Sign in to use this feature.

Years

Between: -

Subjects

remove_circle_outline
remove_circle_outline
remove_circle_outline
remove_circle_outline
remove_circle_outline
remove_circle_outline
remove_circle_outline
remove_circle_outline
remove_circle_outline

Journals

remove_circle_outline
remove_circle_outline
remove_circle_outline
remove_circle_outline
remove_circle_outline
remove_circle_outline
remove_circle_outline
remove_circle_outline
remove_circle_outline
remove_circle_outline
remove_circle_outline
remove_circle_outline
remove_circle_outline
remove_circle_outline
remove_circle_outline
remove_circle_outline

Article Types

Countries / Regions

remove_circle_outline
remove_circle_outline
remove_circle_outline
remove_circle_outline
remove_circle_outline
remove_circle_outline
remove_circle_outline

Search Results (4,611)

Search Parameters:
Keywords = ERK1/2

Order results
Result details
Results per page
Select all
Export citation of selected articles as:
22 pages, 7676 KB  
Article
Anti-Adipogenic Effects of N-Methylatalaphylline in 3T3-L1 Cells Through Modulation of Metabolic and Mitogenic Signaling Pathways
by Noppawan Woramongkolchai, Chatchai Chaotham, Utid Suriya, Hnin Ei Ei Khine, Pattara Poungcho, Chaiyaboot Ariyachet, Chia-Hung Yen and Chaisak Chansriniyom
Int. J. Mol. Sci. 2026, 27(9), 3914; https://doi.org/10.3390/ijms27093914 - 28 Apr 2026
Abstract
Adipogenesis is a critical factor in causing obesity, which is a global health problem associated with metabolic disorders, such as insulin resistance and cardiovascular diseases. Natural compounds with anti-adipogenic activity may represent potential approaches for modulating adipocyte function. However, despite increasing interest in [...] Read more.
Adipogenesis is a critical factor in causing obesity, which is a global health problem associated with metabolic disorders, such as insulin resistance and cardiovascular diseases. Natural compounds with anti-adipogenic activity may represent potential approaches for modulating adipocyte function. However, despite increasing interest in natural products, the anti-adipogenic potential of acridone alkaloids, particularly prenylated derivatives, remains largely unexplored. This study examined the effects of N-methylatalaphylline (NMA), a prenylated acridone alkaloid, on adipocyte differentiation, lipid accumulation, and glucose uptake. NMA exhibited anti-adipogenesis, particularly toward preadipocytes, and significantly reduced lipid accumulation in murine 3T3-L1 and human PCS-210-010 adipocytes at nontoxic doses (1.5–6 µM). At 3–6 µM, NMA downregulated adipogenic regulators, including PPARγ, C/EBPα, and SREBP1, along with adipogenic effectors, such as FABP4, adiponectin, LPL, PLIN1, and FAS. Mechanistic studies indicated that NMA treatment was associated with reduced phosphorylation of AKT, ERK, and p38, accompanied by cell-cycle arrest and inhibition of mitotic clonal expansion. Meanwhile, activation of AMPK-ACC signaling, which may contribute to suppression of adipogenesis and reduced glucose uptake, was observed in differentiated 3T3-L1 cells after treatment with 6 µM NMA for 48 h. Additionally, molecular docking and molecular dynamics simulations suggested potential interaction between NMA and ERK1, supported by hydrogen bonding and hydrophobic contacts. Overall, these findings suggest that NMA exerts anti-adipogenic effects in vitro by modulating adipocyte proliferation, differentiation, and lipid metabolism. These findings highlight NMA as a promising acridone alkaloid scaffold for anti-adiposity applications, warranting further in vivo validation. Full article
(This article belongs to the Special Issue Fat and Obesity: Molecular Mechanisms and Pathogenesis)
Show Figures

Figure 1

24 pages, 1716 KB  
Article
Tacrolimus (FK506) Attenuates Hepatic Ischemia–Reperfusion Injury via Oxidative Glutathione Metabolism and Suppression of Lipoxygenase-Mediated Cell Death
by Moritz Drefs, Malte J. Schirren, Dominik T. Koch, Severin J. Jacobi, Michael Neuberger, Lesca M. Holdt, Bernhard W. Renz, Jens Werner, Markus O. Guba and Dionysios Koliogiannis
Antioxidants 2026, 15(5), 557; https://doi.org/10.3390/antiox15050557 (registering DOI) - 28 Apr 2026
Abstract
Background: Hepatic ischemia–reperfusion injury (IRI) remains a major challenge in liver transplantation (LTx) and hepatectomy. Previous studies identified a 12/15-lipoxygenase (12/15-LOX)-driven lipid peroxidation cascade promoting cell death, whereas glutathione peroxidase 4 (GPx4)-dependent metabolism acts antagonistically. This study investigated whether tacrolimus protects against hepatic [...] Read more.
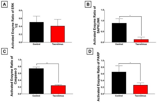
Background: Hepatic ischemia–reperfusion injury (IRI) remains a major challenge in liver transplantation (LTx) and hepatectomy. Previous studies identified a 12/15-lipoxygenase (12/15-LOX)-driven lipid peroxidation cascade promoting cell death, whereas glutathione peroxidase 4 (GPx4)-dependent metabolism acts antagonistically. This study investigated whether tacrolimus protects against hepatic IRI through this redox axis. Methods: Male C57BL/6 mice underwent 65% partial hepatic warm ischemia and reperfusion with or without tacrolimus preconditioning. Liver tissue and serum were analyzed by spectral photometry, Western blotting, TUNEL assay, and serum enzyme measurement. Results were statistically analyzed and compared with previously published results of 12/15-LOX inhibition by baicalein pretreatment and its carrier DMSO. Also, the combination of both tacrolimus and baicalein was investigated. Results: Tacrolimus increased the oxidative glutathione activity quotient (GSSG/GSH) by 75.1% (p = 0.0302), attenuated MAPK signaling, reduced SAPK/JNK by 84.6% (p = 0.0059), with ERK1/2 showing a downward trend, decreased Caspase-3 activation by 66.9% (p < 0.001) and PARP cleavage by 59.9% (p = 0.0330), and lowered TUNEL-positive cell death by 61.8% (p = 0.0015). Tacrolimus achieved hepatoprotection comparable to 12/15-LOX inhibition, but without hepatotoxicity, whereas combined treatment conferred no additional benefit yet bore toxic properties. Conclusions: Tacrolimus preconditioning mitigates hepatic IRI through a glutathione-linked redox–signaling–cell death axis and exerts cytoprotective effects beyond immunosuppression. Full article
(This article belongs to the Special Issue Targeting Oxidative Stress in Ischemia/Reperfusion Injury)
Show Figures

Figure 1

15 pages, 4783 KB  
Article
Neurotensin Receptor 1 Regulates HER4 Tyrosine Phosphorylation in Lung Cancer Cells
by Terry W. Moody, Irene Ramos-Alvarez and Robert T. Jensen
Biology 2026, 15(9), 686; https://doi.org/10.3390/biology15090686 (registering DOI) - 28 Apr 2026
Abstract
Neurotensin (NTS) binds to the G protein-coupled receptors (GPCRs) NTSR1 and NTSR2. NTSR1 regulates transactivation of the EGFR, HER2, and HER3, but its effects on HER4 are unknown. By Western blot, NTSR1 and HER4 were present in six lung cancer cell lines examined. [...] Read more.
Neurotensin (NTS) binds to the G protein-coupled receptors (GPCRs) NTSR1 and NTSR2. NTSR1 regulates transactivation of the EGFR, HER2, and HER3, but its effects on HER4 are unknown. By Western blot, NTSR1 and HER4 were present in six lung cancer cell lines examined. In NCI-H522 or NCI-H661 cells, adding NTS increased phosphorylation (P) of tyrosine (Y) 1284 on HER4. Because SR48692 antagonized NTS’s ability to increase P-HER4 or P-ERK, NTSR1 may play an important role in NSCLC. SR48692, HER4 siRNA, reactive oxygen species inhibitors, and the tyrosine kinase inhibitor ibrutinib inhibited NTS-induced P-HER4. Adding NTS to NCI-H661 cells increased the formation of HER4/HER4, HER4/ EGFR, and HER4/HER2 dimers. Adding NTS to NSCLC cells increased both P-ERK and P-AKT, which were inhibited by PD98059 and LY294002, respectively. The growth of NCI-H522 or NCI-H661 cells was stimulated by NTS or neuregulin 1 (NRG1), a HER4 ligand, but inhibited by SR48692 or ibrutinib. The results indicate that NTSR1 regulates HER4 transactivation, thereby increasing the proliferation of lung cancer cells. Full article
Show Figures

Graphical abstract

24 pages, 7065 KB  
Article
Zhuangyang Bushen Pill Attenuates Renal Injury in Chronic Glomerulonephritis by Suppressing the MAPK Signaling Pathway
by Ying Xu, Lanlan Li, Nana Zhang, Yiming Luo, Li Song and Heng Luo
Pharmaceuticals 2026, 19(5), 682; https://doi.org/10.3390/ph19050682 (registering DOI) - 27 Apr 2026
Abstract
Background/Objectives: Chronic glomerulonephritis (CGN) is a progressive chronic kidney disease that can ultimately advance to end-stage renal disease (ESRD). Zhuangyang Bushen Pill (ZYBSW) is a traditional Chinese herbal formulation derived from the Yi ethnic medicine of Yunnan Province, and it has been widely [...] Read more.
Background/Objectives: Chronic glomerulonephritis (CGN) is a progressive chronic kidney disease that can ultimately advance to end-stage renal disease (ESRD). Zhuangyang Bushen Pill (ZYBSW) is a traditional Chinese herbal formulation derived from the Yi ethnic medicine of Yunnan Province, and it has been widely employed in folk practice for the amelioration of chronic nephritis and renal dysfunction. This study was designed to evaluate the therapeutic efficacy of ZYBSW against CGN and to provide preliminary insights into its underlying mechanisms of action. Methods: The nephropathy model was induced in mice by tail vein injection of ADR (10 mg/kg). Renal function was evaluated by measuring relevant biochemical parameters, and renal histopathological alterations were examined using HE staining. Chemical constituents of ZYBSW were analyzed by LC-MS/MS. Its mechanisms of action were investigated using network pharmacology, WGCNA, molecular docking, multiplex immunofluorescence, and Western blotting. Results: ZYBSW significantly reduced ACR by 88.9%, SCr by 56.4%, and BUN by 30.4%, increased ALB by 32.4%, and alleviated renal histopathological damage (all p < 0.01). LC-MS/MS analysis identified 419 chemical constituents in ZYBSW. Network pharmacology, WGCNA, and molecular docking experiments identified EGFR and DUSP1 as potential targets, and indicated the MAPK pathway as a key pathway. Mechanistic studies revealed that ZYBSW significantly inhibited EGFR expression in renal tissue, enhanced DUSP1 expression, and reduced the phosphorylation levels of ERK, JNK, and p38. Conclusions: This study reveals ZYBSW can effectively alleviate CGN, with EGFR and DUSP1 as likely therapeutic targets, and its mechanism of action primarily involves regulating the MAPK signaling pathway. Full article
(This article belongs to the Section Natural Products)
16 pages, 510 KB  
Review
The Role of FOSL1 in Inflammatory Bowel Disease (IBD) Pathogenesis and IBD-Associated Tumorigenesis
by Grace J. Rilee, Senthil K. Radhakrishnan, Guang-Yu Yang and Jiong Li
Biomolecules 2026, 16(5), 647; https://doi.org/10.3390/biom16050647 (registering DOI) - 27 Apr 2026
Abstract
Inflammatory bowel diseases (IBD), including ulcerative colitis and Crohn’s disease, are chronic inflammatory disorders of the gastrointestinal tract associated with epithelial barrier dysfunction, dysregulated immune responses, and an increased risk of cancer. Persistent inflammation is a key driver of IBD-associated tumorigenesis, yet the [...] Read more.
Inflammatory bowel diseases (IBD), including ulcerative colitis and Crohn’s disease, are chronic inflammatory disorders of the gastrointestinal tract associated with epithelial barrier dysfunction, dysregulated immune responses, and an increased risk of cancer. Persistent inflammation is a key driver of IBD-associated tumorigenesis, yet the transcriptional regulators linking inflammatory signaling to epithelial transformation remain incompletely defined. FOSL1 (FOS-like antigen 1), a member of the activator protein-1 (AP-1) transcription factor family, has emerged as a critical mediator at the intersection of inflammation, epithelial homeostasis, and cancer progression. FOSL1 is induced by pro-inflammatory pathways commonly activated in IBD, including MAPK/ERK, NF-κB, and cytokine signaling, and regulates gene programs involved in cell proliferation, migration, barrier integrity, immune modulation, and survival. Accumulating evidence demonstrates that FOSL1 expression is elevated in inflamed intestinal mucosa and in IBD-associated malignancies, where it contributes to epithelial dysfunction, chronic inflammation, tumor initiation, metastasis, angiogenesis, and therapeutic resistance. Moreover, FOSL1-driven transcriptional networks show mechanistic overlap between IBD-associated colorectal cancer (CRC) and other inflammation-linked gastrointestinal cancers, such as pancreatic ductal adenocarcinoma (PDAC). In this review, we summarize current knowledge on the regulation and function of FOSL1 in intestinal inflammation and IBD-associated cancers, highlight its context-dependent roles in epithelial and immune compartments, and discuss emerging therapeutic strategies aimed at indirectly targeting FOSL1 signaling pathways. Full article
Show Figures

Figure 1

21 pages, 1405 KB  
Article
Estrogen Receptor-α36 Mediates EGFR-SGK1 Signaling-Related Erk Activation in Gastric Cancer
by Yibo Zhang, Hongyan Zhou, Yifan Xiao, Shubing Yang, Qingqing Xu, Xin Liu, Wenli Huang, Mingshan Pi, Qi Xiong, Xiaochuan Wang, Xiji Shu and Yiyuan Xia
Cells 2026, 15(9), 787; https://doi.org/10.3390/cells15090787 (registering DOI) - 26 Apr 2026
Abstract
Introduction: Gastric cancer is a prevalent and aggressive malignancy driven by complex signaling networks. Estrogen receptor-α36 (ER-α36), a membrane-localized receptor, mediates non-genomic signaling and promotes tumor progression. ER-α36 can interact with epidermal growth factor receptor (EGFR) to activate downstream mitogen-activated protein kinase (MAPK) [...] Read more.
Introduction: Gastric cancer is a prevalent and aggressive malignancy driven by complex signaling networks. Estrogen receptor-α36 (ER-α36), a membrane-localized receptor, mediates non-genomic signaling and promotes tumor progression. ER-α36 can interact with epidermal growth factor receptor (EGFR) to activate downstream mitogen-activated protein kinase (MAPK) signaling, but the detailed mechanism in gastric cancer remains unclear. This study aimed to explore whether ER-α36 promotes gastric cancer progression by regulating serum and glucocorticoid-regulated kinase 1 (SGK1)-mediated Erk1/2 activation. Methods: We collected 53 human gastric adenocarcinoma specimens and detected ER-α36 expression by immunohistochemistry. Bioinformatics analysis was used to identify ER-α36-related kinases. Gastric cancer cell lines (SGC7901, HGC27, NCI-N87, and MFC) were used for in vitro studies. Western blotting, qRT-PCR, immunofluorescence, co-immunoprecipitation (Co-IP), wound healing, MTT, and Transwell invasion analyses, and nude mouse orthotopic tumor models were applied to investigate the function and mechanism of the ER-α36/SGK1/Erk1/2 axis. Results: ER-α36 was positively expressed in 62.3% of gastric adenocarcinoma tissues and was associated with poor differentiation and prognosis. SGK1 was identified as a key kinase downstream of ER-α36. ER-α36, SGK1, and p-Erk1/2 were co-upregulated in gastric cancer tissues and cells. ER-α36 regulated Raf/MEK1/2/Erk1/2 phosphorylation in an SGK1-dependent manner. EGF-induced Erk1/2 activation required both ER-α36 and SGK1. Overexpression of ER-α36 promoted the proliferation, migration, and invasion of gastric cancer cells, while SGK1 knockdown abolished these oncogenic effects. In vivo experiments confirmed that ER-α36 promoted gastric tumor growth and EGFR/Erk signaling, which was attenuated by SGK1 knockdown. Conclusions: ER-α36 contributes to the malignant progression of gastric adenocarcinoma by activating the Erk1/2 pathway through SGK1. The ER-α36–SGK1–Erk1/2 axis may serve as a novel therapeutic target for gastric cancer. Full article
(This article belongs to the Special Issue Signal Transduction and Targeted Therapy for Tumors)
19 pages, 16682 KB  
Article
The Antihistamine Astemizole Potentiates the Antitumor Efficacy of Sorafenib in Hepatocellular Carcinoma by Suppressing Proliferation, Metastasis, and Angiogenesis
by Yixuan Zhang, Xin Chen, Xuting Yang, Peiyu Wang, Xiaoliang Zhang, Dexin Kong and Ran Wang
Curr. Issues Mol. Biol. 2026, 48(5), 451; https://doi.org/10.3390/cimb48050451 (registering DOI) - 26 Apr 2026
Viewed by 45
Abstract
Hepatocellular carcinoma (HCC) is a highly aggressive malignancy with a poor prognosis. While sorafenib serves as the first-line therapy for advanced HCC, its efficacy is frequently hampered by side effects and the development of drug resistance, necessitating the development of novel agents to [...] Read more.
Hepatocellular carcinoma (HCC) is a highly aggressive malignancy with a poor prognosis. While sorafenib serves as the first-line therapy for advanced HCC, its efficacy is frequently hampered by side effects and the development of drug resistance, necessitating the development of novel agents to enhance HCC sensitivity to sorafenib. In this study, we demonstrate that the antihistamine astemizole significantly enhanced the antitumor efficacy of sorafenib in HCC cell lines. This combination treatment cooperatively inhibited HCC cells’ proliferation and induced cell cycle arrest at the G1 phase, as evidenced by decreased cyclin D1 and p-Rb levels and increased p27 expression. Furthermore, the combination of astemizole and sorafenib synergistically inhibited HCC cells’ migration, invasion, and adhesion. It also reduced F-actin polymerization and the expression of metastasis-regulating proteins, including p-Integrinβ1, FAK, and MMP1. Additionally, the combination treatment suppressed tube formation in HUVECs, accompanied by downregulation of HIF-1α and reduced VEGF secretion. Co-inhibition of Eag1 and the ERK/MAPK signaling pathway may underlie the enhanced anti-HCC effects of sorafenib by astemizole. Collectively, these findings indicate that astemizole significantly enhanced the antitumor activity of sorafenib by inhibiting proliferation, metastasis, and angiogenesis in HCC cells, suggesting its potential as a promising adjuvant to improve sorafenib-based therapy in HCC. Full article
(This article belongs to the Section Molecular Pharmacology)
Show Figures

Figure 1

23 pages, 7968 KB  
Article
Dried Ginger Milk Extract Alleviates Inflammatory Bowel Disease-Associated Bone Loss via Gut Microbiota–Metabolite Remodeling and MEK/ERK Inhibition
by Yalan Li, Xuyang Liao, Chen Wang, Xingyu Bao, Yan Liu, Sufang Duan, Jian He, Jun Xu, Juan Wu, Mengyu Zhou and Guiying Peng
Pharmaceuticals 2026, 19(5), 675; https://doi.org/10.3390/ph19050675 (registering DOI) - 26 Apr 2026
Viewed by 124
Abstract
Background: Inflammatory bowel disease (IBD) is frequently complicated by secondary bone loss driven by chronic inflammation and gut–bone axis dysregulation. Although dried ginger has pharmacological activities relevant to intestinal inflammation, the effects of dried ginger milk extract (DGME), a lipophilic constituent-enriched preparation, on [...] Read more.
Background: Inflammatory bowel disease (IBD) is frequently complicated by secondary bone loss driven by chronic inflammation and gut–bone axis dysregulation. Although dried ginger has pharmacological activities relevant to intestinal inflammation, the effects of dried ginger milk extract (DGME), a lipophilic constituent-enriched preparation, on IBD-associated bone loss (IBD-BL) remain unknown. This study evaluated the preventive and therapeutic effects of DGME on IBD-BL and explored the underlying mechanisms. Methods: Mice with DSS-induced IBD-BL were treated with DGME (250, 125, or 62.5 mg/kg) or sulfasalazine. Colitis severity, bone microarchitecture, osteoclast activity and Th17 cells were assessed by histology, micro-computed tomography, histomorphometry and flow cytometric analysis. UHPLC-Q-TOF MS, network pharmacology, 16S rRNA sequencing, fecal metabolomics, and in vitro assays were used for mechanistic investigation. Results: DGME ameliorated colitis, improved trabecular bone microarchitecture, and reduced osteoclast-related bone destruction. These effects were associated with selective suppression of pathogenic bone marrow TNF-α+ Th17 cells and downregulation of Il17a, Rorc, Tnfα, Ccr2, Ccr6, Cxcr4, Csf1, and Tnfsf11. Compared with aqueous extract, DGME was enriched in 19 lipophilic constituents. Multi-omics analyses showed that DGME remodeled gut microbiota and metabolite profiles, characterized by enrichment of Lactobacillus, Anaerotruncus, vanillin, and spermidine. Both vanillin and spermidine suppressed Th17 effector genes and inhibited MEK/ERK signaling in vitro. Conclusions: DGME alleviated IBD-BL by suppressing pathogenic TNF-α+ Th17 responses and remodeling the gut microbiota–metabolite axis. This study not only extends the therapeutic application of dried ginger from intestinal inflammation to IBD-BL, but also identifies vanillin and spermidine as candidate functional mediators linked to MEK/ERK inhibition. Full article
(This article belongs to the Section Natural Products)
Show Figures

Figure 1

13 pages, 1803 KB  
Article
Anti-Inflammatory Properties of Garrya flavescens: Phytochemical Profiling and Mitigation of LPS-Induced Neuroinflammation via ERK Signaling and Mitochondrial Modulation
by Hyun-Jeong Yang, Ohwook Kwon, Dalnim Kim, Ahreum Lee, Kyohee Cho, Hyeran Ihm and Ji Young Kim
Plants 2026, 15(9), 1319; https://doi.org/10.3390/plants15091319 - 25 Apr 2026
Viewed by 90
Abstract
Garrya flavescens S. Wats. (GF) has been traditionally used to treat gastrointestinal spasms, yet its bioactivity within the central nervous system remains unexplored. This study aimed to characterize the bioactive constituents of GF and evaluate its anti-inflammatory and metabolic regulatory effects in lipopolysaccharide-activated [...] Read more.
Garrya flavescens S. Wats. (GF) has been traditionally used to treat gastrointestinal spasms, yet its bioactivity within the central nervous system remains unexplored. This study aimed to characterize the bioactive constituents of GF and evaluate its anti-inflammatory and metabolic regulatory effects in lipopolysaccharide-activated microglia. Phytochemical profiling using LC-HRMS and HPLC identified rutin as a primary bioactive component, present at an exceptionally high concentration (9309 μg/g). In BV-2 microglial and RAW 264.7 cells, GF treatment significantly suppressed the expression of pro-inflammatory cytokines and mediators in a dose-dependent manner. Mechanistic studies revealed that GF specifically modulated the ERK signaling pathway. Furthermore, Seahorse XF analysis demonstrated that GF restored mitochondrial homeostasis by reducing basal respiration and proton leak while significantly enhancing spare respiratory capacity. Finally, conditioned medium from GF-treated microglia improved the viability of N2A neuronal cells. These findings highlight GF as a potent botanical source with significant neuroprotective potential, offering a promising candidate for functional food or nutraceutical applications targeting neuroinflammatory disorders. Full article
Show Figures

Graphical abstract

20 pages, 8855 KB  
Article
Synergistic Inhibition of Acinetobacter baumannii Biofilm Formation and Reduction of Lung Inflammation In Vivo by Combination of α-Pinene and Meropenem
by Shengqiang Yang, Yongqi Mu, Lin Wang and Hong Zeng
Microorganisms 2026, 14(5), 968; https://doi.org/10.3390/microorganisms14050968 (registering DOI) - 25 Apr 2026
Viewed by 160
Abstract
Acinetobacter baumannii, a prominent opportunistic pathogen in healthcare settings, causes severe infections and poses significant challenges for clinical treatment. This study investigates the synergistic effects of α-pinene combined with meropenem (MEM) on A. baumannii biofilm formation and lung injury in mice, aiming [...] Read more.
Acinetobacter baumannii, a prominent opportunistic pathogen in healthcare settings, causes severe infections and poses significant challenges for clinical treatment. This study investigates the synergistic effects of α-pinene combined with meropenem (MEM) on A. baumannii biofilm formation and lung injury in mice, aiming to develop new strategies to combat persistent infections and antibiotic resistance. α-pinene combined with MEM exhibited strong synergistic antibacterial activity against carbapenem-resistant A. baumannii (CRAB 5E9). The combination significantly inhibited biofilm formation, extracellular polymer production, surface motility, and quorum sensing. The expression of key genes such as ompA, bfmR, bap, csuAB, abaI, and abaR was reduced by up to 61%. In vivo, the treatment alleviated weight loss, decreased the bacterial load in lung tissue, and reduced lung inflammation. Furthermore, it significantly suppressed proteins involved in the inflammatory response and the MAPK pathway, including TLR4, NF-κB, NLRP3, TRAF6, ERK2, p38 MAPK, JNK, and TNF-α. The combination of α-pinene and MEM synergistically inhibits A. baumannii biofilm formation and alleviates the inflammatory response in a mouse model, offering a potential therapeutic approach for combating A. baumannii infections. Full article
(This article belongs to the Special Issue Advances in Mechanisms of Multidrug-Resistant Bacteria)
Show Figures

Figure 1

19 pages, 1661 KB  
Article
The Bioactivity of Glycyrrhizae Radix et Rhizoma Praeparata cum Melle Carbon Dots: A Preliminary Study of Their Antiallergic Effect
by Siqi Wang, Xiaohan Qu, Jinye Yuan, Jihang Zhang, Jiaxuan Zhang, Xinyu Huang, Jun Wang, Ziwen An, Yue Zhang, Hui Kong, Huihua Qu and Yan Zhao
Curr. Issues Mol. Biol. 2026, 48(5), 446; https://doi.org/10.3390/cimb48050446 (registering DOI) - 24 Apr 2026
Viewed by 70
Abstract
This study concurrently addressed the separation method for carbon dots derived from Glycyrrhizae Radix et Rhizoma Praeparata cum Melle (GRRPM) and the in vitro evaluation of their anti-allergic biological activity. Glycyrrhizae Radix et Rhizoma Praeparata cum Melle Carbon Dots (GRRPM-CDs) were prepared via [...] Read more.
This study concurrently addressed the separation method for carbon dots derived from Glycyrrhizae Radix et Rhizoma Praeparata cum Melle (GRRPM) and the in vitro evaluation of their anti-allergic biological activity. Glycyrrhizae Radix et Rhizoma Praeparata cum Melle Carbon Dots (GRRPM-CDs) were prepared via decoction followed by dialysis, and their properties were characterized using High-Performance Liquid Chromatography (HPLC) and nanomaterial techniques. Anti-allergic activity was evaluated using a C48/80-induced RBL-2H3 mast cell degranulation model. Safety and efficacy were assessed using the CCK-8 assay, direct intervention, and drug-containing serum methods. The release of β-hexosaminidase (β-hex), histamine (HIS), interleukin-4 (IL-4), and tumor necrosis factor-α (TNF-α) was measured by ELISA, and key proteins in the MAPK signaling pathway were analyzed by Western blot. GRRPM-CDs inhibited mast cell degranulation and the release of allergic and inflammatory mediators in a dose-dependent manner. They also significantly downregulated the phosphorylation levels of the JNK, ERK, and p38 proteins in the MAPK signaling pathway. GRRPM-CDs exhibit significant anti-allergic activity, likely via suppression of the MAPK pathway. These findings provide new insights into the bioactive components of processed Glycyrrhiza and suggest potential avenues for developing novel therapies for allergic diseases. Full article
23 pages, 574 KB  
Review
Molecular Determinants of Thyroid Cancer Progression: Thyroid Hormone Signaling, the BRAF/MAPK Pathway, and Emerging miRNA Biomarkers
by Marina Lasa and Constanza Contreras-Jurado
Biomedicines 2026, 14(5), 967; https://doi.org/10.3390/biomedicines14050967 - 23 Apr 2026
Viewed by 235
Abstract
Thyroid cancer is the most common malignancy of the endocrine system and represents a biologically heterogeneous disease driven by the interplay between endocrine regulation, oncogenic signaling pathways, and tumor microenvironment dynamics. Although most follicular cell-derived thyroid cancers follow an indolent clinical course, a [...] Read more.
Thyroid cancer is the most common malignancy of the endocrine system and represents a biologically heterogeneous disease driven by the interplay between endocrine regulation, oncogenic signaling pathways, and tumor microenvironment dynamics. Although most follicular cell-derived thyroid cancers follow an indolent clinical course, a subset progresses toward aggressive, therapy-refractory phenotypes, underscoring the need for refined molecular understanding and improved biomarkers. This review comprehensively examines the molecular determinants of thyroid cancer progression, with particular emphasis on Thyroid Hormone (TH) signaling, the Mitogen-Activated Protein Kinase (MAPK) and Phosphoinositide 3-Kinase (PI3K)/AKT pathways, and the emerging role of microRNAs (miRNAs). We discuss how oncogenic alterations, most notably the V600EBRAF mutation, act as central drivers of tumor initiation and aggressiveness by sustaining MAPK/ERK signaling, promoting dedifferentiation, metabolic reprogramming, immune evasion, and resistance to targeted therapies. The cooperative role of PI3K/AKT signaling in reinforcing survival, invasion, and treatment resistance is highlighted, emphasizing the network-level integration of oncogenic pathways rather than linear dependency on single drivers. In parallel, thyroid hormones exert context-dependent effects on tumor biology through both genomic actions mediated by nuclear thyroid hormone receptors and non-genomic mechanisms initiated at the integrin αvβ3 receptor, linking endocrine status to cancer progression and therapeutic response. Finally, we review the expanding evidence supporting miRNAs as critical regulators of thyroid carcinogenesis and as promising diagnostic, prognostic, and predictive biomarkers. The clinical validation of miRNA-based panels and circulating miRNAs offers new opportunities to improve preoperative risk stratification, reduce overtreatment, and guide personalized therapeutic strategies. Collectively, these insights support a multidimensional framework for understanding thyroid cancer progression and highlight future directions for precision oncology. Full article
23 pages, 6924 KB  
Review
The KISS1/KISS1R Axis in Human Placentation: Molecular Mechanisms and Implications for Foetal Growth Restriction and Pre-Eclampsia
by Elitsa Gyokova, Eleonora Hristova-Atanasova and Kamelia Dimitrova
Int. J. Mol. Sci. 2026, 27(9), 3748; https://doi.org/10.3390/ijms27093748 - 23 Apr 2026
Viewed by 130
Abstract
Pre-eclampsia and foetal growth restriction (FGR) are major pregnancy complications primarily driven by placental dysfunction, and remain leading causes of maternal and perinatal morbidity. Ultrasound imaging, Doppler studies, and angiogenic biomarkers like placental growth factor (PlGF) and soluble fms-like tyrosine kinase-1 (sFlt-1) constitute [...] Read more.
Pre-eclampsia and foetal growth restriction (FGR) are major pregnancy complications primarily driven by placental dysfunction, and remain leading causes of maternal and perinatal morbidity. Ultrasound imaging, Doppler studies, and angiogenic biomarkers like placental growth factor (PlGF) and soluble fms-like tyrosine kinase-1 (sFlt-1) constitute the main diagnostic modalities; however, these predominantly reflect established disease rather than early molecular disturbances underlying placentation. The identification of biomarkers directly associated with trophoblast signalling pathways has the potential to improve early risk stratification and enable mechanistic classifications. Kisspeptin signalling via its receptor (KISS1R) regulates trophoblast invasion, extracellular matrix remodelling, ERK1/2 activation, and angiogenic balance, thereby modulating spiral artery transformation. Kisspeptin-10 (KP-10), the minimal bioactive fragment of KISS1, is highly expressed in placental syncytiotrophoblasts and exerts its effects through the G-protein-coupled receptor KISS1R. Core features of early-onset FGR and pre-eclampsia (PE)—including defective placentation, maternal vascular malperfusion, and angiogenic imbalance—have been linked to dysregulation of this pathway. During normal gestation, maternal circulating kisspeptin concentrations rise exponentially. In contrast, pregnancies subsequently complicated by FGR or PE, particularly in the early gestation, are associated with reduced levels. However, the comparability of existing studies and their translational applicability are limited by a substantial methodological heterogeneity, including assay variability, gestational age dependence, and inadequate adjustment for maternal confounders. These limitations hinder robust conclusions regarding the role of kisspeptin in placental pathology. This review critically integrates molecular, pathophysiological, and clinical evidence relating to the role of KP-10 in placental dysfunction. The key question is whether KP-10 represents a mechanistic biomarker of trophoblast signalling dysfunction or merely a secondary marker of reduced placental mass; resolving this distinction is essential. Full article
(This article belongs to the Special Issue Molecular Insights into Placental Pathology)
Show Figures

Figure 1

17 pages, 11390 KB  
Article
Dual Oncogenic Mechanisms of Clonorchis sinensis-Derived Csi-miR-125a in Promoting Cholangiocarcinoma Progression via BAK1 Targeting and ERK Activation
by Aoxun Wu, Anyuan Xu, Linya Huang, Shu Fang, Chunyan Xu, Chenlin Huang, Xiaowen Pan, Meiyu Li, Zifeng Zhong, Yinjuan Wu and Xuerong Li
Parasitologia 2026, 6(2), 22; https://doi.org/10.3390/parasitologia6020022 - 21 Apr 2026
Viewed by 173
Abstract
Cholangiocarcinoma (CCA) is an aggressive malignancy with a poor prognosis that is strongly associated with chronic Clonorchis sinensis (C. sinensis, Cs) infection; however, its underlying molecular mechanisms remain elusive. Recent studies suggest that C. sinensis-derived extracellular vesicles (Cs [...] Read more.
Cholangiocarcinoma (CCA) is an aggressive malignancy with a poor prognosis that is strongly associated with chronic Clonorchis sinensis (C. sinensis, Cs) infection; however, its underlying molecular mechanisms remain elusive. Recent studies suggest that C. sinensis-derived extracellular vesicles (CsEVs) play a crucial role in host–parasite interactions and in shaping the tumor microenvironment during infection. Acting as key delivery vehicles, these CsEVs can transfer specific functional molecules, such as microRNAs (miRNAs), to host cholangiocytes, thereby modulating cellular behaviors—a process that may represent a significant pathway in parasite-induced carcinogenesis. Despite this, the specific miRNAs shuttled by CsEVs and their concrete functions and mechanisms in driving CCA proliferation and metastasis remain largely unexplored. To this end, we investigated Csi-miR-125a, a miRNA abundantly expressed in CsEVs, aiming to systematically elucidate its dual regulatory functions in CCA progression. Our findings offer novel mechanistic insights into host–parasite crosstalk, further the understanding of CCA pathogenesis, and point to potential therapeutic avenues. Using gain-and loss-of-function approaches in RBE and HuCCT1 cell lines, we demonstrated that Csi-miR-125a promotes cell proliferation by accelerating cell-cycle progression and suppressing apoptosis through direct targeting of BAK1. Concurrently, Csi-miR-125a enhances the migratory and invasive capacities of CCA cells via activation of the ERK signaling pathway. In a BALB/c nude mouse lung metastasis model, CsEVs depleted of Csi-miR-125a significantly inhibited pulmonary metastasis. Collectively, This study found that Csi-miR-125a derived from C. sinensis can regulate apoptosis and cell cycle progression by targeting BAK1, thereby promoting the proliferation of cholangiocarcinoma cells; meanwhile, it enhances cell migration and invasion by activating the ERK signaling pathway. These results suggest that Csi-miR-125a participates in and promotes the malignant progression of CCA. However, given its high homology with human endogenous miR-125a, its function may partially overlap with host endogenous miRNAs, rather than representing a completely independent carcinogenic effect. These findings provide mechanistic insights into host–parasite interactions during C. sinensis infection and lay a theoretical foundation for subsequent targeted intervention studies. Full article
Show Figures

Figure 1

17 pages, 5715 KB  
Article
The Effects and Molecular Mechanisms of a Peptide from Periplaneta americana L. in Skin Wound Healing
by Honghong Qiu, Yanyan Chen, Wei Zhang, Bin Dong, Dongli Zhang, Renjin Tang and Zhong Liu
Molecules 2026, 31(8), 1355; https://doi.org/10.3390/molecules31081355 - 21 Apr 2026
Viewed by 234
Abstract
Periplaneta americana extract can promote wound healing and may play an important role in skin wound healing. In this study, we identified a peptide (DL-13) from Periplaneta americana L. and explored its role and mechanisms in skin wound healing. In vitro, the effects [...] Read more.
Periplaneta americana extract can promote wound healing and may play an important role in skin wound healing. In this study, we identified a peptide (DL-13) from Periplaneta americana L. and explored its role and mechanisms in skin wound healing. In vitro, the effects of DL-13 on proliferation, migration, and related gene/protein expression in HaCaT keratinocytes were assessed via qRT-PCR and Western blot. In vivo, rat wound healing assays confirmed its efficacy. Results showed DL-13 accelerated rat wound healing. In in vitro studies, DL-13 activated EGFR and its downstream PI3K/AKT/mTOR, ERK/MAPK, and JAK2/STAT3 pathways, upregulated EMT-related proteins (N-cadherin, MMP-2, p-FAK, β-catenin), partially regulated macrophage cytokine secretion, and promoted HaCaT proliferation/migration, thereby facilitating re-epithelialization at skin injury sites. Overall, DL-13 may enhance the function of HaCaT cells by activating the EGFR signaling pathway and regulate inflammatory factors in macrophages, thereby promoting the healing of skin wounds in rats. The results of this study will lay an experimental and scientific foundation for the discovery of new compounds for wound healing and their application. Full article
Show Figures

Figure 1

Back to TopTop