The Indices of Cardiovascular Magnetic Resonance Derived Atrial Dynamics May Improve the Contemporary Risk Stratification Algorithms in Children with Hypertrophic Cardiomyopathy
Abstract
1. Introduction
2. Materials and Methods
2.1. Study Population
2.2. Follow-Up
2.3. Risk Stratification
2.4. CMR Examination and Image Analysis
2.5. Feature Tracking Analysis
2.6. Echocardiographic Examination
2.7. Statistics
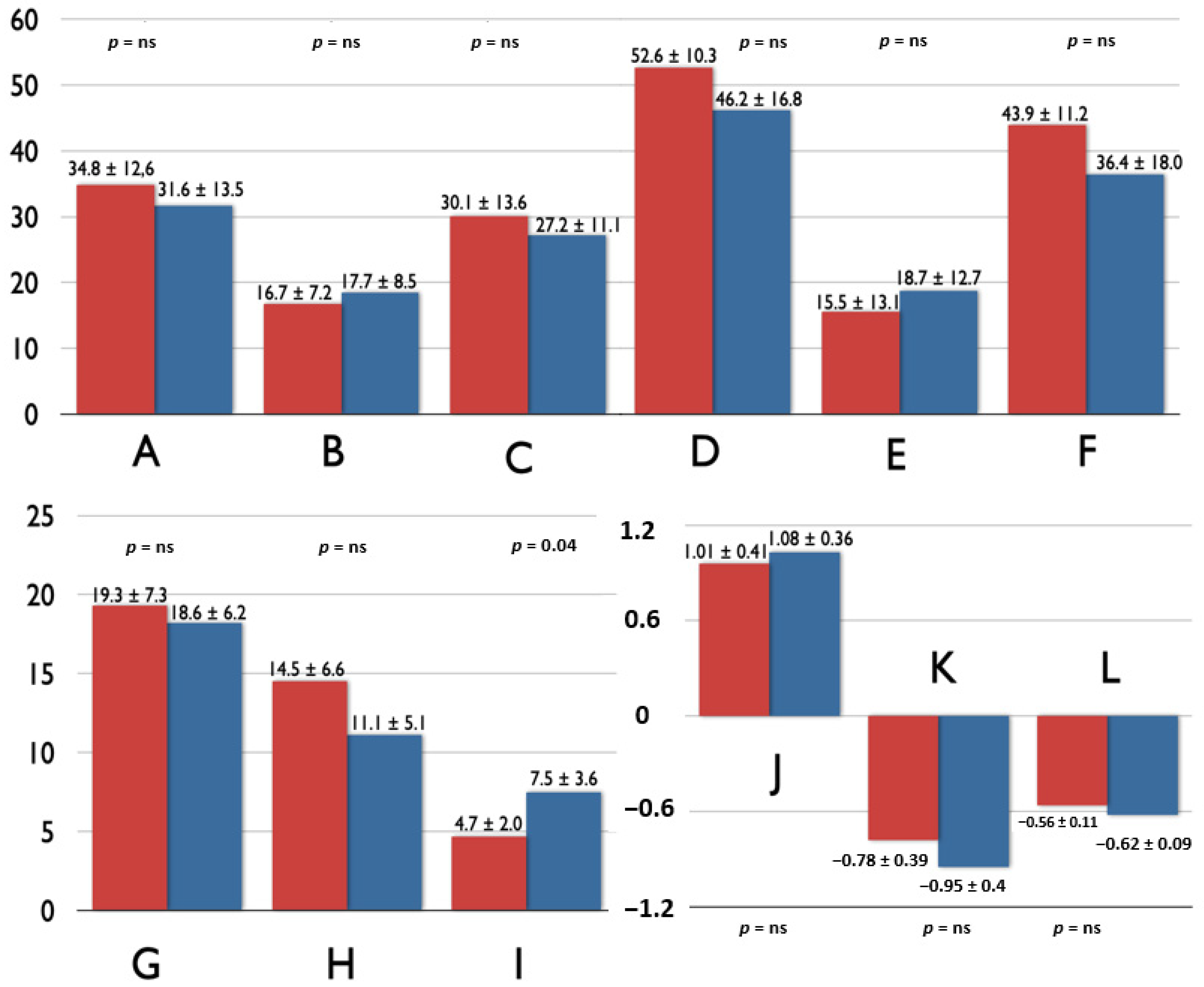
3. Results
3.1. Outcome
3.2. Risk Prediction Models
3.3. Role of Atrial Dynamics in Risk Stratification
3.4. Reclassifications
4. Discussion
- There was strong trend towards better prediction capabilities of the Risk-Kids Model compared to ACC/AHA Model
- Incorporating one of the left atrial displacement markers improved the accuracy of both methods for the prediction of fatal cardiac events.
- The enriched ACC/AHA and new HCM Risk-Kids Models performed similarly at identifying at-risk HCM children.
4.1. Atrial function
4.2. Baseline Prediction Models
4.3. Left Atrial Mechanical Indices Predictive Capabilities
4.4. Limitations of the Study
5. Conclusions
Supplementary Materials
Author Contributions
Funding
Institutional Review Board Statement
Informed Consent Statement
Data Availability Statement
Conflicts of Interest
References
- Maron, B.J.; Ferrans, V.J.; Henry, W.L.; Clark, C.E.; Redwood, D.R.; Roberts, W.C.; Morrow, A.G.; Epstein, S.E. Differences in distribution of myocardial abnormalities in patients with obstructive and nonobstructive asymmetric septal hypertrophy (ASH): Light and electron microscopic findings. Circulation 1974, 50, 436–446. [Google Scholar] [CrossRef] [PubMed]
- Tseng, W.Y.; Dou, J.; Reese, T.G.; Wedeen, V.J. Imaging myocardial fiber disarray and intramural strain hypokinesis in hypertrophic cardiomyopathy with MRI. J. Magn. Reson. Imaging 2006, 23, 1–8. [Google Scholar] [CrossRef] [PubMed]
- Brouwer, W.P.; Baars, E.N.; Tjeerd, G.; de Boer, K.; Beek, A.M.; van der Velden, J.; van Rossum, A.C.; Mark, B.M.H. In-vivo T1 cardiovascular magnetic resonance study of diffuse myocardial fibrosis in hypertrophic cardiomyopathy. J. Cardiovasc. Magn. Reson. 2014, 16, 28. [Google Scholar] [CrossRef] [PubMed]
- Marian, A.J. Hypertrophic cardiomyopathy: From genetics to treatment. Eur. J. Clin. Investig. 2010, 40, 360–369. [Google Scholar] [CrossRef]
- Maron, B.J.; Spirito, P.; Ackerman, M.J.; Casey, S.A.; Semsarian, C.; Estes, N.A.M., III; Shannon, K.M.; Ashley, E.A.; Day, S.M.; Pacileo, G.; et al. Prevention of sudden cardiac death with implantable cardioverter-defibrillators in children and adolescents with hypertrophic cardiomyopathy. J. Am. Coll. Cardiol. 2013, 61, 1527–1535. [Google Scholar] [CrossRef]
- Chan, R.H.; Maron, B.J.; Olivotto, I.; Pencina, M.J.; Assenza, G.E.; Haas, T.; Lesser, J.R.; Gruner, C.; Crean, A.M.; Rakowski, H.; et al. Prognostic value of quantitative contrast-enhanced cardiovascular magnetic resonance for the evaluation of sudden death risk in patients with hypertrophic cardiomyopathy. Circulation 2014, 130, 484–495. [Google Scholar] [CrossRef] [PubMed]
- Gersh, B.J.; Maron, B.J.; Bonow, R.O.; Dearani, J.A.; Fifer, M.A.; Link, M.S.; Naidu, S.S.; Nishimura, R.A.; Ommen, S.R.; Rakowski, H.; et al. 2011 ACCF/AHA Guideline for the diagnosis and treatment of hypertrophic cardiomyopathy: A report of the American College of Cardiology Foundation/American Heart Association Task Force on Practice Guidelines. Circulation 2011, 124, e783–e831. [Google Scholar] [CrossRef]
- O’Mahony, C.; Jichi, F.; Pavlou, M. A novel clinical risk prediction model for sudden cardiac death in hypertrophic cardiomyopathy (HCM risk-SCD). Eur. Heart J. 2014, 35, 2010–2020. [Google Scholar] [CrossRef]
- Norrish, G.; Ding, T.; Field, E.; Ziółkowska, L.; Olivoto, L.; Limongelli, G.; Anastasakis, A.; Weintraub, R.; Biagini, E.; Ragni, L.; et al. Development of a Novel Risk Prediction Model for Sudden Cardiac Death in Childhood Hypertrophic Cardiomyopathy (HCM Risk-Kids). JAMA Cardiol. 2019. [Google Scholar] [CrossRef]
- Nistri, S.; Olivotto, I.; Betocchi, S.; Losi, M.A.; Valsecchi, G.; Pinamonti, B.; Conte, M.R.; Casazza, F.; Galderisi, M.; Maron, G.J.; et al. Prognostic significance of left atrial size in patients with hypertrophic cardiomyopathy (from the Italian Registry for Hypertrophic Cardiomyopathy). Am. J. Cardiol. 2006, 98, 960–965. [Google Scholar] [CrossRef]
- Ziółkowska, L.; Turska-Kmieć, A.; Petryka, J.; Kawalec, W. Predictors of Long-Term Outcome in Children with Hypertrophic Cardiomyopathy. Pediatr. Cardiol. 2016, 37, 448–458. [Google Scholar] [CrossRef]
- Yang, W.I.; Shim, C.Y.; Kim, Y.J.; Kim, S.A.; Rhee, S.J.; Choi, E.Y.; Choi, D.; Jang, Y.; Chung, N.; Cho, S.Y.; et al. Left atrial volume index: A predictor of adverse outcome in patients with hypertrophic cardiomyopathy. J. Am. Soc. Echocardiogr. 2009, 22, 1338–1343. [Google Scholar] [CrossRef]
- Kowallick, J.T.; Silva Vieira, M.; Kutty, S.; Lotz, J.; Hasenfuß, G.; Chiribiri, A.; Schuster, A. Left Atrial Performance in the Course of Hypertrophic Cardiomyopathy: Relation to Left Ventricular Hypertrophy and Fibrosis. Investig. Radiol. 2017, 52, 177–185. [Google Scholar] [CrossRef] [PubMed]
- Mazurkiewicz, L.; Ziółkowska, L.; Petryka, J.; Śpiewak, M.; Małek, L.; Kubik, A.; Marczak, M.; Misko, J.; Brzezińska-Rajszys, G. Biatrial performance in children with hypertrophic cardiomyopathy: CMR study. Eur. Radiol. 2018, 28, 5148–5159. [Google Scholar] [CrossRef] [PubMed]
- Mulder, B.J.; van der Wall, E.E. Size and function of the atria. Int. J. Cardiovasc. Imaging 2008, 24, 713–716. [Google Scholar] [CrossRef] [PubMed][Green Version]
- Eshoo, S.; Semsarian, C.; Ross, D.L.; Thomas, L. Left atrial phasic volumes are modulated by the type rather than the extent of left ventricular hypertrophy. J. Am. Soc. Echocardiogr. 2010, 23, 538–544. [Google Scholar] [CrossRef] [PubMed]
- Stefanadis, C.; Dernellis, J.; Toutouzas, P. A clinical appraisal of left atrial function. Eur. Heart J. 2001, 22, 22–36. [Google Scholar] [CrossRef]
- Paraskevaidis, I.A.; Panou, F.; Papadopoulos, C.; Farmakis, D.; Parissis, J.; Ikonomidis, I.; Rigopoulos, A.; Iliodromitis, E.K.; Kremastinos, D.T. Evaluation of left atrial longitudinal function in patients with hypertrophic cardiomyopathy: A tissue Doppler imaging and two-dimensional strain study. Heart 2009, 95, 483–489. [Google Scholar] [CrossRef]
- Willens, H.J.; Fertel, D.P.; Qin, J.; Labrador, E.; Lowery, M.H. Lowery Effects of age and pulmonary arterial hypertension on the different phases of right atrial function. Int. J. Cardiovasc. Imaging 2008, 24, 703–710. [Google Scholar] [CrossRef]
- Gaynor, S.L.; Maniar, H.S.; Bloch, J.B.; Steendijk, P.; Moon, M.R. Right atrial and ventricular adaptation to chronic right ventricular pressure overload. Circulation 2005, 112, I-212–I-218. [Google Scholar]
- Mazurkiewicz, Ł.; Ziółkowska, L.; Petryka, J.; Śpiewak, M.; Małek, Ł.; Kubik, A.; Marczak, M.; Misko, J.; Brzezińska-Rajszys, G. Left-ventricular mechanics in children with hypertrophic cardiomyopathy. CMR study. Magn. Reson. Imaging 2017, 43, 56–65. [Google Scholar] [CrossRef]
- Maron, B.; Rowin, E.; Casey, S. Hypertrophic Cardiomyopathy in Children, Adolescents and Young Adults Associated with Low Cardiovascular Mortality with Contemporary Management Strategies. Circulation 2016, 133, 62–73. [Google Scholar] [CrossRef] [PubMed]
- Maron, B.J.; Casey, S.A.; Chan, R.N.; Garberich, R.F.; Rowin, E.J.; Maron, M.S. Independent Assessment of the European Society of Cardiology Sudden Death Risk Model for Hypertrophic Cardiomyopathy. Am. J. Cardiol. 2015, 116, 757–764. [Google Scholar] [CrossRef] [PubMed]
- Farhad, H.; Seidelmann, S.B.; Vigneault, D.; Abbasi, S.A.; Yang, E.; Day, S.M.; Colan, S.D.; Russell, M.W.; Towbin, J.; Sherrid, M.V.; et al. Left Atrial structure and function in hypertrophic cardiomyopathy sarcomere mutation carriers with and without left ventricular hypertrophy. J. Cardiovasc. Magn. Reson. 2017, 19, 107. [Google Scholar] [CrossRef] [PubMed]
- Mochizuki, A.; Yuda, S.; Fujito, T.; Kawamukai, M.; Muranaka, A.; Nagahara, D.; Shimoshige, S.; Hashimoto, A.; Miura, T. Assessment of left atrial deformation and synchrony by three-dimensional speckle-tracking echocardiography: Comparative studies in healthy subjects and patients with atrial fibrillation. J. Am. Soc. Echocardiogr. 2013, 26, 165–174. [Google Scholar] [CrossRef] [PubMed]
- Hiemstra, Y.L.; Debonnaire, P.; Bootsma, M.; Van Zwet, E.W.; Delgado, V.; Schalij, M.J.; Atsma, D.E.; Bax, J.J.; Marsan, N.A. Global Longitudinal Strain and Left Atrial Volume Index Provide Incremental Prognostic Value in Patients with Hypertrophic Cardiomyopathy. Circ. Cardiovasc. Imaging 2017, 10, e005706. [Google Scholar] [CrossRef] [PubMed]
- Hartlage, G.R.; Kim, J.H.; Strickland, P.T.; Cheng, A.C.; Ghasemzadeh, N.; Pernetz, M.A.; Clements, S.D.; Williams, B.R., III. The prognostic value of standardized reference values for speckle-tracking global longitudinal strain in hypertrophic cardiomyopathy. Int. J. Cardiovasc. Imaging 2015, 31, 557–565. [Google Scholar] [CrossRef]
- Bauer, F.; Shiota, T.; White, R.D.; Lever, H.M.; Qin, J.X.; Drinko, J.; Martin, M.; Tsujino, H.; Sitges, M.; Kim, Y.J.; et al. Determinant of left atrial dilation in patients with hypertrophic cardiomyopathy: A real-time 3-dimensional echocardiographic study. J. Am. Soc. Echocardiogr. 2004, 17, 968–975. [Google Scholar] [CrossRef]
- Takemoto, Y.; Barnes, M.E.; Seward, J.B.; Lester, S.J.; Appleton, C.A.; Gersh, B.J.; Bailey, K.R.; Tsang, T.S.M. Usefulness of left atrial volume in predicting first congestive heart failure in patients > or = 65 years of age with well-preserved left ventricular systolic function. Am. J. Cardiol. 2005, 96, 832–836. [Google Scholar] [CrossRef]
- Von Roeder, M.; Rommel, K.-P.; Kowallick, J.T.; Blazek, S.; Besler, C.; Fengler, K.; Lotz, J.; Hasenfuß, G.; Lücke, C.; Gutberlet, M.; et al. Influence of Left Atrial Function on Exercise Capacity and Left Ventricular Function in Patients With Heart Failure and Preserved Ejection Fraction. Circ. Cardiovasc. Imaging 2017, 10. [Google Scholar] [CrossRef]
- Habibi, M.; Lima, J.A.; Khurram, I.M.; Zimmerman, S.L.; Zipunnikov, V.; Fukumoto, K.; Spragg, D.; Ashikaga, H.; Rickard, J.; Marine, J.E.; et al. Association of left atrial function and left atrial enhancement in patients with atrial fibrillation: Cardiac magnetic resonance study. Circ. Cardiovasc. Imaging 2015, 8, e002769. [Google Scholar] [CrossRef]
- Kim, K.-J.; Choi, H.-M.; Yoon, Y.E.; Kim, H.-L.; Lee, S.-P.; Kim, H.-K.; Kim, Y.-J.; Cho, G.-Y.; Zo, J.-H.; Sohn, D.-W. Left Atrial Mechanical Function and Global Strain in Hypertrophic Cardiomyopathy. PLoS ONE 2016, 11, e0157433. [Google Scholar] [CrossRef] [PubMed]
- Goldberger, J.J.; Arora, R.; Green, D.; Greenland, P.; Lee, D.C.; Lloyd-Jones, D.M.; Markl, M.; Ng, J.; Shah, S.J. Evaluating the Atrial Myopathy Underlying Atrial Fibrillation: Identifying the Arrhythmogenic and Thrombogenic Substrate. Circulation 2015, 132, 278–291. [Google Scholar] [CrossRef] [PubMed]
- Maron, M.S.; Rowin, E.J.; Wessler, B.S.; Mooney, P.J.; Fatima, A.; Patel, P.; Koethe, B.C.; Romashko, M.; Link, M.S.; Maron, B.J. Enhanced American College of Cardiology/American Heart Association Strategy for Prevention of Sudden Cardiac Death in High-Risk Patients With Hypertrophic Cardiomyopathy. JAMA Cardiol. 2019, 4, 644–657. [Google Scholar] [CrossRef] [PubMed]





| Study Group n = 55 | Patients with Endpoints n = 7 | Patients without Endpoints n = 48 | p Value between Children with and without Endpoints | |
|---|---|---|---|---|
| Age (years) | 12.5 ± 4.6 | 10.4 ± 5.4 | 12.3 ± 4.5 | ns |
| Male sex n (%) | 38 (69.1) | |||
| BSA (m2) | 1.5 ± 0.2 | 1.1 ± 0.4 | 1.3 ± 0.4 | ns |
| NYHA | 1.7 ± 0.5 | 1.8 ± 0.5 | 1.7 ± 0.5 | ns |
| IM | 1.73 ± 0.53 | 1.78 ± 0.66 | 1.71 ± 0.48 | ns |
| LVOTO n(%) | 19 (34.5) | 2 (28.5) | 17 (35.4) | ns |
| MRI parameters | ||||
| LVEDVI (mL/m2) | 79.7 ± 17.5 | 78.8 ± 14.8 | 79.8 ± 17.9 | ns |
| LVESVI (mL/m2) | 27.2 ± 10.1 | 27.8 ± 10.5 | 25.3 ± 6.8 | ns |
| LVSVI (mL/m2) | 52.5 ± 11.5 | 52.4 ± 11.9 | 53.7 ± 10.3 | ns |
| LVEF (%) | 65.8 ± 7.4 | 65.7 ± 7.8 | 68 ± 6.1 | ns |
| LVMI (g/m2) | 94.9 ± 59.7 | 92.1 ± 58.6 | 110 ± 67.7 | ns |
| Areas of lge (%) | 27 (49.1) | 8 (100%) | 19 (39.5%) | 0.02 |
| RVEDVI (mL/m2) | 73.4 ± 13.5 | 96.3 ± 46.6 | 90.3 ± 48.1 | ns |
| RVESVI (mL/m2) | 27.7 ± 11.2 | 38.1 ± 22.2 | 26.3 ± 12.4 | ns |
| RVSVI (mL/m2) | 43.9 ± 12.2 | ns | ||
| RVEF (%) | 61.4 ± 8.7 | 60.1 ± 7.2 | 64.0 ± 7.0 | ns |
| All Patients (n = 55) | Patients with Endpoints (n = 7) | |
|---|---|---|
| Genetic testing (%) | 15 (27.2) | 1 (14.2) |
| KRAS | 1 | 0 |
| MYBPC3 | 2 | 0 |
| RYR2 | 1 | 0 |
| MYH7 | 2 | 0 |
| MYPN | 1 | 0 |
| TNNI3 | 1 | 1 |
| Patient | Type of Event | Number of ACC/AHA Risk Factors | Risk-Kids Score | Family History of SCD | Massive LV Hypertrophy | Syncope | nsVT | Maximal Wall Thickness z-Score | Age at Initial Evaluation | LA Size z-Score |
|---|---|---|---|---|---|---|---|---|---|---|
| W-A | death | 1 | 10.5 | 0 | 0 | 0 | 1 | 13.7 | 13.8 | 5.1 |
| P-B | death | 1 | 6.01 | 1 | 0 | 0 | 0 | 10 | 18.1 | 2.3 |
| P-P | death | 2 | 10.2 | 1 | 0 | 0 | 1 | 16.3 | 2.65 | 2.1 |
| N-K | death | 1 | 10.7 | 0 | 0 | 0 | 0 | 15.1 | 3.69 | 2.4 |
| N-Ko | ICD dis | 2 | 4.3 | 1 | 0 | 1 | 0 | 5.2 | 13.06 | 1.2 |
| W-S | ICD dis | 1 | 6.5 | 0 | 0 | 0 | 0 | 11.1 | 7.35 | 1.4 |
| J-W | ICD dis | 1 | 5.4 | 1 | 0 | 0 | 0 | 6.2 | 15.13 | 9.4 |
Publisher’s Note: MDPI stays neutral with regard to jurisdictional claims in published maps and institutional affiliations. |
© 2021 by the authors. Licensee MDPI, Basel, Switzerland. This article is an open access article distributed under the terms and conditions of the Creative Commons Attribution (CC BY) license (http://creativecommons.org/licenses/by/4.0/).
Share and Cite
Ziółkowska, L.; Mazurkiewicz, Ł.; Petryka, J.; Kowalczyk-Domagała, M.; Boruc, A.; Bieganowska, K.; Ciara, E.; Piekutowska-Abramczuk, D.; Śpiewak, M.; Miśko, J.; et al. The Indices of Cardiovascular Magnetic Resonance Derived Atrial Dynamics May Improve the Contemporary Risk Stratification Algorithms in Children with Hypertrophic Cardiomyopathy. J. Clin. Med. 2021, 10, 650. https://doi.org/10.3390/jcm10040650
Ziółkowska L, Mazurkiewicz Ł, Petryka J, Kowalczyk-Domagała M, Boruc A, Bieganowska K, Ciara E, Piekutowska-Abramczuk D, Śpiewak M, Miśko J, et al. The Indices of Cardiovascular Magnetic Resonance Derived Atrial Dynamics May Improve the Contemporary Risk Stratification Algorithms in Children with Hypertrophic Cardiomyopathy. Journal of Clinical Medicine. 2021; 10(4):650. https://doi.org/10.3390/jcm10040650
Chicago/Turabian StyleZiółkowska, Lidia, Łukasz Mazurkiewicz, Joanna Petryka, Monika Kowalczyk-Domagała, Agnieszka Boruc, Katarzyna Bieganowska, Elżbieta Ciara, Dorota Piekutowska-Abramczuk, Mateusz Śpiewak, Jolanta Miśko, and et al. 2021. "The Indices of Cardiovascular Magnetic Resonance Derived Atrial Dynamics May Improve the Contemporary Risk Stratification Algorithms in Children with Hypertrophic Cardiomyopathy" Journal of Clinical Medicine 10, no. 4: 650. https://doi.org/10.3390/jcm10040650
APA StyleZiółkowska, L., Mazurkiewicz, Ł., Petryka, J., Kowalczyk-Domagała, M., Boruc, A., Bieganowska, K., Ciara, E., Piekutowska-Abramczuk, D., Śpiewak, M., Miśko, J., Marczak, M., & Brzezińska-Rajszys, G. (2021). The Indices of Cardiovascular Magnetic Resonance Derived Atrial Dynamics May Improve the Contemporary Risk Stratification Algorithms in Children with Hypertrophic Cardiomyopathy. Journal of Clinical Medicine, 10(4), 650. https://doi.org/10.3390/jcm10040650

