Albuminuria Pre-Emptively Identifies Cardiac Patients at Risk of Contrast-Induced Nephropathy
Abstract
1. Introduction
2. Materials and Methods
2.1. Ethical Aspects
2.2. Patients and Clinical Protocol
2.3. Data Collection
2.4. Collection of Samples
2.5. Quantification of Early Kidney Damage Biomarkers in Urine Samples
2.6. Analysis of Biomarkers of Predisposition to Kidney Damage
2.7. Statistical Analysis
3. Results
3.1. Patient Characteristics and the Contrast Media Used
3.2. Evaluation of Urinary Biomarkers
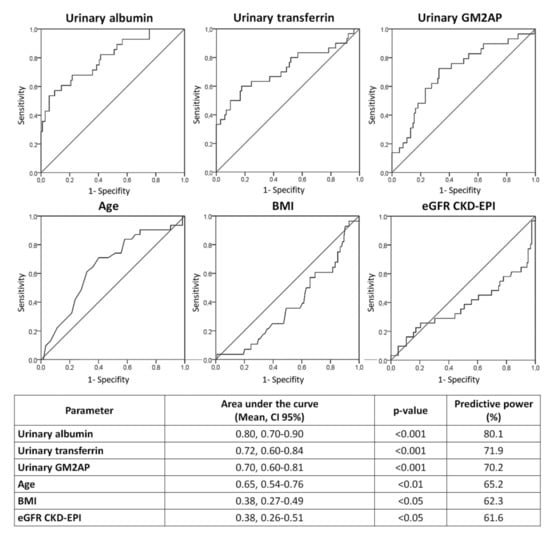
3.3. Ability of Risk Factors and Biomarkers of Predisposition to Predict the Development of CIN
| Parameter | B (Mean ± SEM) | Wald | p-Value |
|---|---|---|---|
| Constant | −2.53 ± 0.40 | 40.60 | <0.001 |
| Urinary albumin | 0.11 ± 0.02 | 20.76 | <0.001 |
| Sensitivity: 95.4%; Specificity: 52.2%; Total percentage: 86.4% | |||
| Model summary: −2LL: 82.32; Cox and Snell’s R2: 0.24; Nagelkerke’s R2: 0.38 | |||
| Variables discarded by the model: Transferrin (p-value = 0.295) GM2AP (p-value = 0.051) Age (p-value = 0.913) BMI (p-value = 0.444) eGFR CKD-EPI (p-value = 0.736) | |||
3.4. Risk and Incidence of CIN Based on Albuminuria
4. Discussion
5. Conclusions
Author Contributions
Funding
Institutional Review Board Statement
Informed Consent Statement
Data Availability Statement
Conflicts of Interest
References
- McCullough, P.A.; Choi, J.P.; Feghali, G.A.; Schussler, J.M.; Stoler, R.M.; Vallabahn, R.C.; Mehta, A. Contrast-induced acute kidney injury. J. Am. Coll. Cardiol. 2016, 68, 1465–1473. [Google Scholar] [CrossRef] [PubMed]
- Mehran, R.; Nikolsky, E. Contrast-induced nephropathy: Definition, epidemiology, and patients at risk. Kidney Int. Suppl. 2006, S11–S15. [Google Scholar] [CrossRef] [PubMed]
- Morcos, R.; Kucharik, M.; Bansal, P.; Al Taii, H.; Manam, R.; Casale, J.; Khalili, H.; Maini, B. Contrast-induced acute kidney injury: Review and practical update. Clin. Med. Insights Cardiol. 2019, 13. [Google Scholar] [CrossRef] [PubMed]
- Ozkok, S.; Ozkok, A. Contrast-induced acute kidney injury: A review of practical points. World J. Nephrol. 2017, 6, 86–99. [Google Scholar] [CrossRef] [PubMed]
- Nash, K.; Hafeez, A.; Hou, S. Hospital-acquired renal insufficiency. Am. J. Kidney Dis. Off. J. Natl. Kidney Found. 2002, 39, 930–936. [Google Scholar] [CrossRef] [PubMed]
- Azzalini, L.; Spagnoli, V.; Ly, H.Q. Contrast-induced nephropathy: From pathophysiology to preventive strategies. Can. J. Cardiol. 2016, 32, 247–255. [Google Scholar] [CrossRef]
- Bagshaw, S.M.; Bellomo, R. Early diagnosis of acute kidney injury. Curr. Opin. Crit. Care. 2007, 13, 638–644. [Google Scholar] [CrossRef]
- Moran, S.M.; Myers, B.D. Course of acute renal failure studied by a model of creatinine kinetics. Kidney Int. 1985, 27, 928–937. [Google Scholar] [CrossRef] [PubMed]
- Briguori, C.; Quintavalle, C.; Donnarumma, E.; Condorelli, G. Novel biomarkers for contrast-induced acute kidney injury. BioMed. Res. Int. 2014, 2014, 568738. [Google Scholar] [CrossRef]
- Sirota, J.C.; Klawitter, J.; Edelstein, C.L. Biomarkers of acute kidney injury. J. Toxicol. 2011, 2011, 328120. [Google Scholar] [CrossRef] [PubMed][Green Version]
- Bonventre, J.V.; Vaidya, V.S.; Schmouder, R.; Feig, P.; Dieterle, F. Next-generation biomarkers for detecting kidney toxicity. Nat. Biotechnol. 2010, 28, 436–440. [Google Scholar] [CrossRef]
- Quiros, Y.; Ferreira, L.; Sancho-Martínez, S.M.; González-Buitrago, J.M.; López-Novoa, J.M.; López-Hernández, F.J. Sub-nephrotoxic doses of gentamicin predispose animals to developing acute kidney injury and to excrete ganglioside M2 activator protein. Kidney Int. 2010, 78, 1006–1015. [Google Scholar] [CrossRef] [PubMed]
- Vicente-Vicente, L.; Ferreira, L.; González-Buitrago, J.M.; López-Hernández, F.J.; López-Novoa, J.M.; Morales, A.I. Increased urinary excretion of albumin, hemopexin, transferrin and VDBP correlates with chronic sensitization to gentamicin nephrotoxicity in rats. Toxicology 2013, 304, 83–91. [Google Scholar] [CrossRef]
- Vicente-Vicente, L.; Sánchez-Juanes, F.; García-Sánchez, O.; Blanco-Gozalo, V.; Pescador, M.; Sevilla, M.A.; González-Buitrago, J.M.; López-Hernández, F.J.; López-Novoa, J.M.; Morales, A.I. Sub-nephrotoxic cisplatin sensitizes rats to acute renal failure and increases urinary excretion of fumarylacetoacetase. Toxicol. Lett. 2015, 234, 99–109. [Google Scholar] [CrossRef]
- Casanova, A.G.; Vicente-Vicente, L.; Hernández-Sánchez, M.T.; Prieto, M.; Rihuete, M.I.; Ramis, L.M.; del Barco, E.; Cruz, J.J.; Ortiz, A.; Cruz-González, I.; et al. Urinary transferrin pre-emptively identifies the risk of renal damage posed by subclinical tubular alterations. Biomed. Pharmacother. 2020, 121, 109684. [Google Scholar] [CrossRef] [PubMed]
- World Medical Association. World Medical Association Declaration of Helsinki: Ethical principles for medical research involving human subjects. JAMA 2013, 310, 2191–2194. [Google Scholar] [CrossRef] [PubMed]
- NIDDK. Estimating Glomerular Filtration Rate. Available online: https://www.niddk.nih.gov/health-information/professionals/clinical-tools-patient-management/kidney-disease/laboratory-evaluation/glomerular-filtration-rate/estimating (accessed on 14 June 2021).
- Bradford, M.M. A rapid and sensitive method for the quantitation of microgram quantities of protein utilizing the principle of protein-dye binding. Anal. Biochem. 1976, 72, 248–254. [Google Scholar] [CrossRef]
- Kidney Disease: Improving Global Outcomes (KDIGO). Chapter 2: Definition, Identification, and Prediction of CKD Progression. Kidney Int. Suppl. 2013, 3, 63–72. [Google Scholar] [CrossRef] [PubMed]
- Hajian-Tilaki, K. Receiver operating characteristic (roc) curve analysis for medical diagnostic test evaluation. Casp. J. Intern. Med. 2013, 4, 627–635. [Google Scholar]
- McCullough, P.A.; Wolyn, R.; Rocher, L.L.; Levin, R.N.; O’Neill, W.W. Acute renal failure after coronary intervention: Incidence, risk factors, and relationship to mortality. Am. J. Med. 1997, 103, 368–375. [Google Scholar] [CrossRef]
- Gruberg, L.; Mintz, G.S.; Mehran, R.; Gangas, G.; Lansky, A.J.; Kent, K.M.; Pichard, A.D.; Satler, L.F.; Leon, M.B. The prognostic implications of further renal function deterioration within 48 h of interventional coronary procedures in patients with pre-existent chronic renal insufficiency. J. Am. Coll. Cardiol. 2000, 36, 1542–1548. [Google Scholar] [CrossRef]
- Mehran, R.; Aymong, E.D.; Nikolsky, E.; Lasic, Z.; Iakovou, I.; Fahy, M.; Mintz, G.S.; Lansky, A.J.; Moses, J.W.; Stone, G.W.; et al. A simple risk score for prediction of contrast-induced nephropathy after percutaneous coronary intervention: Development and initial validation. J. Am. Coll. Cardiol. 2004, 44, 1393–1399. [Google Scholar] [CrossRef] [PubMed]
- Tziakas, D.; Chalikias, G.; Stakos, D.; Apostolakis, S.; Adina, T.; Kikas, P.; Alexoudis, A.; Passadakis, P.; Thodis, E.; Vargemezis, V.; et al. Development of an easily applicable risk score model for contrast-induced nephropathy prediction after percutaneous coronary intervention: A novel approach tailored to current practice. Int. J. Cardiol. 2013, 163, 46–55. [Google Scholar] [CrossRef]
- Tziakas, D.; Chalikias, G.; Stakos, D.; Altun, A.; Sivri, N.; Yetkin, E.; Gur, M.; Stankovic, G.; Mehmedbegovic, Z.; Voudris, V.; et al. Validation of a new risk score to predict contrast-induced nephropathy after percutaneous coronary intervention. Am. J. Cardiol. 2014, 113, 1487–1493. [Google Scholar] [CrossRef] [PubMed]
- Silver, S.A.; Shah, P.M.; Chertow, G.M.; Harel, S.; Wald, R.; Harel, Z. Risk prediction models for contrast induced nephropathy: Systematic review. BMJ (Clin. Res. Ed.) 2015, 351, h4395. [Google Scholar] [CrossRef]
- Mitchell, A.M.; Jones, A.E.; Tumlin, J.A.; Kline, J.A. Incidence of contrast-induced nephropathy after contrast-enhanced computed tomography in the outpatient setting. Clin. J. Am. Soc. Nephrol. CJASN 2010, 5, 4–9. [Google Scholar] [CrossRef]
- Devarajan, P. Neutrophil gelatinase-associated lipocalin: A promising biomarker for human acute kidney injury. Biomark Med. 2010, 4, 265–280. [Google Scholar] [CrossRef]
- Bachorzewska-Gajewska, H.; Malyszko, J.; Sitniewska, E.; Malyszko, J.S.; Dobrzycki, S. Neutrophil-gelatinase-associated lipocalin and renal function after percutaneous coronary interventions. Am. J. Nephrol. 2006, 26, 287–292. [Google Scholar] [CrossRef] [PubMed]
- Zhu, J.; Yin, R.; Wu, H.; Yi, J.; Luo, L.; Dong, G.; Jing, H. Cystatin C as a reliable marker of renal function following heart valve replacement surgery with cardiopulmonary bypass. Clin. Chim. Acta Int. J. Clin. Chem. 2006, 374, 116–121. [Google Scholar] [CrossRef]
- Parving, H.H.; Oxenbøll, B.; Svendsen, P.A.; Christiansen, J.S.; Andersen, A.R. Early detection of patients at risk of developing diabetic nephropathy. a longitudinal study of urinary albumin excretion. Acta Endocrinol. 1982, 100, 550–555. [Google Scholar] [CrossRef]
- Viberti, G.C.; Hill, R.D.; Jarrett, R.J.; Argyropoulos, A.; Mahmud, U.; Keen, H. Microalbuminuria as a predictor of clinical nephropathy in insulin-dependent diabetes mellitus. Lancet 1982, 1, 1430–1432. [Google Scholar] [CrossRef]
- Isobe, S.; Yamada, T.; Yuba, M.; Hayashi, M.; Ishii, H.; Murohara, T. Relationship between pre-procedural microalbuminuria and renal functional changes after coronary computed tomography in diabetic patients. J. Cardiol. 2017, 69, 666–670. [Google Scholar] [CrossRef]
- Alzaid, A.A. Microalbuminuria in patients with NIDDM: An overview. Diabetes Care 1996, 19, 79–89. [Google Scholar] [CrossRef]
- Grams, M.E.; Astor, B.C.; Bash, L.D.; Matsushita, K.; Wang, Y.; Coresh, J. Albuminuria and estimated glomerular filtration rate independently associate with acute kidney injury. J. Am. Soc. Nephrol. 2010, 21, 1757–1764. [Google Scholar] [CrossRef] [PubMed]
- Tumlin, J.; Stacul, F.; Adam, A.; Becker, C.R.; Davidson, C.; Lameire, N.; McCullough, P.A.; CIN Consensus Working Panel. Pathophysiology of contrast-induced nephropathy. Am. J. Cardiol. 2006, 98, 14K–20K. [Google Scholar] [CrossRef]




| Controls (n = 122) | CIN (n = 31) | p-Value | |
|---|---|---|---|
| Gender (% men) | 76.2 | 71.0 | n.s. |
| Age (years) | 76 (39, 92) | 81 (41, 90) | <0.01 |
| BMI (kg/m2) | 27.6 (19.4, 50.8) | 26.6 (17.3, 42.8) | <0.05 |
| Arterial hypertension (%) | 55.2 | 70.4 | n.s. |
| Diabetes mellitus (%) | 27.6 | 33.3 | n.s. |
| Hypercholesterolemia (%) | 37.7 | 33.3 | n.s. |
| Dyslipidemia (%) | 43.1 | 33.3 | n.s. |
| Smoking (%) | 18.1 | 11.1 | n.s. |
| Previous kidney failure (%) | 5.2 | 7.4 | n.s. |
| Plasma creatinine (mg/dL) | 0.96 (0.53, 3.63) | 1.09 (0.34, 2.99) | n.s. |
| eGFR MDRD-IDMS (mL/min/1.73 m2) | 75.3 (16.3, 134.0) | 55.2 (15.0, 180.9) | n.s. |
| eGFR CKD-EPI (mL/min/1.73 m2) | 76.5 (14.5, 118.5) | 53.4 (14.1, 126.6) | <0.05 |
| Contrast type (Iohexol/Iodixanol/Other/Unknown) | 27/84/2/9 | 5/22/0/4 | n.s. |
| Volume of contrast medium administered (mL) Contrast delivered volume | 250 (17, 820) | 300 (90, 500) | n.s. |
Publisher’s Note: MDPI stays neutral with regard to jurisdictional claims in published maps and institutional affiliations. |
© 2021 by the authors. Licensee MDPI, Basel, Switzerland. This article is an open access article distributed under the terms and conditions of the Creative Commons Attribution (CC BY) license (https://creativecommons.org/licenses/by/4.0/).
Share and Cite
Vicente-Vicente, L.; Casanova, A.G.; Hernández-Sánchez, M.T.; Prieto, M.; Martínez-Salgado, C.; López-Hernández, F.J.; Cruz-González, I.; Morales, A.I. Albuminuria Pre-Emptively Identifies Cardiac Patients at Risk of Contrast-Induced Nephropathy. J. Clin. Med. 2021, 10, 4942. https://doi.org/10.3390/jcm10214942
Vicente-Vicente L, Casanova AG, Hernández-Sánchez MT, Prieto M, Martínez-Salgado C, López-Hernández FJ, Cruz-González I, Morales AI. Albuminuria Pre-Emptively Identifies Cardiac Patients at Risk of Contrast-Induced Nephropathy. Journal of Clinical Medicine. 2021; 10(21):4942. https://doi.org/10.3390/jcm10214942
Chicago/Turabian StyleVicente-Vicente, Laura, Alfredo G. Casanova, M. Teresa Hernández-Sánchez, Marta Prieto, Carlos Martínez-Salgado, Francisco J. López-Hernández, Ignacio Cruz-González, and Ana I. Morales. 2021. "Albuminuria Pre-Emptively Identifies Cardiac Patients at Risk of Contrast-Induced Nephropathy" Journal of Clinical Medicine 10, no. 21: 4942. https://doi.org/10.3390/jcm10214942
APA StyleVicente-Vicente, L., Casanova, A. G., Hernández-Sánchez, M. T., Prieto, M., Martínez-Salgado, C., López-Hernández, F. J., Cruz-González, I., & Morales, A. I. (2021). Albuminuria Pre-Emptively Identifies Cardiac Patients at Risk of Contrast-Induced Nephropathy. Journal of Clinical Medicine, 10(21), 4942. https://doi.org/10.3390/jcm10214942

