Surface-Charge Characterization of Nanocomposite Cellulose Acetate/Silver Membranes and BSA Permeation Performance
Abstract
1. Introduction
2. Materials and Methods
2.1. Materials
2.2. Membrane Preparation
2.3. Pure-Water Permeation Flux and Hydraulic Permeability
2.4. Membrane Molecular Weight Cut-Off
2.5. Streaming Potential Measurements
2.6. Bovine-Serum-Albumin Permeation Experiments
3. Results and Discussion
3.1. Pure-Water Flux Permeation and Hydraulic Permeability
3.2. Molecular Weight Cut-Off
3.3. Zeta Potential and Surface Charge Density of CA Membranes
3.4. Zeta Potential and Surface Charge Density of CA/Ag Membranes
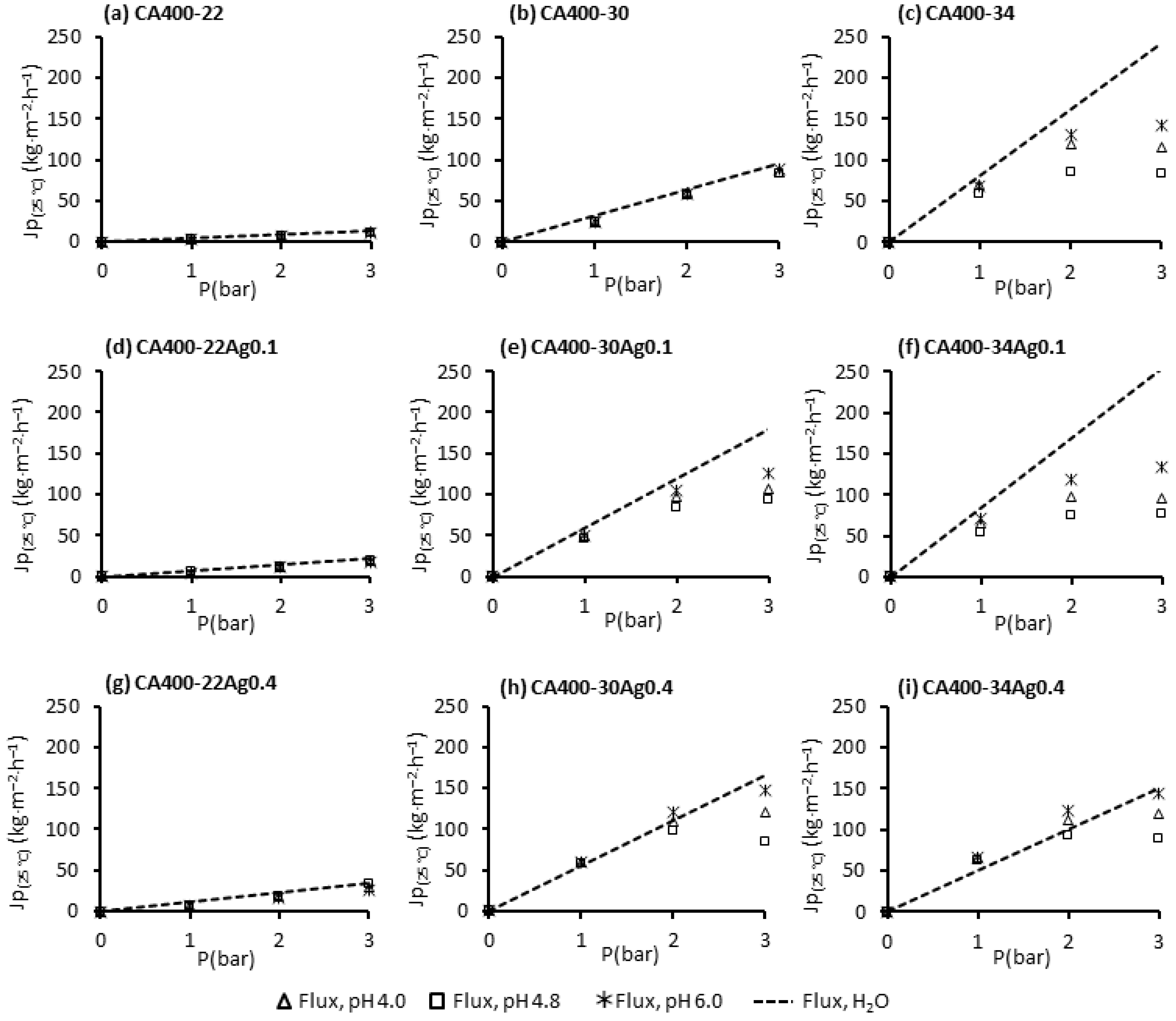
3.5. Bovine-Serum-Albumin Permeation Flux
4. Conclusions
Supplementary Materials
Author Contributions
Funding
Institutional Review Board Statement
Data Availability Statement
Conflicts of Interest
References
- Sotto, A.; Boromand, A.; Balta, S.; Darvishmanash, S.; Kim, J.; Van der Bruggen, B. Nanofiltration membranes enhanced with TiO2 nanoparticles: A comprehensive study. Desalination Water Treat. 2011, 34, 179–183. [Google Scholar] [CrossRef]
- Li, Q.; Elimelech, M. Organic fouling and chemical cleaning of nanofiltration membranes: Measurements and mechanisms. Environ. Sci. Technol. 2004, 38, 4683–4693. [Google Scholar] [CrossRef] [PubMed]
- Xiao, K.; Wang, X.; Huang, X.; Waite, T.D.; Wen, X. Combined effect of membrane and foulant hydrophobicity and surface charge on adsorptive fouling during microfiltration. J. Memb. Sci. 2011, 373, 140–151. [Google Scholar] [CrossRef]
- Chen, W.; Su, Y.; Zhang, L.; Shi, Q.; Peng, J.; Jiang, Z. In situ generated silica nanoparticles as pore-forming agent for enhanced permeability of cellulose acetate membranes. J. Memb. Sci. 2010, 348, 75–83. [Google Scholar] [CrossRef]
- Huang, J.; Zhang, K.; Wang, K.; Xie, Z.; Ladewig, B.; Wang, H. Fabrication of polyethersulfone-mesoporous silica nanocomposite ultrafiltration membranes with antifouling properties. J. Memb. Sci. 2012, 423, 362–370. [Google Scholar] [CrossRef]
- Zhang, G.; Lu, S.; Zhang, L.; Meng, Q.; Shen, C.; Zhang, J. Novel polysulfone hybrid ultrafiltration membrane prepared with TiO2-g-HEMA and its antifouling characteristics. J. Memb. Sci. 2013, 436, 163–173. [Google Scholar] [CrossRef]
- Maheswari, P.; Prasannadevi, D.; Mohan, D. Preparation and performance of silver nanoparticle incorporated polyetherethersulfone nanofiltration membranes. High Perform. Polym. 2012, 25, 174–187. [Google Scholar] [CrossRef]
- Sawada, I.; Fachrul, R.; Ito, T.; Ohmukai, Y.; Maruyama, T.; Matsuyama, H. Development of a hydrophilic polymer membrane containing silver nanoparticles with both organic antifouling and antibacterial properties. J. Memb. Sci. 2012, 387, 1–6. [Google Scholar] [CrossRef]
- Koseoglu-Imer, D.Y.; Kose, B.; Altinbas, M.; Koyuncu, I. The production of polysulfone (PS) membrane with silver nanoparticles (AgNP): Physical properties, filtration performances, and biofouling resistances of membranes. J. Memb. Sci. 2013, 428, 620–628. [Google Scholar] [CrossRef]
- Li, J.-H.; Shao, X.-S.; Zhou, Q.; Li, M.-Z.; Zhang, Q.-Q. The double effects of silver nanoparticles on the PVDF membrane: Surface hydrophilicity and antifouling performance. Appl. Surf. Sci. 2013, 265, 663–670. [Google Scholar] [CrossRef]
- Taurozzi, J.S.; Arul, H.; Bosak, V.Z.; Burban, A.F.; Voice, T.C.; Bruening, M.L.; Tarabara, V.V. Effect of filler incorporation route on the properties of polysulfone–silver nanocomposite membranes of different porosities. J. Memb. Sci. 2008, 325, 58–68. [Google Scholar] [CrossRef]
- Abedini, R.; Mousavi, S.M.; Aminzadeh, R. A novel cellulose acetate (CA) membrane using TiO2 nanoparticles: Preparation, characterization and permeation study. Desalination 2011, 277, 40–45. [Google Scholar] [CrossRef]
- Balta, S.; Sotto, A.; Luis, P.; Benea, L.; Van der Bruggen, B.; Kim, J. A new outlook on membrane enhancement with nanoparticles: The alternative of ZnO. J. Memb. Sci. 2012, 389, 155–161. [Google Scholar] [CrossRef]
- Genne, I.; Kuypers, S.; Leysen, R. Effect of the addition of ZrO2 to polysulfone based UF membranes. J. Memb. Sci. 1996, 113, 343–350. [Google Scholar] [CrossRef]
- Figueiredo, A.S.; Sánchez-Loredo, M.G.; Maurício, A.; Pereira, M.F.C.; Minhalma, M.; de Pinho, M.N. Tailoring of structures and permeation properties of asymmetric nanocomposite cellulose acetate/silver membranes. J. Appl. Polym. Sci. 2015, 132, 41796. [Google Scholar] [CrossRef]
- Davies, R.L.; Etris, S.F. The development and functions of silver in water purification and disease control. Catal. Today 1997, 36, 107–114. [Google Scholar] [CrossRef]
- Chou, W.-L.; Yu, D.-G.; Yang, M.-C. The preparation and characterization of silver-loading cellulose acetate hollow fiber membrane for water treatment. Polym. Adv. Technol. 2005, 16, 600–607. [Google Scholar] [CrossRef]
- Figueiredo, A.S.; Ferraria, A.M.; Rego, A.M.B.D.; Monteiro, S.; Santos, R.; Minhalma, M.; Sánchez-Loredo, M.G.; Tovar-Tovar, R.L.; de Pinho, M.N. Bactericide Activity of Cellulose Acetate/Silver Nanoparticles Asymmetric Membranes: Surfaces and Porous Structures Role. Membranes 2023, 13, 4. [Google Scholar] [CrossRef] [PubMed]
- Zodrow, K.; Brunet, L.; Mahendra, S.; Li, D.; Zhang, A.; Li, Q.; Alvarez, P.J.J. Polysulfone ultrafiltration membranes impregnated with silver nanoparticles show improved biofouling resistance and virus removal. Water Res. 2009, 43, 715–723. [Google Scholar] [CrossRef] [PubMed]
- Zhang, M.; Zhang, K.; De Gusseme, B.; Verstraete, W. Biogenic silver nanoparticles (bio-Ag 0) decrease biofouling of bio-Ag 0/PES nanocomposite membranes. Water Res. 2012, 46, 2077–2087. [Google Scholar] [CrossRef] [PubMed]
- Huisman, I.H.; Trägårdh, G. Determining the zeta potential of ultrafiltration membranes using their salt retention. Colloids Surf. A Physicochem. Eng. Asp. 1999, 157, 261–268. [Google Scholar] [CrossRef]
- Schaep, J.; Vandecasteele, C. Evaluating the charge of nanofiltration membranes. J. Memb. Sci. 2001, 188, 129–136. [Google Scholar] [CrossRef]
- Fievet, P.; Szymczyk, A.; Sbaï, M. Tangential streaming potential as a tool in the characterisation of microporous membranes. Desalination 2006, 199, 18–19. [Google Scholar] [CrossRef]
- Nyström, M.; Pihlajamäki, A.; Ehsani, N. Characterization of ultrafiltration membranes by simultaneous streaming potential and flux measurements. J. Memb. Sci. 1994, 87, 245–256. [Google Scholar] [CrossRef]
- Nabe, A.; Staude, E.; Belfort, G. Surface modification of polysulfone ultrafiltration membranes and fouling by BSA solutions. J. Memb. Sci. 1997, 133, 57–72. [Google Scholar] [CrossRef]
- Kunst, B.; Sourirajan, S. An approach to the development of cellulose acetate ultrafiltration membranes. J. Appl. Polym. Sci. 1974, 18, 3423–3434. [Google Scholar] [CrossRef]
- Afonso, M.D.; De Pinho, M.N. Ultrafiltration of bleach effluents in cellulose production. Desalination 1990, 79, 115–124. [Google Scholar] [CrossRef]
- Abramson, H.A. Electrokinetic Phenomena and Their Application to Biology and Medicine. J. Phys. Chem. 1934, 38, 1128–1129. [Google Scholar] [CrossRef]
- Childress, A.E.; Elimelech, M. Effect of solution chemistry on the surface charge of polymeric reverse osmosis and nanofiltration membranes. J. Memb. Sci. 1996, 119, 253–268. [Google Scholar] [CrossRef]
- Fairbrother, F.; Mastin, H. CCCXII.—Studies in electro-endosmosis. Part I. J. Chem. Soc. Trans. 1924, 125, 2319–2330. [Google Scholar] [CrossRef]
- Buksek, H.; Luxbacher, T.; Petrinic, I. Zeta Potential Determination of Polymeric Materials Using Two Differently Designed Measuring Cells of an Electrokinetic Analyzer. Acta Chim. Slov. 2010, 57, 700–706. Available online: https://acta-arhiv.chem-soc.si/57/57-3-700.pdf (accessed on 17 September 2024).
- Myers, D. Surfaces, Interfaces and Colloids—Principles and Applications, Second Edition by D. Myers, Wiley-VCH, New York, 1999, ISBN 0-471-33060-4. Talanta 2000, 51, 609. [Google Scholar] [CrossRef]
- Ariza, M.J.; Benavente, J. Streaming potential along the surface of polysulfone membranes: A comparative study between two different experimental systems and determination of electrokinetic and adsorption parameters. J. Memb. Sci. 2001, 190, 119–132. [Google Scholar] [CrossRef]
- Lyklema, J. Fundamentals of Interface and Colloid Science—Volume II: Solid-Liquid Interfaces; Academic Press: Cambridge, MA, USA, 1993. [Google Scholar]
- Pontié, M. Effect of aging on UF membranes by a streaming potential (SP) method. J. Memb. Sci. 1999, 154, 213–220. [Google Scholar] [CrossRef]
- Müller, C.H.; Agarwal, G.P.; Melin, T.; Wintgens, T. Study of ultrafiltration of a single and binary protein solution in a thin spiral channel module. J. Memb. Sci. 2003, 227, 51–69. [Google Scholar] [CrossRef]
- Elimelech, M.; Chen, W.H.; Waypa, J.J. Measuring the zeta (electrokinetic) potential of reverse osmosis membranes by a streaming potential analyzer. Desalination 1994, 95, 269–286. [Google Scholar] [CrossRef]
- Lawrence, N.D.; Perera, J.M.; Iyer, M.; Hickey, M.W.; Stevens, G.W. The use of streaming potential measurements to study the fouling and cleaning of ultrafiltration membranes. Sep. Purif. Technol. 2006, 48, 106–112. [Google Scholar] [CrossRef]
- Mänttäri, M.; Pihlajamäki, A.; Nyström, M. Effect of pH on hydrophilicity and charge and their effect on the filtration efficiency of NF membranes at different Ph. J. Memb. Sci. 2006, 280, 311–320. [Google Scholar] [CrossRef]
- Salg, S.; Salgı, U.; Soyer, N. Streaming Potential Measurements of Polyethersulfone Ultrafiltration Membranes to Determine Salt Effects on Membrane Zeta Potential. Int. J. Electrochem. Sci. 2013, 8, 4073–4084. [Google Scholar] [CrossRef]
- Tay, J.-H.; Liu, J.; Sun, D.D. Effect of solution physico-chemistry on the charge property of nanofiltration membranes. Water Res. 2002, 36, 585–598. [Google Scholar] [CrossRef] [PubMed]
- Peeters, J.M.M.; Mulder, M.H.V.; Strathmann, H. Streaming potential measurements as a characterization method for nanofiltration membranes. Colloids Surf. A Physicochem. Eng. Asp. 1999, 150, 247–259. [Google Scholar] [CrossRef]
- Ben-Sasson, M.; Lu, X.; Bar-Zeev, E.; Zodrow, K.R.; Nejati, S.; Qi, G.; Giannelis, E.P.; Elimelech, M. In situ formation of silver nanoparticles on thin-film composite reverse osmosis membranes for biofouling mitigation. Water Res. 2014, 62, 260–270. [Google Scholar] [CrossRef]
- Metsämuuronen, S.; Nyström, M. Critical flux in cross-flow ultrafiltration of protein solutions. Desalination 2005, 175, 37–47. [Google Scholar] [CrossRef]
- She, Q.; Tang, C.Y.; Wang, Y.-N.; Zhang, Z. The role of hydrodynamic conditions and solution chemistry on protein fouling during ultrafiltration. Desalination 2009, 249, 1079–1087. [Google Scholar] [CrossRef]





| Membrane | CA400 | ||||||||
|---|---|---|---|---|---|---|---|---|---|
| 22 | 22Ag0.1 | 22Ag0.4 | 30 | 30Ag0.1 | 30Ag0.4 | 34 | 34Ag0.1 | 34Ag0.4 | |
| Casting solution (wt%) | |||||||||
| Cellulose acetate | 17.0 | 16.4 | 15.3 | 17.0 | 16.4 | 15.3 | 17.0 | 16.4 | 15.3 |
| Formamide | 22.0 | 21.2 | 19.8 | 30.0 | 29.0 | 27.0 | 34.0 | 32.8 | 30.6 |
| Acetone | 61.0 | 58.9 | 54.9 | 53.0 | 51.1 | 47.7 | 49.0 | 47.3 | 44.1 |
| Silver nanoparticles | |||||||||
| Dispersion | - | 3.4 | 9.6 | - | 3.4 | 9.6 | - | 3.4 | 9.6 |
| Silver | - | 0.1 | 0.4 | - | 0.1 | 0.4 | - | 0.1 | 0.4 |
| Casting Conditions | |||||||||
| Temperature of solution (°C) | 20–25 | ||||||||
| Temperature of atmosphere (°C) | 20–25 | ||||||||
| Solvent evaporation time (min) | 0.5 | ||||||||
| Gelation medium | Ice-cold water (1–2 h) | ||||||||
| Lp (kg m−2 h−1 bar−1) | |||
|---|---|---|---|
| 0 wt% Ag | 0.1 wt% Ag | 0.4 wt% Ag | |
| CA400-22 | 3.50 | 7.05 | 11.16 |
| CA400-30 | 32.05 | 66.85 | 59.72 |
| CA400-34 | 80.88 | 84.48 | 59.10 |
| PEG (Da) | Dextran (Da) | ||||||
|---|---|---|---|---|---|---|---|
| 1000 | 3000 | 6000 | 8000 | 10,000 | 20,000 | DT4000 | |
| CA400-22 | 57.6% | 84.9% | 95.9% | 99.3% | - | - | - |
| CA400-22Ag0.1 | 11.6% | 44.7% | 88.9% | 94.3% | - | - | - |
| CA400-22Ag0.4 | 2.4% | 8.5% | 55.4% | - | 85.2% | 95.5% | 97.8% |
| CA400-30 | - | 42.4% | 73.9% | - | 89.0% | 93.5% | 95.1% |
| CA400-30Ag0.1 | - | 37.1% | 66.3% | - | 82.2% | 92.9% | 96.7% |
| CA400-30Ag0.4 | 4.6% | 28.2% | 56.1% | - | 63.9% | 74.6% | 97.6% |
| CA400-34 | - | 24.5% | 48.0% | - | 63.3% | 86.4% | 95.5% |
| CA400-34Ag0.1 | - | 22.0% | 27.9% | - | 37.9% | 44.6% | 90.1% |
| CA400-34Ag0.4 | 1.8% | 24.2% | 46.0% | - | 53.5% | 67.0% | 95.7% |
| MWCO (kDa) | |||
|---|---|---|---|
| 0 wt% Ag | 0.1 wt% Ag | 0.4 wt% Ag | |
| CA400-22 | 4.17 | 6.86 | 15.35 |
| CA400-30 | 8.32 | 17.58 | 26.52 |
| CA400-34 | 31.43 | 41.05 | 31.96 |
Disclaimer/Publisher’s Note: The statements, opinions and data contained in all publications are solely those of the individual author(s) and contributor(s) and not of MDPI and/or the editor(s). MDPI and/or the editor(s) disclaim responsibility for any injury to people or property resulting from any ideas, methods, instructions or products referred to in the content. |
© 2025 by the authors. Licensee MDPI, Basel, Switzerland. This article is an open access article distributed under the terms and conditions of the Creative Commons Attribution (CC BY) license (https://creativecommons.org/licenses/by/4.0/).
Share and Cite
Figueiredo, A.S.; Sánchez-Loredo, M.G.; de Pinho, M.N.; Minhalma, M. Surface-Charge Characterization of Nanocomposite Cellulose Acetate/Silver Membranes and BSA Permeation Performance. Membranes 2025, 15, 61. https://doi.org/10.3390/membranes15020061
Figueiredo AS, Sánchez-Loredo MG, de Pinho MN, Minhalma M. Surface-Charge Characterization of Nanocomposite Cellulose Acetate/Silver Membranes and BSA Permeation Performance. Membranes. 2025; 15(2):61. https://doi.org/10.3390/membranes15020061
Chicago/Turabian StyleFigueiredo, Ana Sofia, María Guadalupe Sánchez-Loredo, Maria Norberta de Pinho, and Miguel Minhalma. 2025. "Surface-Charge Characterization of Nanocomposite Cellulose Acetate/Silver Membranes and BSA Permeation Performance" Membranes 15, no. 2: 61. https://doi.org/10.3390/membranes15020061
APA StyleFigueiredo, A. S., Sánchez-Loredo, M. G., de Pinho, M. N., & Minhalma, M. (2025). Surface-Charge Characterization of Nanocomposite Cellulose Acetate/Silver Membranes and BSA Permeation Performance. Membranes, 15(2), 61. https://doi.org/10.3390/membranes15020061

