Mechanism of Chromium Separation and Concentration from Tannery Wastewater by Membrane Methods
Abstract
1. Introduction
2. Materials and Methods
- R—chromium retention, [%],
- CN—chromium concentration in the feed, [g∙L−1],
- CP—chromium concentration in the permeate, [g∙L−1].
- E—degree of salt washing, %,
- CSR—salt concentration in the retentate after the process, [g∙L−1],
- CSN—salt concentration in the feed, [g∙L−1].
- VN—feed volume, [L],
- VR—volume of retentate after the process, [L].
- CR—chromium concentration in the retentate after the process, [g∙L−1].
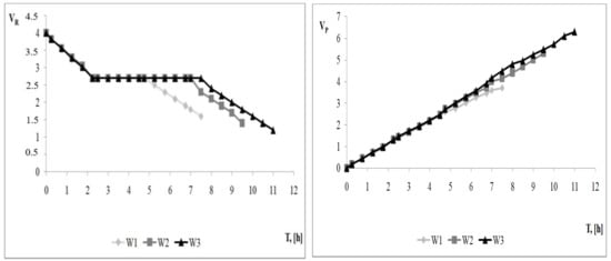
3. Results
3.1. Nanofiltration
3.2. Nanofiltration by Diafiltration (NF-CVD)
4. Discussion
5. Conclusions
Author Contributions
Funding
Institutional Review Board Statement
Informed Consent Statement
Conflicts of Interest
References
- Social and Environmental Report of the European Leather Industry, COTANCE—Working for the Leather Industry in Europe: Belgium 2012. Available online: https://www.euroleather.com/doc/SER/European%20Leather%20Industry%20-%20Social%20and%20Environmental%20Report%202020%20-%20EN%20web.pdf (accessed on 21 November 2022).
- Directive 2010/75/EC of the European Parliament and of the Council on Industrial Emissions (Integrated Pollution Prevention and Control). Available online: https://eur-lex.europa.eu/legal-content/EN/TXT/?uri=CELEX%3A32010L0075 (accessed on 21 November 2022).
- BAT Reference Document (BAT), JRC–IRTS. 2013. Available online: http://www.ekoportal.gov.pl/fileadmin/Ekoportal/Pozwolenia_zintegrowane/BREF/1_Dokument_referencyjny_BREF_Garbowanie_skor_TAN.pdf (accessed on 21 November 2022).
- FAO. World Statistical Compendium for Raw Hides and Skins, Leather and Leather Footwear 1993–2012; Market and Policy Analyses of Raw Materials, Horticulture and Tropical Products Team, Trade and Markets Division, Food and Agriculture Organization of the United Nations; FAO: Rome, Italy, 2013. [Google Scholar]
- Guo, Z.R.; Zhang, G.; Fang, J.; Duo, X. Enhanced chromium recovery from tanning wastewater. J. Clean. Prod. 2006, 14, 75–79. [Google Scholar] [CrossRef]
- Religa, P.; Żarłok, J. Treatment of chrome tannery wastewater—Traditional methods. WOS 2006, 8, 73–76. (In Polish) [Google Scholar]
- Hintermeyer, B.H.; Lacou, N.A.; Padilla, A.P.; Tavani, E.L. Separation of the chromium (III) present in a tanning wastewater by means of precipitation, reverse osmosis and adsorption. Lat. Am. Appl. Res. 2008, 38, 63–71. [Google Scholar]
- Wang, D.; He, S.; Shan, C.; Ye, Y.; Ma, H.; Zhang, X.; Zhang, W.; Pan, B. Chromium speciation in tannery effluent after alkaline precipitation: Isolation and characterization. J. Hazard. Mater. 2016, 316, 169–177. [Google Scholar] [CrossRef] [PubMed]
- Ahmed, E.; Abdulla, H.M.; Mohamed, A.H.; El-Bassuony, A.D. Remediation and recycling of chromium from tannery wastewater using combined chemical–biological treatment system. Process Saf. Environ. Prot. 2016, 104, 1–10. [Google Scholar] [CrossRef]
- Abdulla, H.M.; Kamal, E.M.; Mohamed, A.H.; El–Bassuony, A.D. Chromium removal from tannery wastewater using chemical and biological techniques aiming zero discharge of pollution. In Proceedings of the Fifth Scientific Environmental Conference, Zagazig, Egypt; 2010; pp. 171–183. [Google Scholar]
- Kanagaraj, J.; Chandrababu, N.K.; Mandal, A.B. Recovery and reuse of chromium from chrome tanning wastewater timing towards zero discharge of pollution. J. Clean. Prod. 2008, 16, 1807–1813. [Google Scholar] [CrossRef]
- Mohammed, K.; Sahu, O. Bioadsorption and membranę technology for reduction and recovery of chromium from tannery industry wastewater. Environ. Technol. Innov. 2015, 4, 150–158. [Google Scholar] [CrossRef]
- Dasgupta, J.; Mondal, D.; Chakraborty, S.; Sikder, J.; Curcio, S.; Arafat, H.A. Nanofiltration based water reclamation from tannery effluent following coagulation pretreatment. Ecotoxicol. Environ. Saf. 2015, 121, 22–30. [Google Scholar] [CrossRef]
- Galiana–Aleixandre, M.V.; Mendoza–Roca, J.A.; Bes–Piá, A. Reducing sulfates concentration in the tannery effluent by applying pollution prevention techniques and nanofiltration. J. Clean. Prod. 2011, 19, 91–98. [Google Scholar] [CrossRef]
- Religa, P.; Kowalik, A.; Gierycz, P. A new approach to chromium concentration from salt mixture solution using nanofiltration. Sep. Purif. Technol. 2011, 82, 114–120. [Google Scholar] [CrossRef]
- Fievet, C.; Labbez, P.; Szymczyk, A.; Vidonne, A.; Foissy, A.; Pagetti, J. Electrolyte transport through amphoteric nanofiltrationmembranes. Chem. Eng. Sci. 2002, 57, 2921–2931. [Google Scholar] [CrossRef]
- Déon, S.; Escoda, A.; Fievet, P.; Dutournié, P.; Bourseau, P. How to use a multi-ionic transport model to fully predict rejection of mineral salts by nanofiltration membranes. Chem. Eng. J. 2012, 189–190, 24–31. [Google Scholar] [CrossRef]
- Śmiechowski, K.; Żarłok, J. Designing a Plant in the Light Industry on the Example of a Tannery, 1st ed.; Radom Technical University: Radom, Poland, 2001; pp. 19–41. (In Polish) [Google Scholar]
- Xie, M.; Xu, Y. Partial desalination and concentration of glyphosate liquor by nanofiltration. J. Hazard. Mater. 2011, 186, 960–964. [Google Scholar] [CrossRef]
- Zhang, Z.; Yang, R.; Zhang, S.; Zhao, H.; Hua, X. Purification of lactulose syrup by using nanofiltration in a diafiltration mode. J. Food Eng. 2011, 105, 112–118. [Google Scholar] [CrossRef]
- Yin, N.; Yang, G.; Zhong, Z.; Xing, W. Separation of ammonium salts from coking wastewater with nanofiltration combined with diafiltration. Desalination 2011, 268, 233–237. [Google Scholar] [CrossRef]
- Kim, H.H.; Chang, Y.K. Removal of potassium chloride from ion-exchanged solution containing potassium clavulanate by diafiltration with nanomembrane and its modeling. J. Membr. Sci. 2009, 342, 173–178. [Google Scholar] [CrossRef]
- Ellen MacArthur Foundation. Towards the Circular Economy. Economic and Business Rationale for an Accelerated Transition. 2013. Available online: https://www.ellenmacarthurfoundation.org/assets/downloads/publications/Ellen-MacArthur-Foundation-Towards-the-Circular-Economy-vol.1.pdf (accessed on 8 November 2022).
- Lieder, M.; Rashid, A. Towards circular economy implementation: A comprehensive review in context of manufacturing industry. J. Clean. Prod. 2016, 115, 36–51. [Google Scholar] [CrossRef]
- Kirchherr, J.; Piscicelli, L.; Bour, R.; Kostense-Smit, E.; Muller, J.; Huibrechtse-Truijens, A.; Hekkert, M. Barriers to the Circular Economy: Evidence From the European Union (EU). Ecol. Econ. 2018, 150, 264–272. [Google Scholar] [CrossRef]
- Religa, P.; Kaźmierczak, B.; Wojtkowska, M.; Rogoś, E. Influence of the nanofiltration method on the retentate composition aftermodel chromium tannery wastewater concentration. DWT 2018, 128, 187–192. [Google Scholar] [CrossRef]
- Sterlitech Corporation, Membrane/Process Development, Flat Sheet Membranes. Available online: https://www.sterlitech.com/ (accessed on 15 November 2022).
- Religa, P.; Kowalik-Klimczak, A.; Gierycz, P. Study of the behaviour of nanofiltration membranes using for chromium recovery from salt mixture solution. Desalination 2013, 315, 115–123. [Google Scholar] [CrossRef]
- Religa, P.; Kaźmierczak, B.; Gierycz, P. Systems for the chromium recirculation in the tanneries. DWT 2017, 64, 414–418. [Google Scholar] [CrossRef]
- Religa, P.; Kowalik, A.; Gierycz, P. Effect of membranę properties on chromium(III) recirculation from concentrate salt mixture solution by nanofiltration. Desalination 2011, 274, 164–170. [Google Scholar] [CrossRef]
- Rosyadah Ahmad, N.N.; Ang, W.L.; Leo, C.P.; Mohammad, A.W.; Hilal, N. Current advances in membrane technologies for saline wastewater treatment: A comprehensive review. Desalination 2021, 517, 115170. [Google Scholar]
- Goh, P.S.; Wong, K.C.; Ismail, A.F. Membrane technology: A versatile tool for saline wastewater treatment andresource recovery. Desalination 2022, 521, 115377. [Google Scholar] [CrossRef]
- Yan, Z.Q.; Zeng, L.M.; Li, Q.; Liu, T.Y.; Matsuyama, H.; Wang, X.L. Selective separation of chloride and sulfate by nanofiltration for highsaline wastewater recycling. Sep. Purif. Technol. 2016, 166, 135–141. [Google Scholar] [CrossRef]
- Religa, P.; Kowalik, A.; Gierycz, P. Application of nanofiltration for chromium concentration in the tannery wastewater. J. Hazard. Mater. 2011, 186, 288–292. [Google Scholar] [CrossRef]
- Bruni, L.; Bandini, S. The role of the electrolyte on the mechanism of charge formation in polyamide nanofiltration membranes. J. Membr. Sci. 2008, 308, 136–151. [Google Scholar] [CrossRef]
- Bandini, S.; Mazzoni, C. Modelling the amphoteric behaviour of polyamide nanofiltration membranes. Desalination 2005, 184, 327–336. [Google Scholar] [CrossRef]
- Religa, P.; Kaźmierczak, B. Desalination of the chromium tannery wastewater by nanofiltration with different diafiltration mode. DWT 2017, 64, 409–413. [Google Scholar] [CrossRef]
- Shaalan, H.F.; Sorour, M.H.; Tewfik, S.R. Simulation and optimization of a membrane system for chromium recovery from tanning waste. Desalination 2001, 141, 315–324. [Google Scholar] [CrossRef]
- Das, C.; Patel, P.; De, S.; Das Gupta, S. Treatment of tanning effluent using nanofiltration followed by reverse osmosis. Sep. Purif. Technol. 2006, 50, 291–299. [Google Scholar] [CrossRef]








| Parameter | Nanofiltration |
|---|---|
| Feed volume, L | 4.0 |
| Final retentate volume, L | 2.0 |
| Final permeate volume, L | 2.0 |
| Initial concentration of chlorides, g∙L−1 | 20 |
| Final concentration of chlorides in the permeate, g∙L−1 | 16.87 |
| Final concentration of chlorides in the retentate, g∙L−1 | 18.30 |
| Degree of salt washing, % | 9 |
| Initial concentration of chromium, g∙L−1 | 2 |
| Final concentration of chromium in the permeate, g∙L−1 | 0.33 |
| Final concentration of chromium in the retentate, g∙L−1 | 3.30 |
| Chromium retention, % | 83 |
| Process time, h | 5.75 |
| Parameter | NF-CVD | ||
|---|---|---|---|
| NF-CVD (1) | NF-CVD (2) | NF-CVD (3) | |
| Feed volume, L | 4.0 | 4.0 | 4.0 |
| Retentate volume after pre-concentration stage, L | 2.7 | 2.7 | 2.7 |
| Final retentate volume, L | 1.6 | 1.4 | 1.2 |
| Final permeate volume, L | 3.7 | 5.3 | 6.3 |
| Solvent volume (deionized water), L | 1.3 | 2.7 | 3.5 |
| Initial concentration of chlorides, g∙L−1 | 20 | ||
| Final concentration of chlorides in the retentate, g∙L−1 | 12.48 | 7.65 | 5.81 |
| Final concentration of chlorides in the permeate, g∙L−1 | 14.46 | 12.76 | 11.42 |
| Degree of salt washing, % | 38 | 62 | 71 |
| Initial concentration of chromium, g∙L−1 | 2 | ||
| Final concentration of chromium in the retentate, g∙L−1 | 3.81 | 4.93 | 5.48 |
| Final concentration of chromium in the permeate, g∙L−1 | 0.10 | 0.14 | 0.14 |
| Chromium retention, % | 95 | 93 | 93 |
| Process time, h | 7.25 | 9.75 | 11 |
Disclaimer/Publisher’s Note: The statements, opinions and data contained in all publications are solely those of the individual author(s) and contributor(s) and not of MDPI and/or the editor(s). MDPI and/or the editor(s) disclaim responsibility for any injury to people or property resulting from any ideas, methods, instructions or products referred to in the content. |
© 2023 by the authors. Licensee MDPI, Basel, Switzerland. This article is an open access article distributed under the terms and conditions of the Creative Commons Attribution (CC BY) license (https://creativecommons.org/licenses/by/4.0/).
Share and Cite
Religa, P.; Kaźmierczak, B. Mechanism of Chromium Separation and Concentration from Tannery Wastewater by Membrane Methods. Membranes 2023, 13, 295. https://doi.org/10.3390/membranes13030295
Religa P, Kaźmierczak B. Mechanism of Chromium Separation and Concentration from Tannery Wastewater by Membrane Methods. Membranes. 2023; 13(3):295. https://doi.org/10.3390/membranes13030295
Chicago/Turabian StyleReliga, Paweł, and Bernadetta Kaźmierczak. 2023. "Mechanism of Chromium Separation and Concentration from Tannery Wastewater by Membrane Methods" Membranes 13, no. 3: 295. https://doi.org/10.3390/membranes13030295
APA StyleReliga, P., & Kaźmierczak, B. (2023). Mechanism of Chromium Separation and Concentration from Tannery Wastewater by Membrane Methods. Membranes, 13(3), 295. https://doi.org/10.3390/membranes13030295
