What Is the Importance of Electrocardiography in the Routine Screening of Patients with Repaired Tetralogy of Fallot?
Abstract
:1. Introduction
2. Materials and Methods
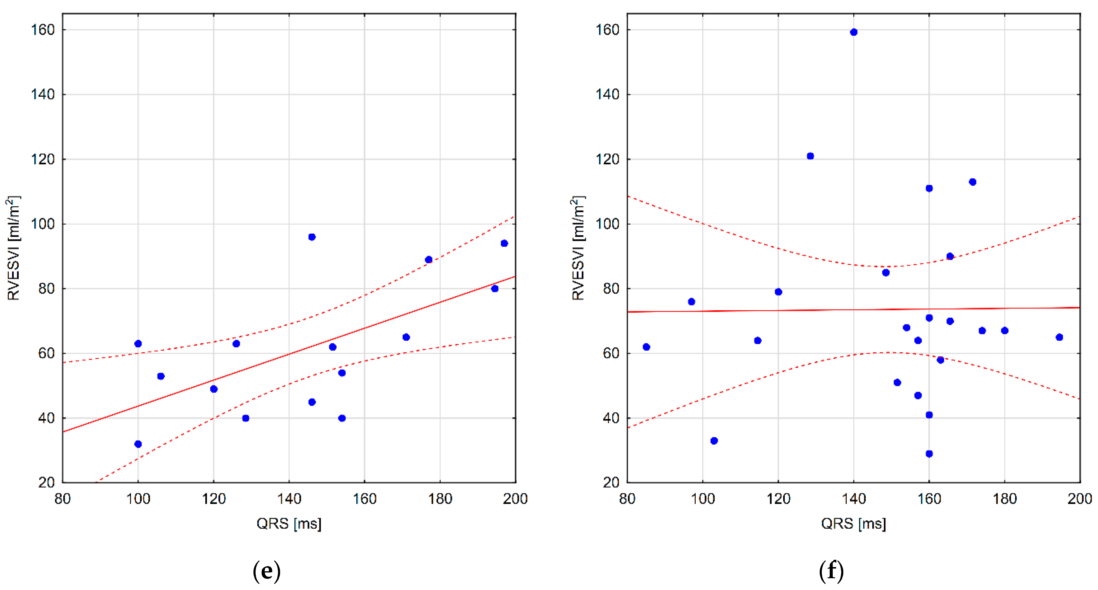
3. Results
4. Discussion
5. Conclusions
Supplementary Materials
Author Contributions
Funding
Institutional Review Board Statement
Informed Consent Statement
Acknowledgments
Conflicts of Interest
References
- Egbe, A.C.; Kothapalli, S.; Borlaug, B.A.; Ammash, N.M.; Najam, M.; Bajwa, N.; Tarek, K.; Mathew, J.; Connolly, H.M. Mechanism and Risk Factors for Death in Adults With Tetralogy of Fallot. Am. J. Cardiol. 2019, 124, 803–807. [Google Scholar] [CrossRef] [PubMed]
- Smith, C.A.; McCracken, C.; Thomas, A.S.; Spector, L.; Louis, J.D.S.; Oster, M.E.; Moller, J.H.; Kochilas, L. Long-term Outcomes of Tetralogy of Fallot. JAMA Cardiol. 2019, 4, 34–41. [Google Scholar] [CrossRef]
- Geva, T. Repaired tetralogy of Fallot: The roles of cardiovascular magnetic resonance in evaluating pathophysiology and for pulmonary valve replacement decision support. J. Cardiovasc. Magn. Reson. 2011, 13, 9. [Google Scholar] [CrossRef] [Green Version]
- Stout, K.K.; Daniels, C.J.; Aboulhosn, J.A.; Bozkurt, B.; Broberg, C.S.; Colman, J.M.; Crumb, S.R.; Dearani, J.A.; Fuller, S.; Gurvitz, M.; et al. 2018 AHA/ACC Guideline for the Management of Adults With Congenital Heart Disease: A Report of the American College of Cardiology/American Heart Association Task Force on Clinical Practice Guidelines. Circulation 2019, 139, e698–e800. [Google Scholar] [CrossRef] [PubMed]
- Baumgartner, H.; De Backer, J.; Babu-Narayan, S.V.; Budts, W.; Chessa, M.; Diller, G.-P.; Lung, B.; Kluin, J.; Lang, I.M.; Meijboom, F.; et al. 2020 ESC Guidelines for the management of adult congenital heart disease. Eur. Heart J. 2020, 42, 563–645. [Google Scholar] [CrossRef]
- Mason, J.W.; Strauss, D.G.; Vaglio, M.; Badilini, F. Correction of the QRS duration for heart rate. J. Electrocardiol. 2019, 54, 1–4. [Google Scholar] [CrossRef] [PubMed]
- Egbe, A.C.; Miranda, W.R.; Mehra, N.; Ammash, N.M.; Missula, V.R.; Madhavan, M.; Deshmukh, A.J.; Abdelsamid, M.F.; Kothapalli, S.; Connolly, H.M. Role of QRS Fragmentation for Risk Stratification in Adults With Tetralogy of Fallot. J. Am. Heart Assoc. 2018, 7, e010274. [Google Scholar] [CrossRef] [PubMed]
- Bokma, J.P.; Winter, M.M.; Vehmeijer, J.T.; Vliegen, H.W.; van Dijk, A.; Van Melle, J.P.; Meijboom, F.J.; Post, M.C.; Zwinderman, A.H.; Mulder, B.J.M.; et al. QRS fragmentation is superior to QRS duration in predicting mortality in adults with tetralogy of Fallot. Heart 2016, 103, 666–671. [Google Scholar] [CrossRef]
- Cate, F.E.U.T.; Sreeram, N.; Brockmeier, K. The pathophysiologic aspects and clinical implications of electrocardiographic parameters of ventricular conduction delay in repaired tetralogy of Fallot. J. Electrocardiol. 2014, 47, 618–624. [Google Scholar] [CrossRef]
- Gatzoulis, M.A.; Till, J.A.; Somerville, J.; Redington, A.N. Mechanoelectrical Interaction in Tetralogy of Fallot. Circulation 1995, 92, 231–237. [Google Scholar] [CrossRef]
- Gatzoulis, M.A.; Balaji, S.; Webber, S.A.; Siu, S.; Hokanson, J.S.; Poile, C.; Rosenthal, M.; Nakazawa, M.; Moller, J.H.; Gillette, P.C.; et al. Risk factors for arrhythmia and sudden cardiac death late after repair of tetralogy of Fallot: A multicentre study. Lancet 2000, 356, 975–981. [Google Scholar] [CrossRef]
- Ghai, A.; Silversides, C.; Harris, L.; Webb, G.D.; Siu, S.; Therrien, J. Left ventricular dysfunction is a risk factor for sudden cardiac death in adults late after repair of tetralogy of fallot. J. Am. Coll. Cardiol. 2002, 40, 1675–1680. [Google Scholar] [CrossRef] [Green Version]
- Yang, M.-C.; Chiu, S.-N.; Wang, J.-K.; Lu, C.-W.; Lin, M.-T.; Chen, C.-A.; Chang, C.-I.; Chen, Y.-S.; Chiu, I.-S.; Wu, M.-H. Natural and unnatural history of tetralogy of Fallot repaired during adolescence and adulthood. Heart Vessel. 2011, 27, 65–70. [Google Scholar] [CrossRef] [PubMed]
- Geva, T.; Sandweiss, B.M.; Gauvreau, K.; Lock, J.E.; Powell, A.J. Factors associated with impaired clinical status in long-term survivors of tetralogy of Fallot repair evaluated by magnetic resonance imaging. J. Am. Coll. Cardiol. 2004, 43, 1068–1074. [Google Scholar] [CrossRef] [PubMed] [Green Version]
- Knauth, A.L.; Gauvreau, K.; Powell, A.J.; Landzberg, M.J.; Walsh, E.P.; Lock, J.E.; Del Nido, P.J.; Geva, T. Ventricular size and function assessed by cardiac MRI predict major adverse clinical outcomes late after tetralogy of Fallot repair. Heart 2008, 94, 211–216. [Google Scholar] [CrossRef]
- Beurskens, N.E.G.; Hagdorn, Q.A.J.; Gorter, T.M.; Berger, R.M.F.; Vermeulen, K.M.; Van Melle, J.P.; Ebels, T.E.; Lui, G.K.; Ceresnak, S.R.; Chan, F.P.; et al. Risk of cardiac tachyarrhythmia in patients with repaired tetralogy of Fallot: A multicenter cardiac MRI based study. Int. J. Cardiovasc. Imaging 2018, 35, 143–151. [Google Scholar] [CrossRef]
- El Rahman, M.Y.A.; Abdul-Khaliq, H.; Vogel, M.; Alexi-Meskishvili, V.V.; Gutberlet, M.; Lange, P.E. Relation between right ventricular enlargement, QRS duration, and right ventricular function in patients with tetralogy of Fallot and pulmonary regurgitation after surgical repair. Heart 2000, 84, 416–420. [Google Scholar] [CrossRef]
- Uebing, A.; Gibson, D.G.; Babu-Narayan, S.V.; Diller, G.P.; Dimopoulos, K.; Goktekin, O.; Spence, M.S.; Andersen, K.; Henein, M.Y.; Gatzoulis, M.A.; et al. Right Ventricular Mechanics and QRS Duration in Patients With Repaired Tetralogy of Fallot. Circulation 2007, 116, 1532–1539. [Google Scholar] [CrossRef] [Green Version]
- Therrien, J.; Siu, S.; Harris, L.; Dore, A.; Niwa, K.; Janousek, J.; Williams, W.G.; Webb, G.; Gatzoulis, M.A. Impact of Pulmonary Valve Replacement on Arrhythmia Propensity Late After Repair of Tetralogy of Fallot. Circulation 2001, 103, 2489–2494. [Google Scholar] [CrossRef] [Green Version]
- Van Huysduynen, B.H.; Van Straten, A.; Swenne, C.A.; Maan, A.C.; Van Eck, H.J.R.; Schalij, M.J.; Van Der Wall, E.E.; De Roos, A.; Hazekamp, M.G.; Vliegen, H.W. Reduction of QRS duration after pulmonary valve replacement in adult Fallot patients is related to reduction of right ventricular volume. Eur. Heart J. 2005, 26, 928–932. [Google Scholar] [CrossRef]
- Cocomello, L.; Sinha, S.; Corcia, M.C.G.; Baquedano, M.; Benedetto, U.; Caputo, M. Determinants of QRS duration in patients with tetralogy of Fallot after pulmonary valve replacement. J. Card. Surg. 2021, 36, 1958–1968. [Google Scholar] [CrossRef] [PubMed]
- Chowdhury, U.K.; Sathia, S.; Ray, R.; Singh, R.; Pradeep, K.K.; Venugopal, P. Histopathology of the right ventricular outflow tract and its relationship to clinical outcomes and arrhythmias in patients with tetralogy of Fallot. J. Thorac. Cardiovasc. Surg. 2006, 132, 270–277.e4. [Google Scholar] [CrossRef] [Green Version]
- Park, S.-J.; On, Y.K.; Kim, J.S.; Yang, J.-H.; Jun, T.-G.; Kang, I.-S.; Lee, H.J.; Choe, Y.H.; Huh, J. Relation of Fragmented QRS Complex to Right Ventricular Fibrosis Detected by Late Gadolinium Enhancement Cardiac Magnetic Resonance in Adults With Repaired Tetralogy of Fallot. Am. J. Cardiol. 2012, 109, 110–115. [Google Scholar] [CrossRef] [PubMed]
- Folino, A.F.; Russo, G.; Bauce, B.; Mazzotti, E.; Daliento, L. Autonomic profile and arrhythmic risk stratification after surgical repair of tetralogy of Fallot. Am. Heart J. 2004, 148, 985–989. [Google Scholar] [CrossRef] [PubMed]
- Shanmugam, N.; Yap, J.; Tan, R.S.; Le, T.T.; Gao, F.; Chan, J.X.; Chong, D.; Ho, K.L.; Tan, B.Y.; Ching, C.K.; et al. Fragmented QRS complexes predict right ventricular dysfunction and outflow tract aneurysms in patients with repaired tetralogy of Fallot. Int. J. Cardiol. 2013, 167, 1366–1372. [Google Scholar] [CrossRef]
- Drew, B.J.; Pelter, M.M.; Wung, S.-F.; Adams, M.G.; Taylor, C.; Evans, G.; Foster, E. Accuracy of the EASI 12-lead electrocardiogram compared to the standard 12-lead electrocardiogram for diagnosing multiple cardiac abnormalities. J. Electrocardiol. 1999, 32, 38–47. [Google Scholar] [CrossRef]




| Early Repair (N = 15) | Late Repair (N = 23) | |
|---|---|---|
| Palliative procedure prior to complete repair | 1 patient (6.7%): | 9 patients (34.8%): |
| B-T at 3 months of age followed by complete repair at 8 months | B-T; N = 6 | |
| Waterson shunt followed by B-T; N = 1 | ||
| B-T followed by modified B-T; N = 1 | ||
| Age at palliation: 0.4 to 6 years (M = 1.7) | ||
| Age at repair: 2.4 to 15.1 years (M = 8.2) | ||
| Type of RVOT reconstruction | TAP; N = 5 (33.3%) | TAP; N = 11 (47.8%) |
| nonTAP; N = 7 (46.6%) | nonTAP; N = 9 (39.1%) | |
| homograft; N = 3 (20.0%) | homograft; N = 3 (13.0%) | |
| Age at repair without paliation (years) | 0.04–1.0 (M = 0.77) | 1.4–14.9 (M = 3.3) |
| Type of RVOT at CMR | TAP; N = 3 (20.0%) | TAP; N = 8 (34.8%) |
| nonTAP; N = 4 (26.7%) | nonTAP; N = 8 (34.8%) | |
| homograft; N = 8 (53.3%) | homograft; N = 7 (30.4%) | |
| Early repair (N = 15) | Late repair(N = 23) | |
| Palliative procedure prior to complete repair | 1 patient (6.7%): | 9 patients (34.8%): |
| B-T at 3 months of age followed by complete repair at 8 months | B-T; N = 6 | |
| Waterson shunt followed by B-T; N = 1 | ||
| B-T followed by modified B-T; N = 1 | ||
| Age at palliation: 0.4 to 6 years (M = 1.7) | ||
| Age at repair: 2.4 to 15.1 years (M = 8.2) | ||
| Type of RVOT reconstruction | TAP; N = 5 (33.3%) | TAP; N = 11 (47.8%) |
| nonTAP; N = 7 (46.6%) | nonTAP; N = 9 (39.1%) | |
| homograft; N = 3 (20.0%) | homograft; N = 3 (13.0%) | |
| Age at repair without paliation (years) | 0.04–1.0 (M = 0.77) | 1.4–14.9 (M = 3.3) |
| Type of RVOT at CMR | TAP; N = 3 (20.0%) | TAP; N = 8 (34.8%) |
| nonTAP; N = 4 (26.7%) | nonTAP; N = 8 (34.8%) | |
| homograft; N = 8 (53.3%) | homograft; N = 7 (30.4%) |
| All (N = 38) | Early Repair (N = 15) | Late Repair (N = 23) | ||||||||
|---|---|---|---|---|---|---|---|---|---|---|
| M ± SD | (min–max) | M ± SD | (min–max) | M ± SD | (min–max) | |||||
| Age at CMR (years) * (p < 0.001) | 24.9 ‡ | (18.0–54.9) | 19.7 ± 2.0 | (18.0–25.1) | 32.5 ‡ | (18.3–54.9) | ||||
| Age at repair (years) * (p < 0.001) | 2.4 ‡ | (0.04–15.1) | 0.7 ‡ | (0.04–1.0) | 5.8 ± 4.3 | (1.4–15.1) | ||||
| CMRI | ||||||||||
| LVEF (%) | 61.0 ‡ | (37.0–72.0) | 61.9 ± 4.4 | (50.0–69.0) | 59.2 ± 8.4 | (37.0–72.0) | ||||
| RVEF (%) | 49.1 ± 6.9 | (32.0–64.0) | 51.8 ± 6.3 | (42.0–64.0) | 47.4 ± 6.8 | (32.0–56.0) | ||||
| RVEDVI (mL/m2) | 134.0 ‡ | (76.0–275.0) | 124.0 ‡ | (85.0–172.0) | 144.8 ± 46.3 | (76.0–275.0) | ||||
| RVESVI (mL/m2) | 64.5 ‡ | (29.0–190.0) | 62.0 ‡ | (32.0–96.0) | 74.9 ± 34.3 | (29.0–190.0) | ||||
| RVSVI (mL/m2) | 65.6 ± 16.7 | (32.0–108.0) | 64.0 ± 11.1 | (45.0–80.0) | 66.6 ± 19.7 | (31.6–108.0) | ||||
| RF (%) | 30.9 ± 17.2 | (1.0–59.0) | 31.9 ± 18.0 | (1.0–56.0) | 30.2 ± 17.0 | (3.0–59.0) | ||||
| ECG | ||||||||||
| HR (bpm) | 77.1 ± 7.3 | (62.0–94.0) | 76.4 ± 6.6 | (65.0–86.0) | 77.5 ± 7.9 | (62.0–94.0) | ||||
| PQ (ms) | 143.0 ‡ | (97.0–257.0) | 143.0 ‡ | (109.0–177.0) | 167.3 ± 46.3 | (97.0–257.0) | ||||
| QRS (ms) | 146.9 ± 28.9 | (85.0–197.0) | 146.0 ‡ | (100.0–197.0) | 148.3 ± 27.8 | (85.0–194.5) | ||||
| >140 (N, %) | 25, 65.8% | 9, 60.0% | 16, 69.6% | |||||||
| >180 (N, %) | 4, 10.5% | 2, 13.3% | 2, 8.7% | |||||||
| QTc (ms) | 466.8 ± 25.1 | (420.0–538.0) | 464.5 ± 22.9 | (420.0–506.0) | 468.2 ± 26.9 | (430.0–538.0) | ||||
| ASDNN | 63.0 ± 17.2 | (19.2–105.8) | 68.9 ± 13.1 | (39.4–122.5) | 60.8 ‡ | (19.2–89.6) | ||||
| SDANN | 119.5 ± 2.3 | (56.0–182.3 | 131.3 ± 27.9 | (79.4–182.3) | 111.8 ± 33.1 | (56.0–173.8) | ||||
| SDNN | 141.7 ± 32.5 | (68.1–210.8) | 153.9 ± 27.2 | (94.3–220.0) | 133.8 ± 33.7 | (68.1–186.8) | ||||
| RMSSD | 60.7 ‡ | (16.31–75.5) | 66.8 ‡ | (25.8–169.2) | 66.8 ± 44.3 | (16.3–175.5) | ||||
| V_ar (N, %) | 12 | 31.6% | 4 | 26.7% | 8 | 34.8% | ||||
| SV_ar (N, %) | 21 | 55.3% | 9 | 60.0% | 12 | 52.2% | ||||
| nsVT (N, %) | 4 | 10.5% | 0 | 0.0% | 4 | 17.4% | ||||
Publisher’s Note: MDPI stays neutral with regard to jurisdictional claims in published maps and institutional affiliations. |
© 2021 by the authors. Licensee MDPI, Basel, Switzerland. This article is an open access article distributed under the terms and conditions of the Creative Commons Attribution (CC BY) license (https://creativecommons.org/licenses/by/4.0/).
Share and Cite
Lubocka, P.; Sabiniewicz, R. What Is the Importance of Electrocardiography in the Routine Screening of Patients with Repaired Tetralogy of Fallot? J. Clin. Med. 2021, 10, 4298. https://doi.org/10.3390/jcm10194298
Lubocka P, Sabiniewicz R. What Is the Importance of Electrocardiography in the Routine Screening of Patients with Repaired Tetralogy of Fallot? Journal of Clinical Medicine. 2021; 10(19):4298. https://doi.org/10.3390/jcm10194298
Chicago/Turabian StyleLubocka, Paulina, and Robert Sabiniewicz. 2021. "What Is the Importance of Electrocardiography in the Routine Screening of Patients with Repaired Tetralogy of Fallot?" Journal of Clinical Medicine 10, no. 19: 4298. https://doi.org/10.3390/jcm10194298
APA StyleLubocka, P., & Sabiniewicz, R. (2021). What Is the Importance of Electrocardiography in the Routine Screening of Patients with Repaired Tetralogy of Fallot? Journal of Clinical Medicine, 10(19), 4298. https://doi.org/10.3390/jcm10194298

