Left Atrium Assessment by Speckle Tracking Echocardiography in Cryptogenic Stroke: Seeking Silent Atrial Fibrillation
Abstract
:1. Introduction
2. Materials and Methods
2.1. Patient Monitoring
2.2. Echocardiographic Analysis of Atrial Anatomy and Function
2.3. Clinical Follow-Up
2.4. Statistical Analysis
3. Results
3.1. Demographic Characteristics and Atrial Fibrillation
3.2. Atrial Characteristics and AF Detection
3.3. Atrial Fibrillation Burden and Normal or Enlarged Left Atrium
4. Discussion
5. Conclusions
Supplementary Materials
Author Contributions
Funding
Institutional Review Board Statement
Informed Consent Statement
Conflicts of Interest
References
- Saver, J.L. Cryptogenic Stroke. N. Engl. J. Med. 2016, 374, 2065–2074. [Google Scholar] [CrossRef]
- Hart, R.G.; Diener, H.-C.; Coutts, S.B.; Easton, J.D.; Granger, C.B.; O’Donnell, M.; Sacco, R.L.; Connolly, S.J. Embolic strokes of undetermined source: The case for a new clinical construct. Lancet Neurol. 2014, 13, 429–438. [Google Scholar] [CrossRef]
- Schaaf, M.; Andre, P.; Altman, M.; Maucort-Boulch, D.; Placide, J.; Chevalier, P.; Bergerot, C.; Thibault, H. Left atrial remodelling assessed by 2D and 3D echocardiography identifies paroxysmal atrial fibrillation. Eur. Heart J. Cardiovasc. Imaging 2016, 18, 46–53. [Google Scholar] [CrossRef] [PubMed] [Green Version]
- Ogata, T.; Matsuo, R.; Kiyuna, F.; Hata, J.; Ago, T.; Tsuboi, Y.; Kitazono, T.; Kamouchi, M.; Ibayashi, S.; Kusuda, K.; et al. Left Atrial Size and Long-Term Risk of Recurrent Stroke After Acute Ischemic Stroke in Patients with Nonvalvular Atrial Fibrillation. J. Am. Heart Assoc. 2017, 6, e006402. [Google Scholar] [CrossRef]
- Pagola, J.; González-Alujas, T.; Flores, A.; Muchada, M.; Rodriguez-Luna, D.; Seró, L.; Rubiera, M.; Boned, S.; Ribo, M.; Alvarez-Sabin, J.; et al. Left Atria Strain Is a Surrogate Marker for Detection of Atrial Fibrillation in Cryptogenic Strokes. Stroke 2014, 45, e164–e166. [Google Scholar] [CrossRef] [PubMed] [Green Version]
- Cameli, M.; Mandoli, G.E.; Loiacono, F.; Sparla, S.; Iardino, E.; Mondillo, S. Left atrial strain: A useful index in atrial fibrillation. Int. J. Cardiol. 2016, 220, 208–213. [Google Scholar] [CrossRef] [PubMed]
- Leong, D.P.; Joyce, E.; Debonnaire, P.; Katsanos, S.; Holman, E.R.; Schalij, M.J.; Bax, J.J.; Delgado, V.; Marsan, N.A. Left Atrial Dysfunction in the Pathogenesis of Cryptogenic Stroke: Novel Insights from Speckle-Tracking Echocardiography. J. Am. Soc. Echocardiogr. 2017, 30, 71–79. [Google Scholar] [CrossRef]
- Sanchis, L.; Montserrat, S.; Obach, V.; Cervera, A.; Chamorro, A.; Vidal, B.; Mas-Stachurska, A.; Bijnens, B.; Sitges, M. Left Atrial Function Is Impaired in Some Patients with Stroke of Undetermined Etiology: Potential Implications for Evaluation and Therapy. Rev. Española Cardiol. 2016, 69, 650–656. [Google Scholar] [CrossRef]
- Leung, M.; van Rosendael, P.; Abou, R.; Marsan, N.A.; Leung, D.Y.; Delgado, V.; Bax, J.J. Left atrial function to identify patients with atrial fibrillation at high risk of stroke: New insights from a large registry. Eur. Heart J. 2017, 39, 1416–1425. [Google Scholar] [CrossRef] [Green Version]
- Azemi, T.; Rabdiya, V.M.; Ayirala, S.R.; McCullough, L.D.; Silverman, D.I. Left Atrial Strain Is Reduced in Patients with Atrial Fibrillation, Stroke or TIA, and Low Risk CHADS2 Scores. J. Am. Soc. Echocardiogr. 2012, 25, 1327–1332. [Google Scholar] [CrossRef]
- Healey, J.S.; Connolly, S.J.; Gold, M.R.; Israel, C.W.; Van Gelder, I.C.; Capucci, A.; Lau, C.; Fain, E.; Yang, S.; Bailleul, C.; et al. Subclinical Atrial Fibrillation and the Risk of Stroke. N. Engl. J. Med. 2012, 366, 120–129. [Google Scholar] [CrossRef] [PubMed] [Green Version]
- Haeusler, K.G.; Tütüncü, S.; Schnabel, R.B. Detection of Atrial Fibrillation in Cryptogenic Stroke. Curr. Neurol. Neurosci. Rep. 2018, 18, 66. [Google Scholar] [CrossRef] [PubMed]
- Mercé, J.; Garcia, M.; Ustrell, X.; Pellisé, A.; De Castro, R.; Bardají, A. Implantable Loop Recorder: A New Tool in the Diagnosis of Cryptogenic Stroke. Rev. Esp. Cardiol. 2013, 66, 665–666. [Google Scholar] [CrossRef] [PubMed]
- Miller, D.J.; Khan, M.A.; Schultz, L.R.; Simpson, J.R.; Katramados, A.M.; Russman, A.N.; Mitsias, P.D. Outpatient cardiac telemetry detects a high rate of atrial fibrillation in cryptogenic stroke. J. Neurol. Sci. 2013, 324, 57–61. [Google Scholar] [CrossRef]
- Powers, W.J.; Rabinstein, A.A.; Ackerson, T.; Adeoye, O.M.; Bambakidis, N.C.; Becker, K.; Biller, J.; Brown, M.; Demaerschalk, B.M.; Hoh, B.; et al. 2018 Guidelines for the Early Management of Patients with Acute Ischemic Stroke: A Guideline for Healthcare Professionals from the American Heart Association/American Stroke Association. Stroke 2018, 49, e46–e110. [Google Scholar] [CrossRef]
- Lang, R.M.; Badano, L.P.; Mor-Avi, V.; Afilalo, J.; Armstrong, A.; Ernande, L.; Flachskampf, F.A.; Foster, E.; Goldstein, S.A.; Kuznetsova, T.; et al. Recommendations for Cardiac Chamber Quantification by Echocardiography in Adults: An Update from the American Society of Echocardiography and the European Association of Cardiovascular Imaging. J. Am. Soc. Echocardiogr. 2015, 28, 1–39.e14. [Google Scholar] [CrossRef] [PubMed] [Green Version]
- Cameli, M.; Lisi, M.; Righini, F.M.; Mondillo, S. Novel echocardiographic techniques to assess left atrial size, anatomy and function. Cardiovasc. Ultrasound 2012, 10, 4. [Google Scholar] [CrossRef] [Green Version]
- The Stroke Risk in Atrial Fibrillation Working Group. Independent predictors of stroke in patients with atrial fibrillation: A systematic review. Neurology 2007, 69, 546–554. [Google Scholar] [CrossRef]
- Mitrega, K.; Lip, G.; Sredniawa, B.; Sokal, A.; Streb, W.; Przyludzki, K.; Zdrojewski, T.; Wierucki, L.; Rutkowski, M.; Bandosz, P.; et al. Predicting Silent Atrial Fibrillation in the Elderly: A Report from the NOMED-AF Cross-Sectional Study. J. Clin. Med. 2021, 10, 2321. [Google Scholar] [CrossRef]
- Thomas, L.; Abhayaratna, W. Left Atrial Reverse Remodeling. JACC Cardiovasc. Imaging 2017, 10, 65–77. [Google Scholar] [CrossRef]
- De Sensi, F.; Penela, D.; Soto-Iglesias, D.; Berruezo, A.; Limbruno, U. Imaging Techniques for the Study of Fibrosis in Atrial Fibrillation Ablation: From Molecular Mechanisms to Therapeutical Perspectives. J. Clin. Med. 2021, 10, 2277. [Google Scholar] [CrossRef]
- Cameli, M.; Lisi, M.; Righini, F.M.; Massoni, A.; Natali, B.M.; Focardi, M.; Tacchini, D.; Geyer, A.; Curci, V.; Di Tommaso, C.; et al. Usefulness of Atrial Deformation Analysis to Predict Left Atrial Fibrosis and Endocardial Thickness in Patients Undergoing Mitral Valve Operations for Severe Mitral Regurgitation Secondary to Mitral Valve Prolapse. Am. J. Cardiol. 2013, 111, 595–601. [Google Scholar] [CrossRef] [PubMed]
- Jordan, K.; Yaghi, S.; Poppas, A.; Chang, A.D.; Mac Grory, B.; Cutting, S.; Burton, T.; Jayaraman, M.; Tsivgoulis, G.; Sabeh, M.K.; et al. Left atrial volume index is associated with cardioembolic stroke and atrial fibrillation detection after embolic stroke of undetermined source. Stroke 2019, 50, 1997–2001. [Google Scholar] [CrossRef]
- Morris, D.A.; Takeuchi, M.; Krisper, M.; Köhncke, C.; Bekfani, T.; Carstensen, T.; Hassfeld, S.; Dorenkamp, M.; Otani, K.; Takigiku, K.; et al. Normal values and clinical relevance of left atrial myocardial function analysed by speckle-tracking echocardiography: Multicentre study. Eur. Heart J. Cardiovasc. Imaging 2014, 16, 364–372. [Google Scholar] [CrossRef] [Green Version]
- Kojima, T.; Kawasaki, M.; Tanaka, R.; Ono, K.; Hirose, T.; Iwama, M.; Watanabe, T.; Noda, T.; Watanabe, S.; Takemura, G.; et al. Left atrial global and regional function in patients with paroxysmal atrial fibrillation has already been impaired before enlargement of left atrium: Velocity vector imaging echocardiography study. Eur. Heart J. Cardiovasc. Imaging 2011, 13, 227–234. [Google Scholar] [CrossRef] [PubMed] [Green Version]
- Essayagh, B.; Resseguier, N.; Michel, N.; Casalta, A.-C.; Renard, S.; Donghi, V.; Carbone, A.; Piazzai, C.; Ambrosi, P.; Levy, F.; et al. Left atrial dysfunction as marker of poor outcome in patients with hypertrophic cardiomyopathy. Arch. Cardiovasc. Dis. 2021, 114, 96–104. [Google Scholar] [CrossRef]
- Rasmussen, S.M.A.; Olsen, F.J.; Jørgensen, P.G.; Fritz-Hansen, T.; Jespersen, T.; Gislason, G.; Biering-Sørensen, T. Utility of left atrial strain for predicting atrial fibrillation following ischemic stroke. Int. J. Cardiovasc. Imaging 2019, 35, 1605–1613. [Google Scholar] [CrossRef] [PubMed]
- Skaarup, K.G.; Christensen, H.; Høst, N.; Mahmoud, M.M.; Ovesen, C.; Olsen, F.J.; Jensen, J.S.; Biering-Sørensen, T. Usefulness of left ventricular speckle tracking echocardiography and novel measures of left atrial structure and function in diagnosing paroxysmal atrial fibrillation in ischemic stroke and transient ischemic attack patients. Int. J. Cardiovasc. Imaging 2017, 33, 1921–1929. [Google Scholar] [CrossRef]
- Kusunose, K.; Takahashi, H.; Nishio, S.; Hirata, Y.; Zheng, R.; Ise, T.; Yamaguchi, K.; Yagi, S.; Fukuda, D.; Yamada, H.; et al. Predictive value of left atrial function for latent paroxysmal atrial fibrillation as the cause of embolic stroke of undetermined source. J. Cardiol. 2021. [Google Scholar] [CrossRef] [PubMed]
- Wen, S.; Indrabhinduwat, M.; Brady, P.A.; Pislaru, C.; Miller, F.A.; Ammash, N.M.; Nkomo, V.T.; Padang, R.; Pislaru, S.V.; Lin, G. Post Procedural Peak Left Atrial Contraction Strain Predicts Recurrence of Arrhythmia after Catheter Ablation of Atrial Fibrillation. Cardiovasc. Ultrasound 2021, 19, 22. [Google Scholar] [CrossRef]
- Guichard, J.-B.; Nattel, S. Atrial Cardiomyopathy. J. Am. Coll. Cardiol. 2017, 70, 756–765. [Google Scholar] [CrossRef] [PubMed]
- Sanna, T.; Diener, H.-C.; Passman, R.S.; Di Lazzaro, V.; Bernstein, R.A.; Morillo, C.; Rymer, M.M.; Thijs, V.; Rogers, T.; Beckers, F.; et al. Cryptogenic Stroke and Underlying Atrial Fibrillation. N. Engl. J. Med. 2014, 370, 2478–2486. [Google Scholar] [CrossRef] [PubMed] [Green Version]
- Chao, T.-F.; Lip, G.Y.; Liu, C.-J.; Lin, Y.-J.; Chang, S.-L.; Lo, L.-W.; Hu, Y.-F.; Tuan, T.-C.; Liao, J.-N.; Chung, F.-P.; et al. Relationship of Aging and Incident Comorbidities to Stroke Risk in Patients with Atrial Fibrillation. J. Am. Coll. Cardiol. 2018, 71, 122–132. [Google Scholar] [CrossRef] [PubMed]
- Brachmann, J.; Morillo, C.A.; Sanna, T.; Di Lazzaro, V.; Diener, H.-C.; Bernstein, R.A.; Rymer, M.; Ziegler, P.D.; Liu, S.; Passman, R.S. Uncovering Atrial Fibrillation Beyond Short-Term Monitoring in Cryptogenic Stroke Patients. Circ. Arrhythm. Electrophysiol. 2016, 9, e003333. [Google Scholar] [CrossRef] [Green Version]
- Christensen, L.M.; Krieger, D.W.; Højberg, S.; Pedersen, O.D.; Karlsen, F.M.; Jacobsen, M.D.; Worck, R.; Nielsen, H.; Aegidius, K.; Jeppesen, L.L.; et al. Paroxysmal atrial fibrillation occurs often in cryptogenic ischaemic stroke. Final results from the SURPRISE study. Eur. J. Neurol. 2014, 21, 884–889. [Google Scholar] [CrossRef] [PubMed] [Green Version]
- Cuadrado-Godia, E.; Benito, B.; Ois, A.; Vallès, E.; Rodríguez-Campello, A.; Giralt-Steinhauer, E.; Cabrera, S.; Alcalde, O.; Jiménez-López, J.; Jiménez-Conde, J.; et al. Ultra-early continuous cardiac monitoring improves atrial fibrillation detection and prognosis of patients with cryptogenic stroke. Eur. J. Neurol. 2019, 27, 244–250. [Google Scholar] [CrossRef] [PubMed]
- Carrazco, C.; Golyan, D.; Kahen, M.; Black, K.; Libman, R.B.; Katz, J.M. Prevalence and Risk Factors for Paroxysmal Atrial Fibrillation and Flutter Detection after Cryptogenic Ischemic Stroke. J. Stroke Cerebrovasc. Dis. 2018, 27, 203–209. [Google Scholar] [CrossRef]
- Hindricks, G.; Potpara, T.; Dagres, N.; Arbelo, E.; Bax, J.J.; Blomström-Lundqvist, C.; Boriani, G.; Castella, M.; Dan, G.-A.; E Dilaveris, P.; et al. 2020 ESC Guidelines for the diagnosis and management of atrial fibrillation developed in collaboration with the European Association for Cardio-Thoracic Surgery (EACTS). Eur. Heart J. 2020, 42, 373–498. [Google Scholar] [CrossRef]



| Non AF (n = 38) | AF (n = 37) | p | |
|---|---|---|---|
| Age | 73.4 ± 9.7 | 77.6 ± 8.3 | 0.047 |
| Gender (male) | 23 (60.5%) | 19 (51.4%) | 0.570 |
| Arterial hypertension | 29 (76.3%) | 28 (75.7%) | 1.000 |
| Diabetes | 8 (21.1%) | 9 (24.3%) | 0.950 |
| Dyslipidemia | 21 (55.3%) | 19 (51.4%) | 0.914 |
| Body mass index (kg/m2) | 27 ± 4.14 | 28.1 ± 5.08 | 0.310 |
| Glomerular filtration rate (mL/min) | 76.4 ± 22.2 | 70.3 ± 26.2 | 0.286 |
| Coronary artery disease | 1 (2.63%) | 3 (8.11%) | 0.358 |
| Lung disease | 5 (13.2%) | 4 (10.8%) | 1.000 |
| Previous stroke | 6 (15.8%) | 7 (18.9%) | 0.958 |
| CHA2DS2-VASc score | 4.79 ± 1.43 | 5.22 ± 1.20 | 0.167 |
| Echocardiogram | |||
| LVEF (%) | 63.2 ± 3.85 | 63.2 ± 2.83 | 0.996 |
| LV mass (g) | 172 ± 39.5 | 173 ± 56.3 | 0.924 |
| Indexed LV mass (g/m2) | 96.9 ± 19.6 | 98.1 ± 29.1 | 0.827 |
| LA diameter (mm) | 35 ± 4.03 | 38.5 ± 4.82 | <0.001 |
| LA area (cm2) | 16.8 ± 2.55 | 19.8 ± 3.58 | <0.001 |
| 2D LA volume (mL) | 47.9 ± 12.5 | 60.8 ± 16.2 | <0.001 |
| Indexed 2D LA volume (mL/m2) | 27 ± 6.49 | 34.7 ± 9.77 | <0.001 |
| Enlarged LA (>34 mL/m2) | 5 (13%) | 17 (46%) | |
| Normal LA volume | 33 (87%) | 20 (54%) | 0.002 |
| 2D LAEF (%) | 60.6 ± 5.2 | 46.8 ± 11.5 | <0.001 |
| PALs (%) | 29.5 ± 7.24 | 19.6 ± 5.73 | <0.001 |
| PACs (%) | 16.5 ± 6 | 8.99 ± 3.92 | <0.001 |
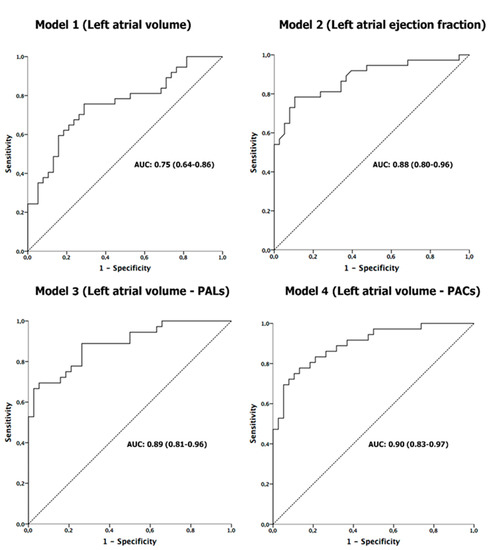
| OR | IC 95% | p | |
|---|---|---|---|
| Model 1 | |||
| Age | 1.04 | 0.98–1.11 | 0.216 |
| Men | 1.40 | 0.47–4.15 | 0.546 |
| Left atrial volume | 1.13 | 1.05–1.21 | 0.001 |
| Model 2 | |||
| Age | 1.04 | 0.96–1.12 | 0.342 |
| Men | 0.63 | 0.16–2.41 | 0.627 |
| LAEF | 0.80 | 0.72–0.89 | <0.001 |
| Model 3 | |||
| Age | 1.01 | 0.94–1.09 | 0.783 |
| Men | 1.90 | 0.47–7.71 | 0.370 |
| PALs | 0.80 | 0.71–0.84 | <0.001 |
| Left atrial volume | 1.12 | 1.02–1.23 | 0.013 |
| Model 4 | |||
| Age | 1.05 | 0.97–1.13 | 0.223 |
| Men | 1.69 | 0.44–6.48 | 0.446 |
| PACs | 0.72 | 0.59–0.87 | 0.001 |
| Left atrial volume | 1.10 | 1.00–1.20 | 0.057 |
Publisher’s Note: MDPI stays neutral with regard to jurisdictional claims in published maps and institutional affiliations. |
© 2021 by the authors. Licensee MDPI, Basel, Switzerland. This article is an open access article distributed under the terms and conditions of the Creative Commons Attribution (CC BY) license (https://creativecommons.org/licenses/by/4.0/).
Share and Cite
Ble, M.; Benito, B.; Cuadrado-Godia, E.; Pérez-Fernández, S.; Gómez, M.; Mas-Stachurska, A.; Tizón-Marcos, H.; Molina, L.; Martí-Almor, J.; Cladellas, M. Left Atrium Assessment by Speckle Tracking Echocardiography in Cryptogenic Stroke: Seeking Silent Atrial Fibrillation. J. Clin. Med. 2021, 10, 3501. https://doi.org/10.3390/jcm10163501
Ble M, Benito B, Cuadrado-Godia E, Pérez-Fernández S, Gómez M, Mas-Stachurska A, Tizón-Marcos H, Molina L, Martí-Almor J, Cladellas M. Left Atrium Assessment by Speckle Tracking Echocardiography in Cryptogenic Stroke: Seeking Silent Atrial Fibrillation. Journal of Clinical Medicine. 2021; 10(16):3501. https://doi.org/10.3390/jcm10163501
Chicago/Turabian StyleBle, Mireia, Begoña Benito, Elisa Cuadrado-Godia, Sílvia Pérez-Fernández, Miquel Gómez, Aleksandra Mas-Stachurska, Helena Tizón-Marcos, Lluis Molina, Julio Martí-Almor, and Mercè Cladellas. 2021. "Left Atrium Assessment by Speckle Tracking Echocardiography in Cryptogenic Stroke: Seeking Silent Atrial Fibrillation" Journal of Clinical Medicine 10, no. 16: 3501. https://doi.org/10.3390/jcm10163501
APA StyleBle, M., Benito, B., Cuadrado-Godia, E., Pérez-Fernández, S., Gómez, M., Mas-Stachurska, A., Tizón-Marcos, H., Molina, L., Martí-Almor, J., & Cladellas, M. (2021). Left Atrium Assessment by Speckle Tracking Echocardiography in Cryptogenic Stroke: Seeking Silent Atrial Fibrillation. Journal of Clinical Medicine, 10(16), 3501. https://doi.org/10.3390/jcm10163501

