Reduction of Ultrafiltration Membrane Fouling by the Pretreatment Removal of Emerging Pollutants: A Review
Abstract
1. Introduction
2. EPs and Pretreatment Processes
2.1. Environmental Risks of EPs
2.2. Removal Mechanism of EPs by Pretreatment Processes
3. Contribution of Pretreatment Scheme for EP Removal
3.1. Coagulation/Flocculation
3.2. Adsorption
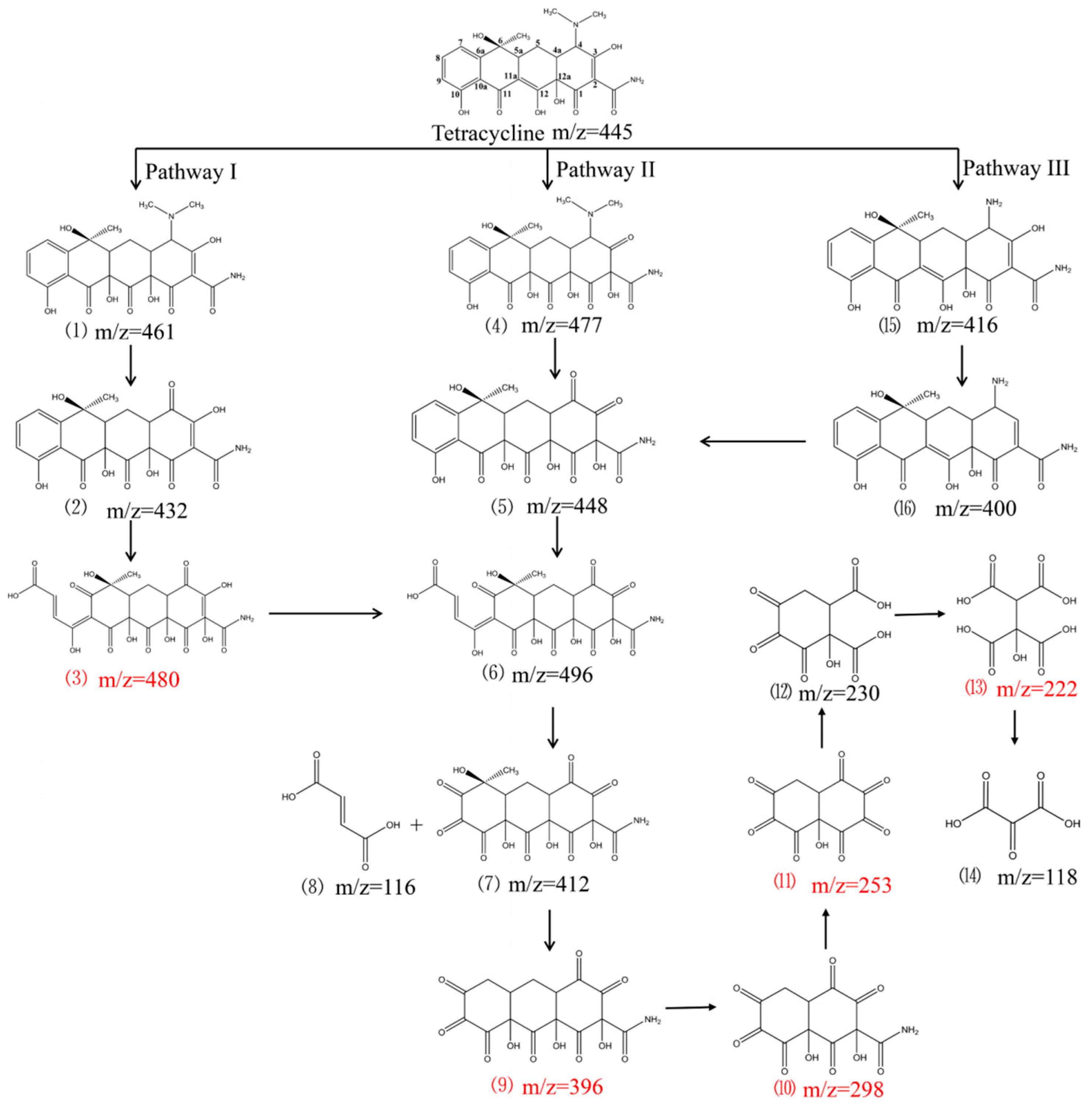
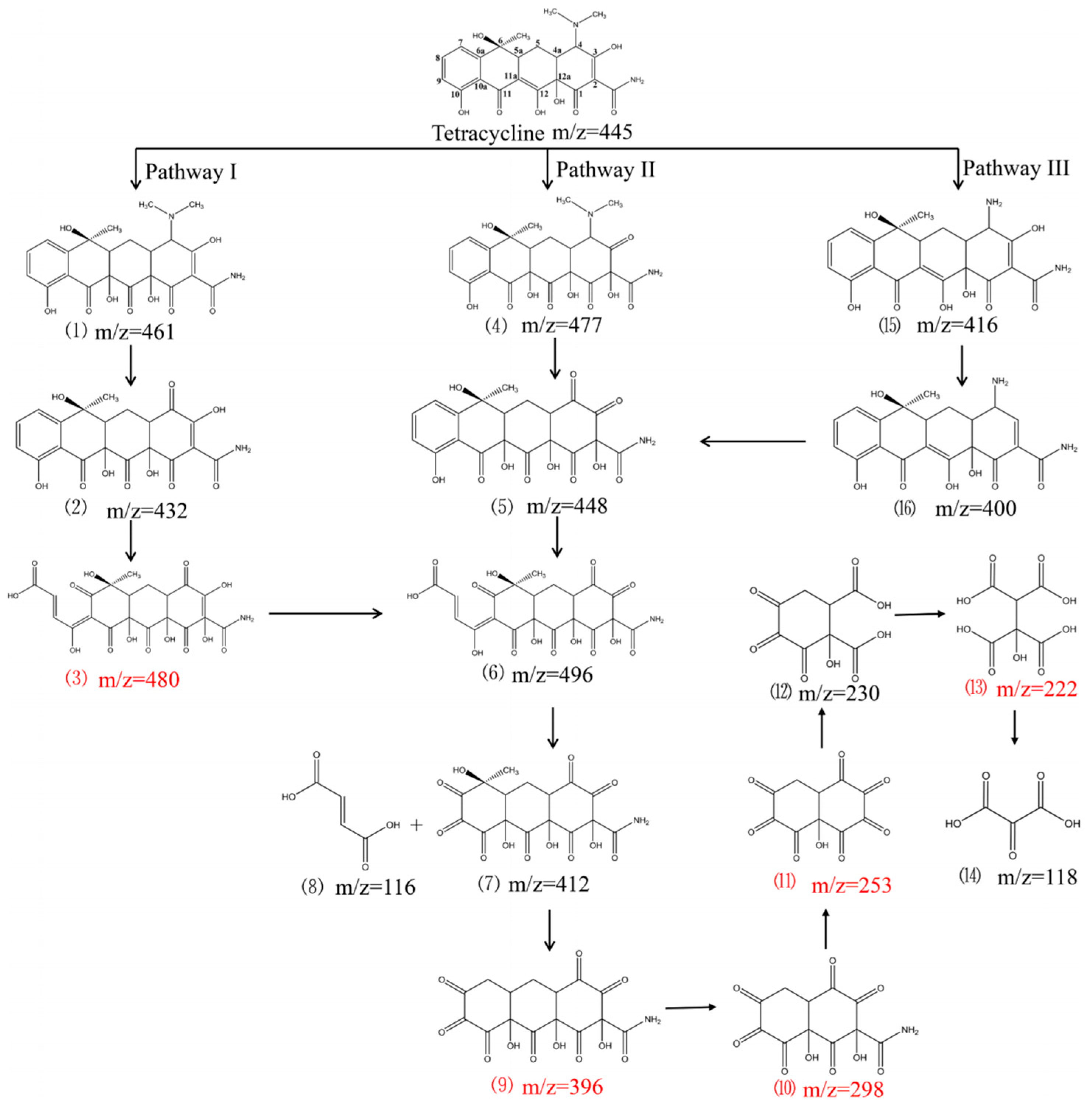
3.3. AOPs
3.4. Environmental Risk Associated with Pretreatment Processes
4. Contribution of the Pretreatment Process to the Mitigation of Membrane Pollution
4.1. Coagulation/Flocculation
4.2. Adsorption
4.3. AOPs
5. Conclusions and Expectations
Author Contributions
Funding
Institutional Review Board Statement
Informed Consent Statement
Data Availability Statement
Acknowledgments
Conflicts of Interest
References
- Guo, Y.; Yu, G. Materials innovation for global water sustainability. ACS Mater. Lett. 2022, 4, 713–714. [Google Scholar] [CrossRef]
- Eggensperger, C.G.; Giagnorio, M.; Holland, M.C.; Dobosz, K.M.; Schiffman, J.D.; Tiraferri, A.; Zodrow, K.R. Sustainable living filtration membranes. Environ. Sci. Technol. Lett. 2020, 7, 213–218. [Google Scholar] [CrossRef] [PubMed]
- Li, J.; Ren, S.; Qiu, X.; Zhao, S.; Wang, R.; Wang, Y. Electroactive ultrafiltration membrane for simultaneous removal of antibiotic, antibiotic resistant bacteria, and antibiotic resistance genes from wastewater effluent. Environ. Sci. Technol. 2022, 56, 15120–15129. [Google Scholar] [CrossRef]
- Napper, I.E.; Davies, B.F.R.; Clifford, H.; Elvin, S.; Koldewey, H.J.; Mayewski, P.A.; Miner, K.R.; Potocki, M.; Elmore, A.C.; Gajurel, A.P.; et al. Reaching new heights in plastic pollution—Preliminary findings of microplastics on mount everest. One Earth 2020, 3, 621–630. [Google Scholar] [CrossRef]
- Munari, C.; Infantini, V.; Scoponi, M.; Rastelli, E.; Corinaldesi, C.; Mistri, M. Microplastics in the sediments of Terra Nova Bay (Ross Sea, Antarctica). Mar. Pollut. Bull. 2017, 122, 161–165. [Google Scholar] [CrossRef] [PubMed]
- Wang, Y.; Yang, Y.; Liu, X.; Zhao, J.; Liu, R.; Xing, B. Interaction of microplastics with antibiotics in aquatic environment: Distribution, adsorption, and toxicity. Environ. Sci. Technol. 2021, 55, 15579–15595. [Google Scholar] [CrossRef] [PubMed]
- Deng, Y.; Zhang, Y.; Lemos, B.; Ren, H. Tissue accumulation of microplastics in mice and biomarker responses suggest widespread health risks of exposure. Sci. Rep. 2017, 7, 46687. [Google Scholar] [CrossRef] [PubMed]
- Gasperi, J.; Wright, S.L.; Dris, R.; Collard, F.; Mandin, C.; Guerrouache, M.; Langlois, V.; Kelly, F.J.; Tassin, B. Microplastics in air: Are we breathing it in? Curr. Opin. Solid State Mater. Sci. 2018, 1, 1–5. [Google Scholar] [CrossRef]
- Koelmans, A.A.; Mohamed Nor, N.H.; Hermsen, E.; Kooi, M.; Mintenig, S.M.; De France, J. Microplastics in freshwaters and drinking water: Critical review and assessment of data quality. Water Res. 2019, 155, 410–422. [Google Scholar] [CrossRef]
- Pruden, A. Antimicrobial resistance in the environment: Informing policy and practice to prevent the spread. Environ. Sci. Technol. 2022, 56, 14869–14870. [Google Scholar] [CrossRef]
- Ferreira, C.; Abreu-Silva, J.; Manaia, C.M. The balance between treatment efficiency and receptor quality determines wastewater impacts on the dissemination of antibiotic resistance. J. Hazard. Mater. 2022, 434, 128933. [Google Scholar] [CrossRef] [PubMed]
- Ali, M.; Jahan, Z.; Sher, F.; Khan Niazi, M.B.; Kakar, S.J.; Gul, S. Nano architectured cues as sustainable membranes for ultrafiltration in blood hemodialysis. Mater. Sci. Eng. C Mater. Biol. Appl. 2021, 128, 112260. [Google Scholar] [CrossRef] [PubMed]
- Liu, X.; Zhao, S.; Zhang, X.; Jia, W.; Zou, Z.; Wang, Q. Application of sodium alginate as a coagulant aid for mitigating membrane fouling induced by humic acid in dead-end ultrafiltration process. Sep. Purif. Technol. 2020, 253, 117421. [Google Scholar] [CrossRef]
- Berlot, G.; Di Bella, S.; Tomasini, A.; Roman-Pognuz, E. The effects of hemoadsorption on the kinetics of antibacterial and antifungal agents. Antibiotics 2022, 11, 180. [Google Scholar] [CrossRef]
- Ding, J.; Wang, S.; Xie, P.; Zou, Y.; Wan, Y.; Chen, Y.; Wiesner, M.R. Chemical cleaning of algae-fouled ultrafiltration (UF) membrane by sodium hypochlorite (NaClO): Characterization of membrane and formation of halogenated by-products. J. Membr. Sci. 2020, 598, 117662. [Google Scholar] [CrossRef]
- Cao, D.Q.; Wang, X.; Wang, Q.H.; Fang, X.M.; Jin, J.Y.; Hao, X.D.; Iritani, E.; Katagiri, N. Removal of heavy metal ions by ultrafiltration with recovery of extracellular polymer substances from excess sludge. J. Membr. Sci. 2020, 606, 118103. [Google Scholar] [CrossRef]
- Palika, A.; Rahimi, A.; Bolisetty, S.; Handschin, S.; Fischer, P.; Mezzenga, R. Amyloid hybrid membranes for bacterial & genetic material removal from water and their anti-biofouling properties. Nanoscale Adv. 2020, 2, 4665–4670. [Google Scholar]
- Shi, D.; Zeng, F.; Gong, T.; Li, J.; Shao, S. Iron amended gravity-driven membrane (IGDM) system for heavy-metal-containing groundwater treatment. J. Membr. Sci. 2022, 643, 120067. [Google Scholar] [CrossRef]
- Yasui, M.; Iso, H.; Torii, S.; Matsui, Y.; Katayama, H. Applicability of pepper mild mottle virus and cucumber green mottle mosaic virus as process indicators of enteric virus removal by membrane processes at a potable reuse facility. Water Res. 2021, 206, 117735. [Google Scholar] [CrossRef]
- Zhang, J.; Nguyen, M.N.; Li, Y.; Yang, C.; Schafer, A.I. Steroid hormone micropollutant removal from water with activated carbon fiber-ultrafiltration composite membranes. J. Hazard. Mater. 2020, 391, 122020. [Google Scholar] [CrossRef]
- Shen, X.; Gao, B.; Guo, K.; Yu, C.; Yue, Q. PAC-PDMDAAC pretreatment of typical natural organic matter mixtures: Ultrafiltration membrane fouling control and mechanisms. Sci. Total Environ. 2019, 694, 133816. [Google Scholar] [CrossRef] [PubMed]
- Liang, C.; Wei, D.; Zhang, S.; Ren, Q.; Shi, J.; Liu, L. Removal of antibiotic resistance genes from swine wastewater by membrane filtration treatment. Ecotoxicol. Environ. Saf. 2021, 210, 111885. [Google Scholar] [CrossRef] [PubMed]
- Xiang, Y.; Wang, H.; Su, L.; Zhang, R.; Cao, R.; Wang, L.; Lou, Z. Molecular transformation and composition flow of dissolved organic matter in four typical concentrated leachates from the multi-stage membrane system. J. Environ. Manag. 2022, 310, 114759. [Google Scholar] [CrossRef] [PubMed]
- Krzeminski, P.; Feys, E.; Anglès d’Auriac, M.; Wennberg, A.C.; Umar, M.; Schwermer, C.U.; Uhl, W. Combined membrane filtration and 265 nm UV irradiation for effective removal of cell free antibiotic resistance genes from feed water and concentrate. J. Membr. Sci. 2020, 598, 117676. [Google Scholar] [CrossRef]
- Yu, S.; Wang, J.; Zhao, Z.; Cai, W. Simultaneous coupling of fluidized granular activated carbon (GAC) and powdered activated carbon (PAC) with ultrafiltration process: A promising synergistic alternative for water treatment. Sep. Purif. Technol. 2022, 282, 120085. [Google Scholar] [CrossRef]
- Michael, S.G.; Drigo, B.; Michael-Kordatou, I.; Michael, C.; Jager, T.; Aleer, S.C.; Schwartz, T.; Donner, E.; Fatta-Kassinos, D. The effect of ultrafiltration process on the fate of antibiotic-related microcontaminants, pathogenic microbes, and toxicity in urban wastewater. J. Hazard. Mater. 2022, 435, 128943. [Google Scholar] [CrossRef] [PubMed]
- Cheng, X.; Liang, H.; Ding, A.; Tang, X.; Liu, B.; Zhu, X.; Gan, Z.; Wu, D.; Li, G. Ferrous iron/peroxymonosulfate oxidation as a pretreatment for ceramic ultrafiltration membrane: Control of natural organic matter fouling and degradation of atrazine. Water Res. 2017, 113, 32–41. [Google Scholar] [CrossRef]
- Gray, H.E.; Powell, T.; Choi, S.; Smith, D.S.; Parker, W.J. Organic phosphorus removal using an integrated advanced oxidation-ultrafiltration process. Water Res. 2020, 182, 115968. [Google Scholar] [CrossRef]
- Zhang, S.; Hedtke, T.; Zhu, Q.; Sun, M.; Weon, S.; Zhao, Y.; Stavitski, E.; Elimelech, M.; Kim, J.H. Membrane-confinediron oxychloride nanocatalysts for highly efficient heterogeneous fenton water treatment. Environ. Sci. Technol. 2021, 55, 9266–9275. [Google Scholar] [CrossRef]
- Du, X.; Yang, W.; Liu, Y.; Zhang, W.; Wang, Z.; Nie, J.; Li, G.; Liang, H. Removal of manganese, ferrous and antibiotics from groundwater simultaneously using peroxymonosulfate-assisted in-situ oxidation/coagulation integrated with ceramic membrane process. Sep. Purif. Technol. 2020, 252, 117492. [Google Scholar] [CrossRef]
- Xu, M.; Luo, Y.; Wang, X.; Zhou, L. Coagulation-ultrafiltration efficiency of polymeric Al-, Fe-, and Ti- coagulant with or without polyacrylamide composition. Sep. Purif. Technol. 2022, 280, 119957. [Google Scholar] [CrossRef]
- Guo, Y.; Liang, H.; Li, G.; Xu, D.; Yan, Z.; Chen, R.; Zhao, J.; Tang, X. A solar photo-thermochemical hybrid system using peroxydisulfate for organic matters removal and improving ultrafiltration membrane performance in surface water treatment. Water Res. 2021, 188, 116482. [Google Scholar] [CrossRef] [PubMed]
- Chen, Y.; Teng, J.; Liao, B.Q.; Li, R.; Lin, H. Molecular insights into the impacts of iron(III) ions on membrane fouling by alginate. Chemosphere 2020, 242, 125232. [Google Scholar] [CrossRef] [PubMed]
- Ólafsdóttir, D.; Wu, B. Combined alginate-humic acid fouling mechanism and mitigation during microfiltration: Effect of alginate viscosity. J. Water Process Eng. 2021, 39, 101852. [Google Scholar] [CrossRef]
- Wang, N.; Li, X.; Yang, Y.; Zhou, Z.; Shang, Y.; Zhuang, X. Photocatalysis-coagulation to control ultrafiltration membrane fouling caused by natural organic matter. J. Clean. Prod. 2020, 265, 121790. [Google Scholar] [CrossRef]
- Hashino, M.; Hirami, K.; Katagiri, T.; Kubota, N.; Ohmukai, Y.; Ishigami, T.; Maruyama, T.; Matsuyama, H. Effects of three natural organic matter types on cellulose acetate butyrate microfiltration membrane fouling. J. Membr. Sci. 2011, 379, 233–238. [Google Scholar] [CrossRef]
- Tian, L.; Zhou, P.; Su, Z.; Liu, T.; Graham, N.; Bond, T.; Yu, W. Insights into the properties of surface waters and their associated nanofiltration membrane fouling: The importance of biopolymers and high molecular weight humics. Chem. Eng. J. 2023, 45, 138682. [Google Scholar] [CrossRef]
- Zhao, C.; Song, T.; Yu, Y.; Qu, L.; Cheng, J.; Zhu, W.; Wang, Q.; Li, P.; Tang, W. Insight into the influence of humic acid and sodium alginate fractions on membrane fouling in coagulation-ultrafiltration combined system. Environ. Res. 2020, 191, 110228. [Google Scholar] [CrossRef]
- Liu, Y.; Wu, Q.; Chen, C.; Li, T.; Liu, S.; He, Q.; Yang, P.; Bai, Y.; Liu, B. An efficient system of aerogel adsorbent combined with membranes for reuse of shale gas wastewater. Desalination 2022, 526, 115545. [Google Scholar] [CrossRef]
- Chen, Y.J.; Chen, Y.; Miao, C.; Wang, Y.R.; Gao, G.K.; Yang, R.X.; Zhu, H.J.; Wang, J.H.; Li, S.L.; Lan, Y.Q. Metal–organic framework-based foams for efficient microplastics removal. J. Mater. Chem. A 2020, 8, 14644–14652. [Google Scholar] [CrossRef]
- Liu, M.; Hata, A.; Katayama, H.; Kasuga, I. Consecutive ultrafiltration and silica adsorption for recovery of extracellular antibiotic resistance genes from an urban river. Environ. Pollut. 2020, 260, 114062. [Google Scholar] [CrossRef] [PubMed]
- Yin, F.; Lin, S.; Zhou, X.; Dong, H.; Zhan, Y. Fate of antibiotics during membrane separation followed by physical-chemical treatment processes. Sci. Total Environ. 2021, 759, 143520. [Google Scholar] [CrossRef] [PubMed]
- Li, M.; Fu, L.; Zhao, M.; Liu, L.; Zhou, Y.; Yu, Y.; Wu, C. Potential for colloid removal from petrochemical secondary effluent by coagulation–flocculation coupled with persulfate process. Environ. Sci. Water Res. Technol. 2022, 8, 315–325. [Google Scholar] [CrossRef]
- Dias, M.F.; da Rocha Fernandes, G.; Cristina de Paiva, M.; Christina de Matos Salim, A.; Santos, A.B.; Amaral Nascimento, A.M. Exploring the resistome, virulome and microbiome of drinking water in environmental and clinical settings. Water Res. 2020, 174, 115630. [Google Scholar] [CrossRef] [PubMed]
- Hiller, C.X.; Schwaller, C.; Wurzbacher, C.; Drewes, J.E. Removal of antibiotic microbial resistance by micro- and ultrafiltration of secondary wastewater effluents at pilot scale. Sci. Total Environ. 2022, 838, 156052. [Google Scholar] [CrossRef]
- Marko, A.; Denysenkov, V.; Margraf, D.; Cekan, P.; Schiemann, O.; Sigurdsson, S.T.; Prisner, T.F. Conformational flexibility of DNA. J. Am. Chem. Soc. 2011, 133, 13375–13379. [Google Scholar] [CrossRef]
- Liu, H.; Li, Z.; Qiang, Z.; Karanfil, T.; Yang, M.; Liu, C. The elimination of cell-associated and non-cell-associated antibiotic resistance genes during membrane filtration processes: A review. Sci. Total Environ. 2022, 833, 155250. [Google Scholar] [CrossRef]
- Bortot Coelho, F.E.; Deemter, D.; Candelario, V.M.; Boffa, V.; Malato, S.; Magnacca, G. Development of a photocatalytic zirconia-titania ultrafiltration membrane with anti-fouling and self-cleaning properties. J. Environ. Chem. Eng. 2021, 9, 106671. [Google Scholar] [CrossRef]
- Riquelme Breazeal, M.V.; Novak, J.T.; Vikesland, P.J.; Pruden, A. Effect of wastewater colloids on membrane removal of antibiotic resistance genes. Water Res. 2013, 47, 130–140. [Google Scholar] [CrossRef]
- Liu, G.; Zhu, Z.; Yang, Y.; Sun, Y.; Yu, F.; Ma, J. Sorption behavior and mechanism of hydrophilic organic chemicals to virgin and aged microplastics in freshwater and seawater. Environ. Pollut. 2019, 246, 26–33. [Google Scholar] [CrossRef]
- Mohana, A.A.; Rahman, M.; Sarker, S.K.; Haque, N.; Gao, L.; Pramanik, B.K. Nano/microplastics: Fragmentation, interaction with co-existing pollutants and their removal from wastewater using membrane processes. Chemosphere 2022, 309, 136682. [Google Scholar] [CrossRef]
- Zhang, Z.; Su, Y.; Zhu, J.; Shi, J.; Huang, H.; Xie, B. Distribution and removal characteristics of microplastics in different processes of the leachate treatment system. Waste Manag. 2021, 120, 240–247. [Google Scholar] [CrossRef]
- Enfrin, M.; Lee, J.; Le-Clech, P.; Dumée, L.F. Kinetic and mechanistic aspects of ultrafiltration membrane fouling by nano- and microplastics. J. Membr. Sci. 2020, 601, 117890. [Google Scholar] [CrossRef]
- Sun, F.; Xu, Y.; Li, M.; Zhang, Y.; Wang, Y.; Zhang, Y.; Zhang, D. Membrane cleaning of ultrafiltration in the combined membrane filtration processes and health risk assessment. J. Water Process Eng. 2020, 38, 101584. [Google Scholar] [CrossRef]
- Mondal, S.; Kumar Majumder, S. Fabrication of the polysulfone-based composite ultrafiltration membranes for the adsorptive removal of heavy metal ions from their contaminated aqueous solutions. Chem. Eng. J. 2020, 401, 126036. [Google Scholar] [CrossRef]
- Yang, B.; Gu, K.; Wang, S.; Yi, Z.; Zhou, Y.; Gao, C. Chitosan nanofiltration membranes with gradient cross-linking and improved mechanical performance for the removal of divalent salts and heavy metal ions. Desalination 2021, 516, 115200. [Google Scholar] [CrossRef]
- Gu, K.; Pang, S.; Yang, B.; Ji, Y.; Zhou, Y.; Gao, C. Polyethyleneimine/4,4′-Bis(chloromethyl) -1,1′-biphenyl nanofiltration membrane for metal ions removal in acid wastewater. J. Membr. Sci. 2020, 614, 118497. [Google Scholar] [CrossRef]
- Yang, B.; Wen, Q.; Chen, Z.; Tang, Y. Potassium ferrate combined with ultrafiltration for treating secondary effluent: Efficient removal of antibiotic resistance genes and membrane fouling alleviation. Water Res. 2022, 217, 118374. [Google Scholar] [CrossRef]
- Trevisan, R.; Uzochukwu, D.; Di Giulio, R.T. Pah sorption to nanoplastics and the trojan horse effect as drivers of mitochondrial toxicity and pah localization in zebrafish. Front. Environ. Sci. 2020, 8, 78. [Google Scholar] [CrossRef]
- Wang, R.; Ji, M.; Zhai, H.; Liu, Y. Occurrence of phthalate esters and microplastics in urban secondary effluents, receiving water bodies and reclaimed water treatment processes. Sci. Total Environ. 2020, 737, 140219. [Google Scholar] [CrossRef]
- Li, X.; Mei, Q.; Chen, L.; Zhang, H.; Dong, B.; Dai, X.; He, C.; Zhou, J. Enhancement in adsorption potential of microplastics in sewage sludge for metal pollutants after the wastewater treatment process. Water Res. 2019, 157, 228–237. [Google Scholar] [CrossRef] [PubMed]
- Rehm, S.; Rentsch, K.M. LC-MS/MS method for nine different antibiotics. Clin. Chim. Acta 2020, 511, 360–367. [Google Scholar] [CrossRef] [PubMed]
- Zhao, W.; You, J.; Yin, S.; Yang, H.; He, S.; Feng, L.; Li, J.; Zhao, Q.; Wei, L. Extracellular polymeric substances—Antibiotics interaction in activated sludge: A review. Environ. Sci. Ecotechnol. 2023, 13, 100212. [Google Scholar] [CrossRef]
- Oberoi, A.S.; Jia, Y.; Zhang, H.; Khanal, S.K.; Lu, H. Insights into the fate and removal of antibiotics in engineered biological treatment systems: A critical review. Environ. Sci. Technol. 2019, 53, 7234–7264. [Google Scholar] [CrossRef] [PubMed]
- Li, L.; Mao, Y.; Dong, H.; Wang, Y.; Xu, L.; Liu, S.; Xu, Q.; Qiang, Z.; Ji, F. The ultrafiltration process enhances antibiotic removal in the full-scale advanced treatment of drinking water. Engineering, 2022; in press. [Google Scholar] [CrossRef]
- Kang, M.; Yang, J.; Kim, S.; Park, J.; Kim, M.; Park, W. Occurrence of antibiotic resistance genes and multidrug-resistant bacteria during wastewater treatment processes. Sci. Total Environ. 2022, 811, 152331. [Google Scholar] [CrossRef]
- Shi, L.; Zhang, J.; Lu, T.; Zhang, K. Metagenomics revealed the mobility and hosts of antibiotic resistance genes in typical pesticide wastewater treatment plants. Sci. Total Environ. 2022, 817, 153033. [Google Scholar] [CrossRef]
- Babel, S.; Takizawa, S. Chemical pretreatment for reduction of membrane fouling caused by algae. Desalination 2011, 274, 171–176. [Google Scholar] [CrossRef]
- Liang, H.; Huang, X.; Wang, H.; Xu, W.; Shi, B. The role of extracellular organic matter on the cyanobacteria ultrafiltration process. J. Environ. Sci. 2021, 110, 12–20. [Google Scholar] [CrossRef]
- Feng, G.; Jia, R.; Sun, S.; Wang, M.; Zhao, Q.; Xin, X.; Liu, L. Occurrence and removal of 10 odorous compounds in drinking water by different treatment processes. Environ. Sci. Pollut. Res. 2020, 27, 18924–18933. [Google Scholar] [CrossRef]
- Anwar, N.; Rahaman, M.S. Membrane desalination processes for water recovery from pre-treated brewery wastewater: Performance and fouling. Sep. Purif. Technol. 2020, 252, 117420. [Google Scholar] [CrossRef]
- Alpatova, A.; Qamar, A.; Al-Ghamdi, M.; Lee, J.; Ghaffour, N. Effective membrane backwash with carbon dioxide under severe fouling and operation conditions. J. Membr. Sci. 2020, 611, 118290. [Google Scholar] [CrossRef]
- Real, F.J.; Benitez, F.J.; Acero, J.L.; Casas, F. Adsorption of selected emerging contaminants onto PAC and GAC: Equilibrium isotherms, kinetics, and effect of the water matrix. J. Enviro. Sci. Health A Tox. Hazard. Subst. Environ. Eng. 2017, 52, 727–734. [Google Scholar] [CrossRef] [PubMed]
- Shao, S.; Cai, L.; Li, K.; Li, J.; Du, X.; Li, G.; Liang, H. Deposition of powdered activated carbon (PAC) on ultrafiltration (UF) membrane surface: Influencing factors and mechanisms. J. Membr. Sci. 2017, 530, 104–111. [Google Scholar] [CrossRef]
- Tian, J.; Wu, C.; Yu, H.; Gao, S.; Li, G.; Cui, F.; Qu, F. Applying ultraviolet/persulfate (UV/PS) pre-oxidation for controlling ultrafiltration membrane fouling by natural organic matter (NOM) in surface water. Water Res. 2018, 132, 190–199. [Google Scholar] [CrossRef] [PubMed]
- Xiang, J.; Wang, Y.; Yang, L.; Zhang, X.; Hong, Y.; Shen, L. A novel hydrogel based on Bletilla striata polysaccharide for rapid hemostasis: Synthesis, characterization and evaluation. Int. J. Biol. Macromol. 2022, 196, 1–12. [Google Scholar] [CrossRef] [PubMed]
- Xie, J.; Liao, Z.; Zhang, M.; Ni, L.; Qi, J.; Wang, C.; Sun, X.; Wang, L.; Wang, S.; Li, J. Sequential ultrafiltration-catalysis membrane for excellent removal of multiple pollutants in water. Environ. Sci. Technol. 2021, 55, 2652–2661. [Google Scholar] [CrossRef]
- Ding, Y.; Li, T.; Qiu, K.; Ma, B.; Wu, R. Membrane fouling performance of Fe-based coagulation-ultrafiltration process: Effect of sedimentation time. Environ. Res. 2021, 195, 110756. [Google Scholar] [CrossRef]
- Chang, X.; Lin, T.; Chen, W.; Xu, H.; Tao, H.; Wu, Y.; Zhang, Q.; Yao, S. A new perspective of membrane fouling control by ultraviolet synergic ferrous iron catalytic persulfate (UV/Fe(II)/PS) as pretreatment prior to ultrafiltration. Sci. Total Environ. 2020, 737, 139711. [Google Scholar] [CrossRef]
- Mousel, D.; Bastian, D.; Firk, J.; Palmowski, L.; Pinnekamp, J. Removal of pharmaceuticals from wastewater of health care facilities. Sci. Total Environ. 2021, 751, 141310. [Google Scholar] [CrossRef]
- Lumbaque, E.C.; Ludtke, D.S.; Dionysiou, D.D.; Vilar, V.J.P.; Sirtori, C. Tube-in-tube membrane photoreactor as a new technology to boost sulfate radical advanced oxidation processes. Water Res. 2021, 191, 116815. [Google Scholar] [CrossRef]
- Liu, P.; Qian, L.; Wang, H.; Zhan, X.; Lu, K.; Gu, C.; Gao, S. New insights into the aging behavior of microplastics accelerated by advanced oxidation processes. Environ. Sci. Technol. 2019, 53, 3579–3588. [Google Scholar] [CrossRef] [PubMed]
- Luo, H.; Zeng, Y.; Zhao, Y.; Xiang, Y.; Li, Y.; Pan, X. Effects of advanced oxidation processes on leachates and properties of microplastics. J. Hazard. Mater. 2021, 413, 125342. [Google Scholar] [CrossRef]
- Shen, M.; Song, B.; Zhou, C.; Hu, T.; Zeng, G.; Zhang, Y. Advanced oxidation processes for the elimination of microplastics from aqueous systems: Assessment of efficiency, perspectives and limitations. Sci. Total Environ. 2022, 842, 156723. [Google Scholar] [CrossRef] [PubMed]
- Lu, J.; Hou, R.; Wang, Y.; Zhou, L.; Yuan, Y. Surfactant-sodium dodecyl sulfate enhanced degradation of polystyrene microplastics with an energy-saving electrochemical advanced oxidation process (EAOP) strategy. Water Res. 2022, 226, 119277. [Google Scholar] [CrossRef] [PubMed]
- Ni, B.-J.; Zhu, Z.-R.; Li, W.-H.; Yan, X.; Wei, W.; Xu, Q.; Xia, Z.; Dai, X.; Sun, J. Microplastics mitigation in sewage sludge through pyrolysis: The role of pyrolysis temperature. Environ. Sci. Technol. Lett. 2020, 7, 961–967. [Google Scholar] [CrossRef]
- Lessa Belone, M.C.; Kokko, M.; Sarlin, E. Degradation of common polymers in sewage sludge purification process developed for microplastic analysis. Environ. Pollut. 2021, 269, 116235. [Google Scholar] [CrossRef]
- Xu, Z.; Bai, X. Microplastic degradation in sewage sludge by hydrothermal carbonization: Efficiency and mechanisms. Chemosphere 2022, 297, 134203. [Google Scholar] [CrossRef] [PubMed]
- Li, X.; Wang, X.; Chen, L.; Huang, X.; Pan, F.; Liu, L.; Dong, B.; Liu, H.; Li, H.; Dai, X.; et al. Changes in physicochemical and leachate characteristics of microplastics during hydrothermal treatment of sewage sludge. Water Res. 2022, 222, 118876. [Google Scholar] [CrossRef]
- Dalmau-Soler, J.; Ballesteros-Cano, R.; Boleda, M.R.; Paraira, M.; Ferrer, N.; Lacorte, S. Microplastics from headwaters to tap water: Occurrence and removal in a drinking water treatment plant in Barcelona Metropolitan area (Catalonia, NE Spain). Environ. Sci. Pollut. Res. 2021, 28, 59462–59472. [Google Scholar] [CrossRef] [PubMed]
- Pramanik, B.K.; Pramanik, S.K.; Monira, S. Understanding the fragmentation of microplastics into nano-plastics and removal of nano/microplastics from wastewater using membrane, air flotation and nano-ferrofluid processes. Chemosphere 2021, 282, 131053. [Google Scholar] [CrossRef] [PubMed]
- Enfrin, M.; Hachemi, C.; Callahan, D.L.; Lee, J.; Dumée, L.F. Membrane fouling by nanofibres and organic contaminants—Mechanisms and mitigation via periodic cleaning strategies. Sep. Purif. Technol. 2021, 278, 119592. [Google Scholar] [CrossRef]
- Enfrin, M.; Wang, J.; Merenda, A.; Dumée, L.F.; Lee, J. Mitigation of membrane fouling by nano/microplastics via surface chemistry control. J. Membr. Sci. 2021, 633, 119379. [Google Scholar] [CrossRef]
- Tadsuwan, K.; Babel, S. Unraveling microplastics removal in wastewater treatment plant: A comparative study of two wastewater treatment plants in Thailand. Chemosphere 2022, 307, 135733. [Google Scholar] [CrossRef] [PubMed]
- Xiong, X.; Bond, T.; Saboor Siddique, M.; Yu, W. The stimulation of microbial activity by microplastic contributes to membrane fouling in ultrafiltration. J. Membr. Sci. 2021, 635, 119477. [Google Scholar] [CrossRef]
- Fan, J.; Lin, T.; Chen, W.; Xu, H.; Tao, H. Control of ultrafiltration membrane fouling during the recycling of sludge water based on Fe(II)-activated peroxymonosulfate pretreatment. Chemosphere 2020, 246, 125840. [Google Scholar] [CrossRef] [PubMed]
- Han, Y.; Jiang, B.; Zhang, C.; Zhang, L.; Zhang, L.; Sun, Y.; Yang, N. Co@N-C nanocatalysts anchored in confined membrane pores for instantaneous pollutants degradation and antifouling via peroxymonosulfate activation. J. Water Process Eng. 2022, 47, 102639. [Google Scholar] [CrossRef]
- Esfahani, A.R.; Zhai, L.; Sadmani, A.H.M.A. Removing heavy metals from landfill leachate using electrospun polyelectrolyte fiber mat-laminated ultrafiltration membrane. J. Environ. Chem. Eng. 2021, 9, 105355. [Google Scholar] [CrossRef]
- Li, B.; Ma, J.; Qiu, W.; Li, W.; Zhang, B.; Ding, A.; He, X. In-situ utilization of membrane foulants (FeO(x)+MnO(x)) for the efficient membrane cleaning. Water Res. 2022, 210, 118004. [Google Scholar] [CrossRef]
- Yang, Z.; Hou, T.; Ma, J.; Yuan, B.; Tian, Z.; Yang, W.; Graham, N.J.D. Role of moderately hydrophobic chitosan flocculants in the removal of trace antibiotics from water and membrane fouling control. Water Res. 2020, 177, 115775. [Google Scholar] [CrossRef]
- Lin, Y.C.; Zhuang, G.L.; Tasi, P.F.; Tseng, H.H. Removal of protein, histological dye and tetracycline from simulated bioindustrial wastewater with a dual pore size PPSU membrane. J. Hazard. Mater. 2022, 431, 128525. [Google Scholar] [CrossRef]
- Ma, D.; Ye, X.; Li, Z.; Zhou, J.; Zhong, D.; Zhang, C.; Xiong, S.; Xia, J.; Wang, Y. A facile process to prepare fouling-resistant ultrafiltration membranes: Spray coating of water-containing block copolymer solutions on macroporous substrates. Sep. Purif. Technol. 2021, 259, 118100. [Google Scholar] [CrossRef]
- Zhao, Y.M.; Sun, M.; Cheng, L.; Wang, K.Y.; Liu, Y.; Zhu, J.Y.; Zhang, S.; Wang, C. Efficient removal of Ba(2+), Co(2+) and Ni(2+) by an ethylammonium-templated indium sulfide ion exchanger. J. Hazard. Mater. 2022, 425, 128007. [Google Scholar] [CrossRef] [PubMed]
- Wang, W.; Yue, Q.; Guo, K.; Bu, F.; Shen, X.; Gao, B. Application of Al species in coagulation/ ultrafiltration process: Influence of cake layer on membrane fouling. J. Membr. Sci. 2019, 572, 161–170. [Google Scholar] [CrossRef]
- Shen, X.; Gao, B.; Guo, K.; Yue, Q. Characterization and influence of floc under different coagulation systems on ultrafiltration membrane fouling. Chemosphere 2020, 238, 124659. [Google Scholar] [CrossRef]
- Zhang, Y.; Huang, M.; Wang, Q.; Zhang, X.; Peng, J.; Zhang, Y.; Wu, Q.; Duan, J.; Mao, X.; Tang, Z.; et al. Insights into the penetration of PhACs in TCM during ultrafiltration: Effects of fouling mechanisms and intermolecular interactions. Sep. Purif. Technol. 2022, 295, 121205. [Google Scholar] [CrossRef]
- Tomczak, W.; Gryta, M. Application of ultrafiltration ceramic membrane for separation of oily wastewater generated by maritime transportation. Sep. Purif. Technol. 2021, 261, 118259. [Google Scholar] [CrossRef]
- Miao, R.; Ma, B.; Li, P.; Wang, P.; Wang, L.; Li, X.Y. Mitigation mechanism of ozonation in the casein fouling of ultrafiltration membranes: Possible application in dairy wastewater treatment. J. Membr. Sci. 2021, 629, 119307. [Google Scholar] [CrossRef]
- Feng, C.L.; Liu, C.; Yu, M.Y.; Chen, S.Q.; Mehmood, T. Removal performance and mechanism of the dissolved manganese in groundwater using ultrafiltration coupled with HA complexation. J. Environ. Chem. Eng. 2022, 10, 108931. [Google Scholar] [CrossRef]
- Huang, W.; Lv, W.; Zhou, W.; Hu, M.; Dong, B. Investigation of the fouling behaviors correlating to water characteristics during the ultrafiltration with ozone treatment. Sci. Total Environ. 2019, 676, 53–61. [Google Scholar] [CrossRef]
- Xing, J.; Du, L.; Quan, X.; Luo, X.; Snyder, S.A.; Liang, H. Combining chlor(am)ine-UV oxidation to ultrafiltration for potable water reuse: Promoted efficiency, membrane fouling control and mechanism. J. Membr. Sci. 2021, 635, 119511. [Google Scholar] [CrossRef]
- Zhang, D.; Zhang, K.; Chen, K.; Xue, Y.; Liang, J.; Cai, Y. Mitigation of organic fouling of ultrafiltration membrane by high-temperature crayfish shell biochar: Performance and mechanisms. Sci. Total Environ. 2022, 820, 153183. [Google Scholar] [CrossRef]
- Abd-Razak, N.H.; Pihlajamäki, A.; Virtanen, T.; John Chew, Y.M.; Bird, M.R. The influence of membrane charge and porosity upon fouling and cleaning during the ultrafiltration of orange juice. Food Bioprod. Process. 2021, 126, 184–194. [Google Scholar] [CrossRef]
- Liu, Y.; Zhao, L.; Yin, W.; Wang, Y.; Zhang, F.; Xing, L.; Zhou, Z. Effect of filter depth of biological activated carbon on fouling control of ultrafiltration: Performance and mechanism. J. Water Process Eng. 2020, 38, 101620. [Google Scholar] [CrossRef]
- Vroman, T.; Beaume, F.; Armanges, V.; Gout, E.; Remigy, J.-C. Critical backwash flux for high backwash efficiency: Case of ultrafiltration of bentonite suspensions. J. Membr. Sci. 2021, 620, 118836. [Google Scholar] [CrossRef]
- Yan, M.; Shen, X.; Gao, B.; Guo, K.; Yue, Q. Coagulation-ultrafiltration integrated process for membrane fouling control: Influence of Al species and SUVA values of water. Sci. Total Environ. 2021, 793, 148517. [Google Scholar] [CrossRef]
- Yang, Z.; Yu, H.; Wei, G.; Ye, L.; Fan, G.; Fang, Q.; Rong, H.; Qu, F. Oxidation-enhanced ferric coagulation for alleviating ultrafiltration membrane fouling by algal organic matter: A comparison of moderate and strong oxidation. Algal Res. 2022, 63, 102652. [Google Scholar] [CrossRef]
- Chen, M.; Nan, J.; Ji, X.; Wu, F.; Ye, X.; Ge, Z. Effect of adsorption and coagulation pretreatment sequence on ultrafiltration membrane fouling: Process study and targeted prediction. Desalination 2022, 540, 115967. [Google Scholar] [CrossRef]
- Miao, R.; Yang, Z.; Feng, Y.; Wang, P.; Li, P.; Wang, L.; Li, X.Y. Mechanism of pre-ozonation in control of protein fouling of ultrafiltration membranes: Synergistic effect between ozone oxidation and aeration. J. Water Process Eng. 2021, 41, 102038. [Google Scholar] [CrossRef]
- Zhao, Y.; Zhao, Y.; Yu, X.; Kong, D.; Fan, X.; Wang, R.; Luo, S.; Lu, D.; Nan, J.; Ma, J. Peracetic acid integrated catalytic ceramic membrane filtration for enhanced membrane fouling control: Performance evaluation and mechanism analysis. Water Res. 2022, 220, 118710. [Google Scholar] [CrossRef] [PubMed]
- Wu, S.; Hua, X.; Miao, R.; Ma, B.; Hu, C.; Liu, H.; Qu, J. Influence of floc charge and related distribution mechanisms of humic substances on ultrafiltration membrane behavior. J. Membr. Sci. 2020, 609, 118260. [Google Scholar] [CrossRef]
- Zhao, Y.; Lu, D.; Xu, C.; Zhong, J.; Chen, M.; Xu, S.; Cao, Y.; Zhao, Q.; Yang, M.; Ma, J. Synergistic oxidation—Filtration process analysis of catalytic CuFe2O4—Tailored ceramic membrane filtration via peroxymonosulfate activation for humic acid treatment. Water Res. 2020, 171, 115387. [Google Scholar] [CrossRef] [PubMed]
- Ren, L.F.; Lin, Y.; Song, H.; Sun, H.; Shao, J. Efficient removal of antimony from aqueous solution by sustainable polymer assisted ultrafiltration process. Sep. Purif. Technol. 2021, 263, 118418. [Google Scholar] [CrossRef]
- Miao, R.; Feng, Y.; Wang, Y.; Wang, P.; Li, P.; Li, X.; Wang, L. Exploring the influence mechanism of ozonation on protein fouling of ultrafiltration membranes as a result of the interfacial interaction of foulants at the membrane surface. Sci. Total Environ. 2021, 785, 147340. [Google Scholar] [CrossRef] [PubMed]
- Kang, D.; Shao, H.; Chen, G.; Dong, X.; Qin, S. Microstructure manipulation in PVDF/styrene-maleic anhydride copolymer composite membranes: Effects of miscibility on the phase separation. Sep. Purif. Technol. 2021, 263, 118371. [Google Scholar] [CrossRef]
- Kimura, K.; Kume, K. Irreversible fouling in hollow-fiber PVDF MF/UF membranes filtering surface water: Effects of precoagulation and identification of the foulant. J. Membr. Sci. 2020, 602, 117975. [Google Scholar] [CrossRef]
- Zhang, X.; Graham, N.; Xu, L.; Yu, W.; Gregory, J. The influence of small organic molecules on coagulation from the perspective of hydrolysis competition and crystallization. Environ. Sci. Technol. 2021, 55, 7456–7465. [Google Scholar] [CrossRef]
- Zhang, Y.; Zhang, J.; Shen, X.; Liu, X.; Yang, W.; Zhao, S. Enhanced coagulation treatment of surface water benefits from Enteromorpha prolifera. J. Environ. Chem. Eng. 2022, 10, 107227. [Google Scholar] [CrossRef]
- Zou, Z.; Gu, Y.; Yang, W.; Liu, M.; Han, J.; Zhao, S. A modified coagulation-ultrafiltration process for silver nanoparticles removal and membrane fouling mitigation: The role of laminarin. Int. J. Biol. Macromol. 2021, 172, 241–249. [Google Scholar] [CrossRef]
- Cui, W.; Li, S.; Xie, M.; Chen, Q.; Li, G.; Luo, W. Performance of coagulant-aided biomass filtration to protect ultrafiltration from membrane fouling in biogas slurry concentration. Environ. Technol. Innov. 2022, 28, 102659. [Google Scholar] [CrossRef]
- Lu, S.; Liu, L.; Yang, Q.; Demissie, H.; Jiao, R.; An, G.; Wang, D. Removal characteristics and mechanism of microplastics and tetracycline composite pollutants by coagulation process. Sci. Total Environ. 2021, 786, 147508. [Google Scholar] [CrossRef]
- Skaf, D.W.; Punzi, V.L.; Rolle, J.T.; Kleinberg, K.A. Removal of micron-sized microplastic particles from simulated drinking water via alum coagulation. Chem. Eng. J. 2020, 386, 123807. [Google Scholar] [CrossRef]
- Zhou, Z.; Shen, Z.; Cheng, Z.; Zhang, G.; Li, M.; Li, Y.; Zhan, S.; Crittenden, J.C. Mechanistic insights for efficient inactivation of antibiotic resistance genes: A synergistic interfacial adsorption and photocatalytic-oxidation process. Sci. Bull. 2020, 65, 2107–2119. [Google Scholar] [CrossRef]
- Yang, Z.; Degorce-Dumas, J.R.; Yang, H.; Guibal, E.; Li, A.; Cheng, R. Flocculation of Escherichia coli using a quaternary ammonium salt grafted carboxymethyl chitosan flocculant. Environ. Sci. Technol. 2014, 48, 6867–6873. [Google Scholar] [CrossRef]
- Xie, A.G.; Cai, X.; Lin, M.-S.; Wu, T.; Zhang, X.-J.; Lin, Z.-D.; Tan, S. Long-acting antibacterial activity of quaternary phosphonium salts functionalized few-layered graphite. Mater. Sci. Eng. B 2011, 176, 1222–1226. [Google Scholar] [CrossRef]
- Cuthbert, T.J.; Hisey, B.; Harrison, T.D.; Trant, J.F.; Gillies, E.R.; Ragogna, P.J. Surprising antibacterial activity and selectivity of hydrophilic polyphosphoniums featuring sugar and hydroxy substituents. Angew. Chem. Int. Ed. 2018, 57, 12707–12710. [Google Scholar] [CrossRef] [PubMed]
- Loczenski Rose, V.; Mastrotto, F.; Mantovani, G. Phosphonium polymers for gene delivery. Polym. Chem. 2017, 8, 353–360. [Google Scholar] [CrossRef]
- Wang, Y.; Hou, T.; Yang, Z.; Zhao, L.; Wu, W.; Yang, W.; Graham, N.J.D. Nitrogen-free cationic starch flocculants: Flocculation performance, antibacterial ability, and UF membrane fouling control. ACS Appl. Bio Mater. 2020, 3, 2910–2919. [Google Scholar] [CrossRef]
- Elsherbiny, A.S.; El-Hefnawy, M.E.; Gemeay, A.H. Linker impact on the adsorption capacity of polyaspartate/montmorillonite composites towards methyl blue removal. Chem. Eng. J. 2017, 315, 142–151. [Google Scholar] [CrossRef]
- Li, J.; Wang, B.; Chen, Z.; Ma, B.; Chen, J.P. Ultrafiltration membrane fouling by microplastics with raw water: Behaviors and alleviation methods. Chem. Eng. J. 2021, 410, 128174. [Google Scholar] [CrossRef]
- Long, Y.; You, X.; Chen, Y.; Hong, H.; Liao, B.Q.; Lin, H. Filtration behaviors and fouling mechanisms of ultrafiltration process with polyacrylamide flocculation for water treatment. Sci. Total Environ. 2020, 703, 135540. [Google Scholar] [CrossRef]
- Wu, S.; Hua, X.; Ma, B.; Fan, H.; Miao, R.; Ulbricht, M.; Hu, C.; Qu, J. Three-dimensional analysis of the natural-organic-matter distribution in the cake layer to precisely reveal ultrafiltration fouling mechanisms. Environ. Sci. Technol. 2021, 55, 5442–5452. [Google Scholar] [CrossRef] [PubMed]
- Zambianchi, M.; Khaliha, S.; Bianchi, A.; Tunioli, F.; Kovtun, A.; Navacchia, M.L.; Salatino, A.; Xia, Z.; Briñas, E.; Vázquez, E.; et al. Graphene oxide-polysulfone hollow fibers membranes with synergic ultrafiltration and adsorption for enhanced drinking water treatment. J. Membr. Sci. 2022, 658, 120707. [Google Scholar] [CrossRef]
- Khaliha, S.; Marforio, T.D.; Kovtun, A.; Mantovani, S.; Bianchi, A.; Luisa Navacchia, M.; Zambianchi, M.; Bocchi, L.; Boulanger, N.; Iakunkov, A.; et al. Defective graphene nanosheets for drinking water purification: Adsorption mechanism, performance, and recovery. FlatChem 2021, 29, 100283. [Google Scholar] [CrossRef]
- Deniere, E.; Van Langenhove, H.; Van Hulle, S.; Demeestere, K. The ozone-activated peroxymonosulfate process for the removal of a mixture of TrOCs with different ozone reactivity at environmentally relevant conditions: Technical performance, radical exposure and online monitoring by spectral surrogate parameters. Chem. Eng. J. 2023, 454, 140128. [Google Scholar] [CrossRef]
- Song, Y.; Xiao, M.; Li, Z.; Luo, Y.; Zhang, K.; Du, X.; Zhang, T.; Wang, Z.; Liang, H. Degradation of antibiotics, organic matters and ammonia during secondary wastewater treatment using boron-doped diamond electro-oxidation combined with ceramic ultrafiltration. Chemosphere 2022, 286 Pt 2, 131680. [Google Scholar] [CrossRef]
- Song, W.; Li, N.; Ding, S.; Wang, X.; Li, H.; Zhang, Y.; Feng, X.; Lu, J.; Ding, J. Nanofiltration desalination of reverse osmosis concentrate pretreated by advanced oxidation with ultrafiltration: Response surface optimization and exploration of membrane fouling. J. Environ. Chem. Eng. 2021, 9, 106340. [Google Scholar] [CrossRef]
- Zhou, S.; Zhu, J.; Wang, Z.; Yang, Z.; Yang, W.; Yin, Z. Defective MOFs-based electrocatalytic self-cleaning membrane for wastewater reclamation: Enhanced antibiotics removal, membrane fouling control and mechanisms. Water Res. 2022, 220, 118635. [Google Scholar] [CrossRef]
- Wu, Y.H.; Chen, Z.; Li, X.; Wang, Y.H.; Liu, B.; Chen, G.Q.; Luo, L.W.; Wang, H.B.; Tong, X.; Bai, Y.; et al. Effect of ultraviolet disinfection on the fouling of reverse osmosis membranes for municipal wastewater reclamation. Water Res. 2021, 195, 116995. [Google Scholar] [CrossRef]
- Guan, R.; Yuan, X.; Wu, Z.; Jiang, L.; Li, Y.; Zeng, G. Principle and application of hydrogen peroxide based advanced oxidation processes inactivated sludge treatment: A review. Chem. Eng. J. 2018, 339, 519–530. [Google Scholar] [CrossRef]
- Alresheedi, M.T.; Basu, O.D. Effects of feed water temperature on irreversible fouling of ceramic ultrafiltration membranes. J. Water Process Eng. 2019, 31, 100883. [Google Scholar] [CrossRef]
- Hube, S.; Wang, J.; Sim, L.N.; Ólafsdóttir, D.; Chong, T.H.; Wu, B. Fouling and mitigation mechanisms during direct microfiltration and ultrafiltration of primary wastewater. J. Water Process Eng. 2021, 44, 102331. [Google Scholar] [CrossRef]
- Liang, J.; Zhang, L.; Ye, M.; Guan, Z.; Huang, J.; Liu, J.; Li, L.; Huang, S.; Sun, S. Evaluation of the dewaterability, heavy metal toxicity and phytotoxicity of sewage sludge in different advanced oxidation processes. J. Clean. Prod. 2020, 265, 121839. [Google Scholar] [CrossRef]
- King, D.J.; Noss, R.R. Toxicity of polyacrylamide and acrylamide monome. Rev. Environ. Health 1989, 8, 3–16. [Google Scholar] [CrossRef] [PubMed]
- Tepe, Y.; Çebi, A. Acrylamide in Environmental Water: A review on sources, exposure, and public health risks. Expo. Health 2019, 11, 3–12. [Google Scholar] [CrossRef]
- Essaïed, K.A.; Brown, L.V.; von Gunten, U. Reactions of amines with ozone and chlorine: Two novel oxidative methods to evaluate the N-DBP formation potential from dissolved organic nitrogen. Water Res. 2022, 209, 117864. [Google Scholar] [CrossRef]
- Qian, Y.; Chen, Y.; Hu, Y.; Hanigan, D.; Westerhoff, P.; An, D. Formation and control of C- and N-DBPs during disinfection of filter backwash and sedimentation sludge water in drinking water treatment. Water Res. 2021, 194, 116964. [Google Scholar] [CrossRef]
- Xu, W.; Gao, B.; Wang, Y.; Yue, Q.; Ren, H. Effect of second coagulant addition on coagulation efficiency, floc properties and residual Al for humic acid treatment by Al13 polymer and polyaluminum chloride (PACl). J. Hazard. Mater. 2012, 215–216, 129–137. [Google Scholar] [CrossRef] [PubMed]
- Reza, R.A.; Ahmed, J.K.; Sil, A.K.; Ahmaruzzaman, M. A Non-Conventional Adsorbent for the Removal of Clofibric Acid from Aqueous Phase. Sep. Sci. Technol. 2014, 49, 1592–1603. [Google Scholar] [CrossRef]
- Liu, H.; Liu, Y.; Tang, L.; Wang, J.; Yu, J.; Zhang, H.; Yu, M.; Zou, J.; Xie, Q. Egg shell biochar-based green catalysts for the removal of organic pollutants by activating persulfate. Sci. Total Environ. 2020, 745, 141095. [Google Scholar] [CrossRef]
- Kołodyńska, D.; Krukowska, J.; Thomas, P. Comparison of sorption and desorption studies of heavy metal ions from biochar and commercial active carbon. Chem. Eng. J. 2017, 307, 353–363. [Google Scholar] [CrossRef]
- Xue, F.; Quan, Z.; Lei, X.; Mao, J.; Zhang, L.; Wang, L.; Zhu, H.; He, H. A biomimetic porous fibre bundle adsorbent for the rapid and complete removal of multiple low-level heavy metal ions. Chem. Eng. J. 2022; 140740, in press. [Google Scholar] [CrossRef]
- Yan, J.; Li, R. Simple and low-cost production of magnetite/graphene nanocomposites for heavy metal ions adsorption. Sci. Total Environ. 2022, 813, 152604. [Google Scholar] [CrossRef] [PubMed]
- Lin, S.; Huang, W.; Yang, H.; Sun, S.; Yu, J. Recycling application of waste long-root Eichhornia crassipes in the heavy metal removal using oxidized biochar derived as adsorbents. Bioresour. Technol. 2020, 314, 123749. [Google Scholar] [CrossRef] [PubMed]
- Yu, Y.; Chan, W.I.; Liao, P.H.; Lo, K.V. Disinfection and solubilization of sewage sludge using the microwave enhanced advanced oxidation process. J. Hazard. Mater. 2010, 181, 1143–1147. [Google Scholar] [CrossRef]
- Yuan, Z.Y.; Li, Y.F.; Li, T.Y.; Yao, J.L.; Zhang, J.F.; Wang, X.M. Identifying key residual aluminum species responsible for aggravation of nanofiltration membrane fouling in drinking water treatment. J. Membr. Sci. 2022, 659, 120833. [Google Scholar] [CrossRef]
- Yu, W.; Liu, M.; Graham, N.J.D. Combining magnetic ion exchange media and microsand before coagulation as pretreatment for submerged ultrafiltration: Biopolymers and small molecular weight organic matter. ACS Sustain. Chem. Eng. 2019, 7, 18566–18573. [Google Scholar] [CrossRef]
- Ding, Y.; Ma, B.; Liu, H.; Qu, J. Effects of protein properties on ultrafiltration membrane fouling performance in water treatment. J. Environ. Sci. 2019, 77, 273–281. [Google Scholar] [CrossRef]
- Hu, M.; Zhao, L.; Yu, N.; Tian, Z.; Yin, Z.; Yang, Z.; Yang, W.; Graham, N.J.D. Application of ultra-low concentrations of moderately-hydrophobic chitosan for ultrafiltration membrane fouling mitigation. J. Membr. Sci. 2021, 635, 119540. [Google Scholar] [CrossRef]
- Yu, C.; Gao, B.; Wang, W.; Xu, X.; Yue, Q. Alleviating membrane fouling of modified polysulfone membrane via coagulation pretreatment/ultrafiltration hybrid process. Chemosphere 2019, 235, 58–69. [Google Scholar] [CrossRef] [PubMed]
- Gan, X.; Lin, T.; Jiang, F.; Zhang, X. Impacts on characteristics and effluent safety of PVDF ultrafiltration membranes aged by different chemical cleaning types. J. Membr. Sci. 2021, 640, 119770. [Google Scholar] [CrossRef]
- Ren, L.; Yu, S.; Yang, H.; Li, L.; Cai, L.; Xia, Q.; Shi, Z.; Liu, G. Chemical cleaning reagent of sodium hypochlorite eroding polyvinylidene fluoride ultrafiltration membranes: Aging pathway, performance decay and molecular mechanism. J. Membr. Sci. 2021, 625, 119141. [Google Scholar] [CrossRef]
- Xie, J.; Yang, Y.; Zhang, H.; Chen, S.; Lv, Z.; Zhou, Y.; Qi, J.; Sun, X.; Li, J. ZIF-67 derived Co/N carbon hollow fiber membrane with excellent decontamination performance. Chem. Eng. J. 2023, 451, 138403. [Google Scholar] [CrossRef]
- Wei, S.; Du, L.; Chen, S.; Yu, H.; Quan, X. Electro-assisted CNTs/ceramic flat sheet ultrafiltration membrane for enhanced antifouling and separation performance. Front. Environ. Sci. Eng. 2020, 15, 11. [Google Scholar] [CrossRef]







| Membrane Material | Pollutant Type (Concentration) | Pretreatment Method | Interception Capability | Separation Mechanism | TMP (MPa) | Membrane Flux (L/m2·h) | Removal Efficiency | Reference |
|---|---|---|---|---|---|---|---|---|
| PTFE | MPs (0.96 ± 0.46 item/L) | Coagulation/Adsorption | 1 μm | Adsorption/Size retention/Electrostatic repulsion | - | - | 80% | [90] |
| PES | MPs | Adsorption/Coagulation | 0.74 μm (100 kDa) | Adsorption/Size retention/Electrostatic repulsion | 0.07 | - | 90% | [91] |
| PSF | MPs | Adsorption | 30 kDa | Adsorption/Electrostatic repulsion | 0.128–0.32 | - | 70.7% | [53] |
| PSF | MPs (10 mg/L) | Adsorption | 30 kDa | Adsorption | 0.2 | - | 75% | [92] |
| PSF | MPs (10 mg/L) | Adsorption | 30 kDa | Electrostatic repulsion | 0.01 | - | - | [93] |
| PES/PVP | MPs (77 ± 7.21 item/L) | AOPs | 0.1 µm | Adsorption/Size retention/Electrostatic repulsion | - | - | 96.97% | [94] |
| PVDF | MPs (1 mg/L) | Adsorption | 15~25 μm (100 kDa) | Adsorption | 0.0002 | 10 | - | [95] |
| hollow fiber | organic | Adsorption/Coagulation/AOPs | 50 kDa | Adsorption/Size retention | 0.05 | 400 | - | [96] |
| MBR | OMP (<50 ng/L) | AOPs | 0.04 μm | Size retention | - | 5 | 80% | [80] |
| Ce-Y-ZrO2/TiO2 | Animal protein/HA/Phenol | AOPs/Adsorption | 6 nm (19 kDa) | Adsorption /Size retention | 0.1 | 160 | - | [48] |
| PVDF/Co@N-C | TC (20 mg·L−1) | AOPs | 2~80 nm | Adsorption/Size retention/Electrostatic repulsion | 0.1 | 636.0 | 99.3% | [97] |
| Ceramic | Organic phosphorus (248 mg/L) | AOPs | - | Adsorption/Size retention | - | - | 83% | [28] |
| Ceramic | NOM (5 mg/L) | AOPs | 300 kDa | Size retention | - | 100 | >80% | [29] |
| PAA/PAH | HMIs | Adsorption | 1 kDa | Adsorption | 0.40–1 | >85% | [98] | |
| PES | Fe2+ (1.0 mg/ L)/Mn2+ (6.1 mg/ L) | AOPs | 30 kDa | Electrostatic repulsion | 1 | - | >95% | [99] |
| HF | Norfloxacin (0.1 μg/L)/Tylosin (0.1μg/L) | Coagulation | 0.03 μm (100 kDa) | Adsorption/Electrostatic repulsion | 0.002 | 20 | 80~90% | [100] |
| (C/PVDF) | ARB/ARGs | AOPs | 30–80 nm | Size retention | 0.1 | 125 | 81.5% | [3] |
| Ceramic | HMIs/Antibiotic | AOPs/Coagulation | 50 kDa | Size retention | 0.04 | - | - | [30] |
| PPSU | ARB | Adsorption | 67 kDa | Electrostatic repulsion | 0.276 | 10–150 | 89% | [101] |
| EPS | HMIs (0.02–0.16 mg/L) | Adsorption | 10 kDa | Adsorption | 0.2 | - | 94.8% | [16] |
| PES | HMIs (20 mg/L) | Adsorption | 150 kDa | Adsorption | 0.004 | 3.5 | >90% | [18] |
| PSF-b-PEG | BSA | Adsorption | 66 kDa | Electrostatic repulsion | 0.15 | 59 | 71% | [102] |
| PVDF | ARGs | Adsorption | 100 kDa | Electrostatic repulsion | - | - | 99% | [26] |
| ECM | ARGs | Adsorption | - | Electrostatic repulsion | - | - | 94.8% | [103] |
| PES | NOM | Coagulation/Adsorption | 100 kDa | Adsorption/Size retention | 0.06 | - | - | [104] |
| PES | NOM (5–50 mg/L) | Coagulation/Adsorption | 100 kDa | Adsorption/Size retention | 0.08 | - | - | [105] |
| ZrO2 mono-tubular ceramic | BSA (10.0 g/L) | Adsorption | 50 nm | Adsorption/Size retention/ Electrostatic repulsion | 0.15 | - | 86.75 % | [106] |
| tubular ceramic | organic compounds | Adsorption | 8 kDa | Size retention | 0.28–0.40 | 123 | 80% | [107] |
| PVDF | Casein (1 g/L) | AOPs | 30 kDa | Size retention | 0.10 | - | - | [108] |
| PES | Mn (II) | Adsorption | 30 kDa | Adsorption /Size retention | 0.05 | 100 | 95% | [109] |
| PVDF | NOM | AOPs | 20 nm | Size retention | 0.30 | 60 | - | [110] |
| PVDF | organic pollutants | AOPs | 150 kDa | Size retention | 0.1 | - | 94.9% | [111] |
| PVDF | NOM (20 mg/L) | Adsorption | 100 kDa | Adsorption/Size retention | 0.1 | - | 83% | [112] |
| RCA | Proteins (0.9 ± 0.1 mg/mL) | Adsorption | 100 kDa | Adsorption /Size retention | 0.1 | 75–132 | 97% | [113] |
| hydrophilized polyethersulphone | Organics/ protein-like substances | Adsorption | 100 kDa | Adsorption/Size retention | 0.06 | - | 79.4/84.8% | [114] |
| AOPs | NOM | AOPs | 150 kDa | Size retention | 0.0728 | 237 | 81.64% | [32] |
| PES | EOM (7.08 μg/mg) | AOPs | 100 kDa | Size retention | 0.05 | - | - | [15] |
| PVDF | BSA | Adsorption | 0.03 μm | Adsorption /Size retention/ Electrostatic repulsion | 0.2 | 103.8 | - | [115] |
| PES | NOM | Adsorption | 100 kDa | Adsorption /Size retention | 0.08 | - | - | [116] |
| PES | EOM | Adsorption/ AOPs | 100 kDa | Adsorption/ Size retention | 0.10 | - | - | [117] |
| PVDF | organic | Coagulation /Adsorption | 100 kDa | Adsorption/ Size retention | 0.10 | 320 | 90.06% | [118] |
| PVDF | BSA | AOPs | 67 kDa | Adsorption/Size retention/Electrostatic repulsion | 0.10 | 230–270 | 93% | [119] |
| FeOCl-CM | BSA | AOPs | 300 kDa | Adsorption | 0.10 | - | 95% | [120] |
| PVDF | NOM (5.7 mg/L) | Coagulation | 100 kDa | Adsorption | 0.10 | - | 94% | [121] |
| CuFeCM | NOM (20 mg/L) | AOPs | 300 kDa | Adsorption | 0.10 | - | - | [122] |
| PVDF | MPs (1 mg/L) | Adsorption | 100 kDa | Adsorption/Size retention/Electrostatic repulsion | 0.20 | 10 | - | [98] |
| PES | HMIs | Adsorption | 50 kDa | Electrostatic repulsion | - | - | 94.7% | [123] |
| PVDF/PES | BSA (10 mg/L) | AOPs | 100 kDa | Electrostatic repulsion | 0.10 | - | - | [124] |
| PVDFSMANa | BSA (500 mg/L) | Adsorption | 100 kDa | Adsorption/Size retention/Electrostatic repulsion | 0.10 | 1014 | 98.9% | [125] |
| PVDF | NOM | Coagulation | 150 kDa | Adsorption/Size retention/Electrostatic repulsion | - | 125 | - | [126] |
Disclaimer/Publisher’s Note: The statements, opinions and data contained in all publications are solely those of the individual author(s) and contributor(s) and not of MDPI and/or the editor(s). MDPI and/or the editor(s) disclaim responsibility for any injury to people or property resulting from any ideas, methods, instructions or products referred to in the content. |
© 2023 by the authors. Licensee MDPI, Basel, Switzerland. This article is an open access article distributed under the terms and conditions of the Creative Commons Attribution (CC BY) license (https://creativecommons.org/licenses/by/4.0/).
Share and Cite
Zhang, J.; Li, G.; Yuan, X.; Li, P.; Yu, Y.; Yang, W.; Zhao, S. Reduction of Ultrafiltration Membrane Fouling by the Pretreatment Removal of Emerging Pollutants: A Review. Membranes 2023, 13, 77. https://doi.org/10.3390/membranes13010077
Zhang J, Li G, Yuan X, Li P, Yu Y, Yang W, Zhao S. Reduction of Ultrafiltration Membrane Fouling by the Pretreatment Removal of Emerging Pollutants: A Review. Membranes. 2023; 13(1):77. https://doi.org/10.3390/membranes13010077
Chicago/Turabian StyleZhang, Jianguo, Gaotian Li, Xingcheng Yuan, Panpan Li, Yongfa Yu, Weihua Yang, and Shuang Zhao. 2023. "Reduction of Ultrafiltration Membrane Fouling by the Pretreatment Removal of Emerging Pollutants: A Review" Membranes 13, no. 1: 77. https://doi.org/10.3390/membranes13010077
APA StyleZhang, J., Li, G., Yuan, X., Li, P., Yu, Y., Yang, W., & Zhao, S. (2023). Reduction of Ultrafiltration Membrane Fouling by the Pretreatment Removal of Emerging Pollutants: A Review. Membranes, 13(1), 77. https://doi.org/10.3390/membranes13010077
