Abstract
The interaction of natural killer (NK) and trophoblast cells underlies the formation of immune tolerance in the mother–fetus system and the maintenance of the physiological course of pregnancy. In addition, NK cells affect the function of trophoblast cells, interacting with them via the receptor apparatus and through the production of cytokines. Microvesicles (MVs) derived from NK cells are able to change the function of target cells. However, in the overall pattern of interactions between NK cells and trophoblasts, the possibility that both can transmit signals to each other via MVs has not been taken into account. Therefore, the aim of this study was to assess the effect of NK cell-derived MVs on the phenotype, proliferation, and migration of trophoblast cells and their expression of intracellular messengers. We carried out assays for the detection of content transferred from MV to trophoblasts. We found that NK cell-derived MVs did not affect the expression of CD54, CD105, CD126, CD130, CD181, CD119, and CD120a receptors in trophoblast cells or lead to the appearance of CD45 and CD56 receptors in the trophoblast membrane. Further, the MVs reduced the proliferation but increased the migration of trophoblasts with no changes to their viability. Incubation of trophoblast cells in the presence of MVs resulted in the activation of STAT3 via pSTAT3(Ser727) but not via pSTAT3(Tyr705). The treatment of trophoblasts with MVs did not result in the phosphorylation of STAT1 and ERK1/2. The obtained data indicate that NK cell-derived MVs influence the function of trophoblast cells, which is accompanied by the activation of STAT3 signaling.
Keywords:
natural killer cells; trophoblast; microvesicles; proliferation; migration; STAT3; STAT1; ERK1/2 1. Introduction
Cells release into the extracellular space various types of membrane vesicles with membranes of endosomal origin (exosomes) or formed by the plasma membrane of the cell, e.g., microvesicles (MVs) and apoptotic bodies [1,2]. The diameter of MVs ranges 100–1000 nm [3], and they form on the plasma membrane and bud into the extracellular space [4]. At the same time, transmembrane proteins are embedded in the membrane, and the MV lumen can be selectively filled with various biologically active molecules [5,6,7]. In contrast to exosomes, the molecular composition of MVs has been less studied; however, it is known that, depending on the type of source cells, MVs can be enriched with matrix metalloproteinases [8,9,10], glycoproteins [11,12,13], or integrins [11,14]. Currently, it is believed that not only the protein profile but also the surface phenotype of MVs depends on the type of source cells. It has been established that source cells are able to change the quantity of MVs produced, as well as their qualitative composition, in response to external stimulation such as heat shock or hypothermia, hypoxia or oxidative stress, and infectious agents. This supports the involvement of extracellular MVs in intercellular interactions and as a component of the mechanism of intercellular communication for the maintenance of physiological homeostasis in the body [15]. Various types of cells produce MVs, including macrophages and natural killer cells [16,17,18], trophoblast cells [18,19], dendritic cells, megakaryocytes, platelets, endothelial and epithelial cells, nerve cells, tumor cells, and stem cells [1].
In addition, natural killer (NK) cells are effector cells of innate immunity [20,21] that play a regulatory role in relation to the cellular microenvironment in terms of both physiological and pathological processes based on the production of cytokines [22,23]. During pregnancy, decidua stromal cells and trophoblast cells come together as part of the microenvironment of NK cells in the uterus and can regulate the heterogeneity of the decidual NK cell pool [24]. The interaction of natural killer and trophoblast cells underlies the formation of tolerance in the mother–fetus system. However, NK cells prepare the uterine decidua and control trophoblast invasion by producing the invasion-inhibiting cytokines IFNγ, TNFα, and TGFβ as well as the cytokines IL-1β, IL-6, IL-8, IP-10, and LIF, which stimulate invasion [25,26,27]. Further, NK cells express a wide range of activating and inhibitory receptors [28]. Based on the interaction of these receptors with ligands on the surface of the trophoblast (e.g., HLA-G, HLA-C, MICA/B), NK cells react by developing a cytotoxic effect, thereby suppressing the excessive invasion of trophoblasts [29,30,31,32,33].
Trophoblasts also affect NK cells; for example, they express CD95L (FasL), which can initiate NK cell apoptosis [34], and produce indoleamine-2,3-dioxygenase (IDO), which can play an immunosuppressive role [35]. The expression of adhesion receptor CD54 as well as cytokine receptors by trophoblast cells has been shown recently [36,37]. Under NK cell cytokine influence, trophoblast cells might change their phenotype. Trophoblast cells influence the content of phosphorylated forms of STAT5, ERK, and JNK in NK cells [38]. The involvement of intercellular proteins is shown in trophoblast differentiation: STAT 1 and STAT3 are expressed in cytotrophoblasts, while they are absent in syncytiotrophoblasts [39]. Under stimulation by LIF, the activation of ERK1/2 and STAT3 in JEG-3 trophoblast cells is detected, followed by changes in invasion-associated receptors [40]. The ERK1/2 blockade increases STAT3 phosphorylation via Ser727 and Tyr705 in the presence of LIF [41]. Yet, the data on ERK/STAT phosphorylation in trophoblast cells after interaction with NK cells and their MVs is scarce.
Currently, the overall picture of interactions between natural killer cells and trophoblast cells does not include the possibility of their transmitting signals to each other via MVs. Therefore, the aim of this study was to assess the effect of natural killer MVs on trophoblast cells regarding their proliferation, migration, the expression of adhesion and cytokine receptors, and intracellular ERK/STAT phosphorylation.
2. Materials and Methods
Cell lines. We used trophoblast cells of the JEG-3 line (ATCC, Manassas, VA, USA), which reproduce the characteristics of trophoblast cells in the first trimester of pregnancy [42,43]. JEG-3 cells are widely used for experimental assays as a model of trophoblast cells [42,44,45]. Comparing with other trophoblast cell lines (HTR-8/SVneo, JAR, and BeWo), JEG-3 cells represent a homogeneous culture line similar to cytotrophoblast cells in expression of adhesion receptors [44], HLA-G [45,46], production of hCG [47,48], and lack of fusigenic syncytialization capacity [47]. We also used NK-92 cells (ATCC, Manassas, VA, USA), which reproduce the characteristics of activated NK cells [42]. NK-92 cells are similar to decidual NK cells in their expression of the HLA-G binding receptor KIR2DL4 [49] and apoptosis level in the presence of infected trophoblast cells [50]. NK-92 cells are also characterized by a decidual-like phenotype [51], which is shown to become closer to the phenotype of decidual NK cells under trophoblast cells’ influence [52].
Cells were cultured according to ATCC (USA) guidelines. All experiments with cells were carried out in a humid atmosphere at 37 °C with 5% CO2. Cell viability after subculture and after culture in the presence of MVs was assessed using trypan blue and propidium iodide staining [53] and found to be more than 95%. While working with MVs, all solutions, culture media, and fetal calf serum were sterilized by passing through filters with a pore diameter of 0.2 μm (Sigma, St. Louis, MO, USA) [54].
Isolation of MVs. MVs formed by NK-92 cells were isolated using the method of differential centrifugation of the culture medium [55,56,57]. For this, NK-92 cells at a concentration of 4 × 105/mL were incubated for 24 h in 40 mL of fresh culture medium. The culture medium was then separated from the cells by centrifugation (200× g), after which MVs were isolated from the resulting supernatant by successive centrifugation at 500× g (4 °C, 10 min), 9900× g (4 °C, 10 min), and 19,800× g (4 °C, 20 min). As MVs are unstable extracellular structures, we used sequentially frozen and then thawed fetal calf serum (FCS, filtered by the manufacturer through a 0.1-micron membrane, Sigma, St. Louis, MO), which was further inactivated according to the standard protocol that led to the destruction of possibly present contaminant bovine MVs. This method makes it possible to separate MVs of sufficient purity with minimal loss of biomaterial [58,59]. The protein content in the resulting MV sediment was estimated using the Bradford method [60] and a NanoDrop One spectrophotometer (Thermo Scientific, Waltham, MA, USA). The protein concentration in the MV samples was 3.3 ± 0.2 µg/106 cells.
Laser correlation analysis. In order to control the size of isolated MVs, granulometric analysis was performed using a Zetasizer NanoZS laser correlation spectrometer (Malvern Instruments, Malvern, UK). The sizes of MVs obtained from the culture medium of NK-92 cells varied from 215 to 539 nm, and the peak distribution of MVs was at 334 nm, which is in agreement with previously obtained data [58,60]. Additionally, to control the quality of MV isolation, we measured the size of particles in the supernatants obtained after the last MV centrifugation (19,800× g), and they were in the range of 18–175 nm with the distribution peak at 31 nm.
Assessment of fluorescent label transfer from NK-92 cell MVs to JEG-3 cells. For this assessment, we used a previously published method [61]. Briefly, JEG-3 cells were introduced into flasks with an area of 25 cm2 (BD, Franklin Lakes, NJ, USA) at a concentration of 1 × 106 cells in 3 mL of culture medium containing 10% FCS and cultivated for 24 h. For intracellular protein staining, NK-92 cells were treated with a solution of 5(6)-carboxyfluorescein diacetate succinimidyl ether (CFSE) (Sigma, St. Louis, MO, USA) at a concentration of 50 µM according to the manufacturer’s instructions. Part of the NK-92 cell line suspension was left intact. Then, intact and stained NK-92 cells were cultured for 24 h in 75 cm2 flasks in 40 mL of complete culture medium with a cell concentration of 4 × 105 per mL. MVs were isolated as described above. Then, MVs isolated from 24 × 106 NK-92 cells (total MV protein concentration was 80 μg) were added to a flask of JEG-3 cells and incubated for 24 h. The cells were then washed three times with a solution of Versene and resuspended twice in Hank’s solution without Ca2+ and Mg2+ and centrifuged at 200× g for 10 min, and the supernatant was discarded. The incorporation of the fluorescent form of CFSE into JEG-3 cells was assessed using a FACS Canto II cytofluorimeter (BD, USA). The experiments were repeated three times.
Evaluation of the influence of NK-92 cell MVs on the proliferative activity of JEG-3 cells. In order to assess the effect of NK-92 cell MVs on the proliferation of JEG-3 cells, we used a method that involved staining the protein components of the cell cytoplasm with the vital dye crystal violet. The sensitivity of this method is comparable to other methods for assessing proliferation [62], including that of trophoblast cells [63]. The day before the experiment, 4 × 103 JEG-3 cells were added to 0.1 mL of medium (10% FCS) in the wells of a 96-well flat-bottom plate and cultured for 24 h. The medium was then replaced with dilutions of NK-92 cell line MVs at 3 concentrations of total MV protein: 2, 10, and 20 µg/100 µL, prepared using culture medium for JEG-3 cells containing 2% FCS. The cells were then cultured for 72 h. A culture medium containing 2% FCS was used as a control, and a medium containing 10% FCS was the positive control. Then, JEG-3 cells were stained with a 0.2% crystal violet solution containing 5% methanol, of which 100 μL was added to each well, incubated for 10 min, and then washed with distilled water 4 times. The plate was dried, and the dye was extracted with a 50% acetic acid solution. The optical density was assessed using a LabSystems Microplate Reader (Finland) at a wavelength of 540 nm (cutoff 620 nm). The optical densities obtained were converted to cell counts using a titration curve, and the results are shown in cell count. The change in optical density and number of cells in the sample was interpreted as the level of proliferation and compared with the incubation of JEG-3 cells in the culture medium with the addition of 2% FCS without MVs. The experiments were repeated three times. Each MV concentration within each experiment was analyzed in triplicate.
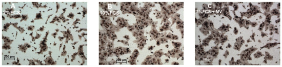
Evaluation of the effect of NK-92 cell MVs on the migration of JEG-3 cells. Migration was assessed in 24-well plates using polycarbonate filter inserts (pore size: 8 µm; BD, USA). JEG-3 cells (1 × 105) in 300 μL of culture medium supplemented with 2% FCS were introduced into the upper chamber of the insert and incubated for 3 h to allow cell attachment. Then, MVs were added, corresponding to a final protein concentration of 20 μg/100 μL, and the mixture was incubated for 24 h. The cells were then fixed on the filter surface of polycarbonate inserts with a 70% ethanol solution, followed by staining with Mayer’s hematoxylin. Cells on top of the polycarbonate filter were removed with a cotton pad. Cells that migrated to the bottom surface of the polycarbonate filter were photographed from the bottom side using an AxioObserver Z1 inverted microscope (Carl Zeiss, Köln, Germany) (Figure 1). Each experiment was repeated three times, and at least eight fields of view were selected in each well. The relative number of nuclei in migrating cells and the area occupied by migrating cells (µm2) were estimated using AxioVision software (Carl Zeiss, Köln, Germany). Migratory activity after incubation in medium with 2% FCS served as the control; cells incubated in medium with 10% FCS served as the positive control (Figure 1).
Figure 1.
Migration of JEG-3 cells in the presence of: (A) DMEM medium supplemented with 2% FCS (spontaneous level); (B) DMEM supplemented with 10% FCS; (C) DMEM supplemented with 2% FCS and MV cells of NK-92 line. Slides were stained with Mayer’s hematoxylin, magnification 100×.
Evaluation of the effect of NK-92 cell MVs on the phenotype of JEG-3 cells. The day before the experiment, JEG-3 cells were introduced into flasks with an area of 25 cm2 at a concentration of 1 × 106 cells in 3 mL of culture medium containing 10% FCS and cultivated for 24 h. NK-92 cells were cultured for 24 h in 75 cm2 flasks in 40 mL of complete culture medium with a cell concentration of 4 × 105 per mL. MVs were isolated as previously described. Then, MVs from 24 × 106 NK-92 cells (total MV protein concentration: 80 μg) were added to the flask of JEG-3 cells, and the mixture was incubated for 24 h. Intact cells of the JEG-3 line were used as controls; however, IL-1β-activated JEG-3 cells were used as the positive control. After incubation, the cells were washed three times with Versene solution, resuspended twice in Hank’s solution without Ca2+ and Mg2+, and centrifuged at 200× g for 10 min. To control cell viability, the JEG-3 cells were stained with 7-AAD dye (BD, USA), and the cell death rate was assessed using the FACS Canto II flow cytometer by 7-AAD inclusion, as described earlier [64,65]. The median value of nonviable JEG-3 cells after culturing with MVs from cells of the NK-92 cell line was 8.1% with an interquartile range of 4.4 to 9.3%. Viability experiments were repeated four times. Then, JEG-3 cells were treated with the Fc-blocking reagent according to the manufacturer’s instructions (Miltenyi Biotec, Gaithersburg, MD, USA). After that, JEG-3 cells were treated with monoclonal antibodies against CD45, CD54, CD56, CD105, CD126, CD130, CD181, CD119 (BD, USA), and CD120a (R&D Systems, Minneapolis, MN, USA), and cells treated with isotype antibodies as controls, in accordance with the manufacturer’s instructions. The choice of antibodies was based on our own data and data from the literature on the change in JEG-3 phenotype in the presence of cytokines [63,66] as well as the phenotyping of NK-92 cells and their microvesicles (Table 1) [60,67]. Fluorescence was analyzed using a FACS Canto II flow cytometer (Becton Dickinson, Franklin Lakes, NJ, USA). The analysis of receptor expression was repeated four times.
Table 1.
The expression of some receptors by natural killers, NK-92 cells and their microvesicles, and JEG-3 cells.
Western blot analysis. The precipitate of NK-92 cell MVs, obtained as described above, as well as intact JEG-3 cells or JEG-3 cells treated with NK-92 cell MVs were washed 3 times with chilled phosphate buffer (0.01 M PBS, pH 7.4) and lysed in RIPA buffer (50 mM Tris-HCl at pH 8.1, 1% Triton X-100, 0.1% sodium dodecyl sulfate (SDS), 0.5% sodium deoxycholate, 1 mM EDTA, 150 mM sodium chloride) containing a cocktail of protease and phosphatase inhibitors (Sigma, St. Louis, MO, USA). Cellular debris was removed by centrifugation at 16,000× g (4 °C, 10 min). The concentration of total protein in the supernatants was assessed by the Bradford method, as earlier described. Samples of cell lysates with equal protein content were separated on a 10% polyacrylamide gel (PAGE) under denaturing conditions according to the method of Laemmli and transferred to a PVDF membrane using the Trans-Blot®® Turbo™ system (Bio-Rad Laboratories, Hercules, CA, USA). PVDF membranes were blocked with 2% BSA (AppliChem GmbH, Darmstadt, Germany) in Tris-buffered saline containing 0.1% Tween-20 (TBST, Bio-Rad, USA) for 1.5 h at room temperature. The membranes were incubated overnight at 4 °C with primary monoclonal antibodies, at the indicated dilutions, against STAT3 (rabbit mAb 1:1000), phospho-STAT3 (S727) (mouse mAb 1:1000), phospho-STAT3 (Y705) (mouse mAb 1:1000), ERK1/2 (p44/42 MAPK (ERK1/2), mouse mAb 1:2000), phospho-ERK1/2 (phospho-p44/42 MAPK, rabbit mAb 1:1000), STAT1 (rabbit mAb, 1:1000), phospho-STAT1 (Ser727) (rabbit mAb 1:1000), phospho-STAT1 (Tyr701) (rabbit mAb 1:1000) (Cell Signaling Technology, Danvers, MA, USA). Glyceraldehyde-3-phosphate dehydrogenase (GAPDH) (1:1000; Cell Signaling Technology, Danvers, MA, USA) was used as a protein loading control for cell lysates. After reaction with the corresponding secondary antibody (1:1000; Cell Signaling Technology, Danvers, MA, USA), the signals were visualized on a ChemiDoc™ Touch Gel Imaging System (Bio-Rad Laboratories, Hercules, CA, USA) using enhanced chemiluminescence (Clarity Western ECL Substrate; Bio-Rad Laboratories, Hercules, CA, USA). The intensity of the bands obtained from immunoblotting was assessed using ImageLab software (Bio-Rad Laboratories, Hercules, CA, USA). Various forms of STAT and ERK1/2 proteins were normalized using GAPDH. The STAT activation was assessed as the ratio of the detected phosphorylated form of STAT (phospho-STAT) to the level of total STAT and expressed in units. ERK1/2 activation was similarly assessed. All experiments were independently repeated three times.
In the statistical analysis, we performed the nonparametric Mann–Whitney U test using Statistica 10 software (www.statsoft.com, accessed on 5 May 2011). The presented data are shown as the median (upper quartile, lower quartile). The data from Western blot analysis and enzyme activity assessment are shown as mean ± standard error of the mean (SEM) and were analyzed using a t-test for independent samples. The normality of the distribution in this case was checked using the Shapiro–Wilk method.
3. Results
3.1. Transfer of a Fluorescent Label from MVs of NK-92 Cells to JEG-3 Trophoblast Cells
When intact JEG-3 cells were cultivated in the presence of MVs obtained from CFSE-stained NK-92 cells (JEG-3 + MV\CFSE), the fluorescence level of JEG-3 cells increased relative to the level of autofluorescence of unstained JEG-3 cells (negative control) and the fluorescence of cells cultured with MVs derived from unstained NK-92 cells (JEG-3 + MV/unstained) (Figure 2).
Figure 2.
Histogram for distribution of JEG-3 cells incubated in the presence of microvesicles (MVs) formed by NK-92 cells, in FITC channel: (red) intact JEG-3 cells (negative control); (blue) JEG-3 cells treated with MVs obtained from intact (unstained) NK cells; (colorless) JEG-3 cells treated with MVs derived from NK cells pretreated with CFSE at a concentration of 50 μM; n = 3.
3.2. Evaluation of the Influence of MVs of NK-92 Cells on the Phenotypic Characteristics of JEG-3 Trophoblast Cells
The analysis of receptor expression on the surface of JEG-3 cells showed the presence of CD54, CD105, CD126, CD130, CD181, CD119, and CD120a receptors (Figure 3) and the absence of CD45 and CD56 molecules. Incubation of trophoblast cells with MVs of the NK-92 cells did not lead to a change in the phenotype of JEG-3 cells within the repertoire of surface receptors we studied.
Figure 3.
Expression of receptors by JEG-3 cells: (A) The relative number of cells expressing receptors (%); (B) The mean fluorescence intensity of receptor expression (MFI) (n = 4). Isotype control (IC): JEG-3 cells treated with isotype antibodies. Intact cells (Intact): JEG-3 cells incubated in medium without MVs added. MV: cells of JEG-3 line incubated in the presence of MVs of NK-92 cells. Significant difference from JEG-3 cells treated with isotype antibodies: * p < 0.05, ** p < 0.01, *** p < 0.001.
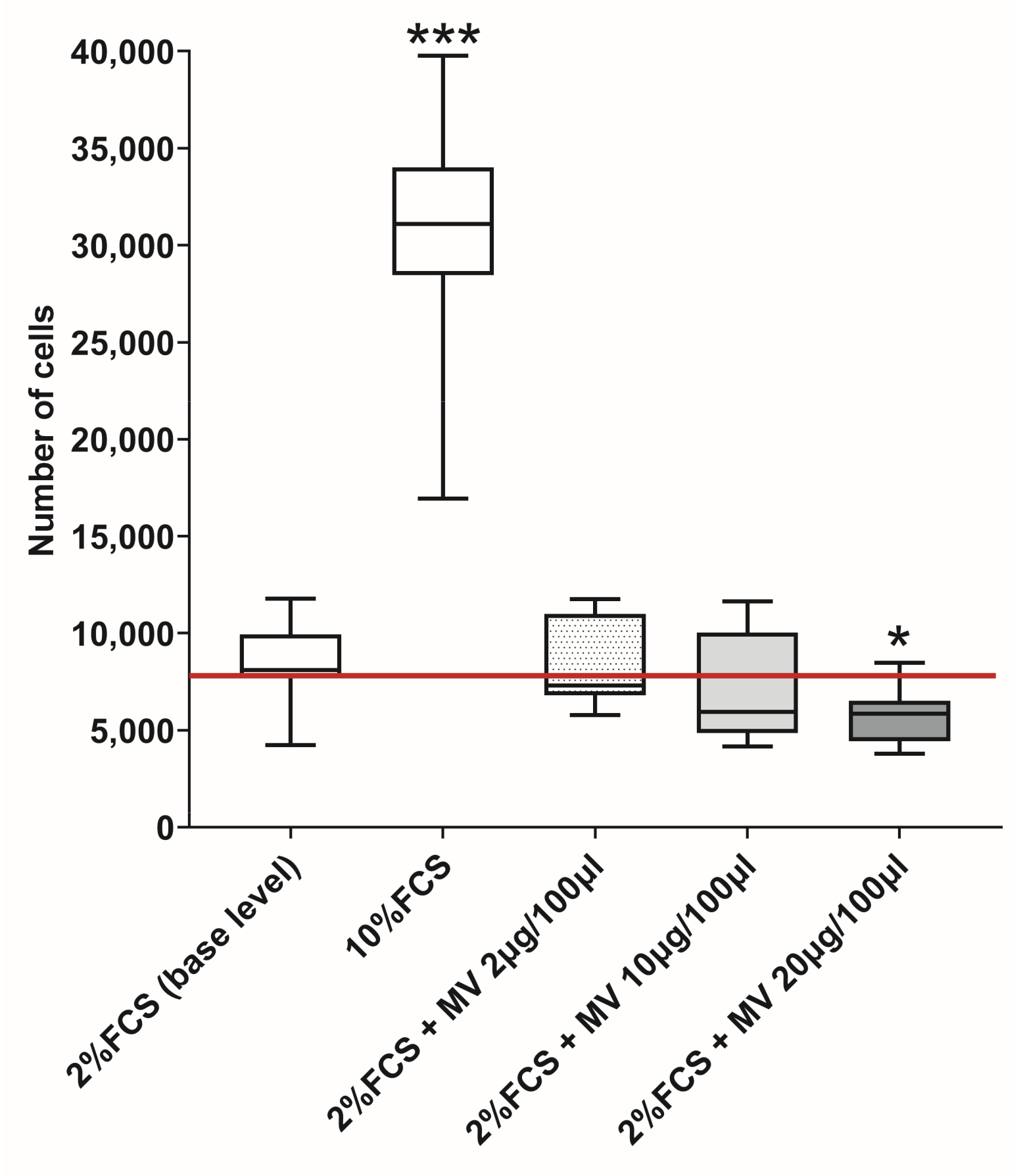
3.3. Evaluation of the Effect of NK-92 Cell MVs on the Proliferation of JEG-3 Cells
The proliferation of JEG-3 cells in the medium containing 2% FCS was taken as the baseline. When JEG-3 cells were cultured in the presence of 10% FCS, the level of proliferation was higher compared with the baseline (Figure 4). When JEG-3 cells were cultivated in the presence of MVs obtained from intact NK-92 cells at a protein concentration of 20 μg, a decrease in the level of trophoblast cell proliferation compared with the baseline was observed (Figure 4).
Figure 4.
JEG-3 cells proliferate in the presence of MVs (n = 3). 2% FCS: baseline number of cells in the presence of medium supplemented with 2% FCS (marked with horizontal red line). 10% FCS: the number of cells in the presence of medium supplemented with 10% FCS. MV 2 μg/100 μL, 10 μg/100 μL, 20 μg/100 μL: the number of cells in the presence of MVs of NK-92 cells at protein concentration per 100 μL of medium with 2% FCS added (2, 10, 20 μg/100 μL, respectively). Significance of differences from baseline: * p < 0.05; *** p < 0.001.
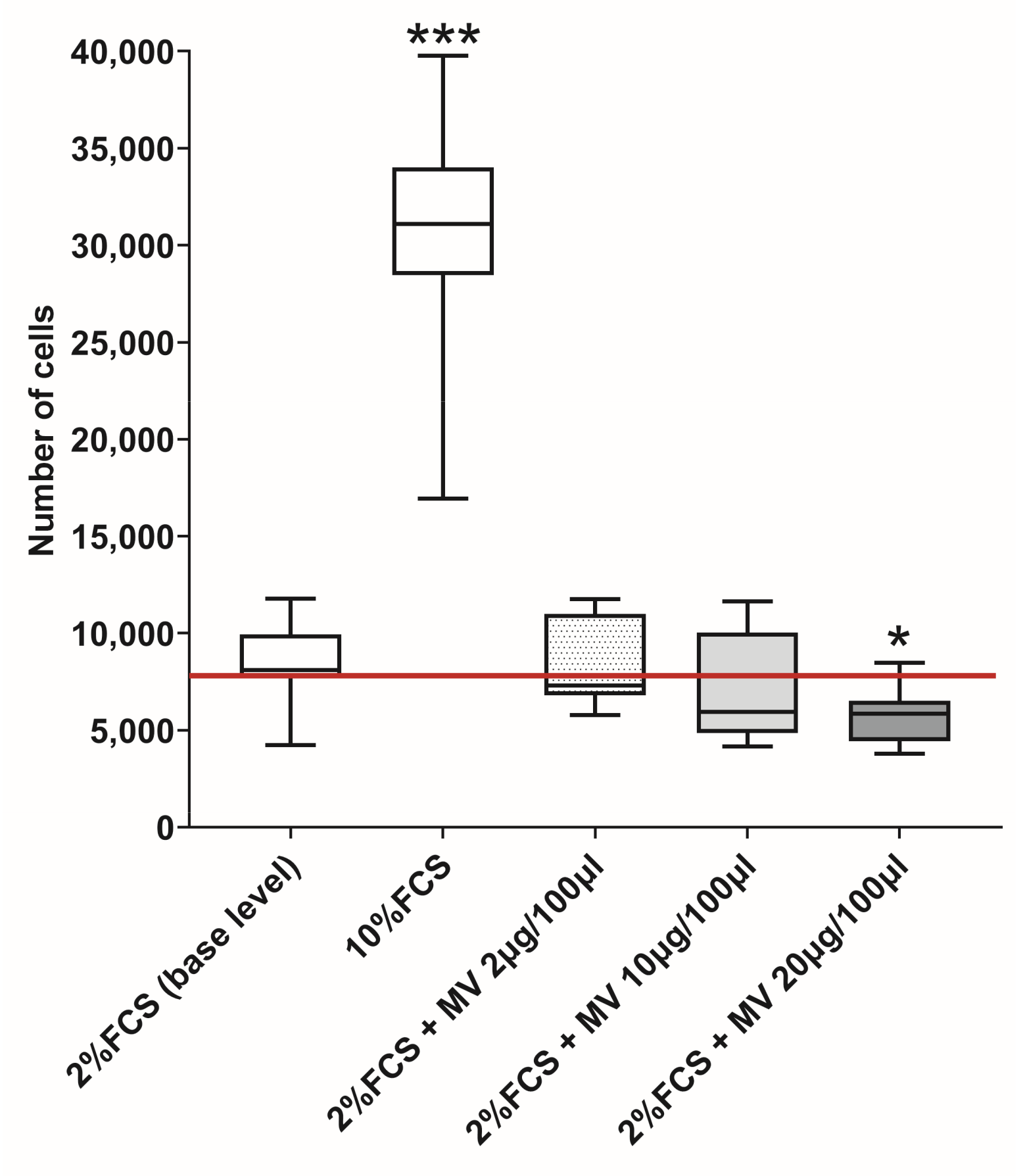
3.4. Evaluation of the Effect of NK-92 Cell MVs on the Migration of JEG-3 Cells
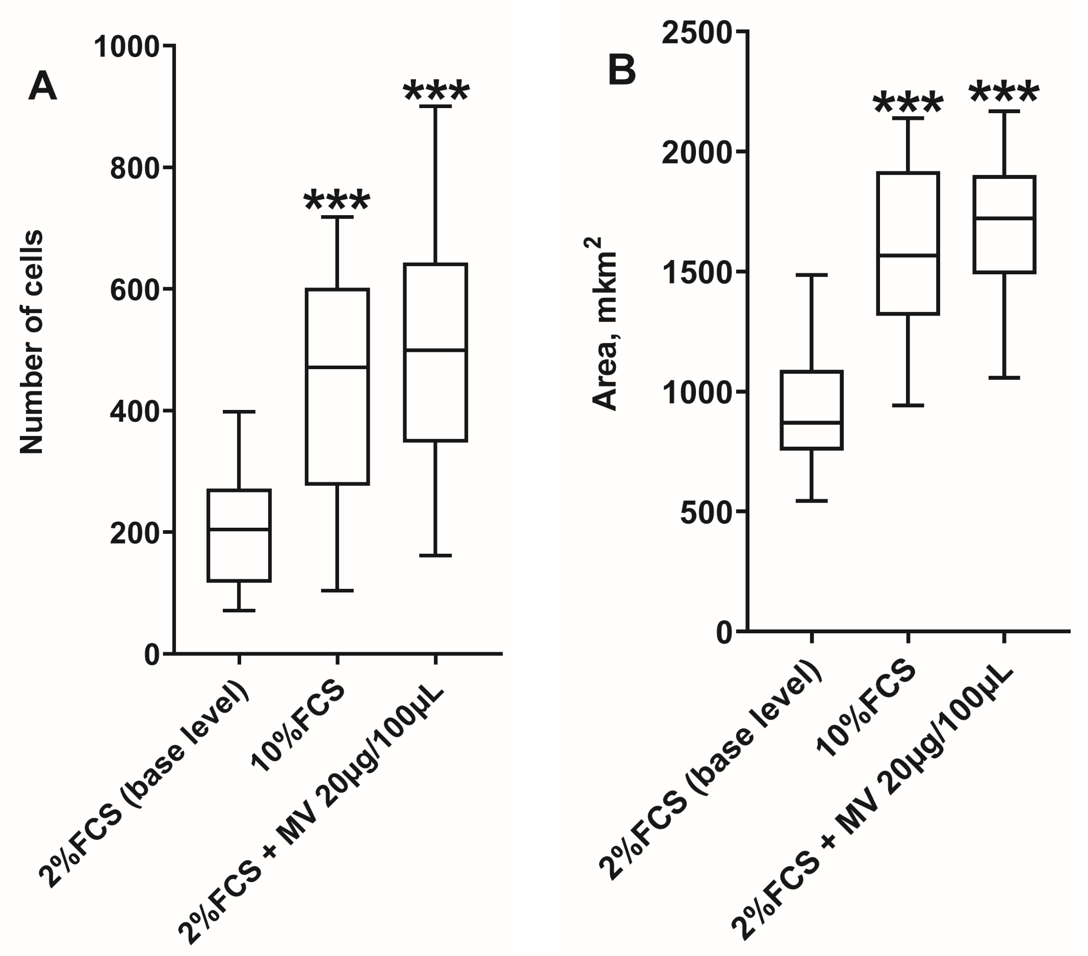
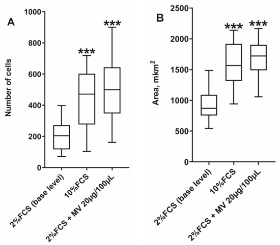
As a result of the cultivation of JEG-3 cells in the presence of MVs derived from NK-92 cells with a total protein content of 20 µg/100 µL, an increase in the migration of JEG-3 cells compared with cultivation without MVs was observed, which is due to an increase in the number of migrating cells and the area occupied by cells (Figure 5). The MV concentration of 20 µg/100 µL was selected because an effect of MVs on the proliferation of JEG-3 cells was only observed at this concentration.
Figure 5.
Migration of JEG-3 cells after cultivation in the presence of NK-92 cell MVs: (A) the number of cells migrated to the bottom surface of the polycarbonate inserts; (B) the area occupied by migrated cells on the bottom surface of the polycarbonate inserts (n = 3). 2% FCS (base level): base level of migration in culture medium with 2% FCS added; 10% FCS: migration in culture medium with 10% FCS added (positive control); 2%FCS+MV: migration in the presence of MVs of NK-92 cells at a concentration of 20 µg/100 µL for protein. Significant difference from baseline: *** p < 0.001.
3.5. Determination of Levels of STAT3 and STAT1 and Their Phosphorylated Forms in Lysates of JEG-3 Cells after Co-Cultivation with MVs of NK-92 Cells
The cultivation of JEG-3 cells for 24 h in the presence of MVs of NK-92 cells led to a decrease in the STAT3 content in JEG-3 cells (Figure 6B), but no change in the pSTAT3 (Tyr705) content. There was also no change in the ratio of STAT3 protein phosphorylated at Tyr705 to the total content of STAT3 in JEG-3 cells under these conditions (Figure 6D). At the same time, the pSTAT3(Ser727)/STAT3 ratio in JEG-3 cells after cultivation in the presence of NK-92 cell MVs was higher compared with intact JEG-3 cells, which indicates the activation of STAT3 by Ser727 (Figure 6C). No changes in STAT1 content or activation were found (Figure 6E–H).
Figure 6.
Effect of NK-92 cell MVs on content of STAT1 and STAT3 proteins and their phosphorylated forms in JEG-3 cell lysates. Immunoblot shows content of (A) STAT3 and (E) STAT1 in intact JEG-3 cells and after their interaction with NK-92 cell MVs. Band density of (B) total STAT3 and (F) STAT1 content in intact JEG-3 cells and after interaction with NK-92 cell MVs, normalized by GAPDH. Ratio of (C,D) phospho-STAT3 (pSTAT3(Ser727), pSTAT3(Tyr(705)) and total STAT3 (n = 3) and (G,H) phospho-STAT1 (pSTAT1(Ser727), pSTAT1(Tyr(701)) and total STAT1 (n = 4) in studied samples. Significant differences between JEG-3 cells treated with NK-92 cell MVs and intact JEG-3 cells: * p < 0.05.
3.6. Determination of ERK1/2 and Phospho-ERK1/2 in Lysates of JEG-3 Cells after Co-Cultivation with MVs of NK-92 Cells
The JEG-3 cells were analyzed for activation of the MAPK signaling pathway. A marker of such activation is a change in the ERK1/2 and pERK1/2 content in cells. Cultivation of JEG-3 cells for 24 h in the presence of NK-92 cell MVs did not lead to a change in the content of ERK1/2 or its phosphorylated form in JEG-3 cells. The ratio of the content of phosphorylated ERK1/2 to the total content of ERK1/2 in JEG-3 cells also did not change under these conditions (Figure 7).
Figure 7.
Effect of NK-92 cell MVs on ERK/2 phosphorylation in lysates of JEG-3 cells. (A) Immunoblot demonstrates content of ERK1/2 in intact JEG-3 cells and after their interaction with NK-92 cell MVs; (B) ratio of phospho-ERK1/2 and total ERK1/2 in the studied samples (n = 3).
4. Discussion
Microvesicles are produced by cells both at rest and in the state of activation, differing in their composition and their effect on target cells [16,18,68,80,81,82,83]. Several types of interactions of vesicles with target cells are described that help vesicles deliver their contents: caveolin- and clathrin-induced endocytosis, macropinocytosis [84], endocytosis of lipid rafts [85], and phagocytosis [86,87,88]. After the vesicles enter the cell, they can be absorbed by the cell’s endosomal–lysosomal system and then fuse with the membranes of the organelles and the cytosolic content of the cell. They are also able to fuse with the membrane of the recipient cell itself [89] to release their contents, directly or via receptors, into the internal environment of the cell. Vesicles can release their contents into the extracellular space and thereby activate neighboring cells. Finally, vesicles can interact with the target cell without internalization but with the help of ligand–receptor mechanisms, triggering signaling cascades in the cell [90,91].
In using CFSE fluorescent dye, we established the fundamental possibility of transferring the contents of MVs from NK-92 cells to JEG-3 trophoblast cells. However, MVs from NK-92 cells did not affect the expression of surface receptors in the JEG-3 cells that we analyzed (Table 1). Previously, in a similar model using endothelial cells as target cells, we showed the possibility of protein transfer from MVs as well as of embedding the MV membrane together with the CD45 receptors on the surface into the cytoplasmic membrane of endothelial cells [61]. In the same work, we found that NK-92 cell MVs change the phenotype of endothelial cells [61]. Microvesicles of NK-92 cells carry various receptors of the source cell on their surface [68], including CD45 and CD56. The CD45 molecule is a panleukocyte marker with relatively high expression density on these cells and their MVs [92]. The absence of CD45 or CD56 receptor expression by trophoblasts after incubation with MVs of NK-92 cells indicates the absence of the phenomenon of MV membrane incorporation into the cytoplasmic membrane of trophoblast cells. Thus, unlike endothelial cells, trophoblast cells are resistant to the transfer of receptors associated with the cytoplasmic membrane. The selection of trophoblast surface molecules for analysis was based on changes in their expression in the presence of inducers (Table 1) [63,93]. The lack of influence of NK-92 cell MVs on the expression of trophoblast receptors CD54, CD105, CD126, CD130, CD181, CD119, and CD120a may be an indication in favor of both the resistance of the trophoblast cell phenotype to such an effect and the stability of the expression of these particular molecules by trophoblasts. Yet, further experiments using different cellular lines would help establish, if the absence of membrane merging of NK cell MVs with trophoblast cells is cell specific.
In the zone of utero-placental contact, NK and trophoblast cells mutually control the functional activity of each other, which underlies the establishment of tolerance of the mother’s immune system to fetal cells. Both trophoblasts and natural killers have a wide arsenal for mutual containment, since trophoblasts are considered foreign elements by the mother’s immune system. On the other hand, the invasion of trophoblasts into the endometrium is accompanied by their influence on cells of the microenvironment, including endometrial, endothelial, and maternal NK cells [94,95,96,97]. Despite this, NK cells actively control the proliferation and migration of trophoblasts under conditions of physiological pregnancy, which in turn restrains the excessive cytotoxicity of NK cells [98,99,100,101]. Despite the lack of data on the effect on the trophoblast phenotype, NK-92 cell MVs reduce the proliferation but increase the migration of JEG-3 cells with no changes to their viability. In association with these data, the very fact of the biological activity of natural killer MVs in relation to trophoblasts, which complements the ligand–receptor and cytokine signals between these cells, is important. It has been established that NK cell MVs potentiate the cytotoxic effect of killers toward K-562 cells [68]. It has also been shown that NK-92 cell MVs reduce the viability of endothelial cells, simultaneously stimulating their proliferation and inhibiting their migration [61]. Thus, the effect of NK-92 cell MVs varies according to the different target cells. The data obtained in this study, as well as the data described in the literature, testify not only to the directed process of MV formation by source cells but also to the diverse effect of such MVs on different types of target cells. Thus, mutual interaction between trophoblast cells and NK cells exists, including not only contact receptor-dependent interactions but also via MVs. Further, Park S. et al. have shown that trophoblast cells of the Sw.71 cell line affect NK-92 cells via soluble factors in conditioned media [38], which could partially be trophoblastic MVs. Syncytiotrophoblast derived extracellular vesicles are shown to have an effect on the monocytic cell line THP-1 cytokine gene profile [102] and miRNA content in primary endothelial cells [103]. The effects of other MVs produced by uteroplacental cells are also of great interest.
The influence of NK-92 cell MVs on the proliferation and migration of trophoblast cells, which we have established, supposedly reflects the expression of transcription factors in these cells. We found that incubating trophoblast cells in the presence of NK-92 cell MVs led to STAT3 activation via pSTAT3(Ser727) but not pSTAT3(Tyr705). It was also found that treating trophoblast cells with MV did not lead to the phosphorylation of STAT1 and ERK1/2. Thus, NK-92 cell MVs contain proteins that promote STAT3 phosphorylation at Ser727, whereas they do not affect (or inhibit) STAT1 and ERK1/2 phosphorylation, which manifests as stimulation of migration and inhibition of proliferation of trophoblast cells. Phosphorylating activators of STAT1, STAT3, and ERK1/2 are listed in Table 2. Of course, the transfer of the already phosphorylated form of pSTAT3(Ser727) into MVs cannot be excluded, which requires additional studies using Western blot analysis. Furthermore, we previously detected various proteins [83,104] capable of activating various transduction pathways in NK-92 cell line MVs by mass spectrometry, but the phosphorylated form of pSTAT3(Ser727) was not detected.
Table 2.
Some molecules included in the composition of NK-92 cell MVs (according to mass spectrometry data [83,104]) and possible signal transduction pathways that involve the phosphorylation of intracellular signaling molecules.
Furthermore, considering the data presented in Table 2, the proteins CCL5 (RANTES), CCL7 (MCP3), CXCL10 (IP-10), CXCL11 (IP-9), FGF10, TGFβ1, GDF10, IFNβ, and IL-7, which are present in NK-92 cell MVs, may be responsible for the activation of STAT3 and stimulating the migration (with parallel inhibition of proliferation) of JEG-3 cells. In this case, the action of such proteins may be associated with the activation of membrane receptors on the trophoblast cell surface.
5. Conclusions
The data obtained indicates that NK cell MVs affect trophoblast cells, in particular, stimulating their migration with simultaneous suppression of proliferation, accompanied by phosphorylation of STAT3(Ser727) but not of pSTAT3(Tyr705), STAT1, or ERK1/2. Additionally, the expression of surface receptors CD54, CD105, CD126, CD130, CD181, CD119, and CD120a in trophoblasts does not change when exposed to NK cell MVs. Further, different effects of NK-92 cell MVs on different cell types (trophoblasts as shown in this work and endothelium as in our previously published work [61]) indicate the presence of specific signals of natural killer MVs for certain target cells or the selective response of targets to such signals.
Author Contributions
Conceptualization, D.S.; methodology, A.G., K.M., Y.M., K.P. and M.Z.; validation, D.S., V.M., A.K., Y.M. and K.M.; formal analysis, A.G., K.P. and M.Z.; investigation, D.S., K.M., Y.M., V.M. and A.G.; resources, D.S. and S.S.; data curation, D.S.; writing—original draft preparation, D.S.; writing—review and editing, S.S.; visualization, V.M.; supervision, D.S.; project administration, S.S. and D.S.; funding acquisition, D.S. and S.S. All authors have read and agreed to the published version of the manuscript.
Funding
This research was funded by RSCF grant № 21-15-00021.
Institutional Review Board Statement
The study was conducted in accordance with the Declaration of Helsinki, and approved by the Institutional Ethics Committee of the Federal State Budgetary Scientific Institution Research Institute of Obstetrics, Gynecology, and Reproductive Biology named after D.O. Ott (Protocol No.118, 9 June 2022).
Data Availability Statement
The data presented in this study are available on request from the corresponding author.
Acknowledgments
The authors are grateful to Semenov V.A. for assistance in maintaining cell cultures and to Zaloznyaya I.V. for help in determining the protein concentration.
Conflicts of Interest
The authors declare no conflict of interest.
References
- Raposo, G.; Stoorvogel, W. Extracellular vesicles: Exosomes, microvesicles, and friends. J. Cell Biol. 2013, 200, 373–383. [Google Scholar] [CrossRef] [PubMed]
- Borges, F.T.; Reis, L.A.; Schor, N. Extracellular vesicles: Structure, function, and potential clinical uses in renal diseases. Braz. J. Med. Biol. Res. Rev. Bras. Pesqui. Med. Biol. Soc. Bras. Biofisica 2013, 46, 824–830. [Google Scholar] [CrossRef] [PubMed]
- Muralidharan-Chari, V.; Clancy, J.; Plou, C.; Romao, M.; Chavrier, P.; Raposo, G.; D’Souza-Schorey, C. ARF6-regulated shedding of tumor cell-derived plasma membrane microvesicles. Curr. Biol. CB 2009, 19, 1875–1885. [Google Scholar] [CrossRef] [PubMed]
- Shifrin, D.A., Jr.; Demory Beckler, M.; Coffey, R.J.; Tyska, M.J. Extracellular vesicles: Communication, coercion, and conditioning. Mol. Biol. Cell 2013, 24, 1253–1259. [Google Scholar] [CrossRef] [PubMed]
- Claßen, L.; Tykocinski, L.-O.; Wiedmann, F.; Birr, C.; Schiller, P.; Tucher, C.; Krienke, S.; Raab, M.-S.; Blank, N.; Lorenz, H.-M.; et al. Extracellular vesicles mediate intercellular communication: Transfer of functionally active microRNAs by microvesicles into phagocytes. Eur. J. Immunol. 2017, 47, 1535–1549. [Google Scholar] [CrossRef]
- D’Souza-Schorey, C.; Clancy, J.W. Tumor-derived microvesicles: Shedding light on novel microenvironment modulators and prospective cancer biomarkers. Genes Dev. 2012, 26, 1287–1299. [Google Scholar] [CrossRef]
- Tricarico, C.; Clancy, J.; D’Souza-Schorey, C. Biology and biogenesis of shed microvesicles. Small GTPases 2017, 8, 220–232. [Google Scholar] [CrossRef]
- Martinez de Lizarrondo, S.; Roncal, C.; Calvayrac, O.; Rodriguez, C.; Varo, N.; Purroy, A.; Lorente, L.; Rodriguez, J.A.; Doeuvre, L.; Hervas-Stubbs, S.; et al. Synergistic effect of thrombin and CD40 ligand on endothelial matrix metalloproteinase-10 expression and microparticle generation in vitro and in vivo. Arterioscler. Thromb. Vasc. Biol. 2012, 32, 1477–1487. [Google Scholar] [CrossRef]
- Li, C.J.; Liu, Y.; Chen, Y.; Yu, D.; Williams, K.J.; Liu, M.L. Novel proteolytic microvesicles released from human macrophages after exposure to tobacco smoke. Am. J. Pathol. 2013, 182, 1552–1562. [Google Scholar] [CrossRef]
- Mochizuki, S.; Okada, Y. ADAMs in cancer cell proliferation and progression. Cancer Sci. 2007, 98, 621–628. [Google Scholar] [CrossRef]
- Mezouar, S.; Darbousset, R.; Dignat-George, F.; Panicot-Dubois, L.; Dubois, C. Inhibition of platelet activation prevents the P-selectin and integrin-dependent accumulation of cancer cell microparticles and reduces tumor growth and metastasis in vivo. Int. J. Cancer 2015, 136, 462–475. [Google Scholar] [CrossRef]
- Falati, S.; Liu, Q.; Gross, P.; Merrill-Skoloff, G.; Chou, J.; Vandendries, E.; Celi, A.; Croce, K.; Furie, B.C.; Furie, B. Accumulation of tissue factor into developing thrombi in vivo is dependent upon microparticle P-selectin glycoprotein ligand 1 and platelet P-selectin. J. Exp. Med. 2003, 197, 1585–1598. [Google Scholar] [CrossRef]
- Del Conde, I.; Shrimpton, C.N.; Thiagarajan, P.; Lopez, J.A. Tissue-factor-bearing microvesicles arise from lipid rafts and fuse with activated platelets to initiate coagulation. Blood 2005, 106, 1604–1611. [Google Scholar] [CrossRef]
- Pluskota, E.; Woody, N.M.; Szpak, D.; Ballantyne, C.M.; Soloviev, D.A.; Simon, D.I.; Plow, E.F. Expression, activation, and function of integrin alphaMbeta2 (Mac-1) on neutrophil-derived microparticles. Blood 2008, 112, 2327–2335. [Google Scholar] [CrossRef]
- Kalra, H.; Drummen, G.P.; Mathivanan, S. Focus on Extracellular Vesicles: Introducing the Next Small Big Thing. Int. J. Mol. Sci. 2016, 17, 170. [Google Scholar] [CrossRef]
- Markova, K.; Mikhailova, V.; Milyutina, Y.; Korenevsky, A.; Sirotskaya, A.; Rodygina, V.; Tyshchuk, E.; Grebenkina, P.; Simbirtsev, A.; Selkov, S.; et al. Effects of Microvesicles Derived from NK Cells Stimulated with IL-1beta on the Phenotype and Functional Activity of Endothelial Cells. Int. J. Mol. Sci. 2021, 22, 13663. [Google Scholar] [CrossRef]
- Noman, M.Z.; Janji, B.; Berchem, G.; Chouaib, S. miR-210 and hypoxic microvesicles: Two critical components of hypoxia involved in the regulation of killer cells function. Cancer Lett. 2016, 380, 257–262. [Google Scholar] [CrossRef]
- Markova, K.L.; Kozyreva, A.R.; Gorshkova, A.A.; Aleksandrova, E.P.; Berezkina, M.E.; Mikhailova, V.A.; Ivanova, A.N.; Kaputkina, S.Y.; Onokhin, K.V.; Benken, K.A.; et al. Methodological Approaches to Assessing the Size and Morphology of Microvesicles of Cell Lines. Bull. Exp. Biol. Med. 2020, 169, 586–595. [Google Scholar] [CrossRef]
- Alam, S.M.K.; Jasti, S.; Kshirsagar, S.K.; Tannetta, D.S.; Dragovic, R.A.; Redman, C.W.; Sargent, I.L.; Hodes, H.C.; Nauser, T.L.; Fortes, T.; et al. Trophoblast Glycoprotein (TPGB/5T4) in Human Placenta: Expression, Regulation, and Presence in Extracellular Microvesicles and Exosomes. Reprod. Sci. 2018, 25, 185–197. [Google Scholar] [CrossRef]
- Del Zotto, G.; Marcenaro, E.; Vacca, P.; Sivori, S.; Pende, D.; Della Chiesa, M.; Moretta, F.; Ingegnere, T.; Mingari, M.C.; Moretta, A.; et al. Markers and function of human NK cells in normal and pathological conditions. Cytom. Part B Clin. Cytom. 2017, 92, 100–114. [Google Scholar] [CrossRef]
- Mandal, A.; Viswanathan, C. Natural killer cells: In health and disease. Hematol. Oncol. Stem Cell Ther. 2015, 8, 47–55. [Google Scholar] [CrossRef] [PubMed]
- Cortez, V.S.; Robinette, M.L.; Colonna, M. Innate lymphoid cells: New insights into function and development. Curr. Opin. Immunol. 2015, 32, 71–77. [Google Scholar] [CrossRef] [PubMed]
- Spits, H.; Artis, D.; Colonna, M.; Diefenbach, A.; Di Santo, J.P.; Eberl, G.; Koyasu, S.; Locksley, R.M.; McKenzie, A.N.; Mebius, R.E.; et al. Innate lymphoid cells—A proposal for uniform nomenclature. Nat. Rev. Immunol. 2013, 13, 145–149. [Google Scholar] [CrossRef] [PubMed]
- Mikhailova, V.A.; Belyakova, K.L.; Selkov, S.A.; Sokolov, D.I. Peculiarities of NK cells differentiation: CD56dim and CD56bright NK cells at pregnancy and in non-pregnant state. Med. Immunol. 2017, 19, 19–26. [Google Scholar] [CrossRef]
- Hirota, Y.; Osuga, Y.; Hasegawa, A.; Kodama, A.; Tajima, T.; Hamasaki, K.; Koga, K.; Yoshino, O.; Hirata, T.; Harada, M.; et al. Interleukin (IL)-1beta stimulates migration and survival of first-trimester villous cytotrophoblast cells through endometrial epithelial cell-derived IL-8. Endocrinology 2009, 150, 350–356. [Google Scholar] [CrossRef]
- Van Mourik, M.S.; Macklon, N.S.; Heijnen, C.J. Embryonic implantation: Cytokines, adhesion molecules, and immune cells in establishing an implantation environment. J. Leukoc. Biol. 2009, 85, 4–19. [Google Scholar] [CrossRef]
- Wallace, A.E.; Fraser, R.; Cartwright, J.E. Extravillous trophoblast and decidual natural killer cells: A remodelling partnership. Hum. Reprod. Update 2012, 18, 458–471. [Google Scholar] [CrossRef]
- Tyshchuk, E.V.; Mikhailova, V.A.; Selkov, S.A.; Sokolov, D.I. Natural killer cells: Origin, phenotype, function. Med. Immunol. 2021, 23, 1207–1228. [Google Scholar] [CrossRef]
- Trowsdale, J.; Moffett, A. NK receptor interactions with MHC class I molecules in pregnancy. Semin. Immunol. 2008, 20, 317–320. [Google Scholar] [CrossRef]
- Rouas-Freiss, N.; Marchal, R.E.; Kirszenbaum, M.; Dausset, J.; Carosella, E.D. The alpha1 domain of HLA-G1 and HLA-G2 inhibits cytotoxicity induced by natural killer cells: Is HLA-G the public ligand for natural killer cell inhibitory receptors? Proc. Natl. Acad. Sci. USA 1997, 94, 5249–5254. [Google Scholar] [CrossRef]
- Rouas-Freiss, N.; Goncalves, R.M.; Menier, C.; Dausset, J.; Carosella, E.D. Direct evidence to support the role of HLA-G in protecting the fetus from maternal uterine natural killer cytolysis. Proc. Natl. Acad. Sci. USA 1997, 94, 11520–11525. [Google Scholar] [CrossRef] [PubMed]
- Lee, N.; Goodlett, D.R.; Ishitani, A.; Marquardt, H.; Geraghty, D.E. HLA-E surface expression depends on binding of TAP-dependent peptides derived from certain HLA class I signal sequences. J. Immunol. 1998, 160, 4951–4960. [Google Scholar] [CrossRef] [PubMed]
- Verma, S.; King, A.; Loke, Y.W. Expression of killer cell inhibitory receptors on human uterine natural killer cells. Eur. J. Immunol. 1997, 27, 979–983. [Google Scholar] [CrossRef] [PubMed]
- Uckan, D.; Steele, A.; Cherry; Wang, B.Y.; Chamizo, W.; Koutsonikolis, A.; Gilbert-Barness, E.; Good, R.A. Trophoblasts express Fas ligand: A proposed mechanism for immune privilege in placenta and maternal invasion. Mol. Hum. Reprod. 1997, 3, 655–662. [Google Scholar] [CrossRef]
- Pietra, G.; Vitale, M.; Moretta, L.; Mingari, M.C. How melanoma cells inactivate NK cells. Oncoimmunology 2012, 1, 974–975. [Google Scholar] [CrossRef]
- Hannan, N.J.; Jones, R.L.; White, C.A.; Salamonsen, L.A. The Chemokines, CX3CL1, CCL14, and CCL4, Promote Human Trophoblast Migration at the Feto-Maternal Interface 1. Biol. Reprod. 2006, 74, 896–904. [Google Scholar] [CrossRef]
- Bazhenov, D.O.; Mikhailova, V.A.; Furaeva, K.L.; Vyaz’mina, L.P.; Sokolov, D.I.; Sel’kov, S.A. The Role of Cytokines in Maintaining the Dynamics of Cell-Cell Interaction between Natural Killer Cells and Trophoblast Cells. Bull. Exp. Biol. Med. 2022, 172, 622–631. [Google Scholar] [CrossRef]
- Park, S.Y.; Yun, S.; Ryu, B.J.; Han, A.R.; Lee, S.K. Trophoblasts regulate natural killer cells via control of interleukin-15 receptor signaling. Am. J. Reprod. Immunol. 2017, 78, e12628. [Google Scholar] [CrossRef]
- Chen, C.; Kang, X.; Li, C.; Guo, F.; Wang, Q.; Zhao, A. Involvement of signal transducers and activators of transcription in trophoblast differentiation. Placenta 2021, 105, 94–103. [Google Scholar] [CrossRef]
- Suman, P.; Gupta, S.K. STAT3 and ERK1/2 cross-talk in leukaemia inhibitory factor mediated trophoblastic JEG-3 cell invasion and expression of mucin 1 and Fos. Am. J. Reprod. Immunol. 2014, 72, 65–74. [Google Scholar] [CrossRef]
- Morales-Prieto, D.M.; Ospina-Prieto, S.; Chaiwangyen, W.; Weber, M.; Holters, S.; Schleussner, E.; Fitzgerald, J.S.; Markert, U.R. Intranuclear crosstalk between extracellular regulated kinase1/2 and signal transducer and activator of transcription 3 regulates JEG-3 choriocarcinoma cell invasion and proliferation. Sci. World J. 2013, 2013, 259845. [Google Scholar] [CrossRef]
- Hannan, N.J.; Paiva, P.; Dimitriadis, E.; Salamonsen, L.A. Models for study of human embryo implantation: Choice of cell lines? Biol. Reprod. 2010, 82, 235–245. [Google Scholar] [CrossRef]
- Kohler, P.O.; Bridson, W.E. Isolation of hormone-producing clonal lines of human choriocarcinoma. J. Clin. Endocrinol. Metab. 1971, 32, 683–687. [Google Scholar] [CrossRef]
- Eikmans, M.; van der Keur, C.; Anholts, J.D.H.; Drabbels, J.J.M.; van Beelen, E.; de Sousa Lopes, S.M.C.; van der Hoorn, M.L. Primary Trophoblast Cultures: Characterization of HLA Profiles and Immune Cell Interactions. Front. Immunol. 2022, 13, 814019. [Google Scholar] [CrossRef]
- Melsted, W.N.; Matzen, S.H.; Andersen, M.H.; Hviid, T.V.F. The choriocarcinoma cell line JEG-3 upregulates regulatory T cell phenotypes and modulates pro-inflammatory cytokines through HLA-G. Cell. Immunol. 2018, 324, 14–23. [Google Scholar] [CrossRef]
- Persson, G.; Bork, J.B.S.; Isgaard, C.; Larsen, T.G.; Bordoy, A.M.; Bengtsson, M.S.; Hviid, T.V.F. Cytokine stimulation of the choriocarcinoma cell line JEG-3 leads to alterations in the HLA-G expression profile. Cell. Immunol. 2020, 352, 104110. [Google Scholar] [CrossRef]
- Al-Nasiry, S.; Spitz, B.; Hanssens, M.; Luyten, C.; Pijnenborg, R. Differential effects of inducers of syncytialization and apoptosis on BeWo and JEG-3 choriocarcinoma cells. Hum. Reprod. 2006, 21, 193–201. [Google Scholar] [CrossRef]
- Poloski, E.; Oettel, A.; Ehrentraut, S.; Luley, L.; Costa, S.D.; Zenclussen, A.C.; Schumacher, A. JEG-3 Trophoblast Cells Producing Human Chorionic Gonadotropin Promote Conversion of Human CD4+FOXP3- T Cells into CD4+FOXP3+ Regulatory T Cells and Foster T Cell Suppressive Activity. Biol. Reprod. 2016, 94, 106. [Google Scholar] [CrossRef]
- Rajagopalan, S.; Long, E.O. A human histocompatibility leukocyte antigen (HLA)-G-specific receptor expressed on all natural killer cells. J. Exp. Med. 1999, 189, 1093–1100. [Google Scholar] [CrossRef]
- Han, M.; Jiang, Y.; Lao, K.; Xu, X.; Zhan, S.; Wang, Y.; Hu, X. sHLA-G involved in the apoptosis of decidual natural killer cells following Toxoplasma gondii infection. Inflammation 2014, 37, 1718–1727. [Google Scholar] [CrossRef]
- Braunschweig, A.; Poehlmann, T.G.; Busch, S.; Schleussner, E.; Markert, U.R. Signal transducer and activator of transcription 3 (STAT3) and Suppressor of Cytokine Signaling (SOCS3) balance controls cytotoxicity and IL-10 expression in decidual-like natural killer cell line NK-92. Am. J. Reprod. Immunol. 2011, 66, 329–335. [Google Scholar] [CrossRef] [PubMed]
- Mikhailova, V.; Khokhlova, E.; Grebenkina, P.; Salloum, Z.; Nikolaenkov, I.; Markova, K.; Davidova, A.; Selkov, S.; Sokolov, D. NK-92 cells change their phenotype and function when cocultured with IL-15, IL-18 and trophoblast cells. Immunobiology 2021, 226, 152125. [Google Scholar] [CrossRef] [PubMed]
- Crowley, L.C.; Scott, A.P.; Marfell, B.J.; Boughaba, J.A.; Chojnowski, G.; Waterhouse, N.J. Measuring Cell Death by Propidium Iodide Uptake and Flow Cytometry. Cold Spring Harb. Protoc. 2016, 2016, pdb-prot087163. [Google Scholar] [CrossRef] [PubMed]
- Van der Pol, E.; Coumans, F.A.; Grootemaat, A.E.; Gardiner, C.; Sargent, I.L.; Harrison, P.; Sturk, A.; van Leeuwen, T.G.; Nieuwland, R. Particle size distribution of exosomes and microvesicles determined by transmission electron microscopy, flow cytometry, nanoparticle tracking analysis, and resistive pulse sensing. J. Thromb. Haemost. JTH 2014, 12, 1182–1192. [Google Scholar] [CrossRef]
- Simak, J.; Gelderman, M.P.; Yu, H.; Wright, V.; Baird, A.E. Circulating endothelial microparticles in acute ischemic stroke: A link to severity, lesion volume and outcome. J. Thromb. Haemost. JTH 2006, 4, 1296–1302. [Google Scholar] [CrossRef]
- Sokolov, D.I.; Ovchinnikova, O.M.; Korenkov, D.A.; Viknyanschuk, A.N.; Benken, K.A.; Onokhin, K.V.; Selkov, S.A. Influence of peripheral blood microparticles of pregnant women with preeclampsia on the phenotype of monocytes. Transl. Res. J. Lab. Clin. Med. 2016, 170, 112–123. [Google Scholar] [CrossRef]
- Gelderman, M.P.; Simak, J. Flow cytometric analysis of cell membrane microparticles. Methods Mol. Biol. 2008, 484, 79–93. [Google Scholar] [CrossRef]
- Dragovic, R.A.; Collett, G.P.; Hole, P.; Ferguson, D.J.; Redman, C.W.; Sargent, I.L.; Tannetta, D.S. Isolation of syncytiotrophoblast microvesicles and exosomes and their characterisation by multicolour flow cytometry and fluorescence Nanoparticle Tracking Analysis. Methods 2015, 87, 64–74. [Google Scholar] [CrossRef]
- Kowal, J.; Arras, G.; Colombo, M.; Jouve, M.; Morath, J.P.; Primdal-Bengtson, B.; Dingli, F.; Loew, D.; Tkach, M.; Thery, C. Proteomic comparison defines novel markers to characterize heterogeneous populations of extracellular vesicle subtypes. Proc. Natl. Acad. Sci. USA 2016, 113, E968–E977. [Google Scholar] [CrossRef]
- Bradford, M.M. A rapid and sensitive method for the quantitation of microgram quantities of protein utilizing the principle of protein-dye binding. Anal. Biochem. 1976, 72, 248–254. [Google Scholar] [CrossRef]
- Markova, K.L.; Mikhailova, V.A.; Korenevsky, A.V.; Milyutina, Y.P.; Rodygina, V.V.; Aleksandrova, E.P.; Markov, A.S.; Balabas, O.A.; Selkov, S.A.; Sokolov, D.I. Microvesicles produced by natural killer cells of the NK-92 cell line affect the phenotype and functions of endothelial cells of the EA.Hy926 cell line. Med. Immunol. 2020, 22, 249–268. [Google Scholar] [CrossRef]
- Amchislavskii, E.I.; Sokolov, D.I.; Sel’kov, S.A.; Freidlin, I.S. Proliferative activity of human endothelial cell line EA.hy926 and its modulation. Tsitologiia 2005, 47, 393–403. [Google Scholar]
- Sokolov, D.I.; Furaeva, K.N.; Stepanova, O.I.; Ovchinnikova, O.M.; Viazmina, L.P.; Kozonov, G.R.; Kuzminykh, T.U.; Selkov, S.A. Changes in Functional Activity of JEG-3 Trophoblast Cell Line in the Presence of Factors Secreted by Placenta. Arch. Med. Res. 2015, 46, 245–256. [Google Scholar] [CrossRef]
- Waters, W.R.; Harkins, K.R.; Wannemuehler, M.J. Five-color flow cytometric analysis of swine lymphocytes for detection of proliferation, apoptosis, viability, and phenotype. Cytometry 2002, 48, 146–152. [Google Scholar] [CrossRef]
- Philpott, N.J.; Scopes, J.; Marsh, J.C.; Gordon-Smith, E.C.; Gibson, F.M. Increased apoptosis in aplastic anemia bone marrow progenitor cells: Possible pathophysiologic significance. Exp. Hematol. 1995, 23, 1642–1648. [Google Scholar]
- Bazhenov, D.O.; Khokhlova, E.V.; Viazmina, L.P.; Furaeva, K.N.; Mikhailova, V.A.; Kostin, N.A.; Selkov, S.A.; Sokolov, D.I. Characteristics of Natural Killer Cell Interaction with Trophoblast Cells During Pregnancy. Curr. Mol. Med. 2020, 20, 202–219. [Google Scholar] [CrossRef]
- Tomalka, A.G.; Resto-Garay, I.; Campbell, K.S.; Popkin, D.L. In vitro Evidence That Combination Therapy with CD16-Bearing NK-92 Cells and FDA-Approved Alefacept Can Selectively Target the Latent HIV Reservoir in CD4+ CD2hi Memory T Cells. Front. Immunol. 2018, 9, 2552. [Google Scholar] [CrossRef]
- Sokolov, D.I.; Markova, K.L.; Mikhailova, V.A.; Vyazmina, L.P.; Milyutina, Y.P.; Kozyreva, A.R.; Zhdanova, A.A.; Malygina, D.A.; Onokhin, K.V.; Ivanova, A.N.; et al. Phenotypic and Functional Characteristics of Microvesicles Produced by Natural Killer Cells. Med. Immunol. 2019, 21, 669–688. [Google Scholar] [CrossRef]
- Gallardo-Vera, F.; Diaz, D.; Tapia-Rodriguez, M.; Fortoul van der Goes, T.; Masso, F.; Rendon-Huerta, E.; Montano, L.F. Vanadium pentoxide prevents NK-92MI cell proliferation and IFNgamma secretion through sustained JAK3 phosphorylation. J. Immunotoxicol. 2016, 13, 27–37. [Google Scholar] [CrossRef]
- Taouk, G.; Hussein, O.; Zekak, M.; Abouelghar, A.; Al-Sarraj, Y.; Abdelalim, E.M.; Karam, M. CD56 expression in breast cancer induces sensitivity to natural killer-mediated cytotoxicity by enhancing the formation of cytotoxic immunological synapse. Sci. Rep. 2019, 9, 8756. [Google Scholar] [CrossRef]
- Bosch, N.C.; Voll, R.E.; Voskens, C.J.; Gross, S.; Seliger, B.; Schuler, G.; Schaft, N.; Dorrie, J. NF-kappaB activation triggers NK-cell stimulation by monocyte-derived dendritic cells. Ther. Adv. Med. Oncol. 2019, 11, 1758835919891622. [Google Scholar] [CrossRef] [PubMed]
- Komatsu, F.; Yoshida, S. Characteristics of human T-lymphotropic virus type-1 (HTLV-1)-infected cell line MT-2, which is not killed by a natural killer cell line NK-92 but is killed by lymphokine-activated killer cells. Oncol. Res. 1999, 11, 213–218. [Google Scholar] [PubMed]
- Meurer, S.K.; Weiskirchen, R. Endoglin: An ‘Accessory’ Receptor Regulating Blood Cell Development and Inflammation. Int. J. Mol. Sci. 2020, 21, 9247. [Google Scholar] [CrossRef] [PubMed]
- Szaraz, P.; Librach, M.; Mander, P.; Hoseini, B.; Librach, M.; Iqbal, F.; Librach, C. A solution to prevent secondary flow in adherent cell cultures. Biol. Open 2019, 8, bio045294. [Google Scholar] [CrossRef] [PubMed]
- Theurich, S.; Tsaousidou, E.; Hanssen, R.; Lempradl, A.M.; Mauer, J.; Timper, K.; Schilbach, K.; Folz-Donahue, K.; Heilinger, C.; Sexl, V.; et al. IL-6/Stat3-Dependent Induction of a Distinct, Obesity-Associated NK Cell Subpopulation Deteriorates Energy and Glucose Homeostasis. Cell Metab. 2017, 26, 171–184 e176. [Google Scholar] [CrossRef] [PubMed]
- Dubinsky, V.; Poehlmann, T.G.; Suman, P.; Gentile, T.; Markert, U.R.; Gutierrez, G. Role of regulatory and angiogenic cytokines in invasion of trophoblastic cells. Am. J. Reprod. Immunol. 2010, 63, 193–199. [Google Scholar] [CrossRef]
- Ziblat, A.; Domaica, C.I.; Spallanzani, R.G.; Iraolagoitia, X.L.; Rossi, L.E.; Avila, D.E.; Torres, N.I.; Fuertes, M.B.; Zwirner, N.W. IL-27 stimulates human NK-cell effector functions and primes NK cells for IL-18 responsiveness. Eur. J. Immunol. 2015, 45, 192–202. [Google Scholar] [CrossRef]
- Rama, L.; Teixeira, A.M.; Matos, A.; Borges, G.; Henriques, A.; Gleeson, M.; Pedreiro, S.; Filaire, E.; Alves, F.; Paiva, A. Changes in natural killer cell subpopulations over a winter training season in elite swimmers. Eur. J. Appl. Physiol. 2013, 113, 859–868. [Google Scholar] [CrossRef]
- Mason, A.T.; McVicar, D.W.; Smith, C.A.; Young, H.A.; Ware, C.F.; Ortaldo, J.R. Regulation of NK cells through the 80-kDa TNFR (CD120b). J. Leukoc. Biol. 1995, 58, 249–255. [Google Scholar] [CrossRef]
- Ratajczak, M.Z.; Ratajczak, J. Extracellular microvesicles/exosomes: Discovery, disbelief, acceptance, and the future? Leukemia 2020, 34, 3126–3135. [Google Scholar] [CrossRef]
- Sokolov, D.I.; Kozyreva, A.R.; Markova, K.L.; Mikhailova, V.A.; Korenevskii, A.V.; Miliutina, Y.P.; Balabas, O.A.; Chepanov, S.V.; Selkov, S.A. Microvesicles produced by monocytes affect the phenotype and functions of endothelial cells. AIMS Allergy Immunol. 2021, 5, 135–159. [Google Scholar] [CrossRef]
- Markova, K.L.; Kozyreva, A.R.; Sokolov, D.I.; Selkov, S.A. Microvesicles Produced by Natural Killer Cells Regulate the Formation of Blood Vessels. Bull. Exp. Biol. Med. 2020, 170, 123–127. [Google Scholar] [CrossRef]
- Korenevsky, A.V.; Shcherbitskaia, A.D.; Berezkina, M.E.; Markova, K.L.; Alexandrova, E.P.; Balabas, O.A.; Selkov, S.A.; Sokolov, D.I. MALDI-TOF mass spectrometric protein profiling of microvesicles produced by the NK-92 natural killer cell line. Med. Immunol. 2020, 22, 633–646. [Google Scholar] [CrossRef]
- Costa Verdera, H.; Gitz-Francois, J.J.; Schiffelers, R.M.; Vader, P. Cellular uptake of extracellular vesicles is mediated by clathrin-independent endocytosis and macropinocytosis. J. Control. Release Off. J. Control. Release Soc. 2017, 266, 100–108. [Google Scholar] [CrossRef]
- Svensson, K.J.; Christianson, H.C.; Wittrup, A.; Bourseau-Guilmain, E.; Lindqvist, E.; Svensson, L.M.; Morgelin, M.; Belting, M. Exosome uptake depends on ERK1/2-heat shock protein 27 signaling and lipid Raft-mediated endocytosis negatively regulated by caveolin-1. J. Biol. Chem. 2013, 288, 17713–17724. [Google Scholar] [CrossRef]
- Mulcahy, L.A.; Pink, R.C.; Carter, D.R. Routes and mechanisms of extracellular vesicle uptake. J. Extracell. Vesicles 2014, 3, 24641. [Google Scholar] [CrossRef]
- Cocucci, E.; Racchetti, G.; Meldolesi, J. Shedding microvesicles: Artefacts no more. Trends Cell Biol. 2009, 19, 43–51. [Google Scholar] [CrossRef]
- Todorova, D.; Simoncini, S.; Lacroix, R.; Sabatier, F.; Dignat-George, F. Extracellular Vesicles in Angiogenesis. Circ. Res. 2017, 120, 1658–1673. [Google Scholar] [CrossRef]
- McKelvey, K.J.; Powell, K.L.; Ashton, A.W.; Morris, J.M.; McCracken, S.A. Exosomes: Mechanisms of Uptake. J. Circ. Biomark. 2015, 4, 7. [Google Scholar] [CrossRef]
- Cocucci, E.; Meldolesi, J. Ectosomes and exosomes: Shedding the confusion between extracellular vesicles. Trends Cell Biol. 2015, 25, 364–372. [Google Scholar] [CrossRef]
- Sedgwick, A.E.; D’Souza-Schorey, C. The Biology of Extracellular Microvesicles. Traffic 2018, 19, 319–327. [Google Scholar] [CrossRef] [PubMed]
- Rheinlander, A.; Schraven, B.; Bommhardt, U. CD45 in human physiology and clinical medicine. Immunol. Lett. 2018, 196, 22–32. [Google Scholar] [CrossRef] [PubMed]
- Bazhenov, D.O.; Furaeva, K.N.; Stepanova, O.I.; Viazmina, L.P.; Sheveleva, A.R.; Khokhlova, E.V.; Mikhailova, V.A.; Selkov, S.A.; Sokolov, D.I. Receptor expression by JEG-3 trophoblast cells in the presence of placenta secreted factors. Gynecol. Endocrinol. Off. J. Int. Soc. Gynecol. Endocrinol. 2019, 35, 35–40. [Google Scholar] [CrossRef] [PubMed]
- Li, X.; Kodithuwakku, S.P.; Chan, R.W.S.; Yeung, W.S.B.; Yao, Y.; Ng, E.H.Y.; Chiu, P.C.N.; Lee, C.L. Three-dimensional culture models of human endometrium for studying trophoblast-endometrium interaction during implantation. Reprod. Biol. Endocrinol. RBE 2022, 20, 120. [Google Scholar] [CrossRef] [PubMed]
- Sato, Y. Endovascular trophoblast and spiral artery remodeling. Mol. Cell. Endocrinol. 2020, 503, 110699. [Google Scholar] [CrossRef]
- Chakraborty, D.; Rumi, M.A.; Soares, M.J. NK cells, hypoxia and trophoblast cell differentiation. Cell Cycle 2012, 11, 2427–2430. [Google Scholar] [CrossRef]
- Mikhailova, V.; Grebenkina, P.; Khokhlova, E.; Davydova, A.; Salloum, Z.; Tyshchuk, E.; Zagainova, V.; Markova, K.; Kogan, I.; Selkov, S.; et al. Pro- and Anti-Inflammatory Cytokines in the Context of NK Cell-Trophoblast Interactions. Int. J. Mol. Sci. 2022, 23, 2387. [Google Scholar] [CrossRef]
- Milyutina, Y.P.; Mikhailova, V.A.; Pyatygina, K.M.; Demidova, E.S.; Malygina, D.A.; Tertychnaia, T.E.; Arutjunyan, A.V.; Sokolov, D.I.; Selkov, S.A. Role of Caspases in the Cytotoxicity of NK-92 Cells in Various Models of Coculturing with Trophoblasts. Biochem. Biokhimiia 2019, 84, 1186–1196. [Google Scholar] [CrossRef]
- Belyakova, K.L.; Stepanova, O.I.; Sheveleva, A.R.; Mikhailova, V.A.; Sokolov, D.I.; Sel’kov, S.A. Interaction of NK Cells, Trophoblast, and Endothelial Cells during Angiogenesis. Bull. Exp. Biol. Med. 2019, 167, 169–176. [Google Scholar] [CrossRef]
- Ma, L.; Li, G.; Cao, G.; Zhu, Y.; Du, M.R.; Zhao, Y.; Wang, H.; Liu, Y.; Yang, Y.; Li, Y.X.; et al. dNK cells facilitate the interaction between trophoblastic and endothelial cells via VEGF-C and HGF. Immunol. Cell Biol. 2017, 95, 695–704. [Google Scholar] [CrossRef]
- King, A.; Hiby, S.E.; Gardner, L.; Joseph, S.; Bowen, J.M.; Verma, S.; Burrows, T.D.; Loke, Y.W. Recognition of trophoblast HLA class I molecules by decidual NK cell receptors—A review. Placenta 2000, 21 (Suppl. A), S81–S85. [Google Scholar] [CrossRef]
- Awoyemi, T.; Motta-Mejia, C.; Zhang, W.; Kouser, L.; White, K.; Kandzija, N.; Alhamlan, F.S.; Cribbs, A.P.; Tannetta, D.; Mazey, E.; et al. Syncytiotrophoblast Extracellular Vesicles from Late-Onset Preeclampsia Placentae Suppress Pro-Inflammatory Immune Response in THP-1 Macrophages. Front. Immunol. 2021, 12, 676056. [Google Scholar] [CrossRef]
- Cronqvist, T.; Tannetta, D.; Morgelin, M.; Belting, M.; Sargent, I.; Familari, M.; Hansson, S.R. Syncytiotrophoblast derived extracellular vesicles transfer functional placental miRNAs to primary human endothelial cells. Sci. Rep. 2017, 7, 4558. [Google Scholar] [CrossRef]
- Korenevskii, A.V.; Milyutina, Y.P.; Zhdanova, A.A.; Pyatygina, K.M.; Sokolov, D.I.; Sel’kov, S.A. Mass-Spectrometric Analysis of Proteome of Microvesicles Produced by NK-92 Natural Killer Cells. Bull. Exp. Biol. Med. 2018, 165, 564–571. [Google Scholar] [CrossRef]
- An, X.; Yao, X.; Li, B.; Yang, W.; Cui, R.; Zhao, G.; Jin, Y. Role of BDNF-mTORC1 Signaling Pathway in Female Depression. Neural Plast. 2021, 2021, 6619515. [Google Scholar] [CrossRef]
- Pradhan, J.; Noakes, P.G.; Bellingham, M.C. The Role of Altered BDNF/TrkB Signaling in Amyotrophic Lateral Sclerosis. Front. Cell Neurosci. 2019, 13, 368. [Google Scholar] [CrossRef]
- Marchese, M.J.; Li, S.; Liu, B.; Zhang, J.J.; Feng, L. Perfluoroalkyl Substance Exposure and the BDNF Pathway in the Placental Trophoblast. Front. Endocrinol. 2021, 12, 694885. [Google Scholar] [CrossRef]
- Huang, R.; Guo, L.; Gao, M.; Li, J.; Xiang, S. Research Trends and Regulation of CCL5 in Prostate Cancer. OncoTargets Ther. 2021, 14, 1417–1427. [Google Scholar] [CrossRef]
- Lee, M.M.; Wong, Y.H. CCR1-mediated activation of Nuclear Factor-kappaB in THP-1 monocytic cells involves Pertussis Toxin-insensitive Galpha(14) and Galpha(16) signaling cascades. J. Leukoc. Biol. 2009, 86, 1319–1329. [Google Scholar] [CrossRef]
- Ergen, A.V.; Boles, N.C.; Goodell, M.A. Rantes/Ccl5 influences hematopoietic stem cell subtypes and causes myeloid skewing. Blood 2012, 119, 2500–2509. [Google Scholar] [CrossRef]
- Lee, M.M.; Chui, R.K.; Tam, I.Y.; Lau, A.H.; Wong, Y.H. CCR1-mediated STAT3 tyrosine phosphorylation and CXCL8 expression in THP-1 macrophage-like cells involve pertussis toxin-insensitive Galpha(14/16) signaling and IL-6 release. J. Immunol. 2012, 189, 5266–5276. [Google Scholar] [CrossRef] [PubMed]
- Thirkill, T.L.; Lowe, K.; Vedagiri, H.; Blankenship, T.N.; Barakat, A.I.; Douglas, G.C. Macaque trophoblast migration is regulated by RANTES. Exp. Cell Res. 2005, 305, 355–364. [Google Scholar] [CrossRef] [PubMed]
- Sharma, S.; Godbole, G.; Modi, D. Decidual Control of Trophoblast Invasion. Am. J. Reprod. Immunol. 2016, 75, 341–350. [Google Scholar] [CrossRef] [PubMed]
- Lee, Y.S.; Kim, S.Y.; Song, S.J.; Hong, H.K.; Lee, Y.; Oh, B.Y.; Lee, W.Y.; Cho, Y.B. Crosstalk between CCL7 and CCR3 promotes metastasis of colon cancer cells via ERK-JNK signaling pathways. Oncotarget 2016, 7, 36842–36853. [Google Scholar] [CrossRef]
- Nesterova, A.P.; Klimov, E.A.; Zharkova, M.; Sozin, S.; Sobolev, V.; Ivanikova, N.V.; Shkrob, M.; Yuryev, A. Diseases of the respiratory system. In Disease Pathways; Elsevier: Amsterdam, The Netherlands, 2020; pp. 391–442. [Google Scholar]
- Lin, R.; Choi, Y.H.; Zidar, D.A.; Walker, J.K.L. beta-Arrestin-2-Dependent Signaling Promotes CCR4-mediated Chemotaxis of Murine T-Helper Type 2 Cells. Am. J. Respir. Cell Mol. Biol. 2018, 58, 745–755. [Google Scholar] [CrossRef]
- Zeng, Z.; Lan, T.; Wei, Y.; Wei, X. CCL5/CCR5 axis in human diseases and related treatments. Genes Dis. 2022, 9, 12–27. [Google Scholar] [CrossRef]
- Sakumoto, R.; Hayashi, K.G.; Fujii, S.; Kanahara, H.; Hosoe, M.; Furusawa, T.; Kizaki, K. Possible Roles of CC- and CXC-Chemokines in Regulating Bovine Endometrial Function during Early Pregnancy. Int. J. Mol. Sci. 2017, 18, 742. [Google Scholar] [CrossRef]
- Wang, J.; Saung, M.T.; Li, K.; Fu, J.; Fujiwara, K.; Niu, N.; Muth, S.; Wang, J.; Xu, Y.; Rozich, N.; et al. CCR2/CCR5 inhibitor permits the radiation-induced effector T cell infiltration in pancreatic adenocarcinoma. J. Exp. Med. 2022, 219, e20211631. [Google Scholar] [CrossRef]
- Huang, C.; Foster, S.R.; Shah, A.D.; Kleifeld, O.; Canals, M.; Schittenhelm, R.B.; Stone, M.J. Phosphoproteomic characterization of the signaling network resulting from activation of the chemokine receptor CCR2. J. Biol. Chem. 2020, 295, 6518–6531. [Google Scholar] [CrossRef]
- Lin, H.Y.; Sun, S.M.; Lu, X.F.; Chen, P.Y.; Chen, C.F.; Liang, W.Q.; Peng, C.Y. CCR10 activation stimulates the invasion and migration of breast cancer cells through the ERK1/2/MMP-7 signaling pathway. Int. Immunopharmacol. 2017, 51, 124–130. [Google Scholar] [CrossRef]
- Liu, Y.; Xiao, A.; Zhang, B. CCR10/CCL27 crosstalk regulates cell metastasis via PI3K-Akt signaling axis in non-small-cell lung cancer. Am. J. Transl. Res. 2021, 13, 13135–13146. [Google Scholar]
- Xiu, W.; Luo, J. CXCL9 secreted by tumor-associated dendritic cells up-regulates PD-L1 expression in bladder cancer cells by activating the CXCR3 signaling. BMC Immunol. 2021, 22, 3. [Google Scholar] [CrossRef]
- Kong, Y.F.; Sha, W.L.; Wu, X.B.; Zhao, L.X.; Ma, L.J.; Gao, Y.J. CXCL10/CXCR3 Signaling in the DRG Exacerbates Neuropathic Pain in Mice. Neurosci. Bull. 2021, 37, 339–352. [Google Scholar] [CrossRef]
- Liu, H.; Tian, Q.; Ai, X.; Qin, Y.; Cui, Z.; Li, M.; Yang, J.; Zhai, D.; Liu, Y.; Chen, S.; et al. Dihydroartemisinin attenuates autoimmune thyroiditis by inhibiting the CXCR3/PI3K/AKT/NF-kappaB signaling pathway. Oncotarget 2017, 8, 115028–115040. [Google Scholar] [CrossRef]
- Karin, N.; Wildbaum, G.; Thelen, M. Biased signaling pathways via CXCR3 control the development and function of CD4+ T cell subsets. J. Leukoc. Biol. 2016, 99, 857–862. [Google Scholar] [CrossRef]
- Silasi, M.; You, Y.; Simpson, S.; Kaislasuo, J.; Pal, L.; Guller, S.; Peng, G.; Ramhorst, R.; Grasso, E.; Etemad, S.; et al. Human Chorionic Gonadotropin modulates CXCL10 Expression through Histone Methylation in human decidua. Sci. Rep. 2020, 10, 5785. [Google Scholar] [CrossRef]
- Hirota, Y.; Osuga, Y.; Koga, K.; Yoshino, O.; Hirata, T.; Morimoto, C.; Harada, M.; Takemura, Y.; Nose, E.; Yano, T.; et al. The expression and possible roles of chemokine CXCL11 and its receptor CXCR3 in the human endometrium. J. Immunol. 2006, 177, 8813–8821. [Google Scholar] [CrossRef]
- Dalit, L.; Alvarado, C.; Kuijper, L.; Kueh, A.J.; Weir, A.; D’Amico, A.; Herold, M.J.; Vince, J.E.; Nutt, S.L.; Groom, J.R. CXCL11 expressing C57BL/6 mice have intact adaptive immune responses to viral infection. Immunol. Cell Biol. 2022, 100, 312–322. [Google Scholar] [CrossRef]
- Gao, Q.; Zhang, Y. CXCL11 Signaling in the Tumor Microenvironment. Adv. Exp. Med. Biol. 2021, 1302, 41–50. [Google Scholar] [CrossRef]
- Singh, A.K.; Arya, R.K.; Trivedi, A.K.; Sanyal, S.; Baral, R.; Dormond, O.; Briscoe, D.M.; Datta, D. Chemokine receptor trio: CXCR3, CXCR4 and CXCR7 crosstalk via CXCL11 and CXCL12. Cytokine Growth Factor Rev. 2013, 24, 41–49. [Google Scholar] [CrossRef]
- Chen, W.; Zhang, X.; Xu, M.; Jiang, L.; Zhou, M.; Liu, W.; Chen, Z.; Wang, Y.; Zou, Q.; Wang, L. Betaine prevented high-fat diet-induced NAFLD by regulating the FGF10/AMPK signaling pathway in ApoE(-/-) mice. Eur. J. Nutr. 2021, 60, 1655–1668. [Google Scholar] [CrossRef] [PubMed]
- Wang, C.; Liu, Z.; Ke, Y.; Wang, F. Intrinsic FGFR2 and Ectopic FGFR1 Signaling in the Prostate and Prostate Cancer. Front. Genet. 2019, 10, 12. [Google Scholar] [CrossRef] [PubMed]
- Shi, Y.; Ma, Z.; Cheng, Q.; Wu, Y.; Parris, A.B.; Kong, L.; Yang, X. FGFR1 overexpression renders breast cancer cells resistant to metformin through activation of IRS1/ERK signaling. Biochim. Biophys. Acta Mol. Cell Res. 2021, 1868, 118877. [Google Scholar] [CrossRef] [PubMed]
- Giordano, M.; Decio, A.; Battistini, C.; Baronio, M.; Bianchi, F.; Villa, A.; Bertalot, G.; Freddi, S.; Lupia, M.; Jodice, M.G.; et al. L1CAM promotes ovarian cancer stemness and tumor initiation via FGFR1/SRC/STAT3 signaling. J. Exp. Clin. Cancer Res. CR 2021, 40, 319. [Google Scholar] [CrossRef]
- Li, X.; Martinez-Ledesma, E.; Zhang, C.; Gao, F.; Zheng, S.; Ding, J.; Wu, S.; Nguyen, N.; Clifford, S.C.; Wen, P.Y.; et al. Tie2-FGFR1 Interaction Induces Adaptive PI3K Inhibitor Resistance by Upregulating Aurora A/PLK1/CDK1 Signaling in Glioblastoma. Cancer Res. 2019, 79, 5088–5101. [Google Scholar] [CrossRef]
- Yang, Q.E.; Giassetti, M.I.; Ealy, A.D. Fibroblast growth factors activate mitogen-activated protein kinase pathways to promote migration in ovine trophoblast cells. Reproduction 2011, 141, 707–714. [Google Scholar] [CrossRef]
- Natanson-Yaron, S.; Anteby, E.Y.; Greenfield, C.; Goldman-Wohl, D.; Hamani, Y.; Hochner-Celnikier, D.; Yagel, S. FGF 10 and Sprouty 2 modulate trophoblast invasion and branching morphogenesis. Mol. Hum. Reprod. 2007, 13, 511–519. [Google Scholar] [CrossRef]
- Rivetti, S.; Chen, C.; Chen, C.; Bellusci, S. Fgf10/Fgfr2b Signaling in Mammary Gland Development, Homeostasis, and Cancer. Front. Cell Dev. Biol. 2020, 8, 415. [Google Scholar] [CrossRef]
- Jones, M.R.; Chong, L.; Bellusci, S. Fgf10/Fgfr2b Signaling Orchestrates the Symphony of Molecular, Cellular, and Physical Processes Required for Harmonious Airway Branching Morphogenesis. Front. Cell Dev. Biol. 2020, 8, 620667. [Google Scholar] [CrossRef]
- Fischer, C.; Seki, T.; Lim, S.; Nakamura, M.; Andersson, P.; Yang, Y.; Honek, J.; Wang, Y.; Gao, Y.; Chen, F.; et al. A miR-327-FGF10-FGFR2-mediated autocrine signaling mechanism controls white fat browning. Nat. Commun. 2017, 8, 2079. [Google Scholar] [CrossRef]
- Chen, Y.; Chen, Y.; Jiang, X.; Shi, M.; Yang, Z.; Chen, Z.; Hua, X.; Chen, J.; Wang, Y. Vascular Adventitial Fibroblasts-Derived FGF10 Promotes Vascular Smooth Muscle Cells Proliferation and Migration in vitro and the Neointima Formation in vivo. J. Inflamm. Res. 2021, 14, 2207–2223. [Google Scholar] [CrossRef]
- Du, J.; Zhao, Q.; Liu, K.; Li, Z.; Fu, F.; Zhang, K.; Zhang, H.; Zheng, M.; Zhao, Y.; Zhang, S. FGFR2/STAT3 Signaling Pathway Involves in the Development of MMTV-Related Spontaneous Breast Cancer in TA2 Mice. Front. Oncol. 2020, 10, 652. [Google Scholar] [CrossRef]
- Li, P.; Huang, T.; Zou, Q.; Liu, D.; Wang, Y.; Tan, X.; Wei, Y.; Qiu, H. FGFR2 Promotes Expression of PD-L1 in Colorectal Cancer via the JAK/STAT3 Signaling Pathway. J. Immunol. 2019, 202, 3065–3075. [Google Scholar] [CrossRef]
- Upadhyay, G.; Yin, Y.; Yuan, H.; Li, X.; Derynck, R.; Glazer, R.I. Stem cell antigen-1 enhances tumorigenicity by disruption of growth differentiation factor-10 (GDF10)-dependent TGF-beta signaling. Proc. Natl. Acad. Sci. USA 2011, 108, 7820–7825. [Google Scholar] [CrossRef]
- Cheng, C.W.; Hsiao, J.R.; Fan, C.C.; Lo, Y.K.; Tzen, C.Y.; Wu, L.W.; Fang, W.Y.; Cheng, A.J.; Chen, C.H.; Chang, I.S.; et al. Loss of GDF10/BMP3b as a prognostic marker collaborates with TGFBR3 to enhance chemotherapy resistance and epithelial-mesenchymal transition in oral squamous cell carcinoma. Mol. Carcinog. 2016, 55, 499–513. [Google Scholar] [CrossRef]
- Kwon, W.; Choi, S.K.; Kim, D.; Kim, H.G.; Park, J.K.; Han, J.E.; Cho, G.J.; Yun, S.; Yu, W.; Han, S.H.; et al. ZNF507 affects TGF-beta signaling via TGFBR1 and MAP3K8 activation in the progression of prostate cancer to an aggressive state. J. Exp. Clin. Cancer Res. CR 2021, 40, 291. [Google Scholar] [CrossRef]
- Lee, T.H.; Yeh, C.F.; Lee, Y.T.; Shih, Y.C.; Chen, Y.T.; Hung, C.T.; You, M.Y.; Wu, P.C.; Shentu, T.P.; Huang, R.T.; et al. Fibroblast-enriched endoplasmic reticulum protein TXNDC5 promotes pulmonary fibrosis by augmenting TGFbeta signaling through TGFBR1 stabilization. Nat. Commun. 2020, 11, 4254. [Google Scholar] [CrossRef]
- Derynck, R.; Zhang, Y.E. Smad-dependent and Smad-independent pathways in TGF-β family signalling. Nature 2003, 425, 577–584. [Google Scholar] [CrossRef]
- Aashaq, S.; Batool, A.; Mir, S.A.; Beigh, M.A.; Andrabi, K.I.; Shah, Z.A. TGF-beta signaling: A recap of SMAD-independent and SMAD-dependent pathways. J. Cell. Physiol. 2022, 237, 59–85. [Google Scholar] [CrossRef]
- Handwerger, S.; Aronow, B. Dynamic changes in gene expression during human trophoblast differentiation. Recent Prog. Horm. Res. 2003, 58, 263–281. [Google Scholar] [CrossRef]
- Forbes, K.; Westwood, M. Maternal growth factor regulation of human placental development and fetal growth. J. Endocrinol. 2010, 207, 1–16. [Google Scholar] [CrossRef] [PubMed]
- Staun-Ram, E.; Shalev, E. Human trophoblast function during the implantation process. Reprod. Biol. Endocrinol. RBE 2005, 3, 56. [Google Scholar] [CrossRef] [PubMed]
- Li, Y.; Yan, J.; Chang, H.M.; Chen, Z.J.; Leung, P.C.K. Roles of TGF-beta Superfamily Proteins in Extravillous Trophoblast Invasion. Trends Endocrinol. Metab. TEM 2021, 32, 170–189. [Google Scholar] [CrossRef] [PubMed]
- Ferretti, C.; Bruni, L.; Dangles-Marie, V.; Pecking, A.P.; Bellet, D. Molecular circuits shared by placental and cancer cells, and their implications in the proliferative, invasive and migratory capacities of trophoblasts. Hum. Reprod. Update 2007, 13, 121–141. [Google Scholar] [CrossRef] [PubMed]
- Kabir-Salmani, M.; Shiokawa, S.; Akimoto, Y.; Sakai, K.; Iwashita, M. The role of alpha(5)beta(1)-integrin in the IGF-I-induced migration of extravillous trophoblast cells during the process of implantation. Mol. Hum. Reprod. 2004, 10, 91–97. [Google Scholar] [CrossRef]
- Deonarain, R.; Chan, D.C.; Platanias, L.C.; Fish, E.N. Interferon-alpha/beta-receptor interactions: A complex story unfolding. Curr. Pharm. Des. 2002, 8, 2131–2137. [Google Scholar] [CrossRef]
- Shemesh, M.; Lochte, S.; Piehler, J.; Schreiber, G. IFNAR1 and IFNAR2 play distinct roles in initiating type I interferon-induced JAK-STAT signaling and activating STATs. Sci. Signal. 2021, 14, eabe4627. [Google Scholar] [CrossRef]
- Hoffpauir, C.T.; Bell, S.L.; West, K.O.; Jing, T.; Wagner, A.R.; Torres-Odio, S.; Cox, J.S.; West, A.P.; Li, P.; Patrick, K.L.; et al. TRIM14 Is a Key Regulator of the Type I IFN Response during Mycobacterium tuberculosis Infection. J. Immunol. 2020, 205, 153–167. [Google Scholar] [CrossRef]
- Lefebvre, S.; Berrih-Aknin, S.; Adrian, F.; Moreau, P.; Poea, S.; Gourand, L.; Dausset, J.; Carosella, E.D.; Paul, P. A specific interferon (IFN)-stimulated response element of the distal HLA-G promoter binds IFN-regulatory factor 1 and mediates enhancement of this nonclassical class I gene by IFN-beta. J. Biol. Chem. 2001, 276, 6133–6139. [Google Scholar] [CrossRef]
- Aboagye-Mathiesen, G.; Toth, F.D.; Hager, H.; Zdravkovic, M.; Petersen, P.M.; Villadsen, J.A.; Zachar, V.; Ebbesen, P. Human trophoblast interferons. Antivir. Res. 1993, 22, 91–105. [Google Scholar] [CrossRef]
- Zhang, Y.; Li, B.; Bai, Q.; Wang, P.; Wei, G.; Li, Z.; Hu, L.; Tian, Q.; Zhou, J.; Huang, Q.; et al. The lncRNA Snhg1-Vps13D vesicle trafficking system promotes memory CD8 T cell establishment via regulating the dual effects of IL-7 signaling. Signal Transduct. Target. Ther. 2021, 6, 126. [Google Scholar] [CrossRef]
- Wu, T.H.; Bolt, A.M.; Chou, H.; Plourde, D.; De Jay, N.; Guilbert, C.; Young, Y.K.; Kleinman, C.L.; Mann, K.K. Tungsten Blocks Murine B Lymphocyte Differentiation and Proliferation through Downregulation of IL-7 Receptor/Pax5 Signaling. Toxicol. Sci. Off. J. Soc. Toxicol. 2019, 170, 45–56. [Google Scholar] [CrossRef]
- Sun, Y.; Lu, B.; Deng, J.; Jiang, Z.; Cao, W.; Dai, T.; Li, S. IL-7 enhances the differentiation of adipose-derived stem cells toward lymphatic endothelial cells through AKT signaling. Cell Biol. Int. 2019, 43, 394–401. [Google Scholar] [CrossRef]
- Zeng, H.; Yu, M.; Tan, H.; Li, Y.; Su, W.; Shi, H.; Dhungana, Y.; Guy, C.; Neale, G.; Cloer, C.; et al. Discrete roles and bifurcation of PTEN signaling and mTORC1-mediated anabolic metabolism underlie IL-7-driven B lymphopoiesis. Sci. Adv. 2018, 4, eaar5701. [Google Scholar] [CrossRef]
- Arad, A.; Nammouz, S.; Nov, Y.; Ohel, G.; Bejar, J.; Vadasz, Z. The Expression of Neuropilin-1 in Human Placentas from Normal and Preeclamptic Pregnancies. Int. J. Gynecol. Pathol. Off. J. Int. Soc. Gynecol. Pathol. 2017, 36, 42–49. [Google Scholar] [CrossRef]
- Baston-Buest, D.M.; Porn, A.C.; Schanz, A.; Kruessel, J.S.; Janni, W.; Hess, A.P. Expression of the vascular endothelial growth factor receptor neuropilin-1 at the human embryo-maternal interface. Eur. J. Obstet. Gynecol. Reprod. Biol. 2011, 154, 151–156. [Google Scholar] [CrossRef]
- Oh, W.J.; Gu, C. The role and mechanism-of-action of Sema3E and Plexin-D1 in vascular and neural development. Semin. Cell Dev. Biol. 2013, 24, 156–162. [Google Scholar] [CrossRef]
- Li, G.; Ma, L.; Lu, H.; Cao, G.; Shao, X.; Liu, Y.; Li, Y.X.; Liu, M.; Yang, H.; Wang, Y.L. Transactivation of Met signalling by semaphorin4D in human placenta: Implications for the pathogenesis of preeclampsia. J. Hypertens. 2018, 36, 2215–2225. [Google Scholar] [CrossRef]
- Langat, D.L.; Wheaton, D.A.; Platt, J.S.; Sifers, T.; Hunt, J.S. Signaling pathways for B cell-activating factor (BAFF) and a proliferation-inducing ligand (APRIL) in human placenta. Am. J. Pathol. 2008, 172, 1303–1311. [Google Scholar] [CrossRef]
Disclaimer/Publisher’s Note: The statements, opinions and data contained in all publications are solely those of the individual author(s) and contributor(s) and not of MDPI and/or the editor(s). MDPI and/or the editor(s) disclaim responsibility for any injury to people or property resulting from any ideas, methods, instructions or products referred to in the content. |
© 2023 by the authors. Licensee MDPI, Basel, Switzerland. This article is an open access article distributed under the terms and conditions of the Creative Commons Attribution (CC BY) license (https://creativecommons.org/licenses/by/4.0/).






