The Higher the CKD Stage, the Higher the Psychological Stress in Patients with CKD during COVID-19 Pandemic
Abstract
:1. Introduction
2. Methods
2.1. Subjects
2.2. Survey Development
2.3. Statistical Analysis
3. Results
3.1. Patient Characteristics
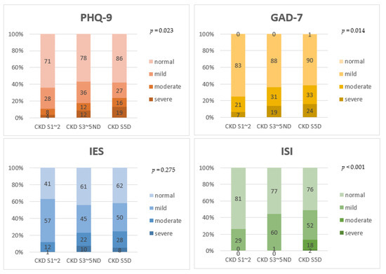
3.2. Psychological Measurements
3.3. Concerns and Precautionary Measures about COVID-19
4. Discussion
5. Conclusions
Supplementary Materials
Author Contributions
Funding
Institutional Review Board Statement
Informed Consent Statement
Data Availability Statement
Conflicts of Interest
References
- World Health Organization. Mental Health and Psychosocial Considerations during the COVID-19 Outbreak. Available online: https://www.who.int/publications/i/item/WHO-2019-nCoV-MentalHealth-2020.1 (accessed on 18 March 2020).
- Coronavirus Disease 2019 (COVID-19) Gyeonggi Daily Report—217 Data as Reported by 11 November 2020. Available online: http://www.gidcc.or.kr/gypd-type/covid-19-daily-reports/ (accessed on 11 November 2020).
- Zhu, N.; Zhang, D.; Wang, W.; Li, X.; Yang, B.; Song, J.; Zhao, X.; Huang, B.; Shi, W.; Lu, R.; et al. A novel coronavirus from patients with pneumonia in China, 2019. N. Engl. J. Med. 2020, 382, 727–733. [Google Scholar] [CrossRef] [PubMed]
- Chen, N. Epidemiological and clinical characteristics of 99 cases of 2019 novel coronavirus pneumonia in Wuhan, China: A descriptive study. Lancet 2020, 395, 507–513. [Google Scholar] [CrossRef]
- Bao, Y.; Sun, Y.; Meng, S.; Shi, J.; Lu, L. 2019-nCoV epidemic: Address mental health care to empower society. Lancet 2020, 395, e37–e38. [Google Scholar] [CrossRef]
- Hossain, M.M.; Tasnim, S.; Sultana, A.; Faizah, F.; Mazumder, H.; Zou, L.; Mckyer, E.L.J.; Ahmed, H.U.; Ma, P. Epidemiology of mental health problems in COVID-19: A review. F1000Research 2020, 9, 636. [Google Scholar] [CrossRef]
- Huang, Y.; Zhao, N. Generalized anxiety disorder, depressive symptoms and sleep quality during COVID-19 outbreak in China: A web-based cross-sectional survey. Psychiatry Res. 2020, 288, 112954. [Google Scholar] [CrossRef]
- Wang, C.; Pan, R.; Wan, X.; Tan, Y.; Xu, L.; Ho, C.S.; Ho, R.C. Immediate Psychological Responses and Associated Factors during the Initial Stage of the 2019 Coronavirus Disease (COVID-19) Epidemic among the General Population in China. Int. J. Environ. Res. Public Health 2020, 17, 1729. [Google Scholar] [CrossRef]
- Hao, F.; Tan, W.; Jiang, L.; Zhang, L.; Zhao, X.; Zou, Y.; Hu, Y.; Luo, X.; Jiang, X.; McIntyre, R.S.; et al. Do psychiatric patients experience more psychiatric symptoms during COVID-19 pandemic and lockdown? A case-control study with service and research implications for immunopsychiatry. Brain Behav. Immun. 2020, 87, 100–106. [Google Scholar] [CrossRef]
- Chew, N.W.S.; Lee, G.K.H.; Tan, B.Y.Q.; Jing, M.; Goh, Y.; Ngiam, N.J.H.; Yeo, L.L.L.; Ahmad, A.; Khan, F.A.; Shanmugam, G.N.; et al. A multinational, multicentre study on the psychological outcomes and associated physical symptoms amongst healthcare workers during COVID-19 outbreak. Brain Behav. Immun. 2020, 88, 559–565. [Google Scholar] [CrossRef]
- Chan, A.S.W.; Ho, J.M.C.; Li, J.S.F.; Tam, H.L.; Tang, P.M.K. Impacts of COVID-19 Pandemic on Psychological Well-Being of Older Chronic Kidney Disease Patients. Front. Med. 2020, 8, 666973. [Google Scholar] [CrossRef]
- Erfidan, G.; Özyurt, G.; Arslansoyu-Çamlar, S.; Özdemir-Şimşek, Ö.; Başaran, C.; Alaygut, D.; Mutlubaş, F.; Kasap-Demir, B. Is COVID-19 Related Anxiety Higher in Children With Chronic Kidney Disease Than Healthy Children? Pediatr. Int. 2021, 64, e14887. [Google Scholar]
- Gadia, P.; Awasthi, A.; Jain, S.; Koolwal, G.D. Depression and anxiety in patients of chronic kidney disease undergoing haemodialysis: A study from western Rajasthan. J. Fam. Med. Prim. Care 2020, 9, 4282–4286. [Google Scholar]
- Hanly, P. Sleep disorders and end-stage renal disease. Curr. Opin. Pulm. Med. 2008, 14, 543–550. [Google Scholar] [CrossRef]
- Lee, J.; Steel, J.; Roumelioti, M.E.; Erickson, S.; Myaskovsky, L.; Yabes, J.G.; Rollman, B.L.; Weisbord, S.; Unruh, M.; Jhamb, M. Psychosocial impact of COVID-19 pandemic on patients with end-stage kidney disease on hemodialysis. Kidney360 2020, 1, 1390–1397. [Google Scholar] [CrossRef]
- Barutcu, A.D.; Aydin, S.E.; Velioglu, A.; Tuglular, S. The association between perceived stress with sleep quality, insomnia, anxiety and depression in kidney transplant recipients during Covid-19 pandemic. PLoS ONE 2021, 16, e0248117. [Google Scholar] [CrossRef]
- Oberg, B.P.; McMenamin, E.; Lucas, F.L.; McMonagle, E.; Morrow, J.; Ikizler, T.A.; Himmelfarb, J. Increased prevalence of oxidant stress and inflammation in patients with moderate to severe chronic kidney disease. Kidney Int. 2004, 65, 1009–1016. [Google Scholar] [CrossRef]
- Dantzer, R.; O’Connor, J.C.; Lawson, M.A.; Kelley, K.W. Inflammation-associated depression: From serotonin to kynurenine. Psychoneuroendocrinology 2011, 36, 426–436. [Google Scholar] [CrossRef]
- Yu, J.Y.; Kim, J.S.; Hong, C.M.; Lee, K.Y.; Cho, N.J.; Park, S.; Gil, H.W.; Lee, E.Y. Psychological distress of patients with end-stage kidney disease undergoing dialysis during the 2019 coronavirus disease pandemic: A cross-sectional study in a University Hospital. PLoS ONE 2021, 16, e0260929. [Google Scholar] [CrossRef]
- Spitzer, R.L.; Kroenke, K.; Wiliams, J.B. Patient Health Questionnaire Primary Care Study Group. Valiation and utility of a self-report version of PRIME-MD: The PHQ primary care study. Primary evaluation of mental disorders. Patient Health Questionnaire. JAMA 1999, 282, 1737–1744. [Google Scholar] [CrossRef]
- Spitzer, R.L.; Kroenke, K.; Williams, J.B.; Löwe, B. A brief measure for assessing generalized anxiety disorder: The GAD-7. Arch. Intern. Med. 2006, 166, 1092–1097. [Google Scholar] [CrossRef]
- Beck, J.G.; Grant, D.M.; Read, J.P.; Clapp, J.D.; Coffey, S.F.; Miller, L.M.; Palyo, S.A. The impact of event scale-revised: Psychometric properties in a sample of motor vehicle accident survivors. J. Anxiety Disord. 2008, 22, 187–198. [Google Scholar] [CrossRef]
- Bastien, C.H.; Vallières, A.; Morin, C.M. Validation of the Insomnia Severity Index as an outcome measure for insomnia research. Sleep Med. 2001, 2, 297–307. [Google Scholar] [CrossRef]
- Jonckheere, A.R. A Distribution-Free k-Sample Test Against Ordered Alternatives. Biometrika 1954, 41, 133–145. [Google Scholar] [CrossRef]
- Belayev, L.Y.; Mor, M.K.; Sevick, M.A.; Shields, A.M.; Rollman, B.L.; Palevsky, P.M.; Arnold, R.M.; Fine, M.J.; Weisbord, S.D. Longitudinal associations of depressive symptoms and pain with quality of life in patients receiving chronic hemodialysis. Hemodial. Int. 2015, 19, 216–224. [Google Scholar] [CrossRef]
- Colodro-Conde, L.; Couvy-Duchesne, B.; Zhu, G.; Coventry, W.L.; Byrne, E.M.; Gordon, S.; Wright, M.J.; Montgomery, G.W.; Madden, P.A.F.; Major Depressive Disorder Working Group of the Psychiatric Genomics Consortium; et al. A direct test of the diathesis–stress model for depression. Mol. Psychiatry 2018, 23, 1590–1596. [Google Scholar] [CrossRef]
- Chen, C.K.; Tsai, Y.C.; Hsu, H.J.; Wu, I.W.; Sun, C.Y.; Chou, C.C.; Lee, C.C.; Tsai, C.R.; Wu, M.S.; Wang, L.J. Depression and suicide risk in hemodialysis patients with chronic renal failure. Psychosomatics 2010, 51, 528. [Google Scholar] [CrossRef]


| Variable | Total (n = 397) | CKD S1~S2 (n = 111) | CKD S3~S5ND (n = 138) | CKD S5D (n = 148) | p-Value |
|---|---|---|---|---|---|
| Characteristics | |||||
| Age (years) | 55.2 ± 13.5 | 51.2 ± 10.9 | 60.3 ±14.9 | 53.5 ± 12.3 | 0.199 |
| Sex–Male | 249(62.25%) | 72 (64.86%) | 87 (63.04%) | 88 (59.5%) | 0.366 |
| Visit interval (day) | 68.9 ± 62.7 | 127.3 ± 57.4 | 79.0 ± 49.1 | 15.0 ± 15.8 | <0.001 |
| DM | 141 (35.25%) | 23 (20.72%) | 63 (45.65%) | 55 (37.26%) | 0.014 |
| HTN | 304 (76.57%) | 65 (58.56%) | 115 (83.33%) | 124 (83.78%) | <0.001 |
| Statin | 204 (51.0%) | 55 (49.6%) | 89 (64.5%) | 60 (40.5%) | 0.080 |
| Laboratory data | |||||
| Hemoglobin (g/dL) | 12.03 ± 2.77 | 14.07 ± 1.48 | 11.87 ± 2.10 | 10.61 ± 13.14 | <0.001 |
| Hematocrit (%) | 35.59 ± 6.47 | 41.63 ± 4.26 | 35.50 ± 5.87 | 31.06 ± 4.37 | <0.001 |
| Blood urea nitrogen (mg/dL) | 36.60 ± 21.52 | 15.09 ± 4.20 | 39.17 ± 32.46 | 52.83 ± 16.30 | <0.001 |
| Creatinine (mg/dL) | 4.99 ± 4.78 | 0.92 ± 0.22 | 2.66 ±1.91 | 10.30 ± 3.50 | <0.001 |
| eGFR (ml/min) | 37.85 ± 35.62 | 87.27 ± 16.69 | 31.86 ± 5.80 | 5.32 ± 2.48 | <0.001 |
| Potassium (mmol/L) | 4.51 ± 0.58 | 4.33 ± 0.35 | 4.62 ± 0.55 | 4.54 ± 0.71 | <0.001 |
| Albumin (g/dL) | 4.20 ± 0.46 | 4.49 ± 0.40 | 4.24 ± 0.42 | 3.94 ± 0.40 | <0.001 |
| Cholesterol (mg/dL) | 159.36 ± 44.93 | 177.65 ± 47.29 | 159.55 ± 47.40 | 145.01± 34.78 | 0.087 |
| OR (95% CI) | p-Value | |
|---|---|---|
| Depression (PHQ-9 score 5~21) | ||
| CKD | 0.353 | |
| CKD S3~S5ND | 1.451 (0.834~2.525) | 0.188 |
| CKD S5D | 1.411 (0.828~2.405) | 0.206 |
| Sex (Male) | 0.792 (0.519~1.210) | 0.281 |
| Age | 1.064 (0.915~1.238) | 0.418 |
| DM | 0.824 (0.528~1.284) | 0.392 |
| HTN | 0.853 (0.516~1.409) | 0.534 |
| Moderate to severe anxiety (GAD-7 score 10~21) * | ||
| CKD | 0.013 | |
| CKD S3~S5ND | 2.119 (1.152~3.898) | 0.016 |
| CKD S5D | 2.341 (1.305~4.201) | 0.004 |
| Sex (Male) | 0.607 (0.390~0.944) | 0.027 |
| Age | 1.033 (0.882~1.211) | 0.686 |
| DM | 0.785 (0.490~1.257) | 0.314 |
| HTN | 0.598 (0.354~1.008) | 0.054 |
| Psychological impact of event (IES-R score 9~88) | ||
| CKD | 0.561 | |
| CKD S3~S5ND | 0.741 (0.428~1.281) | 0.283 |
| CKD S5D | 0.839 (0.494~1.423) | 0.515 |
| Sex (Male) | 0.936 (0.612~1.432) | 0.762 |
| Age | 1.019 (0.877~1.184) | 0.811 |
| DM | 0.993 (0.640~1.539) | 0.973 |
| HTN | 0.713 (0.428~1.188) | 0.713 |
| Insomnia (ISI score 8~28) | ||
| CKD | <0.001 | |
| CKD S3~S5ND | 2.535 (1.410~4.560) | 0.002 |
| CKD S5D | 3.019 (1.715~5.314) | <0.001 |
| Sex (Male) | 0.690 (0.449~1.061) | 0.091 |
| Age | 0.998 (0.857~1.163) | 0.982 |
| DM | 0.984 (0.628~1.540) | 0.943 |
| HTN | 0.693 (0.415~1.160) | 0.163 |
| CKD S1~S2 (n = 111) | CKD S3~S5D (n = 286) | p-Value | |
|---|---|---|---|
| PHQ-9 | 4.01 ± 4.23 | 5.40 ± 5.99 | 0.026 |
| Severity | 0.028 | ||
| Normal (0–8 points) | 71 (64.0%) | 164 (57.3%) | |
| Mild (9–14 points) | 28 (25.2%) | 63 (22.0%) | |
| Moderate (15–19 points) | 8 (7.2%) | 28 (9.8%) | |
| Severe (20–27 points) | 4 (3.6%) | 31 (10.8%) | |
| GAD-7 | 9.00 ± 3.69 | 10.37 ± 5.03 | 0.010 |
| Severity | 0.010 | ||
| Normal (0–4 points) | 0 (0%) | 1 (0.3%) | |
| Mild (5–9 points) | 84 (74.8%) | 178 (62.2%) | |
| Moderate (10–14 points) | 21 (18.9%) | 64 (22.4%) | |
| Severe (15–21 points) | 7 (6.3%) | 43 (15.0%) | |
| IES-R | 13.82 ± 10.31 | 15.63 ± 14.56 | 0.232 |
| Severity | 0.235 | ||
| Normal (0–8 points) | 41 (36.9%) | 123 (43.0%) | |
| Mild (9–25 points) | 57 (51.4%) | 95 (33.2%) | |
| Moderate (26–43 points) | 12 (10.8%) | 50 (17.5%) | |
| Severe (44–88 points) | 1 (0.9%) | 18 (6.3%) | |
| ISI | 5.62 ± 4.58 | 7.45 ± 5.61 | 0.002 |
| Severity | <0.001 | ||
| Normal (0–7 points) | 81 (73.6%) | 153 (53.5%) | |
| Mild (8–14 points) | 29 (26.4%) | 112 (39.2%) | |
| Moderate (15–21 points) | 0 (0%) | 19 (4.8%) | |
| Severe (22–28 points) | 0 (0%) | 2 (0.7%) |
| N (%) or Mean ± SD | CKD S1~S2 (n = 111) | CKD S3~S5ND (n = 138) | CKD S5D (n = 148) | p-Value |
|---|---|---|---|---|
| Likelihood of contracting COVID-19 during the current outbreak | ||||
| Very likely | 2 (1.8) | 2 (1.4) | 1 (0.7) | 0.195 |
| Somewhat likely | 2 (1.8) | 2 (1.4) | 4 (2.7) | |
| Not very likely | 36 (32.4) | 37 (26.8) | 63 (42.6) | |
| Not likely at all | 71 (64.0) | 97 (70.3) | 80 (54.1) | |
| Level of confidence in patient’s own doctor’s ability to diagnose or recognize | ||||
| Very confident | 44 (39.6) | 64 (46.4) | 50 (33.8) | 0.730 |
| Somewhat confident | 54 (48.6) | 62 (44.9) | 91 (61.5) | |
| Not very confident | 6 (5.4) | 4 (2.9) | 2 (1.4) | |
| Not at all confident | 7 (6.3) | 8 (5.8) | 5 (3.4) | |
| Likelihood of surviving if infected with COVID-19 | ||||
| Very likely | 14 (12.7) | 22 (15.9) | 22 (14.9) | 0.560 |
| Somewhat likely | 42 (38.2) | 59 (42.8) | 58 (39.2) | |
| Not very likely | 43 (39.1) | 47 (34.1) | 56 (37.8) | |
| Not likely at all | 11 (10.0) | 10 (7.2) | 12 (8.1) | |
| Concerns about other family members getting COVID-19 infections | ||||
| Very likely | 31 (27.9) | 50 (36.5) | 49 (33.1) | 0.492 |
| Somewhat likely | 65 (58.6) | 67 (48.9) | 80 (54.1) | |
| Not very likely | 10 (9.0) | 14 (10.2) | 14 (9.5) | |
| Not likely at all | 5 (4.5) | 6 (4.4) | 5 (3.4) | |
| Covering mouth when coughing and sneezing | ||||
| Very likely | 48 (43.2) | 57 (41.3) | 55 (37.2) | 0.191 |
| Somewhat likely | 59 (53.2) | 74 (53.6) | 81 (54.7) | |
| Not very likely | 2 (1.8) | 5 (3.6) | 10 (6.8) | |
| Not likely at all | 2 (1.8) | 2 (1.8) | 2 (1.4) | |
| Avoiding sharing utensils (e.g., chopsticks) during meals | ||||
| Very likely | 23 (20.7) | 35 (25.4) | 29 (19.6) | 0.886 |
| Somewhat likely | 52 (46.8) | 73 (52.9) | 77 (52.0) | |
| Not very likely | 31 (27.9) | 22 (15.9) | 35 (23.6) | |
| Not likely at all | 5 (4.5) | 8 (5.8) | 7 (4.7) | |
| Washing hands immediately after coughing, rubbing the nose, or sneezing | ||||
| Very likely | 22 (19.8) | 25 (18.1) | 30 (20.3) | 0.941 |
| Somewhat likely | 54 (48.6) | 70 (50.7) | 71 (48.0) | |
| Not very likely | 34 (30.6) | 40 (29.0) | 44 (29.7) | |
| Not likely at all | 1 (0.9) | 3 (2.2) | 3 (2.0) | |
| Wearing mask regardless of the presence or absence of symptoms | ||||
| Very likely | 69 (62.2) | 57 (42.3) | 81 (54.7) | 0.968 |
| Somewhat likely | 34 (30.6) | 71 (51.8) | 61 (41.2) | |
| Not very likely | 6 (5.4) | 4 (2.9) | 5 (3.4) | |
| Not likely at all | 2 (1.8) | 4 (2.9) | 0 (0) | |
| Feeling that too much unnecessary worry surrounds the COVID-19 outbreak | ||||
| Very likely | 12 (10.8) | 19 (13.8) | 22 (14.9) | 0.138 |
| Somewhat likely | 43 (38.7) | 51 (37.0) | 62 (41.9) | |
| Not very likely | 48 (43.2) | 59 (42.8) | 58 (39.2) | |
| Not likely at all | 8 (7.2) | 9 (6.5) | 6 (4.1) | |
| Average number of hours stayed at home per day to avoid COVID-19 | ||||
| Hours | 13.00 ± 5.52 | 14.18 ± 6.63 | 15.92 ± 6.23 | <0.001 |
| N (%) or Mean ± SD | CKD S1~S2 (n = 111) | CKD S3~S5D (n = 286) | p-Value |
|---|---|---|---|
| Likelihood of contracting COVID-19 during the current outbreak | |||
| Very likely | 2 (1.8) | 3 (1.0) | 0.897 |
| Somewhat likely | 2 (1.8) | 2 (1.8) | |
| Not very likely | 36 (32.4) | 100 (35.0) | |
| Not likely at all | 71 (64.0) | 177 (61.9) | |
| Level of confidence in patient’s own doctor’s ability to diagnose or recognize | |||
| Very confident | 44 (39.6) | 144 (39.9) | 0.399 |
| Somewhat confident | 54 (48.6) | 153 (53.5) | |
| Not very confident | 6 (5.4) | 6 (2.1) | |
| Not at all confident | 7 (6.3) | 13 (4.5) | |
| Likelihood of surviving if infected with COVID-19 | |||
| Very likely | 14 (12.7) | 44 (15.4) | 0.270 |
| Somewhat likely | 42 (38.2) | 117 (40.9) | |
| Not very likely | 43 (39.1) | 103 (36.0) | |
| Not likely at all | 11 (10.0) | 22 (7.7) | |
| Concerns about other family members getting COVID-19 infections | |||
| Very likely | 31 (27.9) | 99 (32.9) | 0.367 |
| Somewhat likely | 65 (58.6) | 147 (51.6) | |
| Not very likely | 10 (9.0) | 28 (9.8) | |
| Not likely at all | 5 (4.5) | 11 (3.9) | |
| Covering mouth when coughing and sneezing | |||
| Very likely | 48 (43.2) | 112 (39.2) | 0.341 |
| Somewhat likely | 59 (53.2) | 155 (54.2) | |
| Not very likely | 2 (1.8) | 15 (5.2) | |
| Not likely at all | 2 (1.8) | 4 (1.4) | |
| Avoiding sharing utensils (e.g., chopsticks) during meals | |||
| Very likely | 23 (20.7) | 64 (22.4) | 0.358 |
| Somewhat likely | 52 (46.8) | 150 (52.4) | |
| Not very likely | 31 (27.9) | 57 (19.9) | |
| Not likely at all | 5 (4.5) | 15 (5.2) | |
| Washing hands immediately after coughing, rubbing the nose, or sneezing | |||
| Very likely | 22 (19.8) | 55 (19.2) | 0.835 |
| Somewhat likely | 54 (48.6) | 141 (49.3) | |
| Not very likely | 34 (30.6) | 84 (29.4) | |
| Not likely at all | 1 (0.9) | 6 (2.1) | |
| Wearing mask regardless of the presence or absence of symptoms | |||
| Very likely | 69 (62.2) | 139 (49.0) | 0.176 |
| Somewhat likely | 34 (30.6) | 132 (46.5) | |
| Not very likely | 6 (5.4) | 9 (3.2) | |
| Not likely at all | 2 (1.8) | 4 (1.4) | |
| Feeling that too much unnecessary worry surrounds the COVID-19 outbreak | |||
| Very likely | 12 (10.8) | 41 (14.3) | 0.268 |
| Somewhat likely | 43 (38.7) | 113 (39.5) | |
| Not very likely | 48 (43.2) | 117 (40.9) | |
| Not likely at all | 8 (7.2) | 15 (5.2) | |
| Average number of hours stayed at home per day to avoid COVID-19 | |||
| Hours | 13.00 ± 5.52 | 15.92 ± 6.23 | 0.002 |
Publisher’s Note: MDPI stays neutral with regard to jurisdictional claims in published maps and institutional affiliations. |
© 2022 by the authors. Licensee MDPI, Basel, Switzerland. This article is an open access article distributed under the terms and conditions of the Creative Commons Attribution (CC BY) license (https://creativecommons.org/licenses/by/4.0/).
Share and Cite
Lee, K.-M.; Kim, J.-S.; Hwang, S.; Cho, N.J.; Park, S.; Gil, H.W.; Lee, E.Y. The Higher the CKD Stage, the Higher the Psychological Stress in Patients with CKD during COVID-19 Pandemic. J. Clin. Med. 2022, 11, 4776. https://doi.org/10.3390/jcm11164776
Lee K-M, Kim J-S, Hwang S, Cho NJ, Park S, Gil HW, Lee EY. The Higher the CKD Stage, the Higher the Psychological Stress in Patients with CKD during COVID-19 Pandemic. Journal of Clinical Medicine. 2022; 11(16):4776. https://doi.org/10.3390/jcm11164776
Chicago/Turabian StyleLee, Kyung-Mi, Ji-Sun Kim, Sungjo Hwang, Nam Jun Cho, Samel Park, Hyo Wook Gil, and Eun Young Lee. 2022. "The Higher the CKD Stage, the Higher the Psychological Stress in Patients with CKD during COVID-19 Pandemic" Journal of Clinical Medicine 11, no. 16: 4776. https://doi.org/10.3390/jcm11164776
APA StyleLee, K.-M., Kim, J.-S., Hwang, S., Cho, N. J., Park, S., Gil, H. W., & Lee, E. Y. (2022). The Higher the CKD Stage, the Higher the Psychological Stress in Patients with CKD during COVID-19 Pandemic. Journal of Clinical Medicine, 11(16), 4776. https://doi.org/10.3390/jcm11164776

