In Patients with Early Peripheral Psoriatic Arthritis Baseline C-Reactive Protein, Pain and Ultrasound-Detected Synovitis Predict Subsequent Treatment with ts/bDMARDs. A Retrospective Analysis
Abstract
:1. Introduction
2. Materials and Methods
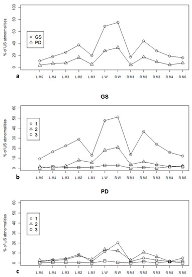
2.1. Ultrasonographic Evaluation
2.2. Statistical Analysis
3. Results
3.1. Descriptive Analyses
3.2. Predictors of bDMARD or tsDMARD Treatment
4. Discussion
5. Conclusions
Author Contributions
Funding
Institutional Review Board statement
Informed Consent Statement
Data Availability Statement
Conflicts of Interest
References
- Ritchlin, C.T.; Colbert, R.A.; Gladman, D.D. Psoriatic Arthritis. N. Engl. J. Med. 2017, 376, 2095–2096. [Google Scholar] [CrossRef] [Green Version]
- Gladman, D.D.; Farewell, V.T.; Wong, K.; Husted, J. Mortality studies in psoriatic arthritis: Results from a single outpatient cen-ter. II. Prognostic indicators for death. Arthritis Rheum. Off. J. Am. Coll. Rheumatol. 1998, 41, 1103–1110. [Google Scholar] [CrossRef]
- Hetland, M.L. Psoriatic arthritis: Still room for improvement. Lancet 2020, 395, 1463–1465. [Google Scholar] [CrossRef]
- Mahmood, F.; Coates, L.C.; Helliwell, P.S. Current concepts and unmet needs in psoriatic arthritis. Clin. Rheumatol. 2018, 37, 297–305. [Google Scholar] [CrossRef]
- Gladman, D.D.; Thavaneswaran, A.; Chandran, V.; Cook, R.J. Do patients with psoriatic arthritis who present early fare better than those presenting later in the disease? Ann. Rheum. Dis. 2011, 70, 2152–2154. [Google Scholar] [CrossRef]
- Tillett, W.; Jadon, D.; Shaddick, G.; Cavill, C.; Korendowych, E.; De Vries, C.S.; McHugh, N. Smoking and delay to diagnosis are associated with poorer functional outcome in psoriatic arthritis. Ann. Rheum. Dis. 2013, 72, 1358–1361. [Google Scholar] [CrossRef]
- Haroon, M.; Gallagher, P.; FitzGerald, O. Diagnostic delay of more than 6 months contributes to poor radiographic and func-tional outcome in psoriatic arthritis. Ann. Rheum. Dis. 2015, 74, 1045–1050. [Google Scholar] [CrossRef]
- Theander, E.; Husmark, T.; Alenius, G.-M.; Larsson, P.T.; Teleman, A.; Geijer, M.; Lindqvist, U. Early psoriatic arthritis: Short symp-tom duration, male gender and preserved physical functioning at presentation predict favourable outcome at 5-year fol-low-up. Results from the Swedish Early Psoriatic Arthritis Register (SwePsA). Ann. Rheum. Dis. 2014, 73, 407–413. [Google Scholar] [CrossRef]
- Svensson, B.; Holmström, G.; Lindqvist, U. Development and early experiences of a Swedish psoriatic arthritis register. Scand. J. Rheumatol. 2002, 31, 221–225. [Google Scholar] [CrossRef] [PubMed]
- van der Horst-Bruinsma, I.E.; Speyer, I.; Visser, H.; Breedveld, F.C.; Hazes, J.M. Diagnosis and course of early-onset arthritis: Results of a special early arthritis clinic compared to routine patient care. Br. J. Rheumatol. 1998, 37, 1084–1088. [Google Scholar] [CrossRef] [PubMed] [Green Version]
- Kavanaugh, A.; Helliwell, P.; Ritchlin, C.T. Psoriatic Arthritis and Burden of Disease: Patient Perspectives from the Popula-tion-Based Multinational Assessment of Psoriasis and Psoriatic Arthritis (MAPP) Survey. Rheumatol. Ther. 2016, 3, 91–102. [Google Scholar] [CrossRef] [Green Version]
- Coates, L.C.; Moverley, A.R.; McParland, L.; Brown, S.; Navarro-Coy, N.; O’Dwyer, J.L.; Meads, D.M.; Emery, P.; Conaghan, P.G.; Helliwell, P.S. Effect of tight control of inflammation in early psoriatic arthritis (TICOPA): A UK multicentre, open-label, randomised controlled trial. Lancet 2015, 386, 2489–2498. [Google Scholar] [CrossRef] [Green Version]
- Coates, L.C.; Mahmood, F.; Freeston, J.; Emery, P.; Conaghan, P.G.; Helliwell, P.S. Long-term follow-up of patients in the TIght COntrol of inflammation in early Psoriatic Arthritis (TICOPA) trial. Rheumatology 2020, 59, 807–810. [Google Scholar] [CrossRef]
- Coates, L.C.; Kavanaugh, A.; Mease, P.J.; Soriano, E.R.; Acosta-Felquer, M.L.; Armstrong, A.W.; Bautista-Molano, W.; Boehncke, W.-H.; Campbell, W.; Cauli, A.; et al. Group for Research and Assessment of Psoriasis and Psoriatic Arthritis 2015 Treatment Recommendations for Psoriatic Arthritis. Arthritis Rheumatol. 2016, 68, 1060–1071. [Google Scholar] [CrossRef] [Green Version]
- Gossec, L.; Baraliakos, X.; Kerschbaumer, A.; de Wit, M.; McInnes, I.; Dougados, M.; Primdahl, J.; McGonagle, D.G.; Aletaha, D.; Balanescu, A.; et al. EULAR recommendations for the management of psoriatic arthritis with pharmacological therapies: 2019 update. Ann. Rheum. Dis. 2020, 79, 700–712. [Google Scholar] [CrossRef] [PubMed]
- Lindqvist, U.; Wernroth, M.-L.; Husmark, T.; Larsson, P.; Geijer, M.; Teleman, A.; Theander, E.; Alenius, G.-M. DAPSA, DAS28 and MDA predict long-term treatment regime in psoriatic arthritis. The Swedish Early Psoriatic Arthritis Cohort. Clin. Exp. Rheumatol. 2017, 35, 936–942. [Google Scholar] [PubMed]
- Ofer-Shiber, S.; Molad, Y. Elevated C-Reactive Protein Level Predicts Earlier Treatment with Tumor Necrosis Factor-Alpha Inhibitors in Psoriatic Arthritis. Isr. Med Assoc. J. IMAJ 2016, 18, 279–282. [Google Scholar]
- Balduzzi, S.; Scire, C.A.; Sakellariou, G.; Benaglio, F.; Bugatti, S.; Montecucco, C.; Caporali, R. In early inflammatory polyarthritis more intensive management according to the 2010 ACR/EULAR criteria leads to higher rates of clinical remission: Compar-ison of two cohorts treated according to different treat-to-target protocols. Clin. Exp. Rheumatol. 2017, 35, 401–405. [Google Scholar]
- Emery, P.; Breedveld, F.C.; Dougados, M.; Kalden, J.R.; Schiff, M.H.; Smolen, J.S. Early referral recommendation for newly diag-nosed rheumatoid arthritis: Evidence based development of a clinical guide. Ann. Rheum. Dis. 2002, 61, 290–297. [Google Scholar] [CrossRef]
- Ranza, R.; Marchesoni, A.; Calori, G.; Bianchi, G.; Braga, M.; Canazza, S.; Canesi, B.; Fumagalli, M.; Mastaglio, C.; Mathieu, A. The Ital-ian version of the Functional Disability Index of the Health Assessment Questionnaire. A reliable instrument for multicen-ter studies on rheumatoid arthritis. Clin. Exp. Rheumatol. 1993, 11, 123–128. [Google Scholar]
- Taylor, W.; Gladman, D.; Helliwell, P.; Marchesoni, A.; Mease, P.; Mielants, H.; CASPAR Study Group. Classification criteria for psoriatic arthritis: Development of new criteria from a large international study. Arthritis Rheum. 2006, 54, 2665–2673. [Google Scholar] [CrossRef]
- Wakefield, R.J.; Balint, P.V.; Szkudlarek, M.; Filippucci, E.; Backhaus, M.; D’Agostino, M.A.; Sanchez, E.N.; Iagnocco, A.; Schmidt, W.A.; Bruyn, G.A.; et al. Musculoskeletal ultrasound including definitions for ultrasonographic pathology. J. Rheumatol. 2005, 32, 2485–2487. [Google Scholar] [PubMed]
- Szkudlarek, M.; Court-Payen, M.; Jacobsen, S.; Klarlund, M.; Thomsen, H.S.; Østergaard, M. Interobserver agreement in ultrasonography of the finger and toe joints in rheumatoid arthritis. Arthritis Rheum. Off. J. Am. Coll. Rheumatol. 2003, 48, 955–962. [Google Scholar] [CrossRef] [PubMed]
- Naredo, E.; D’Agostino, M.A.; Wakefield, R.J.; Möller, I.; Balint, P.V.; Filippucci, E.; Iagnocco, A.; Karim, Z.; Terslev, L.; Bong, D.A.; et al. Reliability of a consensus-based ultrasound score for tenosynovitis in rheumatoid arthritis. Ann. Rheum. Dis. 2012, 72, 1328–1334. [Google Scholar] [CrossRef] [Green Version]
- Witt, M.; Mueller, F.; Nigg, A.; Reindl, C.; Leipe, J.; Proft, F.; Stein, N.; Hammitzsch, A.; Mayer, S.; Dechant, C.; et al. Relevance of grade 1 gray-scale ultrasound findings in wrists and small joints to the assessment of subclinical synovitis in rheumatoid arthritis. Arthritis Rheum. Off. J. Am. Coll. Rheumatol. 2013, 65, 1694–1701. [Google Scholar] [CrossRef]
- Tubach, F.; Ravaud, P.; Baron, G.; Falissard, B.; Logeart, I.; Bellamy, N.; Bombardier, C.; Felson, D.; Hochberg, M.; Van Der Heijde, D.; et al. Evaluation of clinically relevant changes in patient reported outcomes in knee and hip osteoarthritis: The minimal clinically important improvement. Ann. Rheum. Dis. 2005, 64, 29–33. [Google Scholar] [CrossRef] [Green Version]
- Stauffer, M.E.; Taylor, S.D.; Watson, D.J.; Peloso, P.M.; Morrison, A. Definition of Nonresponse to Analgesic Treatment of Arthritic Pain: An Analytical Literature Review of the Smallest Detectable Difference, the Minimal Detectable Change, and the Minimal Clinically Important Difference on the Pain Visual Analog Scale. Int. J. Inflamm. 2011, 2011, 231926. [Google Scholar] [CrossRef]
- Husni, M.E.; Merola, J.F.; Davin, S. The psychosocial burden of psoriatic arthritis. Semin. Arthritis Rheum. 2017, 47, 351–360. [Google Scholar] [CrossRef]
- Zabotti, A.; Bandinelli, F.; Batticciotto, A.; Scirè, C.A.; Iagnocco, A.; Sakellariou, G.; on behalf of the Musculoskeletal Ultrasound Study Group of the Italian Society of Rheumatology. Musculoskeletal ultrasonography for psoriatic arthritis and psoriasis patients: A systematic literature review. Rheumatology 2017, 56, 1518–1532. [Google Scholar] [CrossRef] [PubMed] [Green Version]
- Canzoni, M.; Piga, M.; Zabotti, A.; Scirè, C.A.; Carrara, G.; Olivieri, I.; Iagnocco, A. Clinical and ultrasonographic predictors for achieving minimal disease activity in patients with psoriatic arthritis: The UPSTREAM (Ultrasound in PSoriatic arthritis TREAtMent) prospective observational study protocol. BMJ Open 2018, 8, 021942. [Google Scholar] [CrossRef]
- Fransen, J.; Antoni, C.; Mease, P.J.; Uter, W.; Kavanaugh, A.; Kalden, J.R.; Van Riel, P.L.C.M. Performance of response criteria for as-sessing peripheral arthritis in patients with psoriatic arthritis: Analysis of data from randomised controlled trials of two tumour necrosis factor inhibitors. Ann. Rheum. Dis. 2006, 65, 1373–1378. [Google Scholar] [CrossRef] [PubMed]
- Schoels, M.; Aletaha, D.; Funovits, J.; Kavanaugh, A.; Baker, D.; Smolen, J.S. Application of the DAREA/DAPSA score for assessment of disease activity in psoriatic arthritis. Ann. Rheum. Dis. 2010, 69, 1441–1447. [Google Scholar] [CrossRef] [PubMed]
- Sakellariou, G.; Lombardi, G.; Vitolo, B.; Gomarasca, M.; Faraldi, M.; Caporali, R.; Banfi, G.; Montecucco, C. Serum calprotectin as a marker of clinical and ultrasound-detected synovitis in early psoriatic and rheumatoid arthritis: Results from a cross-sectional retrospective study. Clin. Exp. Rheumatol. 2019, 37, 429–436. [Google Scholar] [PubMed]


| n | 238 |
|---|---|
| M/F (n, %) | 90/148 (37.8) |
| Age (mean, sd) | 51.04 (13.98) |
| First symptom (n, %) | |
| Inflammatory pain | 108 (54) |
| Polyarticular | 40 (20) |
| Oligoarticular | 25 (12.5) |
| Monoarticular | 25 (12.5) |
| Morning stiffness | 1 (0.5) |
| Other | 1 (0.5) |
| Symptom duration, months (median, IQR) | 6.12 (3.29–12.25) |
| Psoriasis (n, %) | 168 (78.50) |
| Previous treatment (n, %) | 119 (52.19) |
| NSAIDs | 82 (68.90) |
| Glucocorticoids | 30 (25.2) |
| csDMARDs | 7 (5.9) |
| Pattern of joint involvement at referral (n, %) | |
| Polyarticular | 70 (31.5) |
| Oligoarticular | 94 (42.3) |
| Monoarticular | 41 (18.5) |
| No joint swelling | 17 (7.7) |
| CRP, mg/dl (median, IQR) | 0.23 (0.06–0.77) |
| ESR, mm/h (median, IQR) | 11 (6–20.75) |
| Rheumatoid Factor (n, %) | 14 (6.7) |
| ACPA (n, %) | 2 (0.9) |
| ANA (n, %) | 90 (39.8) |
| VAS PGA, mm (median, IQR) | 50 (30–70) |
| VAS pain, mm (median, IQR) | 50 (34.50–70.50) |
| VAS fatigue, mm (median, IQR) | 60 (20–80) |
| VAS GH, mm (median, IQR) | 60 (45–75.75) |
| VAS EGA, mm (median, IQR) | 32.50 (20–45) |
| HAQ (median, IQR) | 0.75 (0.37–1.12) |
| HAQ > 0.5 (n, %) | 106 (61.6) |
| Duration of morning stiffness, minutes (median, IQR) | 30 (10–60) |
| Tender joint count (median, IQR) | |
| 28 joints | 3 (1–7) |
| 44 joints | 5 (2–12) |
| 68 joints | 5 (2–11.50) |
| Swollen joint count (median, IQR) | |
| 28 joints | 2 (1–4) |
| 44 joints | 3 (1–6) |
| 66 joints | 2 (1–4) |
| RAI (median, IQR) | 4 (2–7) |
| DAS28 (mean, sd) | 3.74 (1.23) |
| DAS44 (mean, sd) | 2.42 (0.86) |
| DAPSA (median, IQR) | 21.45 (14.11–31.53) |
| csDMARDs (n, %) | 155 (67.4) |
| Methotrexate | 80 (34.8) |
| Cyclosporine | 6 (2.6) |
| Sulfasalazine | 58 (25.2) |
| Hydroxychloroquine | 12 (5.2) |
| Glucocorticoids (n, %) | 60 (25.3) |
| Glucocorticoids, dose (median, IQR) | 5(0–5) |
| GS score (median, IQR) | 4 (2–6) |
| GS score > 5 (n,%) | 53 (34.4) |
| PD score (median, IQR) | 1 (0–3) |
| PD score > 1 (n, %) | 65 (41.7) |
| Follow-up, months (median, IQR) | 24.01 (9.74–24.03) |
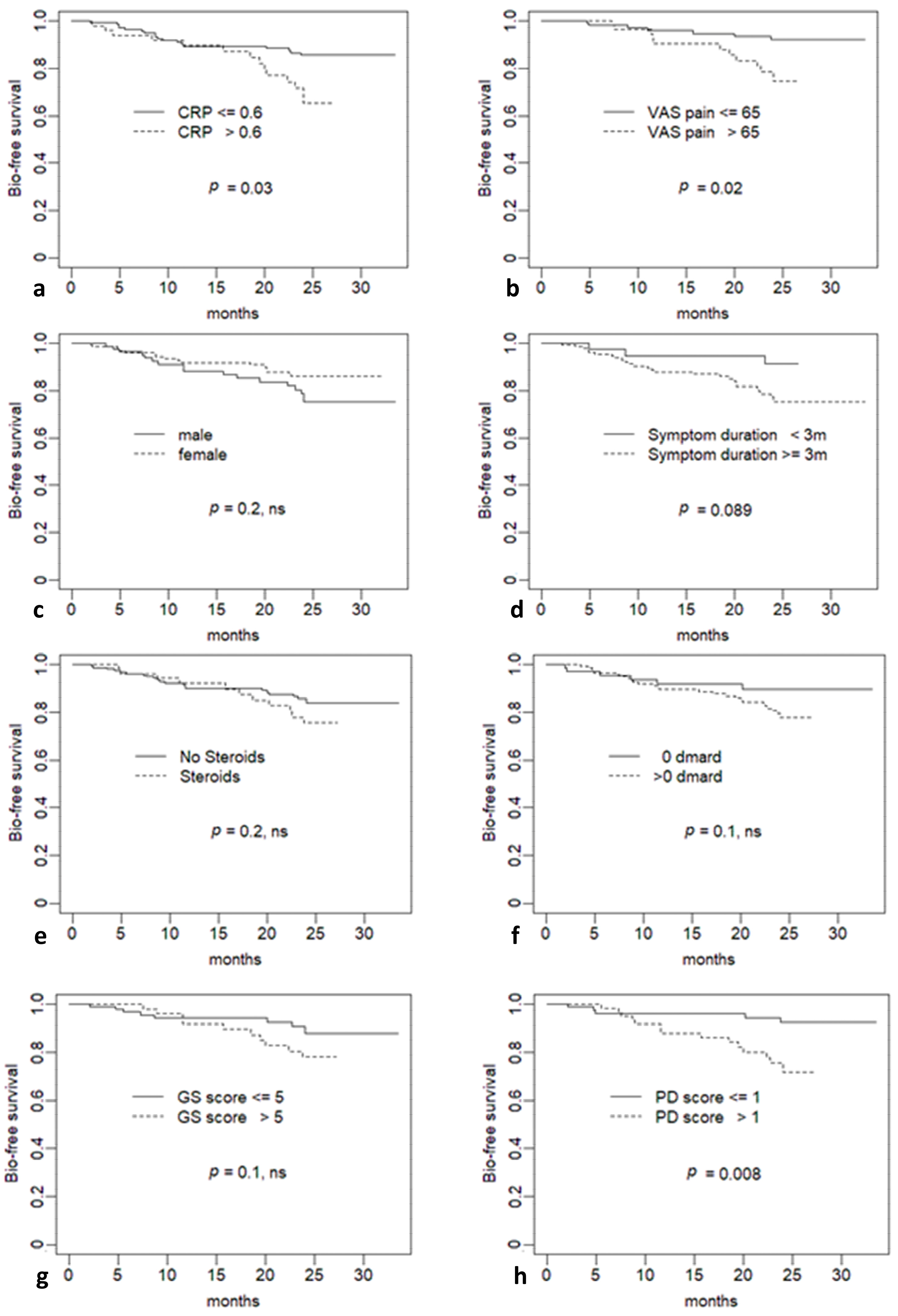
| Univariate | ||
|---|---|---|
| Predictors | Risk Ratio (95% CI) | p-Value |
| Female gender | 0.607 (0.304,1.215) | 0.159 |
| Symptom duration ≥ 3 months | 2.815 (0.852,9.305) | 0.089 |
| Age | 0.979 (0.956,1.004) | 0.102 |
| Psoriasis | 1.038 (0.449,2.401) | 0.93 |
| CRP | 1.204 (1.065,1.362) | 0.003 |
| CRP > 0.6 | 2.137 (1.047,4.362) | 0.037 |
| ESR | 0.984 (0.955,1.014) | 0.297 |
| DAS28 | 1.116 (0.768,1.621) | 0.564 |
| DAS44 | 1.249 (0.738,2.115) | 0.407 |
| DAPSA | 1.029 (0.995,1.064) | 0.090 |
| VAS pain | 1.027 (1.005,1.048) | 0.014 |
| VAS pain (>65 vs. ≤65) | 3.02 (1.17,7.798) | 0.022 |
| VAS fatigue | 1.014 (0.997,1.031) | 0.095 |
| VAS GH | 0.995 (0.977,1.014) | 0.63 |
| VAS PGA | 1.017 (0.998,1.037) | 0.077 |
| Tender joint count/28 | 1.087 (1.025,1.153) | 0.005 |
| Tender joint count/44 | 1.038 (0.998,1.079) | 0.063 |
| Tender joint count/68 | 1.06 (1.023,1.099) | 0.001 |
| Swollen joint count/28 | 1.047 (0.957,1.145) | 0.317 |
| Swollen joint count/44 | 0.996 (0.916,1.082) | 0.992 |
| Swollen joint count/66 | 1.045 (0.961,1.135) | 0.305 |
| RAI | 1.058 (0.969,1.154) | 0.209 |
| HAQ | 0.907 (0.383,2.152) | 0.826 |
| HAQ > 0.5 | 1.375 (0.484,3.906) | 0.550 |
| Bone erosions | 1.863 (0.791,4.385) | 0.154 |
| GS score | 1.081 (0.984,1.189) | 0.106 |
| GS score > 5 | 1.992 (0.785,5.05) | 0.147 |
| PD score | 1.072 (0.981,1.171) | 0.123 |
| PD score > 1 | 3.63 (1.307,10.08) | 0.013 |
| Glucocorticoids | 1.547 (0.746,3.208) | 0.241 |
| csDMARDs | 1.812 (0.775,4.235) | 0.17 |
| Methotrexate | 1.942 (0.971,3.886) | 0.061 |
| Hydroxychloroquine | 0.475 (0.065,3.483) | 0.464 |
| Cyclosporine | 3.231(0.767,13.61) | 0.11 |
| Sulfasalazine | 0.741 (0.320,1.714) | 0.483 |
| Multivariate | ||
|---|---|---|
| Predictors | Risk Ratio (95% CI) | p |
| VAS Pain | 1.031 (1.006,1.056) | 0.012 |
| PD Score > 1 | 3.899 (1.067,14.252) | 0.039 |
| Female Gender | 0.325 (0.108,0.977) | 0.045 |
Publisher’s Note: MDPI stays neutral with regard to jurisdictional claims in published maps and institutional affiliations. |
© 2021 by the authors. Licensee MDPI, Basel, Switzerland. This article is an open access article distributed under the terms and conditions of the Creative Commons Attribution (CC BY) license (https://creativecommons.org/licenses/by/4.0/).
Share and Cite
Sakellariou, G.; Quaglini, S.; Bugatti, S.; Bobbio-Pallavicini, F.; Gabba, V.; Montecucco, C. In Patients with Early Peripheral Psoriatic Arthritis Baseline C-Reactive Protein, Pain and Ultrasound-Detected Synovitis Predict Subsequent Treatment with ts/bDMARDs. A Retrospective Analysis. J. Clin. Med. 2021, 10, 2834. https://doi.org/10.3390/jcm10132834
Sakellariou G, Quaglini S, Bugatti S, Bobbio-Pallavicini F, Gabba V, Montecucco C. In Patients with Early Peripheral Psoriatic Arthritis Baseline C-Reactive Protein, Pain and Ultrasound-Detected Synovitis Predict Subsequent Treatment with ts/bDMARDs. A Retrospective Analysis. Journal of Clinical Medicine. 2021; 10(13):2834. https://doi.org/10.3390/jcm10132834
Chicago/Turabian StyleSakellariou, Garifallia, Silvana Quaglini, Serena Bugatti, Francesca Bobbio-Pallavicini, Vittorio Gabba, and Carlomaurizio Montecucco. 2021. "In Patients with Early Peripheral Psoriatic Arthritis Baseline C-Reactive Protein, Pain and Ultrasound-Detected Synovitis Predict Subsequent Treatment with ts/bDMARDs. A Retrospective Analysis" Journal of Clinical Medicine 10, no. 13: 2834. https://doi.org/10.3390/jcm10132834
APA StyleSakellariou, G., Quaglini, S., Bugatti, S., Bobbio-Pallavicini, F., Gabba, V., & Montecucco, C. (2021). In Patients with Early Peripheral Psoriatic Arthritis Baseline C-Reactive Protein, Pain and Ultrasound-Detected Synovitis Predict Subsequent Treatment with ts/bDMARDs. A Retrospective Analysis. Journal of Clinical Medicine, 10(13), 2834. https://doi.org/10.3390/jcm10132834

