Long-Term Efficacy, Visual Performance and Patient Reported Outcomes with a Trifocal Intraocular Lens: A Six-Year Follow-up
Abstract
1. Introduction
2. Materials and Methods
2.1. Subjects
2.2. Clinical Procedures
2.3. Surgery and Intraocular Lens
2.4. Statistical Analysis
3. Results
3.1. Recruited Subjects
3.2. Efficacy and Accuracy
3.3. Contrast Sensitivity Defocus Curve and Light Distortion
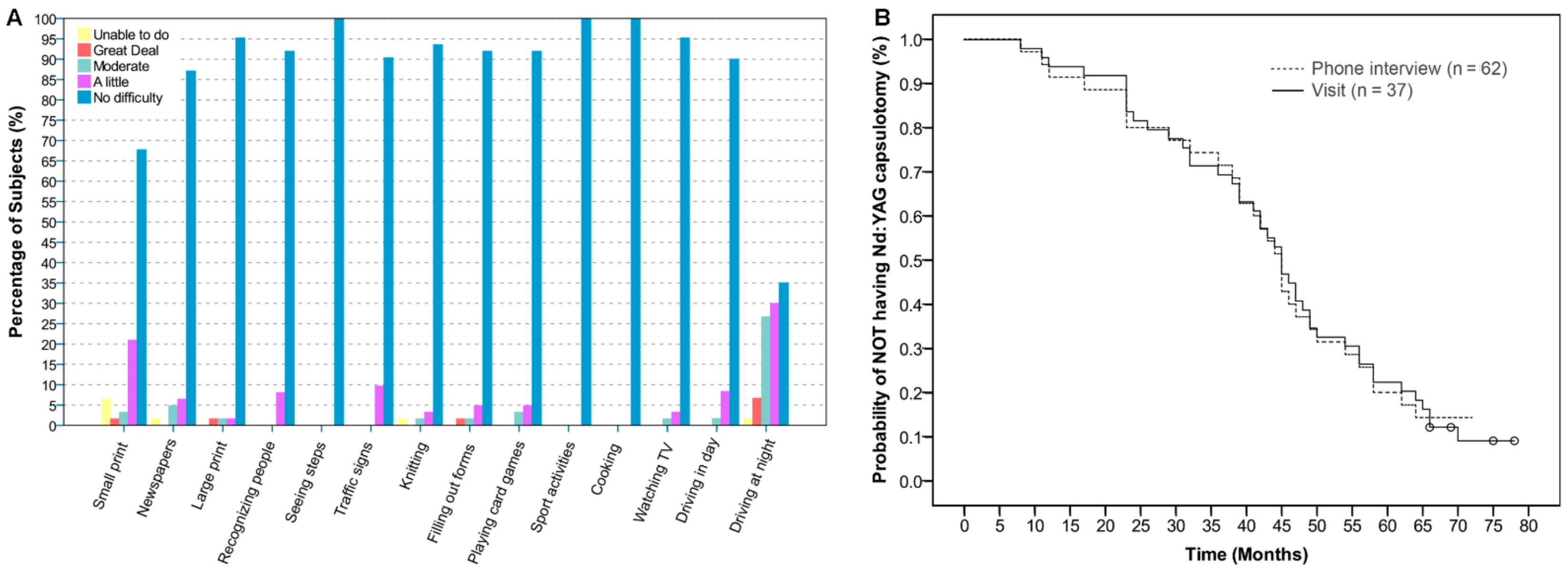
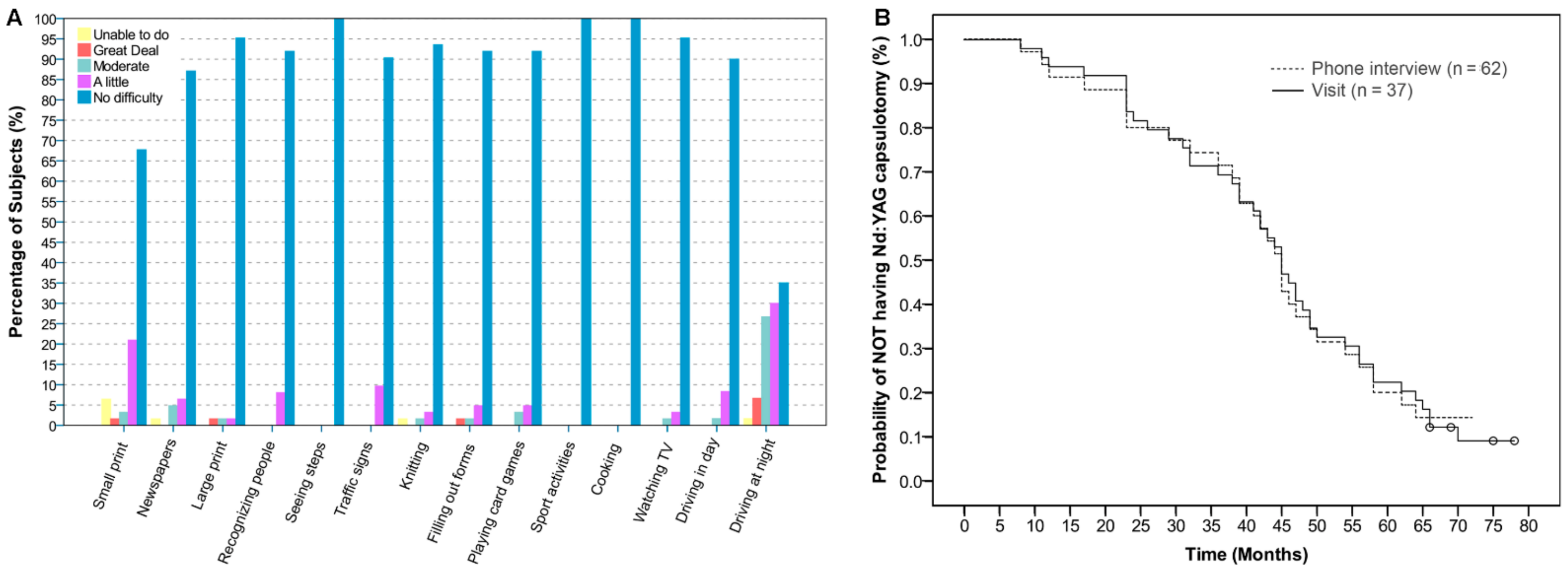
3.4. Patient Reported Outcomes
3.5. Safety
4. Discussion
5. Conclusions
Author Contributions
Funding
Institutional Review Board Statement
Informed Consent Statement
Conflicts of Interest
References
- Sudhir, R.R.; Dey, A.; Bhattacharrya, S.; Bahulayan, A. Acrysof IQ panoptix intraocular lens versus extended depth of focus intraocular lens and trifocal intraocular lens: A clinical overview. Asia Pac. J. Ophthalmol. 2019, 8, 335–349. [Google Scholar] [CrossRef] [PubMed]
- Mendicute, J.; Kapp, A.; Lévy, P.; Krommes, G.; Arias-Puente, A.; Tomalla, M.; Barraquer, E.; Rozot, P.; Bouchut, P. Evaluation of visual outcomes and patient satisfaction after implantation of a diffractive trifocal intraocular lens. J. Cataract Refract. Surg. 2016, 42, 203–210. [Google Scholar] [CrossRef] [PubMed]
- Mojzis, P.; Peña-García, P.; Liehneova, I.; Ziak, P.; Alió, J.L. Outcomes of a new diffractive trifocal intraocular lens. J. Cataract Refract. Surg. 2014, 40, 60–69. [Google Scholar] [CrossRef] [PubMed]
- Kohnen, T.; Titke, C.; Böhm, M. Trifocal Intraocular Lens Implantation to Treat Visual Demands in Various Distances Following Lens Removal. Am. J. Ophthalmol. 2016, 161, 71–77.e1. [Google Scholar] [CrossRef]
- Brito, P.; Salgado-Borges, J.; Neves, H.; Gonzalez-Meijome, J.; Monteiro, M. Light-distortion analysis as a possible indicator of visual quality after refractive lens exchange with diffractive multifocal intraocular lenses. J. Cataract Refract. Surg. 2015, 41, 613–622. [Google Scholar] [CrossRef]
- Mojzis, P.; Majerova, K.; Hrckova, L.; Piñero, D.P. Implantation of a diffractive trifocal intraocular lens: One-year follow-up. J. Cataract Refract. Surg. 2015, 41, 1623–1630. [Google Scholar] [CrossRef]
- Gundersen, K.G.; Potvin, R. Comparison of visual outcomes and subjective visual quality after bilateral implantation of a diffractive trifocal intraocular lens and blended implantation of apodized diffractive bifocal intraocular lenses. Clin. Ophthalmol. 2016, 10, 805–811. [Google Scholar] [CrossRef]
- Ganesh, S.; Brar, S.; Pawar, A. Long-term visual outcomes and patient satisfaction following bilateral implantation of trifocal intraocular lenses. Clin. Ophthalmol. 2017, 11, 1453–1459. [Google Scholar] [CrossRef]
- Kaymak, H.; Breyer, D.; Alió, J.L.; Coche, B. Visual performance with bifocal and trifocal diffractive intraocular lenses: A prospective three-Armed randomized multicenter clinical trial. J. Refract. Surg. 2017, 33, 655–662. [Google Scholar] [CrossRef]
- Bilbao-Calabuig, R.; Llovet-Osuna, F.; González-López, F.; Beltrán, J. Nd:YAG Capsulotomy Rates with Two Trifocal Intraocular Lenses. J. Refract. Surg. 2016, 32, 748–752. [Google Scholar] [CrossRef]
- European Medicines Agency. Guidance on the Management of Clinical Trials during the COVID-19 (Coronavirus) Pandemic. 2020. Available online: https://ec.europa.eu/health/sites/default/files/files/eudralex/vol-10/guidanceclinicaltrials_covid19_en.pdf (accessed on 5 May 2021).
- Friedman, D.S.; Tielsch, J.M.; Vitale, S.; Bass, E.B.; Schein, O.D.; Steinberg, E.P. VF-14 item specific responses in patients undergoing first eye cataract surgery: Can the length of the VF-14 be reduced? Br. J. Ophthalmol. 2002, 86, 885–891. [Google Scholar] [CrossRef]
- Riusala, A.; Sarna, S.; Immonen, I. Visual function index (VF-14) in exudative age-related macular degeneration of long duration. Am. J. Ophthalmol. 2003, 135, 206–212. [Google Scholar] [CrossRef]
- Morlock, R.; Wirth, R.J.; Tally, S.R.; Garufis, C.; Heichel, C.W.D. Patient-Reported Spectacle Independence Questionnaire (PRSIQ): Development and Validation. Am. J. Ophthalmol. 2017, 178, 101–114. [Google Scholar] [CrossRef]
- ISO-11979-7:2018 Ophthalmic Implants—Intraocular Lenses—Part 7: Clinical Investigations. 2018. Available online: https://www.iso.org/standard/69038.html (accessed on 5 May 2021).
- Mendicute, J.; Úbeda, M. Opacificación y contracción de la cápsula anterior. In Cirugía del Cristalino; Ramón Lorente, J.M., Ed.; Sociedad Española de Oftalmología (SEO): Madrid, Spain, 2008; p. 1695. [Google Scholar]
- Tetz, M.R.; Auffarth, G.U.; Sperker, M.; Blum, M.; Volcker, H.E. Photographic image analysis system of posterior capsule opacification. J. Cataract Refract. Surg. 1997, 23, 1515–1520. [Google Scholar] [CrossRef]
- Dupps, W.J.; Kohnen, T.; Mamalis, N.; Rosen, E.S.; Koch, D.D.; Obstbaum, S.A.; Waring, G.O.; Reinstein, D.Z.; Stulting, R.D. Standardized graphs and terms for refractive surgery results. J. Cataract Refract. Surg. 2011, 37, 1–3. [Google Scholar] [CrossRef]
- Calvo-Sanz, J.A.; Sánchez-Tena, M.A. Characterization of optical performance with defocusing curve: Analysis of two refractive intraocular lens models with high and medium addition. J. Optom. 2020, 13, 35–40. [Google Scholar] [CrossRef]
- Fernández, J.; Rodríguez-Vallejo, M.; Martínez, J.; Tauste, A.; Piñero, D.P. Biometric Factors Associated with the Visual Performance of a High Addition Multifocal Intraocular Lens. Curr. Eye Res. 2018, 43, 998–1005. [Google Scholar] [CrossRef]
- Hill, W.; Carson, D.; Hong, X.; Karakelle, M. Optical bench performance of Acrysof® IQ reSTOR®, AT LISA® tri, and FineVision® intraocular lenses. Clin. Ophthalmol. 2014, 8, 2105–2113. [Google Scholar] [CrossRef][Green Version]
- Rodríguez-Vallejo, M. Refractive Analysis. 1.0.5. A Matlab Toolbox for the Analysis of Refractive Results in Anterior Segment Surgery. Available online: http://test-eye.com/index.php/en/refractive-analysis (accessed on 25 October 2020).
- Slagsvold, J.E. 3M diffractive multifocal intraocular lens: Eight year follow-up. J. Cataract Refract. Surg. 2000, 26, 402–407. [Google Scholar] [CrossRef]
- Yoshino, M.; Bissen-Miyajima, H.; Minami, K.; Taira, Y. Five-year postoperative outcomes of apodized diffractive multifocal intraocular lens implantation. Jpn. J. Ophthalmol. 2013, 57, 510–513. [Google Scholar] [CrossRef]
- Alió, J.L.; Kaymak, H.; Breyer, D.; Cochener, B.; Plaza-Puche, A.B. Quality of life related variables measured for three multifocal diffractive intraocular lenses: A prospective randomised clinical trial. Clin. Exp. Ophthalmol. 2018, 46, 380–388. [Google Scholar] [CrossRef]
- Liu, X.; Xie, L.; Huang, Y. Comparison of the Visual Performance after Implantation of Bifocal and Trifocal Intraocular Lenses Having an Identical Platform. J. Refract. Surg. 2018, 34, 273–280. [Google Scholar] [CrossRef] [PubMed]
- Carson, D.; Xu, Z.; Alexander, E.; Choi, M.; Zhao, Z.; Hong, X. Optical bench performance of 3 trifocal intraocular lenses. J. Cataract Refract. Surg. 2016, 42, 1361–1367. [Google Scholar] [CrossRef] [PubMed]
- Fernández, J.; Rodríguez-Vallejo, M.; Tauste, A.; Albarrán, C.; Basterra, I.; Piñero, D. Fast Measure of Visual Acuity and Contrast Sensitivity Defocus Curves with an iPad Application. Open Ophthalmol. J. 2019, 13, 15–22. [Google Scholar] [CrossRef]
- Coco-Martin, M.B.; Valenzuela, P.L.; Maldonado-López, M.J.; Santos-Lozano, A.; Molina-Martín, A.; Piñero, D.P. Potential of video games for the promotion of neuroadaptation to multifocal intraocular lenses: A narrative review. Int. J. Ophthalmol. 2019, 12, 1782–1787. [Google Scholar] [CrossRef] [PubMed]
- Escandón-García, S.; Ribeiro, F.J.; McAlinden, C.; Queirós, A.; González-Méijome, J.M. Through-focus vision performance and light disturbances of 3 new intraocular lenses for presbyopia correction. J. Ophthalmol. 2018, 2018, 6165493. [Google Scholar] [CrossRef] [PubMed]
- Macedo-de-Araújo, R.; Ferreira-Neves, H.; Rico-del-Viejo, L.; Peixoto-de-Matos, S.C.; González-Méijome, J.M. Light distortion and spherical aberration for the accommodating and nonaccommodating eye. J. Biomed. Opt. 2016, 21, 075003. [Google Scholar] [CrossRef]
- Vargas, V.; Alio, J.L.; Oliveira, R.F.; Renna, A.; Yebana, P. Long-term objective and subjective outcomes following bilateral implantation of diffractive bifocal or trifocal intraocular lenses. Eur. J. Ophthalmol. 2020. [Google Scholar] [CrossRef]
- Gundersen, K.G.; Makari, S.; Ostenstad, S.; Potvin, R. Retreatments after multifocal intraocular lens implantation: An analysis. Clin. Ophthalmol. 2016, 10, 365–371. [Google Scholar]
- Grzybowski, A.; Tuuminen, R. Should We Expect the Rise of Nd:YAG Laser Capsulotomies in the Future? Am. J. Ophthalmol. 2021, 222, A1–A2. [Google Scholar] [CrossRef]


| Mean ± SD | Median [IQR] | |
|---|---|---|
| Age at follow-up visit | 61.03 ± 5.47 | 61 [8.50] |
| IOL Master 500 | ||
| Axial length (mm) | 23.33 ± 1.14 | 23.15 [1.51] |
| Mean corneal anterior keratometry (D) | 43.70 ± 1.37 | 43.95 [1.64] |
| Pentacam AXL | ||
| Anterior lens position (mm) | 4.49 ± 0.35 | 4.45 [0.39] |
| Intraocular lens power (D) | 21.41 ± 3.18 | 22 [4.50] |
| Irregular astigmatism at 4 mm (µm) | 0.15 ± 0.05 | 0.15 [0.09] |
| Regular astigmatism (D) | 0.49 ± 0.27 | 0.40 [0.45] |
| Corneal spherical aberration for mesopic pupil size (µm) | 0.17 ± 0.13 | 0.14 [0.18] |
| Keratograph 5M | ||
| Photopic pupil diameter (mm) | 2.96 ± 0.49 | 2.90 [0.70] |
| Mesopic pupil diameter (mm) | 5.17 ± 0.85 | 5 [1.20] |
| 6-Year Follow-up Mean ± SD Median [IQR] | 12-Month Median from Literature | z-Test, p-Value Margin of 0.1 logMAR | z-Test, p-Value Margin of 0.02 logMAR | |
|---|---|---|---|---|
| UDVA | 0.06 ± 0.12 0.1 [0.1] | 0.02 | −1.75, 0.04 | 2.001, 0.023 |
| CDVA | −0.05 ± 0.07 −0.1 [0.1] | 0.02 | −5.18, <0.0005 | −4.53, <0.0005 |
| UIVA | 0.07 ± 0.09 0.0 [0.1] | 0.12 | −4.84, <0.0005 | −3.31, <0.0005 |
| DCIVA | 0.08 ± 0.09 0.1 [0.1] | 0.12 | −4.85, <0.0005 | −3.50, <0.0005 |
| UNVA | 0.08 ± 0.10 0.1 [0.1] | 0.22 | −5.33, <0.0005 | −5.05, <0.0005 |
| DCNVA | 0.05 ± 0.06 0 [0.1] | 0.22 | −5.44, <0.0005 | −5.44, <0.0005 |
| PRSIQ | Mean ± SD; Median [IQR] | Cat. 1 | Cat. 2 | Cat. 3 | Cat. 4 | Cat. 5 |
|---|---|---|---|---|---|---|
| Need Glasses | ||||||
| Distance | 2 ± 0; 2 [0] | 0 | 100 | |||
| Intermediate | 2 ± 0; 2 [0] | 0 | 100 | |||
| Near | 1.81 ± 0.40; 2 [0] | 19.4 | 80.6 | |||
| Often wear | ||||||
| Distance | 5 ± 0; 5 [0] | 0 | 0 | 0 | 0 | 100 |
| Intermediate | 5 ± 0; 5 [0] | 0 | 0 | 0 | 0 | 100 |
| Near | 4.74 ± 0.57; 5 [0] | 0 | 0 | 6.5 | 12.9 | 80.6 |
| Comfortably without wear | ||||||
| Distance | 1.06 ± 0.36; 1 [0] | 96.8 | 0 | 3.2 | 0 | 0 |
| Intermediate | 1.06 ± 0.36; 1 [0] | 96.8 | 0 | 3.2 | 0 | 0 |
| Near | 1.37 ± 0.83; 1 [0] | 77.4 | 16.1 | 6.5 | 0 | 0 |
| Coding: “Yes” (Category 1) and “No” (Category 2). Wear and function items used verbal response labels of “all of the time” (Category 1), “most of the time” (Category 2), “Some of the time” (Category 3), “A little of the time” (Category 4), and “None of the time” (Category 5). | ||||||
| Additional Questions (X) | ||||||
| Satisfaction (satisfied) | ||||||
| Distance | 4.63 ± 0.75; 5 [1] | 0 | 4.8 | 1.6 | 19.4 | 74.2 |
| Intermediate | 4.56 ± 0.88; 5 [1] | 1.6 | 4.8 | 1.6 | 19.4 | 72.6 |
| Near | 4.50 ± 0.88; 5 [1] | 0 | 8.1 | 1.6 | 22.6 | 67.7 |
| Photic phenomena (bothersome) | 2.21 ± 1.29; 2 [1] | 32.3 | 45.2 | 3.2 | 8.1 | 11.3 |
| Operated again (likely) | 4.53 ± 0.95; 5 [1] | 1.6 | 6.5 | 3.2 | 14.5 | 74.2 |
| Coding for main words (X = satisfied or bothersome or likely): “not at all X” (Cat. 1), “slightly X” (Cat. 2), “neutral” (Cat. 3), “X” (Cat. 4), and “very X” (Cat. 5). | ||||||
Publisher’s Note: MDPI stays neutral with regard to jurisdictional claims in published maps and institutional affiliations. |
© 2021 by the authors. Licensee MDPI, Basel, Switzerland. This article is an open access article distributed under the terms and conditions of the Creative Commons Attribution (CC BY) license (https://creativecommons.org/licenses/by/4.0/).
Share and Cite
Fernández, J.; Rodríguez-Vallejo, M.; Martínez, J.; Burguera, N.; Piñero, D.P. Long-Term Efficacy, Visual Performance and Patient Reported Outcomes with a Trifocal Intraocular Lens: A Six-Year Follow-up. J. Clin. Med. 2021, 10, 2009. https://doi.org/10.3390/jcm10092009
Fernández J, Rodríguez-Vallejo M, Martínez J, Burguera N, Piñero DP. Long-Term Efficacy, Visual Performance and Patient Reported Outcomes with a Trifocal Intraocular Lens: A Six-Year Follow-up. Journal of Clinical Medicine. 2021; 10(9):2009. https://doi.org/10.3390/jcm10092009
Chicago/Turabian StyleFernández, Joaquín, Manuel Rodríguez-Vallejo, Javier Martínez, Noemi Burguera, and David P. Piñero. 2021. "Long-Term Efficacy, Visual Performance and Patient Reported Outcomes with a Trifocal Intraocular Lens: A Six-Year Follow-up" Journal of Clinical Medicine 10, no. 9: 2009. https://doi.org/10.3390/jcm10092009
APA StyleFernández, J., Rodríguez-Vallejo, M., Martínez, J., Burguera, N., & Piñero, D. P. (2021). Long-Term Efficacy, Visual Performance and Patient Reported Outcomes with a Trifocal Intraocular Lens: A Six-Year Follow-up. Journal of Clinical Medicine, 10(9), 2009. https://doi.org/10.3390/jcm10092009

