Swept Source Optical Coherence Tomography Analysis of a Selected Eye’s Anterior Segment Parameters in Patients with Pseudoexfoliation Syndrome
Abstract
1. Introduction
2. Materials and Methods
- (I)
- Presence of anterior eye segment diseases (e.g., anterior uveitis, glaucoma, high myopia, or lens subluxation);
- (II)
- Presence of corneal abnormalities affecting imaging (e.g., corneal opacity, corneal degeneration and dystrophies, or corneal scarring);
- (III)
- History of eye surgery or injury;
- (IV)
- Confirmation or suspicion of corneal ectasia;
- (V)
- Poor fixation of the subject, leading to a low quality of the obtained images and a lack of cooperation with the researcher;
- (VI)
- Contact lens wear.
3. Results
3.1. Demographic Data
3.2. OCT Parameters of the Cornea
3.3. Lens Analysis
3.4. Fourier Analysis of the Cornea and Anterior Chamber Depth
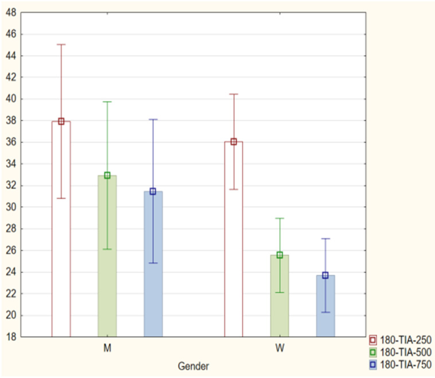
3.5. Iris Parameters
3.6. Angle Parameters
4. Discussion
5. Conclusions
Supplementary Materials
Author Contributions
Funding
Institutional Review Board Statement
Informed Consent Statement
Data Availability Statement
Conflicts of Interest
References
- Huang, D.; Swanson, E.A.; Lin, C.P.; Schuman, J.S.; Stinson, W.G.; Chang, W.; Hee, M.R.; Flotte, T.; Gregory, K.; Puliafito, C.A.; et al. Optical coherence tomography. Science 1991, 254, 1178–1181. [Google Scholar] [CrossRef]
- Pujari, A.; Agarwal, D.; Chawla, R.; Kumar, A.; Sharma, N. Intraoperative optical coherence tomography guided ocular surgeries: Critical analysis of clinical role and future perspectives. Clin. Ophthalmol. 2020, 14, 2427–2440. [Google Scholar] [CrossRef]
- Wang, S.B.; Cornish, E.E.; Grigg, J.R.; McCluskey, P.J. Anterior segment optical coherence tomography and its clinical applications. Clin. Exp. Optom. 2019, 102, 195–207. [Google Scholar] [CrossRef]
- Wylęgała, E.; Teper, S.; Nowińska, A.K.; Milka, M.; Dobrowolski, D. Anterior segment imaging: Fourier-domain optical coherence tomography versus time-domain optical coherence tomography. J. Cataract Refract. Surg. 2009, 35, 1410–1414. [Google Scholar] [CrossRef]
- Kaluzny, B.J.; Kałuzny, J.J.; Szkulmowska, A.; Gorczynska, I.; Szkulmowski, M.; Bajraszewski, T.; Wojtkowski, M.; Targowski, P. Spectral optical coherence tomography: A novel technique for cornea imaging. Cornea 2006, 25, 960–965. [Google Scholar] [CrossRef]
- Fukuda, S.; Kawana, K.; Yasuno, Y.; Oshika, T. Repeatabilityand reproducibility of anterior ocular biometric measurements with 2-dimensional and 3-dimensional optical coherence tomography. J. Cataract Refract. Surg. 2010, 36, 1867–1873. [Google Scholar] [CrossRef]
- Szalai, E.; Berta, A.; Hassan, Z.; Módis, L., Jr. Reliability and repeatability of swept-source Fourier-domain optical coherence tomography and Scheimpflug imaging in keratoconus. J. Cataract Refract. Surg. 2012, 38, 485–494. [Google Scholar] [CrossRef]
- Andrikopoulos, G.K.; Mela, E.K.; Georgakopoulos, C.D.; Papadopoulos, G.E.; Damelou, A.N.; Alexopoulos, D.K.; Gartaganis, S.P. Pseudoexfoliation syndrome prevalence in Greek patients with cataract and its association to glaucoma and coronary artery disease. Eye 2013, 23, 442–447. [Google Scholar] [CrossRef][Green Version]
- Ritch, R. Exfoliation syndrome-the most common identifiable cause of open-angle glaucoma. J. Glaucoma 1994, 3, 176–177. [Google Scholar] [CrossRef]
- Schlötzer-Schrehardt, U.; Khor, C.C. Pseudoexfoliation syndrome and glaucoma: From genes to disease mechanisms. Curr. Opin. Ophthalmol. 2021, 32, 118–128. [Google Scholar] [CrossRef]
- Avlidis, A.N.; Kallistratos, M.S.; Tousoulis, D.; Stefanadis, C.; Manolis, A.J.; Kallikazaros, I.; Fitsios, A.; Bratsas, A.; Katsi, V. Cardiovascular repercussions of the pseudoexfoliation syndrome. N. Am. J. Med. Sci. 2013, 5, 454–459. [Google Scholar] [CrossRef]
- Asano, N.; Schlötzer-Schrehardt, U.; Naumann, G.O. A Histopathologic Study of Iris Changes in Pseudoexfoliation Syndrome. Ophthalmology 1995, 102, 1279–1290. [Google Scholar] [CrossRef]
- Ringvold, A. Light and electron microscopy of the wall of iris vessels in eyes with and without exfoliation syndrome (pseudoexfoliation of the lens capsule). Virchows Arch. A Pathol. Anat. 1970, 349, 1–9. [Google Scholar] [CrossRef] [PubMed]
- Scharfenberg, E.; Schlötzer-Schrehardt, U. Pseudoexfoliationssyndrom. Klinische Diagnose und systemischeManifestationen [PEX syndrome. Clinical diagnosis and systemic manifestations]. Ophthalmologe 2012, 109, 952–961. [Google Scholar] [CrossRef] [PubMed]
- Oltulu, R.; Satirtav, G.; Kayitmazbatir, E.T.; Bitirgen, G.D.; Ozkagnici, A.; Karaibrahimoğlu, A. Characteristics of the cornea in patients with pseudoexfoliation syndrome. Arq. Bras. Oftalmol. 2015, 78, 348–351. [Google Scholar] [CrossRef] [PubMed]
- Zheng, X.; Shiraishi, A.; Okuma, S.; Mizoue, S.; Goto, T.; Kawasaki, S.; Uno, T.; Miyoshi, T.; Ruggeri, A.; Ohashi, Y. In vivo confocal microscopic evidence of keratopathy in patients with pseudoexfoliation syndrome. Investig. Ophthalmol. Vis. Sci. 2011, 52, 1755–1761. [Google Scholar] [CrossRef] [PubMed]
- Kocabeyoglu, S.; Mocan, M.C.; Irkec, M.; Karakaya, J. In vivo confocal microscopic evaluation of corneas in patients with exfoliation syndrome. J. Glaucoma 2016, 25, 193–197. [Google Scholar] [CrossRef]
- Gali, H.E.; Sella, R.; Afshari, N.A. Cataract grading systems: A review of past and present. Curr. Opin. Ophthalmol. 2019, 30, 13–18. [Google Scholar] [CrossRef]
- Dembski, M.; Nowińska, A.; Ulfik-Dembska, K.; Wylęgała, E. Swept Source Optical Coherence Tomography Analysis of the Selected Eye’s Anterior Segment Parameters. J. Clin. Med. 2021, 10, 1094. [Google Scholar] [CrossRef]
- Ritch, R.; Schlötzer-Schrehardt, U.; Konstas, A.G.P. Why is glaucoma associated with exfoliation syndrome? Prog. Retin. Eye Res. 2003, 22, 253–275. [Google Scholar] [CrossRef]
- Kaljurand, K.; Teesalu, P. Exfoliation syndrome as a risk factor for corneal endothelial cell loss in cataract surgery. Ann. Ophthalmol. 2007, 39, 327–333. [Google Scholar] [CrossRef]
- Ostern, A.E.; Drolsum, L. Corneal endothelial cells 6–7 years following cataract surgery in patients with pseudoexfoliation syndrome. Acta Ophthalmol. 2012, 90, 408–411. [Google Scholar] [CrossRef]
- De Juan-Marcos, L.; Cabrillo-Estévez, L.; Escudero-Domínguez, F.A.; Sánchez-Jara, A.; Hernández-Galilea, E. Morphometric changes of corneal endothelial cells in pseudoexfoliation syndrome and pseudoexfoliation glaucoma. Arch. Soc. Española Oftalmol. 2013, 88, 439–444. [Google Scholar] [CrossRef]
- Hayashi, K.; Manabe, S.-I.; Yoshimura, K.; Kondo, H. Corneal endothelial damage after cataract surgery in eyes with pseudoexfoliation syndrome. J. Cataract Refract. Surg. 2013, 39, 881–887. [Google Scholar] [CrossRef] [PubMed]
- Tomaszewski, B.T.; Zalewska, R.; Mariak, Z. Evaluation of the endothelial cell density and the central corneal thickness in pseudoexfoliation syndrome and pseudoexfoliation glaucoma. J. Ophthalmol. 2014, 2014, 123683. [Google Scholar] [CrossRef] [PubMed]
- Demircan, S.; Atas, M.; Yurtsever, Y. Effect of torsional mode phacoemulsification on cornea in eyes with/without pseudoexfoliation. Int. J. Ophthalmol. 2015, 8, 281–287. [Google Scholar] [PubMed]
- Martone, G.; Casprini, F.; Traversi, C.; Lepri, F.; Pichierri, P.; Caporossi, A. Pseudoexfoliation syndrome: In vivo confocal microscopy analysis. Clin. Exp. Ophthalmol. 2007, 35, 582–585. [Google Scholar] [CrossRef] [PubMed]
- Sarowa, S.; Manoher, J.; Jain, K.; Singhal, Y.; Devathia, D. Qualitative and quantitative changes of corneal endothelial cells and central corneal thickness in pseudoexfoliation syndrome and pseudoexfoliation glaucoma. Int. J. Med. Sci. Public Health 2016, 5, 2526. [Google Scholar] [CrossRef]
- Puska, P.; Vasara, K.; Harju, M.; Setälä, K. Corneal thickness and corneal endothelium in normotensive subjects with unilateral exfoliation syndrome. Graefe’s Arch. Clin. Exp. Ophthalmol. 2000, 238, 659–663. [Google Scholar] [CrossRef]
- Inoue, K.; Okugawa, K.; Oshika, T.; Amano, S. Morphological study of corneal endothelium and corneal thickness in pseudoexfoliation syndrome. Jpn. J. Ophthalmol. 2003, 47, 235–239. [Google Scholar] [CrossRef]
- Yüksel, N.; Emre, E.; Pirhan, D. Evaluation of corneal microstructure in pseudoexfoliation syndrome and glaucoma: In vivo scanning laser confocal microscopic study. Curr. Eye Res. 2016, 41, 34–40. [Google Scholar] [CrossRef]
- Küchle, M.; Schönherr, U.; Dieckmann, U. Risk factors for capsular rupture and vitreous loss in extracapsular cataract extraction. Erlangen Ophthalmol. Group Fortschr. Ophthalmol. 1989, 86, 154–162. [Google Scholar]
- Scorolli, D.; Campos, E.C.; Bassein, L.; Meduri, R.A. Pseudoexfoliation syndrome. A cohort study on intraoperative complications in cataract surgery. Ophthalmologica 1998, 212, 278–280. [Google Scholar] [CrossRef] [PubMed]
- Sastry, P.V.; Singal, A.K. Cataract surgery outcome in patients with non-glaucomatous pseudoexfoliation. Rom. J. Ophthalmol. 2017, 61, 196–201. [Google Scholar] [CrossRef] [PubMed]
- Zheng, X. New findings for an old disease: Morphological studies on pseudoexfoliation syndrome-related keratopathy and binocular asymmetry. Cornea 2013, 32, S84–S90. [Google Scholar] [CrossRef] [PubMed]
- Rao, A.; Vupparaboina, K.; Padhy, D.; Raj, N.; Pradhan, A.; Goud, A.; Peguda, H.; Jana, S.; Richariya, A. Automated iris volume analysis and trabecular meshwork length using anterior segment optical coherence tomography—Application in pseudoexfoliation and pseudoexfoliation glaucoma. Indian J. Ophthalmol. 2021, 69, 1815–1819. [Google Scholar] [CrossRef] [PubMed]
- Wishart, P.K.; Spaeth, G.L.; Poryzees, E.M. Anterior chamber angle in the exfoliation syndrome. Br. J. Ophthalmol. 1985, 69, 103–107. [Google Scholar] [CrossRef] [PubMed]
- Spaeth, G.L. The normal development of the human anterior chamber angle: A new system of descriptive grading. Trans. Ophthalmol. Soc. UK 1971, 91, 709–739. [Google Scholar] [PubMed]
- Zheng, X.; Sakai, H.; Goto, T.; Namiguchi, K.; Mizoue, S.; Shiraishi, A.; Sawaguchi, S.; Ohashi, Y. Anterior segment optical coherence tomography analysis of clinically unilateral pseudoexfoliation syndrome: Evidence of bilateral involvement and morphologic factors related to asymmetry. Investig. Ophthalmol. Vis. Sci. 2011, 52, 5679–5684. [Google Scholar] [CrossRef] [PubMed]
- Mohammadi, M.; Johari, M.; Eslami, Y.; Moghimi, S.; Zarei, R.; Fakhraie, G.; Safizadeh, M. Evaluation of anterior segment parameters in pseudoexfoliation disease using anterior segment optical coherence tomography. Am. J. Ophthalmol. 2021, 234, 199–204. [Google Scholar] [CrossRef]





| Total | PEX Group | Control Group | p* | |
|---|---|---|---|---|
| Age | p = 0.14 | |||
| Mean ± SD | 69.32 ± 7.813 | 74.76 ± 4.736 | 66.162 ± 7.523 | |
| Median | 71 | 74 | 65 | |
| Range | 54–86 | 69–86 | 54–79 | |
| Sex | Women:194 | 102 (68%) | 92 (55.4%) | p = 0.07 |
| Men: 122 | 48 (32%) | 74 (44.6%) | ||
| Intraocular pressure | 15.41 (SD ± 2.82) mmHg Range: 11–20 mmHg | 14.67 (SD ± 3.02) mmHg Range: 11–19 mmHg | p = 0.23 |
| Control Group | PEX | p* | |||||||||||
|---|---|---|---|---|---|---|---|---|---|---|---|---|---|
| Parameter | Mean | STD | IC95 | Median | Minimum | Maximum | Mean | STD | IC95 | Median | Minimum | Maximum | |
| Ks | 43.13 | 4.77 | 44.16 | 43.80 | 1.27 | 46.50 | 44.68 | 2.00 | 2.50 | 44.80 | 40.30 | 49.20 | <0.001 |
| Kf | 42.10 | 4.66 | 43.11 | 42.55 | 1.22 | 46.10 | 43.59 | 1.75 | 2.19 | 43.70 | 39.70 | 47.90 | <0.001 |
| Ks p | −6.18 | 0.73 | −6.02 | −6.30 | −7.00 | 0.21 | −6.35 | 0.32 | 0.40 | −6.40 | −6.90 | −5.70 | 0.02 |
| Kf p | −5.84 | 0.69 | −5.69 | −5.90 | −6.50 | 0.20 | −6.03 | 0.29 | 0.37 | −6.10 | −6.50 | −5.400 | 0.008 |
| CCT | 540.56 | 62.91 | 554.13 | 549.00 | 28.82 | 618.00 | 549.56 | 33.58 | 41.85 | 542.0 | 486.00 | 623.00 | 0.63 |
| Control Group | PEX Group | p* | |||||||||||
|---|---|---|---|---|---|---|---|---|---|---|---|---|---|
| Parameter | Mean | STD | IC95 | Median | Minimum | Maximum | Mean | STD | IC95 | Median | Minimum | Maximum | |
| TILT | 5.04 | 1.26 | 5.31 | 4.85 | 1.19 | 9.00 | 5.22 | 1.67 | 2.11 | 5.10 | 1.50 | 11.50 | 0.53 |
| DECENT | 0.20 | 0.09 | 0.22 | 0.18 | 0.02 | 0.58 | 0.20 | 0.08 | 0.11 | 0.19 | 0.01 | 0.42 | 0.89 |
| Control Group | PEX Group | p* | |||||||||||
|---|---|---|---|---|---|---|---|---|---|---|---|---|---|
| Parameter | Mean | STD | IC95 | Median | Minimum | Maximum | Mean | STD | IC95 | Median | Minimum | Maximum | |
| ACD | 3.0728 | 0.43130 | 3.1659 | 3.0900 | 0.31167 | 3.8700 | 2.4941 | 0.40721 | 0.5087 | 2.4700 | 1.6000 | 3.4900 | <0.001 |
| FI-3-Sph | 42.6011 | 4.71227 | 43.6175 | 43.2400 | 1.22978 | 46.3600 | 44.0596 | 1.79889 | 2.2473 | 44.1700 | 39.9700 | 48.5400 | <0.001 |
| FI-3-Reg | 0.4938 | 0.24573 | 0.5468 | 0.4800 | 0.02000 | 1.4400 | 0.5257 | 0.48367 | 0.6042 | 0.3900 | 0.0400 | 2.7100 | 0.19 |
| FI-3-Ass | 0.2386 | 0.12395 | 0.2654 | 0.2200 | 0.03000 | 0.7300 | 0.3482 | 0.25557 | 0.3193 | 0.2800 | 0.0300 | 1.3300 | <0.01 |
| FI-3-HO | 0.1532 | 0.05408 | 0.1649 | 0.1500 | 0.05059 | 0.3200 | 0.1802 | 0.07712 | 0.0963 | 0.1700 | 0.0900 | 0.5700 | <0.001 |
| FI-6-Sph | 42.4245 | 4.68880 | 43.4358 | 43.0800 | 1.21124 | 45.9200 | 43.9478 | 1.77357 | 2.2157 | 43.9400 | 39.8700 | 48.3900 | <0.01 |
| FI-6-Reg | 0.5027 | 0.24011 | 0.5545 | 0.4700 | 0.14000 | 1.4100 | 0.5200 | 0.46182 | 0.5769 | 0.3800 | 0.0900 | 2.5400 | 0.12 |
| FI-6-Ass | 0.3154 | 0.15791 | 0.3494 | 0.3100 | 0.07000 | 0.9300 | 0.4384 | 0.29779 | 0.3720 | 0.3400 | 0.0700 | 1.5500 | 0.01 |
| FI-6-HO | 0.1758 | 0.07147 | 0.1913 | 0.1600 | 0.07071 | 0.6300 | 0.2092 | 0.07976 | 0.0996 | 0.1900 | 0.1100 | 0.6600 | <0.001 |
Publisher’s Note: MDPI stays neutral with regard to jurisdictional claims in published maps and institutional affiliations. |
© 2022 by the authors. Licensee MDPI, Basel, Switzerland. This article is an open access article distributed under the terms and conditions of the Creative Commons Attribution (CC BY) license (https://creativecommons.org/licenses/by/4.0/).
Share and Cite
Dembski, M.; Nowińska, A.; Ulfik-Dembska, K.; Wylęgała, E. Swept Source Optical Coherence Tomography Analysis of a Selected Eye’s Anterior Segment Parameters in Patients with Pseudoexfoliation Syndrome. J. Clin. Med. 2022, 11, 268. https://doi.org/10.3390/jcm11010268
Dembski M, Nowińska A, Ulfik-Dembska K, Wylęgała E. Swept Source Optical Coherence Tomography Analysis of a Selected Eye’s Anterior Segment Parameters in Patients with Pseudoexfoliation Syndrome. Journal of Clinical Medicine. 2022; 11(1):268. https://doi.org/10.3390/jcm11010268
Chicago/Turabian StyleDembski, Michał, Anna Nowińska, Klaudia Ulfik-Dembska, and Edward Wylęgała. 2022. "Swept Source Optical Coherence Tomography Analysis of a Selected Eye’s Anterior Segment Parameters in Patients with Pseudoexfoliation Syndrome" Journal of Clinical Medicine 11, no. 1: 268. https://doi.org/10.3390/jcm11010268
APA StyleDembski, M., Nowińska, A., Ulfik-Dembska, K., & Wylęgała, E. (2022). Swept Source Optical Coherence Tomography Analysis of a Selected Eye’s Anterior Segment Parameters in Patients with Pseudoexfoliation Syndrome. Journal of Clinical Medicine, 11(1), 268. https://doi.org/10.3390/jcm11010268

