Poly(Ionic Liquid)-Based Composite Electrolyte Membranes: Additive Effect of Silica Nanofibers on Their Properties
Abstract
1. Introduction
2. Materials and Methods
2.1. Materials
2.2. Preparation of Silica Nanofibers and Porous Substrate
2.3. Membrane Preparation
2.4. Characterization
3. Results and Discussion
3.1. Structures of SiO2NFs and SiO2NF Porous Substrates
3.2. Structures of Prepared PIL-Based Electrolyte Membranes
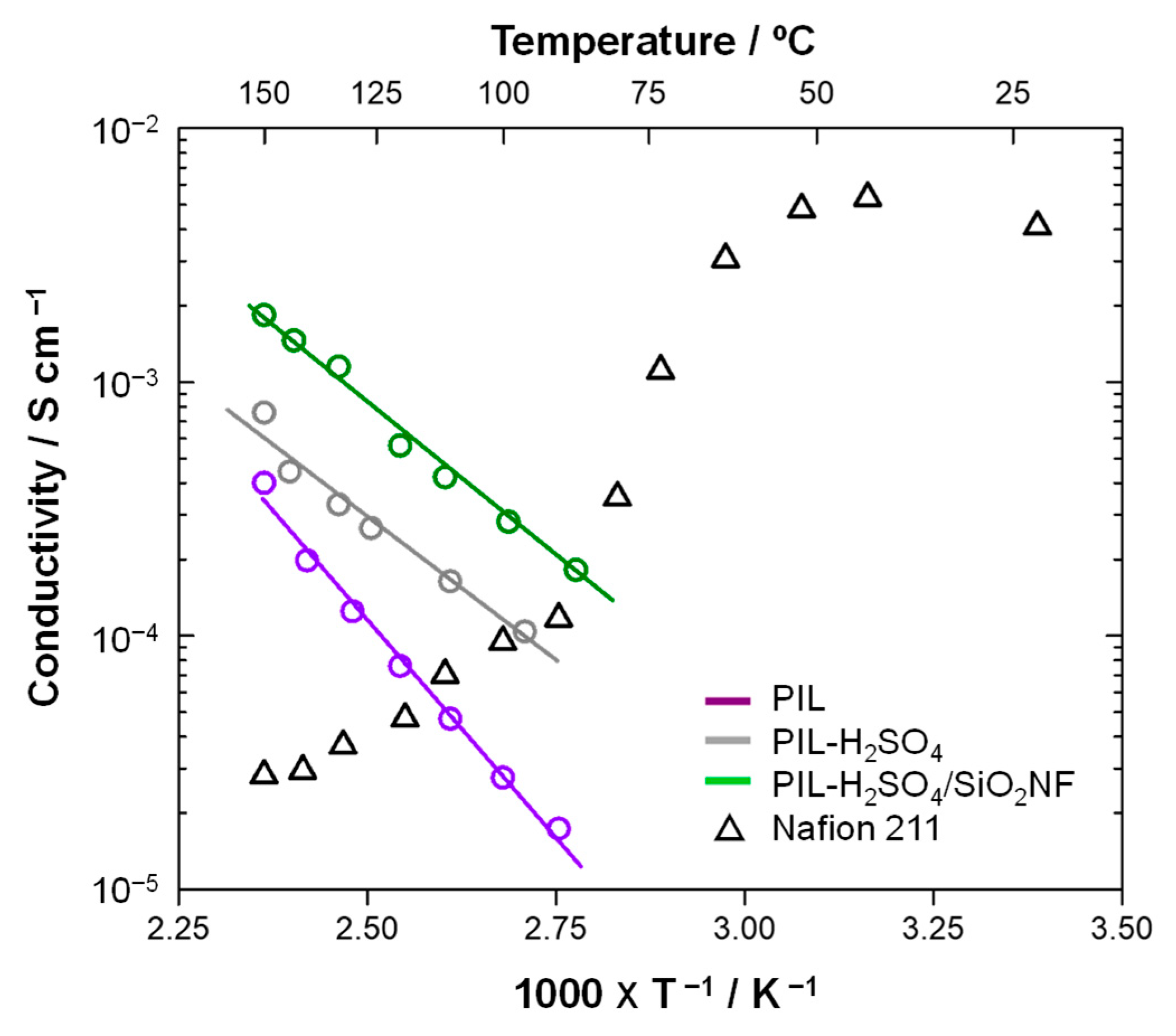
3.3. Properties of the Prepared PIL-Based Electrolyte Membranes
4. Conclusions
Supplementary Materials
Author Contributions
Funding
Data Availability Statement
Acknowledgments
Conflicts of Interest
References
- Wang, Y.; Ruiz Diaz, D.F.; Chen, K.S.; Wang, Z.; Adroher, X.C. Materials, Technological Status, and Fundamentals of PEM Fuel Cells─A review. Mater. Today 2020, 32, 178–203. [Google Scholar] [CrossRef]
- Zhang, S.; Matsumoto, H.; Sato, K.; Ishikawa, Y.; Naito, H.; Kawamura, K.; Sakai, K.; Hirai, S. Carbon Nanofiber-Based Thin Gas Diffusion Layers for Polymer Electrolyte Fuel Cells. ACS Eng. Au 2025. [Google Scholar] [CrossRef]
- Onuki, S.; Kawai, Y.; Masunaga, H.; Ohta, N.; Kikuchi, R.; Ashizawa, M.; Nabae, Y.; Matsumoto, H. All-Perfluorosulfonated-Ionomer Composite Membranes Containing Blow-Spun Fibers: Effect of a Thin Fiber Framework on Proton Conductivity and Mechanical Properties. ACS Appl. Mater. Interfaces 2024, 16, 10682–10691. [Google Scholar] [CrossRef]
- Meng, X.; Mei, J.; Tang, X.; Jiang, J.; Sun, C.; Song, K. The Degradation Prediction of Proton Exchange Membrane Fuel Cell Performance Based on a Transformer Model. Energies 2024, 17, 3050. [Google Scholar] [CrossRef]
- Aili, D.; Henkensmeier, D.; Martin, S.; Singh, B.; Hu, Y.; Jensen, J.O.; Cleemann, L.N.; Li, Q. Polybenzimidazole-Based High-Temperature Polymer Electrolyte Membrane Fuel Cells: New Insights and Recent Progress. Electrochem. Energ. Rev. 2020, 3, 793–845. [Google Scholar] [CrossRef]
- Haider, R.; Wen, Y.; Ma, Z.-F.; Wilkinson, D.P.; Zhang, L.; Yuan, X.; Song, S.; Zhang, J. High temperature proton exchange membrane fuel cells: Progress in advanced materials and key technologies. Chem. Soc. Rev. 2021, 50, 1138–1187. [Google Scholar] [CrossRef] [PubMed]
- Kusoglu, A.; Weber, A.Z. New Insights into Perfluorinated Sulfonic-Acid Ionomers. Chem. Rev. 2017, 117, 987–1104. [Google Scholar] [CrossRef]
- Shang, Z.; Hossain, M.M.; Wycisk, R.; Pintauro, P.N. Poly(phenylene sulfonic acid)-expanded polytetrafluoroethylene composite membrane for low relative humidity operation in hydrogen fuel cells. J. Power Sources 2022, 535, 231375. [Google Scholar] [CrossRef]
- Li, T.; Yang, J.; Chen, Q.; Zhang, H.; Wang, P.; Hu, W.; Liu, B. Construction of Highly Conductive Cross-Linked Polybenzimidazole-Based Networks for High-Temperature Proton Exchange Membrane Fuel Cells. Materials 2023, 16, 1932. [Google Scholar] [CrossRef]
- Wenjing Qian, W.; Texter, J.; Yan, F. Frontiers in poly(ionic liquid)s: Syntheses and applications. Chem. Soc. Rev. 2017, 46, 1124–1159. [Google Scholar] [CrossRef]
- Yuuki, T.; Konosu, Y.; Ashizawa, M.; Iwahashi, T.; Ouchi, Y.; Tominaga, Y.; Ooyabu, R.; Matsumoto, H.; Matsumoto, H. Ionic Liquid-Based Electrolytes Containing Surface-Functionalized Inorganic Nanofibers for Quasisolid Lithium Batteries. ACS Omega 2017, 2, 835–841. [Google Scholar] [CrossRef]
- Díaz, M.; Ortiz, A.; Vilas, M.; Tojo, E.; Ortiz, I. Performance of PEMFC with new polyvinyl-ionic liquids based membranes as electrolytes. Int. J. Hydrogen Energy 2014, 39, 3970–3977. [Google Scholar] [CrossRef]
- Evans, C.M.; Sanoja, G.E.; Popere, B.C.; Segalman, R.A. Anhydrous Proton Transport in Polymerized Ionic Liquid Block Copolymers: Roles of Block Length, Ionic Content, and Confinement. Macromolecules 2016, 49, 395–404. [Google Scholar] [CrossRef]
- Shah, A.H.; Li, J.; Yang, H.; Rana, U.A.; Ranganathan, V.; Siddigi, H.M.; MacFarlane, D.R.; Forsyth, M.; Zhu, H. Enhancement of ‘dry’ proton conductivity by self-assembled nanochannels in all-solid polyelectrolytes. J. Mater. Chem. A 2016, 4, 7615–7623. [Google Scholar] [CrossRef]
- Luo, J.; Yang, Q.; Tan, S.; Wang, C.; Wu, Y. Anisotropic polymer membranes retaining nanolayered hydrogen sulfate anions for enhanced anhydrous proton conduction. J. Membr. Sci. 2022, 662, 120975. [Google Scholar] [CrossRef]
- Gallastegui, A.; Foglia, F.; McMillan, P.F.; Casado, N.; Gueguen, A.; Mecerreyes, D. Poly(diallylmethylammonium) proton conducting membranes with high ionic conductivity at intermediate temperatures. Polymer 2023, 280, 126064. [Google Scholar] [CrossRef]
- George, A.; Gallastegui, A.; Al-Alawi, M.; Fraysse, K.S.; Du, H.-L.; Simonov, A.N.; O’Dell, L.A.; Casado, N.; Makhlooghiazad, F. Anhydrous Proton-Conducting Membranes Based on Protic Polymerized Ionic Liquids for Intermediate-Temperature Proton Exchange Membrane Fuel Cells. ACS Appl. Polym. Mater. 2025, 7, 6641–6654. [Google Scholar] [CrossRef]
- Azuma, K.; Iwata, N.; Takano, Y.; Matsumoto, H.; Tokita, M. Uniaxial alignment of nematic liquid crystals filling vacant spaces in surface-treated nanofibre nonwoven. Liq. Cryst. 2019, 46, 1241–1245. [Google Scholar] [CrossRef]
- Okuo, T.; Kondo, T.; Ashizawa, M.; Sagane, F.; Matsumoto, H. Influence of Gel Electrolytes Containing OMgCl-functionalized Inorganic Nanofibers on Magnesium Plating/Stripping Reaction. Electrochemistry 2023, 91, 077001. [Google Scholar] [CrossRef]
- Bertoluzza, A.; Fagnano, C.; Antonietta, M.A.; Gottardi, V.; Guglielmi, M. Raman and infrared spectra on silica gel evolving toward glass. J. Non-Cryst. Solids 1982, 48, 117–128. [Google Scholar] [CrossRef]
- Kiefer, J.; Fries, J.; Leipertz, A. Experimental Vibrational Study of Imidazolium-Based Ionic Liquids: Raman and Infrared Spectra of 1-Ethyl-3-Methylimidazolium Bis(Trifluoromethylsulfonyl)Imide and 1-Ethyl-3-Methylimidazolium Ethylsulfate. Appl. Spectrosc. 2007, 61, 1306–1311. [Google Scholar] [CrossRef]
- Moumene, T.; Belarbi, E.H.; Haddad, B.; Villemin, D.; Abbas, O.; Khelifa, B.; Bresson, S. Vibrational Spectroscopic Study of Ionic Liquids: Comparison between Monocationic and Dicationic Imidazolium Ionic Liquids. J. Mol. Struct. 1065. [CrossRef]
- Noack, K.; Schulz, P.S.; Paape, N.; Kiefer, J.; Wasserscheid, P.; Leipertz, A. The Role of the C2 Position in Interionic Interactions of Imidazolium Based Ionic Liquids: A Vibrational and NMR Spectroscopic Study. Phys. Chem. Chem. Phys. 2010, 12, 14153–14161. [Google Scholar] [CrossRef]
- Buzzoni, R.; Bordiga, S.; Ricchiardi, G.; Spoto, G.; Zecchina, A. Interaction of H2O, CH3OH, (CH3)2O, CH3CN, and Pyridine with the Superacid Perfluorosulfonic Membrane Nafion: An IR and Raman Study. J. Phys. Chem. 1995, 99, 11937–11951. [Google Scholar] [CrossRef]
- Chaker, Y.; Debdab, M.; Belarbi, E.H.; Ilikti, H.; Haddad, B.; Moumene, T.; Wadouachi, A.; Van Nhien, A.N.; Abassi, H.B.; Abbas, O.; et al. The Influence of Chloride and Hydrogen Sulfate Anions in Two Polymerised Ionic Liquids Based on the Poly(1-(Hydroxyethyl)-3-Vinylimidazolium Cation, Synthesis, Thermal and Vibrational Studies. Eur. Polym. J. 2018, 108, 138–149. [Google Scholar] [CrossRef]
- Kiefer, J.; Pye, C.C. Structure of the Room-Temperature Ionic Liquid 1-Hexyl-3-Methylimidazolium Hydrogen Sulfate: Conformational Isomerism. J. Phys. Chem. A 2010, 114, 6713–6720. [Google Scholar] [CrossRef]
- Yaghini, N.; Pitawala, J.; Matic, A.; Martinelli, A. Effect of Water on the Local Structure and Phase Behavior of Imidazolium-Based Protic Ionic Liquids. J. Phys. Chem. B 2015, 119, 1611–1622. [Google Scholar] [CrossRef] [PubMed]
- Surekha, G.; Venkata Krishnaiah, K.; Ravi, N.; Padma Suvarna, R. FTIR, Raman and XRD Analysis of Graphene Oxide Films Prepared by Modified Hummers Method. J. Phys. Conf. Ser. 2020, 1495, 012012. [Google Scholar] [CrossRef]
- Gu, J.; Luo, J.; Yang, J.; Tan, S.; Wang, C.; Wu, Y. Anhydrous Proton Conduction in Protic Ionic Liquid Crystals Formed by 1-Alkyl-3H-Imidazolium Hydrogen Sulfates. Ionics 2022, 28, 2293–2300. [Google Scholar] [CrossRef]
- Singhal, N.; Datta, A. Reversible Tuning of Chemical Structure of Nafion Cast Film by Heat and Acid Treatment. J. Phys. Chem. B 2015, 119, 2395–2403. [Google Scholar] [CrossRef] [PubMed]
- Brusatin, G.; Guglielmi, M.; Innocenzi, P.; Martucci, A.; Battaglin, G.; Pelli, S.; Righini, G. Microstructural and Optical Properties of Sol-Gel Silica-Titania Waveguides. J. Non-Cryst. Solids 1997, 220, 202–209. [Google Scholar] [CrossRef]
- Rajput, D.; Costa, L.; Terekhov, A.; Lansford, K.; Hofmeister, W. Silica Coating of Polymer Nanowires Produced via Nanoimprint Lithography from Femtosecond Laser Machined Templates. Nanotechnology 2012, 23, 105304. [Google Scholar] [CrossRef]
- Laporta, M.; Pegoraro, M.; Zanderighi, L. Perfluorosulfonated Membrane (Nafion): FT-IR Study of the State of Water with Increasing Humidity. Phys. Chem. Chem. Phys. 1999, 1, 4619–4628. [Google Scholar] [CrossRef]
- Hermán, V.; Takacs, H.; Duclairoir, F.; Renault, O.; Tortai, J.H.; Viala, B. Core Double–Shell Cobalt/Graphene/Polystyrene Magnetic Nanocomposites Synthesized by in Situ Sonochemical Polymerization. RSC Adv. 2015, 5, 51371–51381. [Google Scholar] [CrossRef]
- Scatena, L.F.; Brown, M.G.; Richmond, G.L. Water at Hydrophobic Surfaces: Weak Hydrogen Bonding and Strong Orientation Effects. Science 2001, 292, 908–912. [Google Scholar] [CrossRef]
- Bailey, H.E.; Wang, Y.-L.; Fayer, M.D. The influence of hydrophilicity on the orientational dynamics and structures of imidazolium-based ionic liquid/water binary mixtures. J. Chem. Phys. 2018, 149, 044501. [Google Scholar] [CrossRef]
- Corvo, T.O.; Jourdain, A.; O’Brien, S.; Restagno, F.; Drockenmuller, E.; Chennevière, A. Multiscale Structure of Poly(ionic liquid)s in Bulk and Solutions by Small-Angle Neutron Scattering. Macromolecules 2022, 55, 4111–4118. [Google Scholar] [CrossRef]
- Zhang, S.-Y.; Zhuang, Q.; Zhang, M.; Wang, H.; Gao, Z.; Sun, J.-K.; Yuan, J. Poly(ionic liquid) composites. Chem. Soc. Rev. 2020, 49, 1726–1755. [Google Scholar] [CrossRef]
- Yuan, X.; Wang, H.; Colinsun, J.; Zhang, J. AC Impedance Technique in PEM Fuel Cell Diagnosis─A Review. Int. J. Hydrogen Energy 2007, 32, 4365–4380. [Google Scholar] [CrossRef]







| Membrane | Monomer [wt%] | Crosslinker [wt%] | H2O [wt%] | H2SO4 [wt%] | Initiator [wt%] |
|---|---|---|---|---|---|
| PIL | 41.65 | 8.35 | 41.65 | - | 0.42 |
| PIL-H2SO4 | 41.65 | 8.35 | 41.65 | 8.35 | 0.42 |
| PIL-H2SO4/SiO2NF | 41.65 | 8.35 | 41.65 | 8.35 | 0.42 |
| Membrane | Young’s Modulus [MPa] | Tensile Strength [MPa] | Elongation at Break [%] |
|---|---|---|---|
| PIL | 2.8 ± 0.2 | 0.73 ± 0.20 | 26 ± 5 |
| PIL-H2SO4 | 0.90 ± 0.01 | 0.41 ± 0.05 | 44 ± 4 |
| PIL-H2SO4/SiO2NF | 5.1 ± 0.6 | 0.78 ± 0.05 | 17 ± 1 |
Disclaimer/Publisher’s Note: The statements, opinions and data contained in all publications are solely those of the individual author(s) and contributor(s) and not of MDPI and/or the editor(s). MDPI and/or the editor(s) disclaim responsibility for any injury to people or property resulting from any ideas, methods, instructions or products referred to in the content. |
© 2025 by the authors. Licensee MDPI, Basel, Switzerland. This article is an open access article distributed under the terms and conditions of the Creative Commons Attribution (CC BY) license (https://creativecommons.org/licenses/by/4.0/).
Share and Cite
Kawai, Y.; Lu, Y.; Zhang, S.; Masuda, G.; Matsumoto, H. Poly(Ionic Liquid)-Based Composite Electrolyte Membranes: Additive Effect of Silica Nanofibers on Their Properties. Membranes 2025, 15, 254. https://doi.org/10.3390/membranes15090254
Kawai Y, Lu Y, Zhang S, Masuda G, Matsumoto H. Poly(Ionic Liquid)-Based Composite Electrolyte Membranes: Additive Effect of Silica Nanofibers on Their Properties. Membranes. 2025; 15(9):254. https://doi.org/10.3390/membranes15090254
Chicago/Turabian StyleKawai, Yoshiki, Yirui Lu, Shaoling Zhang, Gen Masuda, and Hidetoshi Matsumoto. 2025. "Poly(Ionic Liquid)-Based Composite Electrolyte Membranes: Additive Effect of Silica Nanofibers on Their Properties" Membranes 15, no. 9: 254. https://doi.org/10.3390/membranes15090254
APA StyleKawai, Y., Lu, Y., Zhang, S., Masuda, G., & Matsumoto, H. (2025). Poly(Ionic Liquid)-Based Composite Electrolyte Membranes: Additive Effect of Silica Nanofibers on Their Properties. Membranes, 15(9), 254. https://doi.org/10.3390/membranes15090254

