Zirconium and Yttrium Co-Doped BaCo0.8Zr0.1Y0.1O3-δ: A New Mixed-Conducting Perovskite Oxide-Based Membrane for Efficient and Stable Oxygen Permeation
Abstract
:1. Introduction
2. Materials and Methods
2.1. Materials and Membrane Synthesis
2.2. Characterizations
3. Results and Discussion
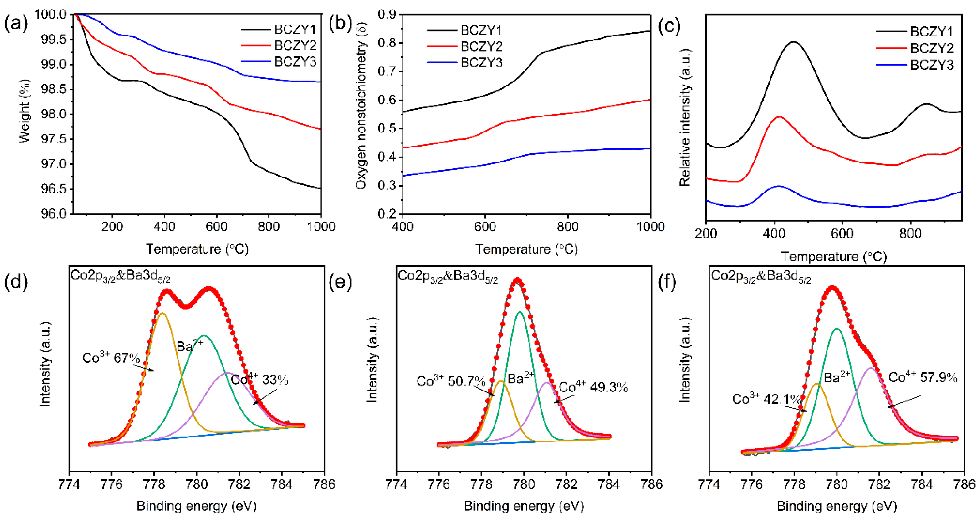
3.1. Basic Properties
3.2. Oxygen Permeation Rates
3.3. Oxygen Vacancies, Oxidation States and Transport/Diffusion Capability
3.4. Oxygen Permeation Stability, Structural Stability and CO2 Tolerance
4. Conclusions
Supplementary Materials
Author Contributions
Funding
Institutional Review Board Statement
Informed Consent Statement
Data Availability Statement
Conflicts of Interest
References
- Song, Y.; Chen, J.; Yang, M.; Xu, M.; Liu, D.; Liang, M.; Wang, Y.; Ran, R.; Wang, W.; Ciucci, F.; et al. Realizing simultaneous detrimental reactions suppression and multiple benefits generation from nickel doping towards improved protonic ceramic fuel cell performance. Small 2022, 18, 2200450. [Google Scholar] [CrossRef] [PubMed]
- Xiong, X.; Yu, J.; Huang, X.; Zou, D.; Song, Y.; Xu, M.; Ran, R.; Wang, W.; Zhou, W.; Shao, Z. Slightly ruthenium doping enables better alloy nanoparticle exsolution of perovskite anode for high-performance direct-ammonia solid oxide fuel cells. J. Mater. Sci. Technol. 2022, 125, 51–58. [Google Scholar] [CrossRef]
- Duan, C.; Kee, R.; Zhu, H.; Karakaya, C.; Chen, Y.; Ricote, S.; Jarry, A.; Crumlin, E.; Hook, D.; Braun, R.; et al. Highly durable, coking and sulfur tolerant, fuel-flexible protonic ceramic fuel cells. Nature 2018, 557, 217–222. [Google Scholar] [CrossRef]
- Yang, G.; Su, C.; Shi, H.; Zhu, Y.; Song, Y.; Zhou, W.; Shao, Z. Toward reducing the operation temperature of solid oxide fuel cells: Our past 15 years of efforts in cathode development. Energy Fuels 2020, 34, 15169–15194. [Google Scholar] [CrossRef]
- Han, N.; Zhang, W.; Guo, W.; Xie, S.; Zhang, C.; Zhang, X.; Fransaer, J.; Liu, S. Novel oxygen permeable hollow fiber perovskite membrane with surface wrinkles. Sep. Purif. Technol. 2021, 261, 118295. [Google Scholar] [CrossRef]
- Buck, F.; Feldhoff, A.; Caro, J.; Schiestel, T. Permeation improvement of LCCF hollow fiber membranes by spinning and sintering optimization. Sep. Purif. Technol. 2021, 259, 118023. [Google Scholar] [CrossRef]
- Escolastico, S.; Schulze-Kueppers, F.; Baumann, S.; Haas-Santo, K.; Dittmeyer, R. Development and proof of concept of a compact metallic reactor for MIEC ceramic membranes. Membranes 2021, 11, 541. [Google Scholar] [CrossRef]
- Larring, Y.; Vigen, C.; Ahouanto, F.; Fontaine, M.; Peters, T.; Smith, J.; Norby, T.; Bredesen, R. Investigation of La1−xSrxCrO3−δ (x ~ 0.1) as membrane for hydrogen production. Membranes 2012, 2, 665–686. [Google Scholar] [CrossRef]
- Han, X.; Liu, P.; Ran, R.; Wang, W.; Zhou, W.; Shao, Z. Non-metal fluorine doping in Ruddlesden-Popper perovskite oxide enables high-efficiency photocatalytic water splitting for hydrogen production. Mater. Today Energy 2022, 23, 100896. [Google Scholar] [CrossRef]
- Xiao, H.; Liu, P.; Wang, W.; Ran, R.; Zhou, W.; Shao, Z. Enhancing the photocatalytic activity of Ruddlesden-Popper Sr2TiO4 for hydrogen evolution through synergistic silver doping and moderate reducing pretreatment. Mater. Today Energy 2022, 23, 100899. [Google Scholar] [CrossRef]
- Yang, L.; Li, Y.; Sun, Y.; Wang, W.; Shao, Z. Perovskite oxides in catalytic combustion of volatile organic compounds: Recent advances and future prospects. Energy Environ. Mater. 2022, 5, 751–776. [Google Scholar] [CrossRef]
- Chen, T.; Miao, J.; Zhu, M.; Ran, R.; Zhou, W.; Shao, Z. Thermal reduction-assisted electronic structure tuning of perovskite oxide as catalyst for efficient advanced oxidation. Compos. Part B-Eng. 2021, 207, 108577. [Google Scholar] [CrossRef]
- Tarutina, L.; Vdovin, G.; Lyagaeva, J.; Medvedev, D. Comprehensive analysis of oxygen transport properties of a BaFe0.7Zr0.2Y0.1O3−δ-based mixed ionic-electronic conductor. J. Membr. Sci. 2021, 624, 119125. [Google Scholar] [CrossRef]
- Schulz, M.; Pippardt, U.; Kiesel, L.; Ritter, K.; Kriegel, R. Oxygen permeation of various archetypes of oxygen membranes based on BSCF. AIChE J. 2012, 58, 3195–3202. [Google Scholar] [CrossRef]
- Damiani, D.; Litynski, J.; McIlvried, H.; Vikara, D.; Srivastava, R. The US department of energy’s R&D program to reduce greenhouse gas emissions through beneficial uses of carbon dioxide. Greenh. Gases 2012, 2, 9–19. [Google Scholar]
- Sunarso, J.; Hashim, S.; Zhu, N.; Zhou, W. Perovskite oxides applications in high temperature oxygen separation, solid oxide fuel cell and membrane reactor: A review. Prog. Energy Combust. Sci. 2017, 61, 57–77. [Google Scholar] [CrossRef]
- Chen, G.; Zhao, Z.; Widenmeyer, M.; Yan, R.; Wang, L.; Feldhoff, A.; Weidenkaff, A. Synthesis and characterization of 40 wt% Ce0.9Pr0.1O2−δ-60wt% NdxSr1−xFe0.9Cu0.1O3−δ dual-phase membranes for efficient oxygen separation. Membranes 2020, 10, 183. [Google Scholar] [CrossRef]
- Zhang, Z.; Ning, K.; Xu, Z.; Zheng, Q.; Tan, J.; Liu, Z.; Wu, Z.; Zhang, G.; Jin, W. Highly efficient preparation of Ce0.8Sm0.2O2−δ-SrCo0.9Nb0.1O3−δ dual-phase four-channel hollow fiber membrane via one-step thermal processing approach. J. Membr. Sci. 2021, 620, 118752. [Google Scholar] [CrossRef]
- Zhang, K.; Liu, M.; Zhao, L.; Yan, J.; Wang, Z. Lead and tungsten double stabilizing cobalt-based perovskite oxygen permeation membranes for clean energy delivery. Int. J. Energy Res. 2020, 44, 6259–6268. [Google Scholar] [CrossRef]
- Guironnet, L.; Geffroy, P.; Tessier-Doyen, N.; Boulle, A.; Richet, N.; Chartier, T. The surface roughness effect on electrochemical properties of La0.5Sr0.5Fe0.7Ga0.3O3−δ perovskite for oxygen transport membranes. J. Membr. Sci. 2019, 588, 117199. [Google Scholar] [CrossRef]
- Shao, Z.; Xiong, G.; Dong, H.; Yang, W.; Lin, L. Synthesis, oxygen permeation study and membrane performance of a Ba0.5Sr0.5Co0.8Fe0.2O3−δ oxygen-permeable dense ceramic reactor for partial oxidation of methane to syngas. Sep. Purif. Technol. 2001, 25, 97–116. [Google Scholar] [CrossRef]
- Duffy, J.; Meng, Y.; Abernathy, H.; Brinkman, K. Surface and bulk oxygen kinetics of BaCo0.4Fe0.4Zr0.2−XYXO3−δ triple conducting electrode materials. Membranes 2021, 11, 766. [Google Scholar] [CrossRef]
- Zhang, D.; Zhang, X.; Jiang, Y.; Ye, S.; Qiang, L.; Lin, B. A stable Zr-Y co-doped perovskite BaCo0.4Fe0.4Zr0.1Y0.1O3−δ ceramic membrane for highly efficient oxygen separation. Sep. Purif. Technol. 2022, 295, 121206. [Google Scholar] [CrossRef]
- Schulze-Kueppers, F.; Baumann, S.; Meulenberg, W.A.; Stoever, D.; Buchkremer, H. Manufacturing and performance of advanced supported Ba0.5Sr0.5Co0.8Fe0.2O3−δ (BSCF) oxygen transport membranes. J. Membr. Sci. 2013, 433, 121–125. [Google Scholar] [CrossRef]
- Kashyap, V.; Jaiswal, S.; Kumar, J. Effect of Zr4+ on the phase stability and oxygen permeation characteristics of SrCo0.8Fe0.2−yZryO3−δ (y ≤ 0.1) membranes. Ionics 2020, 26, 1895–1911. [Google Scholar] [CrossRef]
- Teraoka, Y.; Zhang, H.; Furukawa, S.; Yamazoe, N. Oxygen permeation through perovskite-type oxides. Chem. Lett. 1985, 11, 1743–1746. [Google Scholar] [CrossRef]
- McIntosh, S.; Vente, J.; Haije, W.; Blank, D.; Bouwmeester, H. Phase stability and oxygen non-stoichiometry of SrCo0.8Fe0.2O3−δ measured by in situ neutron diffraction. Solid State Ion. 2006, 177, 833–842. [Google Scholar] [CrossRef]
- Han, N.; Zhang, C.; Tan, X.; Wang, Z.; Kawi, S.; Liu, S. Re-evaluation of La0.6Sr0.4Co0.2Fe0.8O3−δ hollow fiber membranes for oxygen separation after long-term storage of five and ten years. J. Membr. Sci. 2019, 587, 117180. [Google Scholar] [CrossRef]
- McIntosh, S.; Vente, J.; Haije, W.; Blank, D.; Bouwmeester, H. Structure and oxygen stoichiometry of SrCo0.8Fe0.2O3−δ and Ba0.5Sr0.5Co0.8Fe0.2O3−δ. Solid State Ion. 2006, 177, 1737–1742. [Google Scholar] [CrossRef]
- Kawahara, A.; Takahashi, Y.; Hirano, Y.; Hirano, M.; Ishihara, T. High oxygen permeation rate in La0.6Sr0.4Ti0.3Fe0.7O3−δ thin membrane on a porous support with multichannel structure for CH4 partial oxidation. Ind. Eng. Chem. Res. 2010, 49, 5511–5516. [Google Scholar] [CrossRef]
- Liu, C.; Cheng, H.; Yan, G.; Zhao, H.; Lu, X.; Wang, P. Effects of B-site Nb doping on the CO2 resistance and rate-controlling step of Ce0.8Gd0.2O2−δ-Pr0.6Sr0.4Co0.5Fe0.5O3−δ dual-phase membranes. J. Membr. Sci. 2018, 53, 11962–11976. [Google Scholar] [CrossRef]
- Partovi, K.; Liang, F.; Ravkina, O.; Caro, J. High-flux oxygen-transporting membrane Pr0.6Sr0.4Co0.5Fe0.5O3−δ: CO2 stability and microstructure. ACS Appl. Mater. Interfaces 2014, 6, 10274–10282. [Google Scholar] [CrossRef] [PubMed]
- Yang, L.; Tan, L.; Gu, X.; Jin, W.; Zhang, L.; Xu, N. A new series of Sr(Co, Fe, Zr)O3−δ perovskite-type membrane materials for oxygen permeation. Ind. Eng. Chem. Res. 2003, 42, 2299–2305. [Google Scholar] [CrossRef]
- Song, S.; Zhang, P.; Han, M.; Singhal, S. Oxygen permeation and partial oxidation of methane reaction in Ba0.9Co0.7Fe0.2Nb0.1O3−δ oxygen permeation membrane. J. Membr. Sci. 2012, 415, 654–662. [Google Scholar] [CrossRef]
- Yang, F.; Zhao, H.; Yang, J.; Fang, M.; Lu, Y.; Du, Z.; Swierczek, K.; Zheng, K. Structure and oxygen permeability of BaCo0.7Fe0.3−xInxO3−δ ceramic membranes. J. Membr. Sci. 2015, 492, 559–567. [Google Scholar] [CrossRef]
- Felser, C.; Yamaura, K.; Cava, R.J. The electronic structure of hexagonal BaCoO3. J. Solid State Chem. 1999, 146, 411–417. [Google Scholar] [CrossRef]
- Cheng, H.; Yao, W.; Lu, X.; Zhou, Z.; Li, C.; Liu, J. Structural stability and oxygen permeability of BaCo0.7Fe0.2M0.1O3−δ (M = Ta, Nb, Zr) ceramic membranes for producing hydrogen from coke oven gas. Fuel Process. Technol. 2015, 131, 36–44. [Google Scholar] [CrossRef]
- Yao, W.; Cheng, H.; Zhao, H.; Lu, X.; Zou, X.; Li, S.; Li, C. Synthesis, oxygen permeability, and structural stability of BaCo0.7Fe0.3−xZrxO3−δ ceramic membranes. J. Membr. Sci. 2016, 504, 251–262. [Google Scholar] [CrossRef]
- Li, X.; Kerstiens, T.; Markus, T. Oxygen permeability and phase stability of Ba0.5Sr0.5Co0.8Fe0.2O3−δ perovskite at intermediate temperatures. J. Membr. Sci. 2013, 438, 83–89. [Google Scholar] [CrossRef]
- Li, X.; Zhao, H.; Shen, W.; Gao, F.; Huang, X.; Li, Y.; Zhu, Z. Synthesis and properties of Y-doped SrTiO3 as an anode material for SOFCs. J. Power Sources 2007, 166, 47–52. [Google Scholar] [CrossRef]
- Jeong, N.; Lee, J.; Tae, E.; Lee, Y.; Yoon, K. Acidity scale for metal oxides and Sanderson’s electronegativities of lanthanide elements. Angew. Chem. Int. Ed. 2008, 47, 10128–10132. [Google Scholar] [CrossRef] [PubMed]
- Liu, C.L.; Chen, D.; Wang, W. Hydrogen-rich syngas production from chemical looping steam reforming of bio-oil model compound: Effect of bimetal on LaNi0.8M0.2O3 (M = Fe, Co, Cu, and Mn). Int. J. Energy Res. 2019, 43, 4534–4545. [Google Scholar] [CrossRef]
- Zhang, J.; Zhang, Z.; Chen, Y.; Xu, X.; Zhou, C.; Yang, G.; Zhou, W.; Shan, Z. Materials design for ceramic oxygen permeation membranes: Single perovskite vs. single/double perovskite composite, a case study of tungsten-doped barium strontium cobalt ferrite. J. Membr. Sci. 2018, 566, 278–287. [Google Scholar] [CrossRef]
- Kuai, X.; Yang, G.; Chen, Y.; Sun, H.; Dai, J.; Song, Y.; Ran, R.; Wang, W.; Zhou, W.; Shao, Z. Boosting the activity of BaCo0.4Fe0.4Zr0.1Y0.1O3−δ perovskite for oxygen reduction reactions at low-to-intermediate temperatures through tuning B-Site cation deficiency. Adv. Energy Mater. 2019, 9, 1902384. [Google Scholar] [CrossRef]
- McIntosh, S.; Vente, J.; Haije, W.; Blank, D.; Bouwmeester, H. Oxygen stoichiometry and chemical expansion of Ba0.5Sr0.5Co0.8Fe0.2O3−δ measured by in situ neutron diffraction. Chem. Mater. 2006, 18, 2187–2193. [Google Scholar] [CrossRef]
- Luo, H.; Tian, B.; Wei, Y.; Wang, H.; Jiang, H.; Caro, J. Oxygen permeability and structural stability of a novel tantalum-doped perovskite BaCo0.7Fe0.2Ta0.1O3−δ. AIChE J. 2010, 56, 604–610. [Google Scholar] [CrossRef]
- Watanabe, K.; Takauchi, D.; Yuasa, M.; Kida, T.; Shimanoe, K.; Teraoka, Y.; Yamazoe, N. Oxygen permeation properties of Co-free perovskite-type oxide membranes based on BaFe1−yZryO3−δ. J. Electrochem. Soc. 2009, 156, E81–E85. [Google Scholar] [CrossRef]
- Hong, W.; Choi, G. Oxygen permeation of BSCF membrane with varying thickness and surface coating. J. Membr. Sci. 2010, 346, 353–360. [Google Scholar] [CrossRef]
- Liao, Q.; Wang, Y.; Chen, Y.; Wei, Y.; Wang, H. Novel bifunctional tantalum and bismuth co-doped perovskite BaBi0.05Co0.8Ta0.15O3−δ with high oxygen permeation. J. Membr. Sci. 2014, 468, 184–191. [Google Scholar] [CrossRef]
- Li, K.; Zhao, H.; Lu, Y.; Ma, Y.; Du, Z.; Zhang, Z. High CO2 tolerance oxygen permeation membranes BaFe0.95−xCa0.05TixO3−δ. J. Membr. Sci. 2018, 550, 302–312. [Google Scholar] [CrossRef]
- Song, Y.; Chen, Y.; Wang, W.; Zhou, C.; Zhong, Y.; Yang, G.; Zhou, W.; Liu, M.; Shao, Z. Self-assembled triple-conducting nanocomposite as a superior protonic ceramic fuel cell cathode. Joule 2019, 3, 2842–2853. [Google Scholar] [CrossRef]
- Cui, X.; O’Hayre, R.; Pylypenko, S.; Zhang, L.; Zeng, L.; Zhang, X.; Hua, Z.; Chen, H.; Shi, J. Fabrication of a mesoporous Ba0.5Sr0.5Co0.8Fe0.2O3−δ perovskite as a low-cost and efficient catalyst for oxygen reduction. Dalton Trans. 2017, 46, 13903–13911. [Google Scholar] [CrossRef] [PubMed]
- Zou, D.; Yi, Y.; Song, Y.; Guan, D.; Xu, M.; Ran, R.; Wang, W.; Zhou, W.; Shao, Z. The BaCe0.16Y0.04Fe0.8O3−δ nanocomposite: A new high-performance cobalt-free triple-conducting cathode for protonic ceramic fuel cells operating at reduced temperatures. J. Mater. Chem. A 2022, 10, 5381–5390. [Google Scholar] [CrossRef]
- Liang, M.; He, F.; Zhou, C.; Chen, Y.; Ran, R.; Yang, G.; Zhou, W.; Shao, Z. Nickel-doped BaCo0.4Fe0.4Zr0.1Y0.1O3−δ as a new high-performance cathode for both oxygen-ion and proton conducting fuel cells. Chem. Eng. J. 2021, 420, 127717. [Google Scholar] [CrossRef]
- Zhao, H.; Xu, N.; Cheng, Y.; Wei, W.; Chen, N.; Ding, W.; Lu, X.; Li, F. Investigation of mixed conductor BaCo0.7Fe0.3−xYxO3−δ with high oxygen permeability. J. Phys. Chem. C 2010, 114, 17975–17981. [Google Scholar] [CrossRef]
- Zhang, Z.; Chen, Y.; Tade, M.; Hao, Y.; Liu, S.; Shao, Z. Tin-doped perovskite mixed conducting membrane for efficient air separation. J. Mater. Chem. A 2014, 2, 9666–9674. [Google Scholar] [CrossRef]
- Czuprat, O.; Arnold, M.; Schirrmeister, S.; Schiestel, T.; Caro, J. Influence of CO2 on the oxygen permeation performance of perovskite-type BaCoxFeyZrzO3−δ hollow fiber membranes. J. Membr. Sci. 2010, 364, 132–137. [Google Scholar] [CrossRef]
- Zhang, Z.; Chen, D.; Dong, F.; Shao, Z. Efficient and CO2-tolerant oxygen transport membranes prepared from high-valence B-site substituted cobalt-free SrFeO3−δ. J. Membr. Sci. 2015, 495, 187–197. [Google Scholar] [CrossRef]
- Liu, J.; Cheng, H.; Jiang, B.; Lu, X.; Ding, W. Effects of tantalum content on the structure stability and oxygen permeability of BaCo0.7Fe0.3−xTaxO3−δ ceramic membrane. Int. J. Hydrogen Energy 2013, 38, 11090–11096. [Google Scholar] [CrossRef]
- Cheng, H.; Luo, L.; Yao, W.; Lu, X.; Zou, X.; Zhou, Z. Novel cobalt-free CO2-tolerant dual-phase membranes of Ce0.8Sm0.2O2−δ-Ba0.95La0.05Fe1−xZrxO3−δ for oxygen separation. J. Membr. Sci. 2015, 492, 220–229. [Google Scholar] [CrossRef]
- Yi, J.; Weirich, T.; Schroeder, M. CO2 corrosion and recovery of perovskite-type BaCo1−x−yFexNbyO3−δ membranes. J. Membr. Sci. 2013, 437, 49–56. [Google Scholar] [CrossRef]







Publisher’s Note: MDPI stays neutral with regard to jurisdictional claims in published maps and institutional affiliations. |
© 2022 by the authors. Licensee MDPI, Basel, Switzerland. This article is an open access article distributed under the terms and conditions of the Creative Commons Attribution (CC BY) license (https://creativecommons.org/licenses/by/4.0/).
Share and Cite
Xu, Z.; Yu, J.; Wang, W. Zirconium and Yttrium Co-Doped BaCo0.8Zr0.1Y0.1O3-δ: A New Mixed-Conducting Perovskite Oxide-Based Membrane for Efficient and Stable Oxygen Permeation. Membranes 2022, 12, 831. https://doi.org/10.3390/membranes12090831
Xu Z, Yu J, Wang W. Zirconium and Yttrium Co-Doped BaCo0.8Zr0.1Y0.1O3-δ: A New Mixed-Conducting Perovskite Oxide-Based Membrane for Efficient and Stable Oxygen Permeation. Membranes. 2022; 12(9):831. https://doi.org/10.3390/membranes12090831
Chicago/Turabian StyleXu, Zixiang, Jian Yu, and Wei Wang. 2022. "Zirconium and Yttrium Co-Doped BaCo0.8Zr0.1Y0.1O3-δ: A New Mixed-Conducting Perovskite Oxide-Based Membrane for Efficient and Stable Oxygen Permeation" Membranes 12, no. 9: 831. https://doi.org/10.3390/membranes12090831
APA StyleXu, Z., Yu, J., & Wang, W. (2022). Zirconium and Yttrium Co-Doped BaCo0.8Zr0.1Y0.1O3-δ: A New Mixed-Conducting Perovskite Oxide-Based Membrane for Efficient and Stable Oxygen Permeation. Membranes, 12(9), 831. https://doi.org/10.3390/membranes12090831
