Outcomes of Deceased Donor Kidney Transplantation in the Eurotransplant Senior Program with A Focus on Recipients ≥75 Years
Abstract
1. Introduction
2. Patients and Methods
2.1. Study Design
2.2. Data Collection and Outcome Measures
2.3. Statistical Analysis
3. Results
4. Discussion
5. Conclusions
Author Contributions
Funding
Institutional Review Board Statement
Informed Consent Statement
Data Availability Statement
Conflicts of Interest
References
- Rebollo, P.; Ortega, F.; Baltar, J.M.; Diaz-Corte, C.; Navascués, R.A.; Naves, M.; Ureña, A.; Badía, X.; Alvarez-Ude, F.; Alvarez-Grande, J. Health-related quality of life (HRQOL) in end stage renal disease (ESRD) patients over 65 years. Geriatr. Nephrol. Urol. 1998, 8, 85–94. [Google Scholar] [CrossRef] [PubMed]
- Laupacis, A.; Keown, P.; Pus, N.; Krueger, H.; Ferguson, B.; Wong, C.; Muirhead, N. A study of the quality of life and cost-utility of renal transplantation. Kidney Int. 1996, 50, 235–242. [Google Scholar] [CrossRef] [PubMed]
- Wolfe, R.A.; Ashby, V.B.; Milford, E.L.; Ojo, A.O.; Ettenger, R.E.; Agodoa, L.Y.C.; Held, P.J.; Port, F.K. Comparison of Mortality in All Patients on Dialy-sis, Patients on Dialysis Awaiting Transplantation, and Recipients of a First Cadaveric Transplant. N. Engl. J. Med. 1999, 341, 1725–1730. [Google Scholar] [CrossRef] [PubMed]
- Medin, C.; Elinder, C.; Hylander, B.; Blom, B.; Wilczek, H. Survival of patients who have been on a waiting list for renal transplan-tation. Nephrol. Dial. Transplant. 2000, 15, 701–704. [Google Scholar] [CrossRef] [PubMed]
- Cohen, B.; Smits, J.M.; Haase, B.; Persijn, G.; Vanrenterghem, Y.; Frei, U. Expanding the donor pool to increase renal transplantation. Nephrol. Dial. Transplant. 2005, 20, 34–41. [Google Scholar] [CrossRef] [PubMed][Green Version]
- Frei, U.; Noeldeke, J.; Machold-Fabrizii, V.; Arbogast, H.; Margreiter, R.; Fricke, L.; Voiculescu, A.; Kliem, V.; Ebel, H.; Albert, U.; et al. Prospective Age-Matching in Elderly Kidney Transplant Recipients—A 5-Year Analysis of the Eurotransplant Senior Program. Arab. Archaeol. Epigr. 2007, 8, 50–57. [Google Scholar] [CrossRef] [PubMed]
- Bahde, R.; Vowinkel, T.; Unser, J.; Anthoni, C.; Holzen, J.P.; Suwelack, B. Prognostic factors for kidney allograft survival in the Euro-transplant Senior Program. Ann. Transplant. 2014, 19, 201–209. [Google Scholar] [PubMed]
- Jacobi, J.; Beckmann, S.; Heller, K.; Hilgers, K.F.; Apel, H.; Spriewald, B.; Amann, K.U. Deceased Donor Kidney Transplantation in the Euro-transplant Senior Program (ESP): A Single-Center Experience from 2008 to 2013. Ann. Transplant. 2016, 21, 94–104. [Google Scholar] [CrossRef] [PubMed][Green Version]
- Quast, L.S.; Grzella, S.; Lengenfeld, T.; Pillokeit, N.; Hummels, M.; Zgoura, P.; Westhoff, T.H.; Viebahn, R.; Schenker, P. Outcome of Kidney Transplantation Using Or-gans From Brain-dead Donors Older Than 75 Years. Transplant. Proc. 2020, 52, 119–126. [Google Scholar] [CrossRef] [PubMed]
- Heldal, K.; Hartmann, A.; Grootendorst, D.C.; de Jager, D.J.; Leivestad, T.; Foss, A.; Midtvedt, K. Benefit of kidney transplantation beyond 70 years of age. Nephrol. Dial. Transplant. 2010, 25, 1680–1687. [Google Scholar] [CrossRef] [PubMed]
- Boesmueller, C.; Biebl, M.; Scheidl, S.; Oellinger, R.; Margreiter, C.; Pratschke, J.; Margreiter, R.; Schneeberger, S. Long-Term Outcome in Kidney Transplant Recipients Over 70 Years in the Eurotransplant Senior Kidney Transplant Program: A Single Center Experience. Transplantation 2011, 92, 210–216. [Google Scholar] [CrossRef] [PubMed]
- Rao, P.S.; Merion, R.M.; Ashby, V.B.; Port, F.K.; Wolfe, R.A.; Kayler, L.K. Renal Transplantation in Elderly Patients Older Than 70 Years of Age: Results From the Scientific Registry of Transplant Recipients. Transplantation 2007, 83, 1069–1074. [Google Scholar] [CrossRef] [PubMed]
- European Commission. Statistical Office of the European Union. Ageing Europe: Looking at the Lives of Older People in the EU: 2019 Edition. [Internet]. LU: Publications Office. 2019. Available online: https://data.europa.eu/doi/10.2785/811048 (accessed on 22 May 2021).
- Parekh, J.; Bostrom, A.; Feng, S. Diabetes Mellitus: A Risk Factor for Delayed Graft Function after Deceased Donor Kidney Transplantation. Arab. Archaeol. Epigr. 2010, 10, 298–303. [Google Scholar] [CrossRef] [PubMed]
- Wu, W.K.; Famure, O.; Li, Y.; Kim, S.J. Delayed graft function and the risk of acute rejection in the modern era of kidney transplan-tation. Kidney Int. 2015, 88, 851–858. [Google Scholar] [CrossRef] [PubMed]
- Weber, S.; Dienemann, T.; Jacobi, J.; Eckardt, K.-U.; Weidemann, A. Delayed graft function is associated with an increased rate of renal allograft rejection: A retrospective single center analysis. PLoS ONE 2018, 13, e0199445. [Google Scholar] [CrossRef]
- Nogueira, J.M.; Haririan, A.; Jacobs, S.C.; Cooper, M.; Weir, M.R. Cigarette Smoking, Kidney Function, and Mortality After Live Donor Kidney Transplant. Am. J. Kidney Dis. 2010, 55, 907–915. [Google Scholar] [CrossRef] [PubMed]
- Giessing, M.; Fuller, T.F.; Friedersdorff, F.; Deger, S.; Wille, A.; Neumayer, H.-H.; Schmidt, D.; Budde, K.; Liefeldt, L. Outcomes of Transplanting Deceased-Donor Kidneys between Elderly Donors and Recipients. J. Am. Soc. Nephrol. 2009, 20, 37–40. [Google Scholar] [CrossRef] [PubMed]



| Groups | ||||
|---|---|---|---|---|
| 65–69 years | 70–74 years | ≥75 years | p-Value | |
| n | 45 | 28 | 12 | |
| Gender: male/female | 24/16, 53.3%/46.7% | 17/11, 60.7%/39.3% | 10/2, 83.3%/16.7% | n.s. |
| Follow-up (months) | 46.98 ± 28.6 | 55.6 ± 30.5 | 46.25 ± 24.0 | n.s. |
| Age of recipient at time of KT (years) | 67.16 ± 1.51 | 71.86 ± 1.41 | 77.42 ± 3.30 | <0.001 |
| Age of donor at time of KT (years) | 71.62 ± 4.38 | 72.71 ± 5.11 | 72.92 ± 4.91 | n.s. |
| BMI of recipient (kg/m2) | 27.4 ± 4.6 | 27.05 ± 4.05 | 27.14 ± 3.09 | n.s. |
| HLA-mismatches | 3.76 ± 1.28 | 3.71 ± 1.24 | 3.67 ± 1.16 | n.s. |
| Primary kidney disease | ||||
| Vascular/hypertensive disease | 5, 11.1% | 11, 39.3% | 3, 25.0% | n.s. |
| Glomerulonephritis | 13, 28.9% | 7, 25.0% | 2, 16.7% | n.s. |
| Diabetic nephropathy | 12, 26.7% | 4, 14.3% | 4, 33.3% | n.s. |
| Malignancy | 2, 4.4% | 0 | 0 | n.s. |
| Genetic/cystic kidneys disease | 8, 17.8% | 3, 10.7% | 2, 16.7% | n.s. |
| Infection/reflux | 1, 2.2% | 0 | 0 | n.s. |
| Systemic disease | 1, 2.2% | 0 | 0 | n.s. |
| Autoimmune | 0 | 0 | 1, 8.3% | n.s. |
| Various/unknown | 3, 6.7% | 3, 10.7% | 0 | n.s. |
| Pre-existing conditions | ||||
| Arterial hypertension | 45, 100% | 28, 100% | 12, 100% | n.s. |
| Diabetes mellitus | 21, 46.7% | 11, 39.3% | 5, 41.7% | n.s. |
| Coronary artery disease | 16, 35.6% | 14, 50% | 4, 33.3% | n.s. |
| Tobacco consumption | 17, 37.8% | 5, 17.9% | 2, 16.7% | n.s. |
| Previous operations in abdominal region | 20, 44.4% | 6, 21.4% | 9, 75% | n.s. |
| Dialysis | ||||
| Hemodialysis | 37, 82.2% | 27, 96.4% | 11, 91.7% | n.s. |
| Peritoneal dialysis | 8, 17.8% | 1, 3.6% | 1, 8.3% | n.s. |
| Time on dialysis (days) | 1950 ± 840 | 1487 ± 461 | 1418 ± 527 | 0.008 |
| Groups | ||||
|---|---|---|---|---|
| 65–69 years | 70–74 years | ≥75 years | p-Value | |
| Side of transplantation: fossa iliaca dextra/sinistra | 26/19, 57.8%/42.2% | 16/12, 57.1%/42.9% | 6/6, 50%/50% | n.s. |
| Operation time (minutes) | 203 ± 52.7 | 202 ± 46.9 | 235 ± 33.7 | n.s. |
| Cold ischemia time (hours) | 10.05 ± 3.78 | 9.46 ± 3.29 | 9.11 ± 2.96 | n.s. |
| Warm ischemia time (minutes) | 48.1 ± 10.7 | 52.6 ± 14.5 | 49.8 ± 10.0 | n.s. |
| Groups | ||||
|---|---|---|---|---|
| 65–69 years | 70–74 years | ≥75 years | p-Value | |
| Inpatient stay (days) | 22.1 ± 13.0 | 21.5 ± 15.6 | 19.3 ± 10.2 | n.s. |
| Occurrence of postoperative complications | 12, 26.7% | 10, 35.7% | 2, 16.7% | n.s. |
| Clavien–Dindo classification | ||||
| Clavien–Dindo 1 | 7, 15.6% | 8, 28.6% | n.a. | |
| Clavien–Dindo 2 | n.a. | n.a. | n.a. | |
| Clavien–Dindo 3 | 5, 11.1% | 2, 7.1% | 2, 16.7% | |
| Delayed graft function | 27, 60% | 14, 50% | 5, 41.7% | n.s. |
| Number of dialysis postoperatively | 6.44 ± 7.63 | 2.57 ± 2.10 | 4.80 ± 3.96 | n.s. |
| ICU required | 12, 26.7% | 6, 21.4% | 3, 25.0% | n.s. |
| ICU duration (days) | 1.58 ± 0.9 | 4 ± 3.58 | 3.0 ± 1.73 | n.s. |
| Occurrence of rejection | 10, 22.2% | 5, 17.9% | 1, 8.3% | n.s. |
| Cause of rejection | ||||
| Acute rejection | 4, 8.9% | 2, 7.1% | 1, 8.3% | |
| Chronic rejection | 4, 8.9% | 2, 7.1% | 0 | |
| Vascular complications | 1, 2.2% | 0 | 0 | |
| Tumor | 1, 2.2% | 0 | 0 | |
| Infection | 0 | 1, 3.6% | 0 | |
| Groups | ||||
|---|---|---|---|---|
| 65–69 years | 70–74 years | ≥75 years | p-Value | |
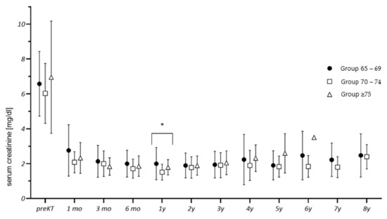
| Creatinine levels (mg/dL) | ||||
| Preoperatively | 6.57 ± 1.86 | 6.03 ± 1.72 | 6.95 ± 3.32 | n.s. |
| 1-year | 1.99 ± 0.93 | 1.51 ± 0.46 | 1.79 ± 0.44 | 0.046 |
| 3-year | 1.93 ± 0.76 | 1.91 ± 0.72 | 2.05 ± 0.68 | n.s. |
| 5-year | 1.89 ± 0.83 | 1.82 ± 0.61 | 2.19 ± 1.13 | n.s. |
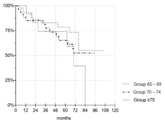
| Graft survival | ||||
| 1-year | 90.7% | 88.9% | 100% | n.s. |
| 3-year | 79.4% | 80.0% | 80.0% | n.s. |
| 5-year | 68.0% | 76.2% | 71.4% | n.s. |
| Patient survival | ||||
| 1-year | 92.9% | 85.7% | 100% | n.s. |
| 3-year | 79.4% | 77.8% | 72.7% | n.s. |
| 5-year | 68.0% | 61.5% | 62.5% | n.s. |
| Patient mortality at last follow-up | 11, 24% | 12, 42.9% | 6, 50% | |
| Of these: death with functioning graft | 8, 72.7% * | 7, 58.3% * | 4, 66.7% * | |
| Cause of death | ||||
| Cardiovascular | 2/4.4% | 0 | 0 | |
| Graft failure | 1/2.2% | 1/3.6% | 0 | |
| Infection/sepsis | 3/6.7% | 8/28.6% | 2/16.7% | |
| Malignancy | 4/8.9% | 1/3.6% | 2/16.7% | |
| Traumatic | 1/2.2% | 2/7.1% | 2/16.7% | |
| Quast(9) | Bahde(7) | Jacobi(8) | Our Results | |||
|---|---|---|---|---|---|---|
| n = 217 | n = 89 | n = 89 | Group 65–69 | Group 70–74 | Group ≥75 | |
| Age of recipients at KT | 68.1 ± 3.8 | 72.2 (70–77) | 68.2 ± 3.2 | 67.16 ± 1.51 | 71.86 ± 1.41 | 77.42 ± 3.30 |
| Graft survival | ||||||
| 1-year | 76.4% | n.a. | 87% | 90.7% | 88.9% | 100% |
| 5-year | 57.3% | 77% | 63% | 68.0% | 76.2% | 71.4% |
| Patient survival | ||||||
| 1-year | 88.2% | n.a | 87% | 92.9% | 85.7% | 100% |
| 5-year | 71.8% | 69.8% | 63% | 68.0% | 61.5% | 62.5% |
Publisher’s Note: MDPI stays neutral with regard to jurisdictional claims in published maps and institutional affiliations. |
© 2021 by the authors. Licensee MDPI, Basel, Switzerland. This article is an open access article distributed under the terms and conditions of the Creative Commons Attribution (CC BY) license (https://creativecommons.org/licenses/by/4.0/).
Share and Cite
Zompolas, I.; Peters, R.; Liefeldt, L.; Lehner, L.J.; Budde, K.; Ralla, B.; Goranova, I.; Maxeiner, A.; Lerchbaumer, M.H.; Marticorena Garcia, S.R.; et al. Outcomes of Deceased Donor Kidney Transplantation in the Eurotransplant Senior Program with A Focus on Recipients ≥75 Years. J. Clin. Med. 2021, 10, 5633. https://doi.org/10.3390/jcm10235633
Zompolas I, Peters R, Liefeldt L, Lehner LJ, Budde K, Ralla B, Goranova I, Maxeiner A, Lerchbaumer MH, Marticorena Garcia SR, et al. Outcomes of Deceased Donor Kidney Transplantation in the Eurotransplant Senior Program with A Focus on Recipients ≥75 Years. Journal of Clinical Medicine. 2021; 10(23):5633. https://doi.org/10.3390/jcm10235633
Chicago/Turabian StyleZompolas, Ilias, Robert Peters, Lutz Liefeldt, Lukas J. Lehner, Klemens Budde, Bernhard Ralla, Irena Goranova, Andreas Maxeiner, Markus H. Lerchbaumer, Stephan R. Marticorena Garcia, and et al. 2021. "Outcomes of Deceased Donor Kidney Transplantation in the Eurotransplant Senior Program with A Focus on Recipients ≥75 Years" Journal of Clinical Medicine 10, no. 23: 5633. https://doi.org/10.3390/jcm10235633
APA StyleZompolas, I., Peters, R., Liefeldt, L., Lehner, L. J., Budde, K., Ralla, B., Goranova, I., Maxeiner, A., Lerchbaumer, M. H., Marticorena Garcia, S. R., Kanne, M., Schlomm, T., Schulz, M. R. G., & Friedersdorff, F. (2021). Outcomes of Deceased Donor Kidney Transplantation in the Eurotransplant Senior Program with A Focus on Recipients ≥75 Years. Journal of Clinical Medicine, 10(23), 5633. https://doi.org/10.3390/jcm10235633

