in 2-stage treatment for infected total knee arthroplasty? J. Arthroplast. 2012, 27, 1474–1479.e1471. [Google Scholar] [CrossRef]
- Emerson, R.H., Jr.; Muncie, M.; Tarbox, T.R.; Higgins, L.L. Comparison of a static with a mobile spacer in total knee infection. Clin. Orthop. Relat. Res. 2002, 404, 132–138. [Google Scholar] [CrossRef]
- Faschingbauer, M.; Bieger, R.; Reichel, H.; Weiner, C.; Kappe, T. Complications associated with 133 static, antibiotic-laden spacers after TKA. Knee Surg. Sports Traumatol. Arthrosc. 2016, 24, 3096–3099. [Google Scholar] [CrossRef]
- Fehring, T.K.; Odum, S.; Calton, T.F.; Mason, J.B. Articulating versus static spacers in revision total knee arthroplasty for sepsis. The Ranawat Award. Clin. Orthop. Relat. Res. 2000, 380, 9–16. [Google Scholar] [CrossRef]
- Freeman, M.G.; Fehring, T.K.; Odum, S.M.; Fehring, K.; Griffin, W.L.; Mason, J.B. Functional advantage of articulating versus static spacers in 2-stage revision for total knee arthroplasty infection. J. Arthroplast. 2007, 22, 1116–1121. [Google Scholar] [CrossRef]
- Ghanem, M.; Zajonz, D.; Bollmann, J.; Geissler, V.; Prietzel, T.; Moche, M.; Roth, A.; Heyde, C.E.; Josten, C. Outcome of total knee replacement following explantation and cemented spacer therapy. GMS Interdiscip. Plast. Reconstr. Surg. DGPW 2016, 5, Doc12. [Google Scholar] [CrossRef] [PubMed]
- Haleem, A.A.; Berry, D.J.; Hanssen, A.D. Mid-term to long-term followup of two-stage reimplantation for infected total knee arthroplasty. Clin. Orthop. Relat. Res. 2004, 428, 35–39. [Google Scholar] [CrossRef]
- Hipfl, C.; Winkler, T.; Janz, V.; Perka, C.; Müller, M. Management of Chronically Infected Total Knee Arthroplasty with Severe Bone Loss Using Static Spacers with Intramedullary Rods. J. Arthroplast. 2019, 34, 1462–1469. [Google Scholar] [CrossRef] [PubMed]
- Hsu, Y.C.; Cheng, H.C.; Ng, T.P.; Chiu, K.Y. Antibiotic-loaded cement articulating spacer for 2-stage reimplantation in infected total knee arthroplasty: A simple and economic method. J. Arthroplast. 2007, 22, 1060–1066. [Google Scholar] [CrossRef] [PubMed]
- Hsu, C.-S.C.-C.; Wang, J.-W.; Lin, P.-C. Two-stage revision of infected total knee arthroplasty using an antibiotic-impregnated static cement-spacer. Chang. Gung Med. J. 2008, 31, 583–591. [Google Scholar]
- Husted, H.; Toftgaard Jensen, T. Clinical outcome after treatment of infected primary total knee arthroplasty. Acta Orthop. Belg. 2002, 68, 500–507. [Google Scholar]
- Ippolito, J.A.; Thomson, J.E.; Rivero, S.M.; Beebe, K.S.; Patterson, F.R.; Benevenia, J. Management of Large Segmental Bone Defects at the Knee with Intramedullary Stabilized Antibiotic Spacers During Two-Stage Treatment of Endoprosthetic Joint Infection. J. Arthroplast. 2021, 36, 2165–2170. [Google Scholar] [CrossRef]
- Johnson, A.J.; Sayeed, S.A.; Naziri, Q.; Khanuja, H.S.; Mont, M.A. Minimizing dynamic knee spacer complications in infected revision arthroplasty. Clin. Orthop. Relat. Res. 2012, 470, 220–227. [Google Scholar] [CrossRef][Green Version]
- Kong, L.; Mei, J.; Ge, W.; Jin, X.; Chen, X.; Zhang, X.; Zhu, C. Application of 3D Printing-Assisted Articulating Spacer in Two-Stage Revision Surgery for Periprosthetic Infection after Total Knee Arthroplasty: A Retrospective Observational Study. BioMed Res. Int. 2021, 2021, 3948638. [Google Scholar] [CrossRef]
- Lichstein, P.; Su, S.; Hedlund, H.; Suh, G.; Maloney, W.J.; Goodman, S.B.; Huddleston, J.I., III. Treatment of Periprosthetic Knee Infection with a Two-stage Protocol Using Static Spacers. Clin. Orthop. Relat. Res. 2016, 474, 120–125. [Google Scholar] [CrossRef]
- Lo Presti, M.; Costa, G.G.; Vasco, C.; Agrò, G.; Poggi, A.; Neri, M.P.; Zaffagnini, S. Küntscher nails with static cement spacer: A simple technique in periprosthetic knee infections with massive bone loss and instability. Knee 2021, 29, 580–588. [Google Scholar] [CrossRef] [PubMed]
- Ma, H.H.; Chou, T.A.; Tsai, S.W.; Chen, C.F.; Wu, P.K.; Chen, C.M.; Chen, W.M. Is short-course systemic antibiotic therapy using an antibiotic-loaded cement spacer safe after resection for infected total knee arthroplasty? A comparative study. J. Formos. Med. Assoc. 2020, 119, 1070–1079. [Google Scholar] [CrossRef] [PubMed]
- Nahhas, C.R.; Chalmers, P.N.; Parvizi, J.; Sporer, S.M.; Berend, K.R.; Moric, M.; Chen, A.F.; Austin, M.S.; Deirmengian, G.K.; Morris, M.J.; et al. A Randomized Trial of Static and Articulating Spacers for the Treatment of Infection Following Total Knee Arthroplasty. J. Bone Jt. Surg. Am. 2020, 102, 778–787. [Google Scholar] [CrossRef] [PubMed]
- Park, S.J.; Song, E.K.; Seon, J.K.; Yoon, T.R.; Park, G.H. Comparison of static and mobile antibiotic-impregnated cement spacers for the treatment of infected total knee arthroplasty. Int. Orthop. 2010, 34, 1181–1186. [Google Scholar] [CrossRef] [PubMed]
- Petis, S.M.; Perry, K.I.; Mabry, T.M.; Hanssen, A.D.; Berry, D.J.; Abdel, M.P. Two-Stage Exchange Protocol for Periprosthetic Joint Infection Following Total Knee Arthroplasty in 245 Knees without Prior Treatment for Infection. J. Bone Jt. Surg. Am. 2019, 101, 239–249. [Google Scholar] [CrossRef] [PubMed]
- Preobrazhensky, P.M.; Bozhkova, S.A.; Kazemirsky, A.V.; Tikhilov, R.M.; Kulaba, T.A.; Kornilov, N.N. Functional outcome of two-stage reimplantation in patients with periprosthetic joint infection after primary total knee arthroplasty. Int. Orthop. 2019, 43, 2503–2509. [Google Scholar] [CrossRef]
- Rossi, S.M.P.; Medetti, M.; Perticarini, L.; Ghiara, M.; Benazzo, F. Customized intraoperatively molded articulating cement spacers for two-stage revisions TKA with major bone defects. Eur. J. Orthop. Surg. Traumatol. 2021, 31, 1121–1128. [Google Scholar] [CrossRef]
- Schneider, A.M.; Holzmeister, A.M.; Frazzett, A.J.; Adams, W.; Hopkinson, W.J.; Brown, N.M. New Primary Total Knee Arthroplasty Components Versus Other Contemporary Types of Spacers for the Treatment of Chronic Periprosthetic Knee Infection with a Two-Stage Protocol. Orthopedics 2022, 45, 109–115. [Google Scholar] [CrossRef]
- Silvestre, A.; Almeida, F.; Renovell, P.; Morante, E.; López, R. Revision of infected total knee arthroplasty: Two-stage reimplantation using an antibiotic-impregnated static spacer. Clin. Orthop. Surg. 2013, 5, 180–187. [Google Scholar] [CrossRef] [PubMed]
- Skwara, A.; Tibesku, C.; Paletta, R.J.; Sommer, C.; Krödel, A.; Lahner, M.; Daniilidis, K. Articulating spacers compared to fixed spacers for the treatment of infected knee arthroplasty: A follow-up of 37 cases. Technol. Health Care 2016, 24, 571–577. [Google Scholar] [CrossRef]
- Springer, B.D.; Lee, G.C.; Osmon, D.; Haidukewych, G.J.; Hanssen, A.D.; Jacofsky, D.J. Systemic safety of high-dose antibiotic-loaded cement spacers after resection of an infected total knee arthroplasty. Clin. Orthop. Relat. Res. 2004, 427, 47–51. [Google Scholar] [CrossRef]
- Vasarhelyi, E.; Sidhu, S.P.; Somerville, L.; Lanting, B.; Naudie, D.; Howard, J. Static vs. Articulating Spacers for Two-Stage Revision Total Knee Arthroplasty: Minimum Five-Year Review. Arthroplast. Today 2022, 13, 171–175. [Google Scholar] [CrossRef] [PubMed]
- Vielgut, I.; Schwantzer, G.; Leithner, A.; Sadoghi, P.; Berzins, U.; Glehr, M. Successful Two-Stage Exchange Arthroplasty for Periprosthetic Infection Following Total Knee Arthroplasty: The Impact of Timing on Eradication of Infection. Int. J. Med. Sci. 2021, 18, 1000–1006. [Google Scholar] [CrossRef]
- Zamora, T.; Garbuz, D.S.; Greidanus, N.V.; Masri, B.A. An articulated spacer made of new primary implants in two-stage exchange for infected total knee arthroplasty may provide durable results. Bone Jt. J. 2020, 102, 852–860. [Google Scholar] [CrossRef] [PubMed]
- Ahmad, S.S.; Huber, K.; Evangelopoulos, D.S.; Kleer, B.; Kohlhof, H.; Schär, M.; Eggli, S.; Kohl, S. The cement prosthesis-like spacer: An intermediate halt on the road to healing. Sci. World J. 2013, 2013, 763434. [Google Scholar] [CrossRef]
- Babis, G.C.; Zahos, K.A.; Tsailas, P.; Karaliotas, G.I.; Kanellakopoulou, K.; Soucacos, P.N. Treatment of stage III-A-1 and III-B-1 periprosthetic knee infection with two-stage exchange arthroplasty and articulating spacer. J. Surg. Orthop. Adv. 2008, 17, 173–178. [Google Scholar]
- Boelch, S.P.; Jakuscheit, A.; Luedemann, M.; Heilig, P.; Kamawal, Y.; Arnholdt, J.; Rudert, M. Do not exchange the spacer during staged TKA exchange! J. Orthop. 2021, 23, 41–45. [Google Scholar] [CrossRef]
- Buyuk, A.F.; Sofu, H.; Camurcu, I.Y.; Ucpunar, H.; Kaygusuz, M.A.; Sahin, V. Can Teicoplanin Be an Effective Choice for Antibiotic-Impregnated Cement Spacer in Two-Stage Revision Total Knee Arthroplasty? J. Knee Surg. 2017, 30, 283–288. [Google Scholar] [CrossRef] [PubMed]
- Carulli, C.; Villano, M.; Civinini, R.; Matassi, F.; Nistri, L.; Innocenti, M. A novel technique to preserve range of motion in two-stage revision of infected total knee arthroplasty. Int. Orthop. 2013, 37, 1069–1074. [Google Scholar] [CrossRef][Green Version]
- Castelli, C.C.; Gotti, V.; Ferrari, R. Two-stage treatment of infected total knee arthroplasty: Two to thirteen year experience using an articulating preformed spacer. Int. Orthop. 2014, 38, 405–412. [Google Scholar] [CrossRef]
- Durbhakula, S.M.; Czajka, J.; Fuchs, M.D.; Uhl, R.L. Antibiotic-loaded articulating cement spacer in the 2-stage exchange of infected total knee arthroplasty. J. Arthroplast. 2004, 19, 768–774. [Google Scholar] [CrossRef] [PubMed]
- Evans, R.P. Successful treatment of total hip and knee infection with articulating antibiotic components: A modified treatment method. Clin. Orthop. Relat Res. 2004, 427, 37–46. [Google Scholar] [CrossRef] [PubMed]
- Fei, Z.; Zhang, Z.; Wang, Y.; Zhang, H.; Xiang, S. Comparing the Efficacy of Articulating Spacers in Two-Stage Revision for Periprosthetic Joint Infection Following Total Knee Arthroplasty: All-Cement Spacers vs. Sterilized Replanted Metal-Polyethylene Spacers. Int. J. Gen. Med. 2022, 15, 3293–3301. [Google Scholar] [CrossRef] [PubMed]
- Garg, P.; Ranjan, R.; Bandyopadhyay, U.; Chouksey, S.; Mitra, S.; Gupta, S.K. Antibiotic-impregnated articulating cement spacer for infected total knee arthroplasty. Indian J. Orthop. 2011, 45, 535–540. [Google Scholar] [CrossRef] [PubMed]
- Ghanem, M.; Pempe, C.; Zajonz, D.; Roth, A.; Heyde, C.E.; Josten, C. Mid-term results of two-stage revision of total knee arthroplasty using a mobile (dynamic) cement spacer in the treatment of periprosthetic infections. GMS Interdiscip. Plast. Reconstr. Surg. DGPW 2018, 7, Doc02. [Google Scholar] [CrossRef] [PubMed]
- Gooding, C.R.; Masri, B.A.; Duncan, C.P.; Greidanus, N.V.; Garbuz, D.S. Durable infection control and function with the PROSTALAC spacer in two-stage revision for infected knee arthroplasty. Clin. Orthop. Relat. Res. 2011, 469, 985–993. [Google Scholar] [CrossRef] [PubMed]
- Ha, C.W. A technique for intraoperative construction of antibiotic spacers. Clin. Orthop. Relat. Res. 2006, 445, 204–209. [Google Scholar] [CrossRef]
- Haddad, F.S.; Masri, B.A.; Campbell, D.; McGraw, R.W.; Beauchamp, C.P.; Duncan, C.P. The PROSTALAC functional spacer in two-stage revision for infected knee replacements. Prosthesis of antibiotic-loaded acrylic cement. J. Bone Jt. Surg. Br. 2000, 82, 807–812. [Google Scholar] [CrossRef]
- Hammerich, K.; Pollack, J.; Hasse, A.F.; El Saman, A.; Huber, R.; Rupp, M.; Alt, V.; Kinne, R.W.; Mika, J. The Inverse Spacer-A Novel, Safe, and Cost-Effective Approach in Routine Procedures for Revision Knee Arthroplasty. J. Clin. Med. 2021, 10, 971. [Google Scholar] [CrossRef]
- Hart, W.J.; Jones, R.S. Two-stage revision of infected total knee replacements using articulating cement spacers and short-term antibiotic therapy. J. Bone Jt. Surg. Br. 2006, 88, 1011–1015. [Google Scholar] [CrossRef]
- Hoshino, T.; Watanabe, T.; Nakagawa, Y.; Katagiri, H.; Ozeki, N.; Ohara, T.; Shioda, M.; Kono, Y.; Sekiya, I.; Koga, H. Clinical outcomes of two-stage revision total knee arthroplasty in infected cases with antibiotic-loaded cement spacers produced using a handmade silicone mold. Knee Surg. Relat. Res. 2021, 33, 27. [Google Scholar] [CrossRef] [PubMed]
- Incavo, S.J.; Russell, R.D.; Mathis, K.B.; Adams, H. Initial results of managing severe bone loss in infected total joint arthroplasty using customized articulating spacers. J. Arthroplast. 2009, 24, 607–613. [Google Scholar] [CrossRef]
- Jia, Y.T.; Zhang, Y.; Ding, C.; Zhang, N.; Zhang, D.L.; Sun, Z.H.; Tian, M.Q.; Liu, J. Antibiotic-loaded articulating cement spacers in two-stage revision for infected total knee arthroplasty: Individual antibiotic treatment and early results of 21 cases. Chin. J. Traumatol. 2012, 15, 212–221. [Google Scholar]
- Jung, K.H.; Lee, C.C.; Kim, T.H.; Han, J.W.; Park, K.B. Does spiked tibial cement spacer reduce spacer-related problems in two-stage revision total knee arthroplasty for infection? Int. Orthop. 2022, 46, 2009–2017. [Google Scholar] [CrossRef] [PubMed]
- Kalore, N.V.; Maheshwari, A.; Sharma, A.; Cheng, E.; Gioe, T.J. Is there a preferred articulating spacer technique for infected knee arthroplasty? A preliminary study. Clin. Orthop. Relat. Res. 2012, 470, 228–235. [Google Scholar] [CrossRef]
- Kohl, S.; Evangelopoulos, D.S.; Kohlhof, H.; Krueger, A.; Hartel, M.; Roeder, C.; Eggli, S. An intraoperatively moulded PMMA prostheses like spacer for two-stage revision of infected total knee arthroplasty. Knee 2011, 18, 464–469. [Google Scholar] [CrossRef]
- Lin, T.L.; Tsai, C.H.; Fong, Y.C.; Shie, M.Y.; Chen, H.Y.; Chen, Y.W. Cruciate-Retaining vs Posterior-Stabilized Antibiotic Cement Articulating Spacers for Two-Stage Revision of Prosthetic Knee Infection: A Retrospective Cohort Study. J. Arthroplast. 2021, 36, 3750–3759. [Google Scholar] [CrossRef] [PubMed]
- Lu, J.; Han, J.; Zhang, C.; Yao, Z.; Yang, Y. Polyethylene on Cement Spacers: An Economic Approach to an Effective Infection Eradication in a Two-Stage Knee Revision Articulating Spacers. J. Knee Surg. 2018, 31, 986–991. [Google Scholar] [CrossRef]
- MacAvoy, M.C.; Ries, M.D. The ball and socket articulating spacer for infected total knee arthroplasty. J. Arthroplast. 2005, 20, 757–762. [Google Scholar] [CrossRef]
- Macheras, G.A.; Kateros, K.; Galanakos, S.P.; Koutsostathis, S.D.; Kontou, E.; Papadakis, S.A. The long-term results of a two-stage protocol for revision of an infected total knee replacement. J. Bone Jt. Surg. Br. 2011, 93, 1487–1492. [Google Scholar] [CrossRef]
- Marothi, D.P.; Sharma, V.; Sheth, A.N.; Shah, V.I.; Bharath, L.; Pachore, J.A. Management of Infected Total Knee Arthroplasty by a New Innovative Customized Articulating Knee Spacer: An Early Experience. J. Orthop. Case Rep. 2016, 6, 20–22. [Google Scholar] [CrossRef] [PubMed]
- Mutimer, J.; Gillespie, G.; Lovering, A.M.; Porteous, A.J. Measurements of in vivo intra-articular gentamicin levels from antibiotic loaded articulating spacers in revision total knee replacement. Knee 2009, 16, 39–41. [Google Scholar] [CrossRef] [PubMed]
- Ocguder, A.; Firat, A.; Tecimel, O.; Solak, S.; Bozkurt, M. Two-stage total infected knee arthroplasty treatment with articulating cement spacer. Arch. Orthop. Trauma. Surg. 2010, 130, 719–725. [Google Scholar] [CrossRef]
- Ortola, D.J.; Fenga, D.; Marcellino, S.; Rosi, M.; Centofanti, F.; Rosa, M.A. Peri-Prosthetic Knee Infection Management: Spacers Loaded with Two or Three Antibiotic Agents. Surg. Infect. 2017, 18, 619–624. [Google Scholar] [CrossRef] [PubMed]
- Pascale, V.; Pascale, W. Custom-made articulating spacer in two-stage revision total knee arthroplasty. An early follow-up of 14 cases of at least 1 year after surgery. HSS J. 2007, 3, 159–163. [Google Scholar] [CrossRef] [PubMed]
- Pitto, R.P.; Castelli, C.C.; Ferrari, R.; Munro, J. Pre-formed articulating knee spacer in two-stage revision for the infected total knee arthroplasty. Int. Orthop. 2005, 29, 305–308. [Google Scholar] [CrossRef][Green Version]
- Radoicic, D.; Milanovic, M.; Marinkovic, J.; Radoicic, D. Ertapenem Articulating Spacer for the Treatment of Polymicrobial Total Knee Arthroplasty Infection. Can. J. Infect. Dis. Med. Microbiol. 2016, 2016, 5753489. [Google Scholar] [CrossRef]
- Roof, M.A.; Baylor, J.L.; Bernstein, J.A.; Antonelli, B.J.; Kugelman, D.N.; Egol, A.J.; Melnic, C.M.; Chen, A.F.; Long, W.J.; Aggarwal, V.K.; et al. Comparing the Efficacy of Articulating Spacer Constructs for Knee Periprosthetic Joint Infection Eradication: All-Cement vs Real-Component Spacers. J. Arthroplast. 2021, 36, S320–S327. [Google Scholar] [CrossRef]
- Sakellariou, V.I.; Savvidou, O.; Markopoulos, C.; Drakou, A.; Mavrogenis, A.F.; Papagelopoulos, P.J. Combination of Calcium Hydroxyapatite Antibiotic Carrier with Cement Spacers in Peri-Prosthetic Knee Infections. Surg. Infect. 2015, 16, 748–754. [Google Scholar] [CrossRef]
- Seo, S.S.; Kim, C.W.; Lee, C.R.; Park, D.H.; Kwon, Y.U.; Jung, D.; Kim, D.S. Clinical outcomes of two-stage total knee arthroplasty using articulating cement spacer in patients with infected arthritic knee: A comparison with arthroscopic surgery. Knee 2020, 27, 444–450. [Google Scholar] [CrossRef]
- Shaikh, A.A.; Ha, C.W.; Park, Y.G.; Park, Y.B. Two-stage approach to primary TKA in infected arthritic knees using intraoperatively molded articulating cement spacers. Clin. Orthop. Relat. Res. 2014, 472, 2201–2207. [Google Scholar] [CrossRef]
- Shen, H.; Zhang, X.; Jiang, Y.; Wang, Q.; Chen, Y.; Wang, Q.; Shao, J. Intraoperatively-made cement-on-cement antibiotic-loaded articulating spacer for infected total knee arthroplasty. Knee 2010, 17, 407–411. [Google Scholar] [CrossRef]
- Siebel, T.; Kelm, J.; Porsch, M.; Regitz, T.; Neumann, W.H. Two-stage exchange of infected knee arthroplasty with an prosthesis-like interim cement spacer. Acta Orthop. Belg. 2002, 68, 150–156. [Google Scholar]
- Struelens, B.; Claes, S.; Bellemans, J. Spacer-related problems in two-stage revision knee arthroplasty. Acta Orthop. Belg. 2013, 79, 422–426. [Google Scholar]
- Su, Y.P.; Lee, O.K.; Chen, W.M.; Chen, T.H. A facile technique to make articulating spacers for infected total knee arthroplasty. J. Chin. Med. Assoc. 2009, 72, 138–145. [Google Scholar] [CrossRef]
- Thabe, H.; Schill, S. Two-stage reimplantation with an application spacer and combined with delivery of antibiotics in the management of prosthetic joint infection. Oper. Orthop. Traumatol. 2007, 19, 78–100. [Google Scholar] [CrossRef] [PubMed]
- Tian, M.Q.; Yang, X.T.; Tian, X.B.; Sun, Y.B.; Duan, Y.H.; Sun, L. Short-term Follow-up of Antibiotic-loaded Articulating Cement Spacers in Two-stage Revision of Infected Total Knee Arthroplasty: A Case Series. Orthop. Surg. 2018, 10, 128–133. [Google Scholar] [CrossRef] [PubMed]
- Tigani, D.; Trisolino, G.; Fosco, M.; Ben Ayad, R.; Costigliola, P. Two-stage reimplantation for periprosthetic knee infection: Influence of host health status and infecting microorganism. Knee 2013, 20, 9–18. [Google Scholar] [CrossRef] [PubMed]
- Tsai, C.H.; Hsu, H.C.; Chen, H.Y.; Fong, Y.C.; Ho, M.W.; Chou, C.H.; Chen, Y.W.; Shie, M.Y.; Lin, T.L. A preliminary study of the novel antibiotic-loaded cement computer-aided design-articulating spacer for the treatment of periprosthetic knee infection. J. Orthop. Surg. Res. 2019, 14, 136. [Google Scholar] [CrossRef]
- Van Thiel, G.S.; Berend, K.R.; Klein, G.R.; Gordon, A.C.; Lombardi, A.V.; Della Valle, C.J. Intraoperative molds to create an articulating spacer for the infected knee arthroplasty. Clin. Orthop. Relat. Res. 2011, 469, 994–1001. [Google Scholar] [CrossRef] [PubMed]
- Vasso, M.; Del Regno, C.; Corona, K.; D’Apolito, R.; Schiavone Panni, A. Articulated spacer provides long-term knee improvement after two-stage reimplantation. Knee Surg. Sports Traumatol. Arthrosc. 2016, 24, 3100–3105. [Google Scholar] [CrossRef]
- Vecchini, E.; Micheloni, G.M.; Perusi, F.; Scaglia, M.; Maluta, T.; Lavini, F.; Bondi, M.; Dall’Oca, C.; Magnan, B. Antibiotic-Loaded Spacer for Two-Stage Revision of Infected Total Knee Arthroplasty. J. Knee Surg. 2017, 30, 231–237. [Google Scholar] [CrossRef]
- Villanueva-Martinez, M.; Rios-Luna, A.; Pereiro, J.; Fahandez-Saddi, H.; Villamor, A. Hand-made articulating spacers in two-stage revision for infected total knee arthroplasty: Good outcome in 30 patients. Acta Orthop. 2008, 79, 674–682. [Google Scholar] [CrossRef]
- Wan, Z.; Karim, A.; Momaya, A.; Incavo, S.J.; Mathis, K.B. Preformed articulating knee spacers in 2-stage total knee revision arthroplasty: Minimum 2-year follow-up. J. Arthroplast. 2012, 27, 1469–1473. [Google Scholar] [CrossRef] [PubMed]
- Yi, C.; Yiqin, Z.; Qi, Z.; Hui, Z.; Zheru, D.; Peiling, F.; Yuli, W.; Haishan, W. Two-Stage Primary Total Knee Arthroplasty with Well-Designed Antibiotic-Laden Cement Spacer Block for Infected Osteoarthritic Knees: The First Case Series from China. Surg. Infect. 2015, 16, 755–761. [Google Scholar] [CrossRef] [PubMed]
- Zielinski, M.R.; Ziemba-Davis, M.; Warth, L.C.; Keyes, B.J.; Meneghini, R.M. Do Antibiotic Intramedullary Dowels Assist in Eradicating Infection in Two-Stage Resection for Septic Total Knee Arthroplasty? J. Arthroplasty 2019, 34, 2461–2465. [Google Scholar] [CrossRef] [PubMed]
- Bowman, E.C.; Malkani, A.L. Point/Counterpoint: Static vs Articulating Spacers-Static Spacers for Resection Arthroplasty of the Knee. J. Arthroplast. 2020, 35, S35–S39. [Google Scholar] [CrossRef] [PubMed]
- Mazzucchelli, L.; Rosso, F.; Marmotti, A.; Bonasia, D.E.; Bruzzone, M.; Rossi, R. The use of spacers (static and mobile) in infection knee arthroplasty. Curr. Rev. Musculoskelet. Med. 2015, 8, 373–382. [Google Scholar] [CrossRef]
- Lu, J.; Han, J.; Zhang, C.; Yang, Y.; Yao, Z. Infection after total knee arthroplasty and its gold standard surgical treatment: Spacers used in two-stage revision arthroplasty. Intractable Rare Dis. Res. 2017, 6, 256–261. [Google Scholar] [CrossRef]
- Rogers, B.A.; Middleton, F.R.; Shearwood-Porter, N.; Kinch, S.; Roques, A.; Bradley, N.W.; Browne, M. Does cyclical loading affect the elution of antibiotics from articulating cement knee spacers? J. Bone Jt. Surg. Br. 2011, 93, 914–920. [Google Scholar] [CrossRef]
- Lachiewicz, P.F.; Wellman, S.S.; Peterson, J.R. Antibiotic Cement Spacers for Infected Total Knee Arthroplasties. J. Am. Acad. Orthop. Surg. 2020, 28, 180–188. [Google Scholar] [CrossRef] [PubMed]
- Hasandoost, L.; Rodriguez, O.; Alhalawani, A.; Zalzal, P.; Schemitsch, E.H.; Waldman, S.D.; Papini, M.; Towler, M.R. The Role of Poly(Methyl Methacrylate) in Management of Bone Loss and Infection in Revision Total Knee Arthroplasty: A Review. J. Funct. Biomater. 2020, 11, 25. [Google Scholar] [CrossRef] [PubMed]
- Kotwal, S.Y.; Farid, Y.R.; Patil, S.S.; Alden, K.J.; Finn, H.A. Intramedullary rod and cement static spacer construct in chronically infected total knee arthroplasty. J. Arthroplast. 2012, 27, 253–259. [Google Scholar] [CrossRef]
- Voleti, P.B.; Baldwin, K.D.; Lee, G.C. Use of static or articulating spacers for infection following total knee arthroplasty: A systematic literature review. J. Bone Jt. Surg. Am. 2013, 95, 1594–1599. [Google Scholar] [CrossRef]
- Antoci, V.; Phillips, M.J.; Antoci, V., Jr.; Krackow, K.A. Using an antibiotic-impregnated cement rod-spacer in the treatment of infected total knee arthroplasty. Am. J. Orthop. 2009, 38, 31–33. [Google Scholar] [PubMed]
- Jiranek, W.A.; Hanssen, A.D.; Greenwald, A.S. Antibiotic-loaded bone cement for infection prophylaxis in total joint replacement. J. Bone Jt. Surg. Am. 2006, 88, 2487–2500. [Google Scholar] [CrossRef]
- Kalore, N.V.; Gioe, T.J.; Singh, J.A. Diagnosis and management of infected total knee arthroplasty. Open Orthop. J. 2011, 5, 86–91. [Google Scholar] [CrossRef]
- Jacobs, C.; Christensen, C.P.; Berend, M.E. Static and mobile antibiotic-impregnated cement spacers for the management of prosthetic joint infection. J. Am. Acad. Orthop. Surg. 2009, 17, 356–368. [Google Scholar] [CrossRef]
- Golgelioglu, F.; Oguzkaya, S.; Misir, A.; Guney, A. The Effect of Time Spent with a Dynamic Spacer on Clinical and Functional Outcomes in Two-Stage Revision Knee Arthroplasty. Indian J. Orthop. 2020, 54, 824–830. [Google Scholar] [CrossRef]
- Vielgut, I.; Sadoghi, P.; Wolf, M.; Holzer, L.; Leithner, A.; Schwantzer, G.; Poolman, R.; Frankl, B.; Glehr, M. Two-stage revision of prosthetic hip joint infections using antibiotic-loaded cement spacers: When is the best time to perform the second stage? Int. Orthop. 2015, 39, 1731–1736. [Google Scholar] [CrossRef]
- Klinder, A.; Zaatreh, S.; Ellenrieder, M.; Redanz, S.; Podbielski, A.; Reichel, T.; Bösebeck, H.; Mittelmeier, W.; Bader, R. Antibiotics release from cement spacers used for two-stage treatment of implant-associated infections after total joint arthroplasty. J. Biomed. Mater. Res. B Appl. Biomater. 2019, 107, 1587–1597. [Google Scholar] [CrossRef] [PubMed]
- Tan, T.L.; Goswami, K.; Kheir, M.M.; Xu, C.; Wang, Q.; Parvizi, J. Surgical Treatment of Chronic Periprosthetic Joint Infection: Fate of Spacer Exchanges. J. Arthroplast. 2019, 34, 2085–2090. [Google Scholar] [CrossRef] [PubMed]
- Daines, B.K.; Dennis, D.A. Management of bone defects in revision total knee arthroplasty. J. Bone Jt. Surg. Am. 2012, 94, 1131–1139. [Google Scholar] [CrossRef] [PubMed]
- Pivec, R.; Naziri, Q.; Issa, K.; Banerjee, S.; Mont, M.A. Systematic review comparing static and articulating spacers used for revision of infected total knee arthroplasty. J. Arthroplast. 2014, 29, 553–557. [Google Scholar] [CrossRef]




| Article | Level of Evidence | Study Type | Patient N° (Spacer N°) | Mean Age (Year) | Mean Follow-Up (Months) | Mean Time of PJI Onset after Implant (Months) | Most Frequent Pathogens | Spacer Exchange: Repeated First Stage | Mean Time between First Stage and Second Stage (Months) | No Reimplantation (n°) | PJI Recurrence (n°) | Mean Time to Recurrence (Months) | Mean Duration of Antibiotic Therapy (Weeks) | Active Knee Flexion at Last Follow-Up (Degrees) | Functional Outcomes at Last Follow-Up: Score Type and Values | Peri-Operative Non-Infection Related-Complications (n°) |
|---|---|---|---|---|---|---|---|---|---|---|---|---|---|---|---|---|
| Akhtar et al., 2019 [21] | 3 | RCCS | 17 | 81.3 | 46 | N/A | N/A | 2 | 9 | N/A | 1 | N/A | N/A | N/A | N/A | 6 |
| Barrack et al., 2000 [22] | 3 | PCCS | 28 | 68.5 | 36 (range 24–60) | N/A | N/A | 0 | 0.9–1.4 | 2 | 2 (artrodesi) | N/A | N/A (range 4–7) | 89 | KSS: 115 | N/A |
| Brunnekreef et al., 2013 [23] | 3 | RCCS | 9 | 61 | 12 | 62.4 | N/A | 0 | 3.6 (range 1–10) | 0 | 0 | / | 6 | 73.8 | N/A | N/A |
| Chen et al., 2016 [24] | 3 | RCCS | 8 | 73.9 (range 63–82) | 40.8 | N/A | N/A | 0 | 5.1 (range 1.6–13.8) | 0 | 2 | 17.5 | 6 | 74.3 (range 50–90) | KSS: 71.4 (range 60–81) | 2 |
| Chiang et al., 2011 [25] | 3 | PCCS | 22 | 72 (range 67–80) | N/A | N/A | N/A | 1 | 3.1 (range 2–4) | 1 | 2 | N/A | 11.7 | 85 (range 70–100) | HSS: 82 (range 81–88) | 7 |
| Choi et al., 2012 [26] | 3 | RCCS | 14 | N/A | N/A | N/A | N/A | 0 | 6 | 4 | 7 | N/A | 6 | 97 (range 75–130) | N/A | 11 |
| Emerson et al., 2002 [27] | 3 | RCCS | 26 | 65.7 | 90 (range 33.6–152.4) | N/A | N/A | 0 | N/A (range 6–12) | 0 | 8 | N/A | 6 | 93.7 | N/A | N/A |
| Faschingbauer et al., 2016 [28] | 4 | RCS | 133 | 70.1 ± 9.9 | N/A | N/A | N/A | 0 | 2.8 | 32 | 16 | N/A | 6 | N/A | N/A | 20 |
| Fehring et al., 2000 [29] | 3 | RCCS | 25 | N/A | 36 (range 24–72) | N/A | N/A | 0 | N/A | 0 | 3 | N/A | 6 | 98 ± 17 (range 50–120) | HSS: 83 ± 17 (range 37–98) | 2 |
| Freeman et al., 2007 [30] | 3 | RCCS | 28 | 71.2 | 86.6 (range 24–196.3) | N/A | N/A | 0 | N/A | 0 | 3 | N/A | 6 | N/A | KSS: 45 (range 35–80) | N/A |
| Ghanem et al., 2016 [31] | 3 | RCCS | 5 | N/A | N/A | N/A | N/A | N/A | N/A | 0 | 3 | N/A | range 4–6 | N/A | N/A | N/A |
| Haleem et al., 2004 [32] | 4 | RCS | 96 | 69 (range 37–89) | 86.4 (range 30.0–158.4) | 26.2 (range 0.5–177) | 26.0% MSSA; 14.6% MRSA | N/A | 1.4 (range 0.2–80.4) | 0 | 9 | 12 (range 1.2–117.6) | 5.3 (range 1–24) | 90 (range 30–120) | KSS: 89 (range 35–97) | 6 |
| Hipfl et al., 2019 [33] | 4 | RCS | 97 | 70 (range 30–88) | 41 (range 27–56) | N/A | 42% CoNS; 22% P. acnes | 9 | 2.1 (range 1.4–5.5) | 0 | 15 | 10 (range 1–26) | 9 (range 6–24) | N/A | N/A | 10 |
| Hsu et al., 2007 [34] | 3 | RCCS | 7 | N/A | 101 (range 63–120) | N/A | N/A | 0 | 2.7 (range 1.8–3.5) | 0 | 1 | 21 | 9.7 (range 6–12) | 78 (range 60–100) | KSS: 81.4 | N/A |
| Hsu et al., 2008 [35] | 4 | RCS | 32 | 66 (range 50–78) | 68.3 (range 8–197) | N/A | 15.6% S. epidermidis; 12.5% MSSA | 0 | 7.4 (range 2.3–29.7) | 4 | 4 | N/A (range: 2.5–7) | range 6–8 | 88 ± 19 (range 30–120) | KSS: 82 ± 14 (range 33–99) | 22 |
| Husted et al., 2002 [36] | 4 | RCS | 17 | 72.2 (range 60–78) | 25.7 (range 5–62) | 17.2 (range 1–133) | 41.2% S. aureus; 41.2% S. epidermidis | 0 | N/A | 2 | 2 | N/A | 5.4 | 99.3 (range 70–130) | N/A | N/A |
| Ippolito et al., 2021 [37] | 4 | RCS | 21 | 52.4 ± 20.6 | 123.6 ± 76.8 (range 20.4–291.6) | 57.4 (range 3–246) | 24% CoNS; 19% S. aureus | 0 | N/A | 1 | 7 | N/A | 12 | 100 ± 17 | N/A | 18 |
| Johnson et al., 2012 [38] | 3 | RCCS | 81 | 61 (range 58–64) | 66 (range 12–121) | N/A | N/A | N/A | 3.5 (range 2.7–4.3) | N/A | 14 | N/A | N/A | 95 (range 30–130) | KSS: 84 (range 48–100) | 0 |
| Kong et al., 2021 [39] | 3 | RCCS | 22 | 67.2 ± 10.1 | 43 (range 30–61) | N/A | N/A | 1 | 3 (range 1.8–5.5) | 0 | 1 | N/A | N/A | 80 (range 70–110) | KSS: 60 ± 6.3 | 0 |
| Lichstein et al., 2016 [40] | 4 | RCS | 109 | 67 (range 42–89) | 44.4 (range 24.0–117.6) | N/A | 51% Staphylococcus spp.; 19% Streptococcus spp. | 0 | N/A | N/A | 7 | N/A | 11 (range 5–20) | 100 (range 60–139) | KSS: 86 (range 65–98) | N/A |
| Lo Presti et al., 2021 [41] | 4 | RCS | 12 | 64 (range 39–85) | 34.3 (range 10–62) | N/A | 25% MRSA; 16.7% E. faecalis | 4 | N/A | 8 | 2 | N/A | N/A (range 6–8) | N/A | N/A | 0 |
| Ma et al., 2020 [42] | 3 | RCCS | 66 | 70.3 ± 11.0 (range 19–86) | 75.3 ± 30.6 (range 24–133) | N/A | N/A | 6 | 4 | 2 | 0 | / | SHC: 0.7 STC: 14.7 | N/A | N/A | 5 |
| Nahhas et al., 2020 [43] | 1 | RCT | 24 | 64.9 ± 8.4 | 42 ± 14.4 | N/A | N/A | 2 | 2.4 ± 0.7 (range 2.1–2.6) | 2 | 2 | N/A | 6 | 103 ± 12.7 (range 97.6–108.3) | KSS: 69.8 ± 14.1 (range 63.6–73.1) | 13 |
| Park et al., 2010 [44] | 3 | RCCS | 20 | 66.5 (range 48–84) | 36 (range 24–62) | N/A | 30% MRSA; 20% MSSA | N/A | N/A | N/A | 3 | N/A | 6 | 92 (range 65–140) | HSS: 80 (range 74–97) | N/A |
| Petis et al., 2019 [45] | 4 | RCS | 240 | N/A | N/A | N/A | N/A | N/A | N/A | N/A | N/A | N/A | N/A | N/A | N/A | N/A |
| Preobrazhensky et al., 2019 [46] | 3 | RCCS | 25 | N/A | 12 | N/A | N/A | 0 | N/A | 0 | 0 | / | N/A (range 6–8) | N/A | N/A | N/A |
| Rossi et al., 2021 [47] | 3 | RCCS | 13 | N/A | 18 | N/A | N/A | 0 | N/A | 0 | 0 | / | N/A | 100.8 ± 28 | KSS: 76.9 ± 12 | 1 |
| Schneider et al., 2022 [48] | 3 | RCCS | 47 | 63 (range 9–36) | N/A | N/A | N/A | N/A | N/A | 2 | 10 | N/A | N/A | 90.5 | N/A | 6 |
| Silvestre et al., 2013 [49] | 4 | RCS | 43 (45) | 72 (63–81) | 86 (range 60–132) | N/A | 17.8% Staphylococcus spp.; 15.6% MRSA | N/A | 4.4 | 2 | 2 | N/A | 6 | 92 (range 50–115) | KSS: 83 (range 43–95) | 7 |
| Skwara et al., 2016 [50] | 3 | RCCS | 21 | N/A | 8.5 | N/A | N/A | N/A | N/A | N/A | 2 | N/A | N/A | 79 ± 26 | N/A | 1 |
| Springer et al., 2004 [51] | 4 | RCS | 34 | 66.5 (range 48–84) | N/A | N/A | 61.7% CoNS; 17.6% S. aureus | N/A | N/A | 1 | 3 | N/A | 6 | N/A | N/A | N/A |
| Vasarhelyi et al., 2022 [52] | 3 | RCCS | 76 | 69.4 ± 10.0 | 228 ± 75.6 | 51,4 (range 3–120) | N/A | 4 | 3 | N/A | 10 | N/A | 6 | 82.1 ± 25.4 | KSS: 72 ± 23.3 | 9 |
| Vielgut et al., 2021 [53] | 4 | RCS | 77 | 64.9 (range 31.3–82.4) | 24.5 (range 6–107) | 23.6 (range 6–336) | N/A | 17 | 3.2 (range 1.8–7.3) | 2 | 14 | 19.5 (range 0–63.9) | N/A (range 6–8) | N/A | N/A | N/A |
| Zamora et al., 2020 [54] | 3 | RCCS | 14 | N/A | N/A | N/A | N/A | 1 | N/A | 2 | 2 | N/A | N/A | N/A | N/A | N/A |
| Article | Level of Evidence | Study Type | Spacer Details | Patient N° (Spacer N°) | Mean Age (Year) | Mean Follow-Up (Months) | Mean Time to PJI Onset after Implant (Months) | Most Frequent Pathogens | Spacer Exchange: Repeated First Stage | Mean Time between First Stage and Second Stage (Months) | No Reimplantation (n°) | PJI Recurrence (n°) | Mean Time to Recurrence (Months) | Mean Duration of Antibiotic Therapy (Weeks) | Active Knee Flexion at Last Follow-Up (Degrees) | Functional Outcomes at Last Follow-Up: Score Type and Values | Peri-Operative Non-Infection-Related-Complications (N°) |
|---|---|---|---|---|---|---|---|---|---|---|---|---|---|---|---|---|---|
| Ahmad et al., 2013 [55] | 3 | PCCS | C/C | 75 | 67.5 (range 57–85) | 51.6 (range 24–84) | N/A | 27.9% S. aureus; 25.6% CoNS; 11.6% | 0 | N/A (range 0.7–5) | 1 | 7 | 42 | N/A (range 4–12) | 115 (range 90–125) | KSS: 89.5 (range 74–95) | N/A |
| Akhtar et al., 2019 [21] | 3 | RCCS | C/C | 13 | 69 | 32.9 | N/A | N/A | 2 | 9.6 | N/A | 2 | N/A | N/A | N/A | N/A | 10 |
| Pedestal C/C | 14 | 73.4 | 52.5 | 1 | 7.7 | 1 | 2 | ||||||||||
| Babis et al., 2008 [56] | 4 | PCS | C/C | 24 | 71 (range 58–84) | 72 (range 24–120) | N/A | 58.3% S. aureus; 42.9% S. epidermidis | 0 | 1.4 | 0 | 0 | / | 6 | 100 | N/A | 1 |
| Boelch et al., 2021 [57] | 4 | RCS | C/C | 60 | 67.8 (range 46–85) | 35.6 (range 1–135) | 53.5 (range 2–239) | N/A | 8 | N/A | 4 | 12 | N/A | 6 | N/A | N/A | N/A |
| Brunnekreef et al., 2013 [23] | 3 | RCCS | M/P | 26 | 58 | 12 | 56.4 | N/A | 0 | 4.4 | 0 | 0 | N/A | 6 | 96.4 | N/A | N/A |
| Buyuk et al., 2017 [58] | 4 | PCS | C/C | 25 | 70 ± 9.7 (range 52–88) | 39.8 ± 12.5 (range 22–73) | N/A | 36% MRSE; 12% MSSE | 2 | 3.8 ± 1.4 (range 2–6) | 0 | 1 | N/A | 9.3 ± 3.4 | N/A | KSS: 77 (range 32–96) | 3 |
| Carulli et al., 2013 [59] | 4 | PCS | M/P | 9 | 66.5 (range 59–71) | 55.2 (range 48–84) | 15.5 (range 5–32) | 67% S. aureus; 33% S. epidermidis | 0 | 1.9 (range 1.6–2.3) | 0 | 0 | / | 4.2 (range 3–7) | 110 (range 105–125) | KSS: 86.4 (range 74–97) | 0 |
| Castelli et al., 2014 [60] | 4 | PCS | C/C | 50 | 68 (range 54–80) | 84 (range 24–156) | N/A | 46% CoNS; 11% MSSA | 0 | 3.7 (range 0.9–13.8) | 0 | 4 | 12.8 | 6 | 94 | KSS: 75.38 | 0 |
| Chen et al., 2016 [24] | 3 | RCCS | M/P (autoclaved) | 10 | 68.9 (range 20–88) | 32 (range 24–46) | N/A | N/A | 0 | 4.4 (range 2 –9.7) | 0 | 2 | 13 (range 11–15) | 6 | 94.5 (range 70–125) | KSS: 74.7 (range 62–88) | 3 |
| Chiang et al., 2011 [25] | 3 | PCCS | C/C | 23 | 71 (range 65–78) | N/A | N/A | N/A | 0 | 3.4 (range 2.5–5) | 0 | 1 | 11.2 | 113 (range 95–125) | HSS: 90 (range 86–94) | 0 | |
| DeBoer et al., 2020 [15] | 3 | RCCS | C/C | 77 | 63 (range 42–83) | N/A (range: 12–120) | N/A | N/A | 0 | 4.4 (range 1.8–18.9) | 2 | 14 | N/A | 6 | N/A | N/A | N/A |
| Durbhakula et al., 2004 [61] | 4 | RCS | C/C | 24 | 72 (range 44–94) | 33 (range 28–51) | N/A | 37.5% S. epidermidis; 25% S. aureus | 0 | 2.8 (range 2.3–4.4) | 2 | 0 | / | 6 | 104 (range 89–122) | HSS: 82 (range 63–96) | 2 |
| Evans 2004 [62] | 4 | RCS | C/C | 31 | 64 | >24 | N/A | 29% MRSA; 25.8% MSSA | 0 | 2.4 | 2 | 3 | 21.3 | 6 | 111 (range 0–130) | N/A | 1 |
| Fehring et al., 2000 [29] | 3 | RCCS | C/C | 30 | N/A | 27 (range 24–36) | N/A | N/A | 0 | N/A | 1 | 1 | N/A | 6 | 105 ± 12 (range 90–126) | HSS: 84 ± 13 (range 45–95) | 2 |
| Fei et al., 2022 [63] | 3 | RCCS | C/C | 23 | 67.6 ± 9.4 (range 52–81) | 46.6 ± 25.4 (range 14.4–91.3) | N/A | 30.4% S. epidermidis; 17.4% S. aureus | 0 | 3.6 ± 2 (range 2.2–10.9) | 4 | 0 | / | 6 | 77.4 ± 9.2 (range 60–90) | KSS: 84.1 ± 5.6 (range 73–93) | 0 |
| M/P (autoclaved) | 24 | 67.8 ± 9.5 (range 37–80) | 50.5 ± 28.8 (range 19.1–134.5) | 33.3% S. epidermidis; 12.5% S. aureus | 1 | 6.4 ± 4.6 (range 2.2–20.1) | 0 | / | 85 ± 11.1 (range 60–100) | KSS: 83.4 ± 10 (range 52–93) | 1 | ||||||
| Freeman et al., 2007 [30] | 3 | RCCS | C/C | 48 | 64.9 | 62.2 (range 25.7–119.6) | N/A | N/A | 0 | N/A | 0 | 4 | N/A | 6 | N/A | KSS: 70 (range 39.5–90) | N/A |
| Garg et al., 2011 [64] | 4 | RCS | C/C | 36 | 62 (range 50–76) | 62.4 | 10 (range 7–16) | N/A | 0 | 18 (range 6–42) | 7 | 0 | / | N/A (range 10–12) | 75.6 | N/A | 2 |
| Ghanem et al., 2016 [31] | 3 | RCCS | C/C | 30 | N/A | N/A | N/A | N/A | N/A | N/A | 2 | 8 | N/A | N/A (range 4–6) | N/A | N/A | N/A |
| Ghanem et al., 2018 [65] | 4 | RCS | C/C | 16 | 72.0 ± 8.3 | 22.5 ± 16.6 | N/A | 37.5% S. aureus; 31.2% S. epidermidis | 0 | 6.2 ± 5.2 | 0 | 4 | N/A | N/A (range 4–6) | 103.3 ± 17.1 | N/A | 0 |
| Gooding et al., 2011 [66] | 4 | RCS | M/P | 115 | 68 (range 35–86) | 108 (range 60–144) | N/A | 32.2% S. epidermidis; 31.3% S. aureus | 2 | 3.9 (range 1.2–28.3) | 2 | 14 | N/A | > 5 | 93.2 (range 30–140) | N/A | 50 |
| Ha 2006 [67] | 4 | RCS | C/C | 12 | 65.7 (range 54–73) | N/A (range: 24–42) | N/A | 25% MRSA; 16.7% MSSA | 0 | 2.1 (range 0.9–3.7) | 0 | 0 | / | N/A | 102 (range 75–140) | KSS: 87 | 8 |
| Haddad et al., 2000 [68] | 4 | RCS | M/P | 45 | 69 (range 26–83) | 48 (range 20–112) | N/A | 40% S. epidermidis; 20% S. aureus | N/A | 3.6 (range 0.8–22.3) | 1 | 4 | N/A | N/A | 94.5 (range 20–135) | HSS: 71.5 (range 32–96) | 12 |
| Hammerich et al., 2021 [69] | 4 | RCS | Reverse C/C (convex tibia + concave femur) | 110 | 67.2 (range 43–89) | N/A | 41.0 ± 3.4 (range 1–240) | N/A | 3 | 1.8 | 0 | 0 | / | N/A | N/A | N/A | 0 |
| Hart et al., 2006 [70] | 4 | RCS | C/C | 48 | 68.2 (range 37.2–81.3) | 48.5 (range 26–85) | 39.6 (range 5–72) | 62.5% CoNS; 10.4% S. aureus | 0 | 4.3 (range 1.4–15) | 2 | 6 | N/A | 2 | 92 (range 30–120) | N/A | N/A |
| Hoshino et al., 2021 [71] | 4 | PCS | C/C | 7 | 77 | 54 ± 28 (range 11–90) | 28 ± 16 (range 10–53) | N/A | 0 | 6 ± 3 (range 3–12) | 0 | 0 | / | 3 | 99 ± 22 | KSS: 84 ± 10 | 0 |
| Hsu et al., 2007 [34] | 3 | RCCS | C/C | 21 | N/A | 58 (range 27–96) | N/A | N/A | 0 | 3.2 (range 1.4–5.5) | 0 | 2 | 17.3 | 8.4 (range 6–12) | 95 (range 80–120) | KSS: 88.9 | N/A |
| Incavo et al., 2009 [72] | 4 | RCS | C/C | 11 | 61.1 (range 32–83) | N/A | 37 (range 4–108) | 45.5% S. aureus | 0 | N/A (range 1.4–5.5) | 0 | 0 | / | N/A (range 4–6) | N/A | N/A | 2 |
| Jia et al., 2012 [73] | 4 | RCS | C/C | 21 | 64.4 | 32.2 (range 17–54) | 12.9 (range 8–26) | 42.9% S. epidermidis; 19% S. aureus | 1 | 2.7 (range 1.4–7.4) | 0 | 0 | / | 4.9 (range 2–8) | 94.3 | KSS: 82.1 | 16 |
| Johnson et al., 2012 [38] | 3 | RCCS | C/C or M/C | 34 | 62 (range 59–65) | 27 (range 12–72) | N/A | N/A | N/A | 3.1 (range 2.4–3.7) | N/A | 6 | N/A | N/A | 99 (range 60–120) | KSS: 83 (range 48–99) | 4 |
| Jung et al., 2022 [74] | 3 | RCCS | C/C | 12 | 74.5 (range 63–85) | N/A | N/A | 25% MSSA; 16.7% E. coli | 0 | 1.9 (range 1.4–2.9) | 0 | 0 | / | N/A | N/A | N/A | 0 |
| Spiked C/C | 15 | 73.5 (range 60–81) | 26.7% MSSA; 20% E. coli | 1 | 0 | 0 | / | 1 | |||||||||
| Kalore et al., 2012 [75] | 3 | RCCS | M/P (autoclaved) | 15 | 67.3 | 73 (range 37–105) | 38.5 | 37.7% MSSA; 17% MRSA | 1 | 4.9 | 2 | 2 | N/A | > 6 | 95.7 | N/A | 1 |
| M/P (new) | 16 | 63.6 | 19 (range 12–32) | 31.9 | 1 | 2.7 | 1 | 1 | 98.3 | 0 | |||||||
| C/C | 22 | 61.1 | 32 (range 14–56) | 41.9 | 0 | 5.8 | 0 | 2 | 93.8 | 0 | |||||||
| Kong et al., 2021 [39] | 3 | RCCS | C/C | 20 | 65.5 ± 11.4 | 18 (range 8–28) | N/A | N/A | 1 | 2.9 (range 2.1–5.1) | 0 | 1 | N/A | N/A | 94 (range 80–115) | KSS: 75 ± 11.5 | 4 |
| Kohl et al., 2011 [76] | 4 | PCS | C/C | 16 | 73.1 (range 54–89) | > 24 | N/A | 43.8% CoNS; 12.5% S. aureus | 0 | 3.5 (range 3–5) | 0 | 0 | / | N/A | 114 (range 90–125) | KSS: 89.5 (range 78–95) | N/A |
| Lin et al., 2021 [77] | 3 | RCCS | C/C | CR: 66 | 64.4 (range 57–84) | 58.3 (range 31–82) | N/A | 31.9% Staphylococcus spp.; 21.3% Streptococcus spp. | 5 | 3.5 (range 2.5–6.4) | 4 | 8 | N/A | > 4 | N/A | N/A | 37 |
| C/C | PS: 75 | 67.9 (range 58–87) | 56.7 (range 35–81) | 10 | 3.4 (range 2.3–6.0) | 3 | 8 | ||||||||||
| Lu et al., 2018 [78] | 4 | RCS | C/P | 11 | 69.9 (range 59–80) | 24 (range 12–48) | N/A | 63.6% S. aureus; 27.2% S. epidermidis | 0 | N/A | 0 | 0 | / | 6 | 93.2 (range 80–105) | KSS: 84.9 (range 80–92) | 0 |
| MacAvoy et al., 2005 [79] | 4 | RCS | C/C | 13 | 58 (range 36–71) | 28 (range 15–44) | N/A | 38.5% S. epidermidis; 30.8% S. aureus | 0 | N/A | 2 | 4 | / | 6 | 98 (range 45–135) | N/A | 5 |
| Macheras et al., 2011 [80] | 4 | RCS | C/C | 34 | 64 (range 45–73) | 145.2 (range 120–168) | N/A | 41.1% S. aureus; 20.6% S. epidermidis | 0 | N/A | 1 | 3 | N/A | 6 | 105 (range 95–120) | KSS: 76 ± 18 (range 58–94) | 1 |
| Marothi et al., 2016 [81] | 4 | RCS | C/C | 28 | 70 (range 56–79) | 4 | N/A | N/A | 0 | N/A (range 1.4–1.8) | 0 | 0 | / | 6 | N/A | N/A | 2 |
| Mutimer et al., 2009 [82] | 4 | RCS | C/C | 12 | 71 | 10 | N/A | N/A | 0 | 3.3 (range 2.4–9.0) | 0 | 0 | / | 6 | N/A | N/A | 0 |
| Nahhas et al., 2020 [43] | 1 | RCT | C/C | 25 | 65.7 ± 8.9 | 42 ± 16.8 | N/A | N/A | 1 | 2.5 ± 1.2 (range 2.0–3.0) | 1 | 1 | N/A | 6 | 114.0 ± 10.5 (range 109.7–118.3) | KSS: 79.4 ± 17.1 (range 72.4–86.3) | 8 |
| Nodzo et al., 2017 [16] | 3 | RCCS | Preformed C/C | 58 | 65.3 ± 8.6 | 74.9 ± 35.1 | N/A | N/A | N/A | 2.5 (range 1.8–3.3) | N/A | 10 | N/A | 6 | N/A | N/A | N/A |
| Molded C/C | 43 | 66 ± 11.0 | 43.7 ± 16.7 | 2.3 (range 1.8–3.2) | 5 | ||||||||||||
| M/P (autoclaved) | 39 | 67.8 ± 10.2 | 52.4 ± 21.9 | 2.7 (range 2.2–3.5) | 8 | ||||||||||||
| Ocguder et al., 2010 [83] | 4 | RCS | C/C | 17 | 63 (range 54–75) | 20 (range 13–38) | 7.7 (range 3–12) | 29.4% Staphylococcus spp.; 23.5% S. epidermidis | 0 | 4.2 | 1 | 2 | 12 | 6.8 (range 6–10) | 85 | KSS: 86 (range 40–97) | 6 |
| Ortola et al., 2017 [84] | 4 | RCS | C/C | 112 | 56.2 ± 16.9 | 32.9 ± 12 | 36.8 ± 63.6 | 25.9%, S. aureus; 22.3% S. epidermidis | 7 | 2.1 ± 0.4 | 15 | 3 | N/A | N/A | N/A | N/A | N/A |
| Park et al., 2010 [44] | 3 | RCCS | C/C | 16 | 60.2 (range 47–72) | 29 (range 25–45) | N/A | 25% MSSA; 25% C. Albicans | N/A | N/A | N/A | 1 | N/A | 6 | 108 (range 85–140) | HSS: 87 (range 76–95) | N/A |
| Pascale et al., 2007 [85] | 4 | RCS | C/C | 14 | 68 (range 60–76) | N/A | 27.6 (range 12–36) | 71.4% S. epidermidis | 0 | 2.3 | 0 | 0 | / | 9 (range 6–9) | 120 (range 97–130) | N/A | 0 |
| Pitto et al., 2005 [86] | 4 | RCS | C/C | 21 | 67 (range 58–89) | 24 (range 12–43) | N/A | 57.1% Streptococcu spp.; 14.2% S. aureus | 1 | 3 | 2 | 1 | N/A | 6 | 94 | KSS: 81 (range 30–92) | 0 |
| Preobrazhensky et al., 2019 [46] | 3 | RCCS | M/P (autoclaved) | 67 | N/A | 12 | N/A | N/A | 1 | N/A | 0 | 1 | N/A | N/A (range 6–8) | N/A | N/A | N/A |
| Radoicic et al., 2016 [87] | 4 | RCS | C/C | 18 | 66.6 | N/A | N/A | Multi–bacterial | 3 | N/A | 5 | 2 | N/A | N/A | N/A | N/A | N/A |
| Roof et al., 2021 [88] | 3 | RCCS | C/C or M/P (new) | 72 | 63.4 ± 11.7 | 24 | N/A | N/A | 6 | N/A | 5 | 8 | N/A | N/A | 93.7 ± 28 | N/A | 1 |
| Rossi et al., 2021 [47] | 3 | RCCS | C/C or M/P (autoclaved) | 27 | N/A | 18 | N/A | N/A | 1 | N/A | 0 | 1 | N/A | N/A | 114.8 ± 28 | KSS: 80.8 ±10 | 1 |
| Sakellariou et al., 2015 [89] | 4 | PCS | C/C | 46 | 65.3 (range 32–84) | 36 (range 8–60) | 33.6 (range 4–84) | 39.1% S. aureus; 26.1% Streptococcus spp. | 0 | N/A | 0 | 6 | N/A | N/A | N/A | N/A | 3 |
| Schneider et al., 2022 [48] | 3 | RCCS | M/P (new) | 30 | 65.6 (range 11.4) | N/A | N/A | N/A | N/A | N/A | 2 | 6 | N/A | N/A | 99.3 | N/A | 5 |
| C/C | 19 | 64.6 (range 11.7) | N/A | N/A | N/A | N/A | N/A | 2 | 6 | N/A | N/A | 77.2 | N/A | 5 | |||
| Seo et al., 2020 [90] | 4 | RCS | C/C | 14 | 70.2 ± 6.3 | 44.9 ± 6.5 | N/A | 21.4% Streptococcus spp.; 21.4% S. aureus | 0 | N/A | 0 | 0 | / | N/A | 92.9 | N/A | 0 |
| Shaikh et al., 2014 [91] | 4 | RCS | C/C | 13 | 65 | 48 | N/A (range 0.5–18) | 15.4% MRSA; 15.4% C. Albicans | 1 | 5.6 (range 2–29) | 0 | 0 | / | > 2 | 115 (range 75–150) | KSS: 83 | 0 |
| Shen et al., 2010 [92] | 4 | RCS | C/C | 17 | 67 (range 52–76) | 31 (range 18–47) | N/A | 23.5% Streptococcus spp.; 23.5% S. aureus | N/A | 7.8 | 7 | 1 | N/A | > 6 | 95.4 (range 90–105) | HSS: 83.6 | 10 |
| Siebel et al., 2002 [93] | 4 | RCS | C/C | 10 | 66.1 | 18.1 | N/A | 20% S. epidermidis; 10% S. aureus | 0 | 1.9 (range 1.4–2.8) | 0 | 0 | / | N/A | 86.5 | HSS 63.8 | 0 |
| Skwara et al., 2016 [50] | 3 | RCCS | C/C | 16 | N/A | 8.5 | N/A | N/A | N/A | N/A | N/A | 1 | N/A | N/A | 102 ± 8.4 | N/A | 0 |
| Struelens et al., 2013 [94] | 4 | RCS | C/C | 154 (155) | 66 ± 11 | N/A | N/A | N/A | N/A | 1.8 ± 0.79 | N/A | N/A | N/A | N/A | N/A | N/A | 82 |
| Su et al., 2009 [95] | 4 | RCS | C/C | 15 | 72 (range 65–79) | 47.5 (range 37–61) | N/A | 60% MRSA; 10% CoNS | 0 | 3 | 2 | 1 | N/A | N/A | 110 (range 95–120) | HSS: 90.5 (range 82–92) | 1 |
| Thabe et al., 2007 [96] | 4 | RCS | C/C | 20 | 72.3 (range 48–83) | 73.2 | N/A | N/A | 0 | 0.9 | 0 | 0 | / | N/A | 106 | N/A | 0 |
| Tian et al., 2018 [97] | 4 | RCS | C/C | 25 | 64.9 (range 56–83) | 64.2 (range 52–89) | N/A | 20% MRSE; 16% MSSE | 0 | 2.6 (range 1.4–7.3) | 0 | 0 | / | N/A | 94 (range 90–98) | KSS: 83 (range 80–88) | 8 |
| Tigani et al., 2013 [98] | 4 | PCS | C/C | 37 (38) | 68 (range 36–86) | 65 (range 24–139) | N/A | 31.6% MSSE; 15.8% MRSE | 5 | 2.4 (range 1.6–6.9) | 2 | 9 | N/A | 6 | 101 (range 80–115) | N/A | 1 |
| Tsai et al., 2019 [99] | 4 | RCS | C/C | 32 | 73.3 (range 58–93) | 36.9 (range 30.1–45) | N/A | 21.9%, MSSA; 15.6% Enterococcus spp. | 3 | 8.8 (range 4–12.5) | 1 | 4 | N/A | > 4 | 102 (range 80–122) | HSS ± 84.2 (range 78–90) | 2 |
| Van Thiel et al., 2011 [100] | 4 | RCS | C/C | 60 | 66 (range 42–91) | 35 (range 24–51) | N/A | 20% MRSA; 20% MSSA | 1 | 2.7 | 1 | 7 | 16.3 (range 2–30) | N/A | 101.3 ± 18 | KSS: 78.6 ± 17.8 | 1 |
| Vasarhelyi et al., 2022 [52] | 3 | RCCS | C/C | 104 | 68.6 ± 10.6 | 120 ± 49.2 | 43.8 (range 3–168) | N/A | 7 | 3 | N/A | 17 | N/A | 6 | 110.6 ± 13.5 | KSS: 86.8 ± 13.6 | 4 |
| Vasso et al., 2016 [101] | 4 | RCS | C/C | 46 | 69 (range 58–84) | 144 (range 72–192) | N/A | 37% MSSA; 28.3% CoNS | 2 | 2.5 (range 2.3–3.1) | N/A | 0 | / | 8 | 115 (range 100–128) | N/A | 0 |
| Vecchini et al., 2017 [102] | 4 | PCS | C/C | 19 (20) | 65.4 (range 30–82) | 74.1 (range 10–112) | N/A | 60% MSSA; 20% MRSA | 0 | 9.1 (range 3–27) | 1 | 0 | / | 3.6 (range 2–5) | N/A | N/A | 4 |
| Villanueva-Martinez et al., 2008 [103] | 4 | RCS | C/C | 30 | 71 (range 64–82) | 36 (range 24–60) | 18 (range 1–144) | 40% CoNS; 30% MSSA | 1 | 3.5 | 1 | N/A | N/A | N/A | 107 (range 90–120) | N/A | 6 |
| Wan et al., 2012 [104] | 4 | RCS | C/C | 33 | 70 ± 11 | 44 (range 24–62) | 41 (range 1–192) | 24.2% MSSA; 24.2% CoNS | 8 | 3.2 (range 1.84–7.31) | 2 | 3 | N/A | 6 | N/A | N/A | N/A |
| Yi et al., 2015 [105] | 4 | RCS | C/C | 17 | 63.7 (range 43–74) | 45.6 (range 24–96) | N/A | 23.5% S. epidermidis; 11.8% MSSA | 1 | 3.9 (range 2.3–6.2) | 1 | 1 | N/A | 4 | 105.9 (range 90–125) | HSS: 83.9 (range 77–91) | N/A |
| Zamora et al., 2020 [54] | 3 | RCCS | M/P (new) | 3 | N/A | N/A | N/A | N/A | 1 | N/A | N/A | 0 | / | N/A | N/A | N/A | N/A |
| Static | Spacers with Data Available (n) | Articulated | Spacers with Data Available (n) | p-Value | |
|---|---|---|---|---|---|
Study series (n)
| 34 1 2 19 0 12 | - | 71 1 2 23 9 36 | - | 0.111 |
| Spacers (n) | 1511 | - | 2739 | - | - |
| Mean age (years) | 67 ± 5.6 | 1147 | 66.4 ± 3.5 | 2545 | 0.532 |
| Mean follow-up (months) | 68 ± 52.3 | 1002 | 53.5 ± 32.9 | 2163 | 0.117 |
| Most frequent bacterial population | S. aureus CoNS S. epidermidis | 347 | S. aureus S. epidermidis CoNS | 1303 | - |
| Mean time to PJI (months) | 34.8 ± 14.3 | 296 | 36.8 ± 11.9 | 737 | 0.735 |
| Mean time between first and second stage (months) | 3.1 ± 1.1 | 854 | 3.6 ± 2.3 | 2071 | 0.480 |
| Mean duration of antibiotic therapy (weeks) | 7.2 ± 1.9 | 870 | 6.1 ± 1 | 1170 | 0.007 |
| Repeated first stage/spacer exchange (n) | 47 (5.4%) | 922 | 89 (4%) | 2237 | 0.159 |
| No reimplantation (n) | 67 (7.1%) | 947 | 94 (4.3%) | 2198 | 0.001 * |
| PJI recurrence (n) | 157 (12.4%) | 1271 | 230 (9%) | 2554 | 0.001 * |
| Mean time to PJI recurrence (months) | 13.7 ± 3.9 | 285 | 23.2 ± 12.1 | 737 | 0.125 |
| Mean active knee flexion at last FU | 91.6 ± 7 | 763 | 100.3 ± 9.9 | 1549 | <0.001 * |
| Mean KSS score at last FU | 81.1 ± 13.1 | 569 | 81.9 ± 5.5 | 732 | 0.792 |
| Mean HSS score at last FU | 81.8 ± 0.7 | 67 | 81.7 ± 7 | 229 | 0.981 |
| Peri-operative non-infection-related local complications (nn) | 146 (16.7%) | 872 | 318 (16.5%) | 1932 | 0.852 |
| Non-infection-related complications requiring revision surgery (n) | 24 (2.9%) | 820 | 58 (3.1%) | 1876 | 0.819 |
| Static | Articulated | Total | Spacers with Data Available (n) | ||||
|---|---|---|---|---|---|---|---|
| Rho | p-Value | Rho | p-Value | Rho | p-Value | ||
| PJI recurrence (n) | 0.040 | 0.876 | 0.274 | 0.040 * | 0.202 | 0.082 | 2786 |
| Mean time to PJI recurrence | 0.5 | 0.391 | −0.772 | 0.072 | 0.092 | 0.789 | 474 |
| Mean active knee flexion at last FU | −0.080 | 0.595 | −0.361 | 0.019 * | −0.257 | 0.050 * | 1656 |
| Mean KSS score at last FU | −0.267 | 0.455 | −0.073 | 0.759 | −0.147 | 0.438 | 956 |
Publisher’s Note: MDPI stays neutral with regard to jurisdictional claims in published maps and institutional affiliations. |
© 2022 by the authors. Licensee MDPI, Basel, Switzerland. This article is an open access article distributed under the terms and conditions of the Creative Commons Attribution (CC BY) license (https://creativecommons.org/licenses/by/4.0/).
Share and Cite
Fiore, M.; Sambri, A.; Filippini, M.; Morante, L.; Giannini, C.; Paolucci, A.; Rondinella, C.; Zunarelli, R.; Viale, P.; De Paolis, M. Are Static Spacers Superior to Articulated Spacers in the Staged Treatment of Infected Primary Knee Arthroplasty? A Systematic Review and Meta-Analysis. J. Clin. Med. 2022, 11, 4854. https://doi.org/10.3390/jcm11164854
Fiore M, Sambri A, Filippini M, Morante L, Giannini C, Paolucci A, Rondinella C, Zunarelli R, Viale P, De Paolis M. Are Static Spacers Superior to Articulated Spacers in the Staged Treatment of Infected Primary Knee Arthroplasty? A Systematic Review and Meta-Analysis. Journal of Clinical Medicine. 2022; 11(16):4854. https://doi.org/10.3390/jcm11164854
Chicago/Turabian StyleFiore, Michele, Andrea Sambri, Matteo Filippini, Lorenzo Morante, Claudio Giannini, Azzurra Paolucci, Claudia Rondinella, Renato Zunarelli, Pierluigi Viale, and Massimiliano De Paolis. 2022. "Are Static Spacers Superior to Articulated Spacers in the Staged Treatment of Infected Primary Knee Arthroplasty? A Systematic Review and Meta-Analysis" Journal of Clinical Medicine 11, no. 16: 4854. https://doi.org/10.3390/jcm11164854
APA StyleFiore, M., Sambri, A., Filippini, M., Morante, L., Giannini, C., Paolucci, A., Rondinella, C., Zunarelli, R., Viale, P., & De Paolis, M. (2022). Are Static Spacers Superior to Articulated Spacers in the Staged Treatment of Infected Primary Knee Arthroplasty? A Systematic Review and Meta-Analysis. Journal of Clinical Medicine, 11(16), 4854. https://doi.org/10.3390/jcm11164854

