Synthesizing Various Organic Polyacid Compounds for Modifying Forward Osmosis Membranes to Enhance Separation Performance
Abstract
:1. Introduction
2. Materials and Methods
2.1. Chemicals and Reagents
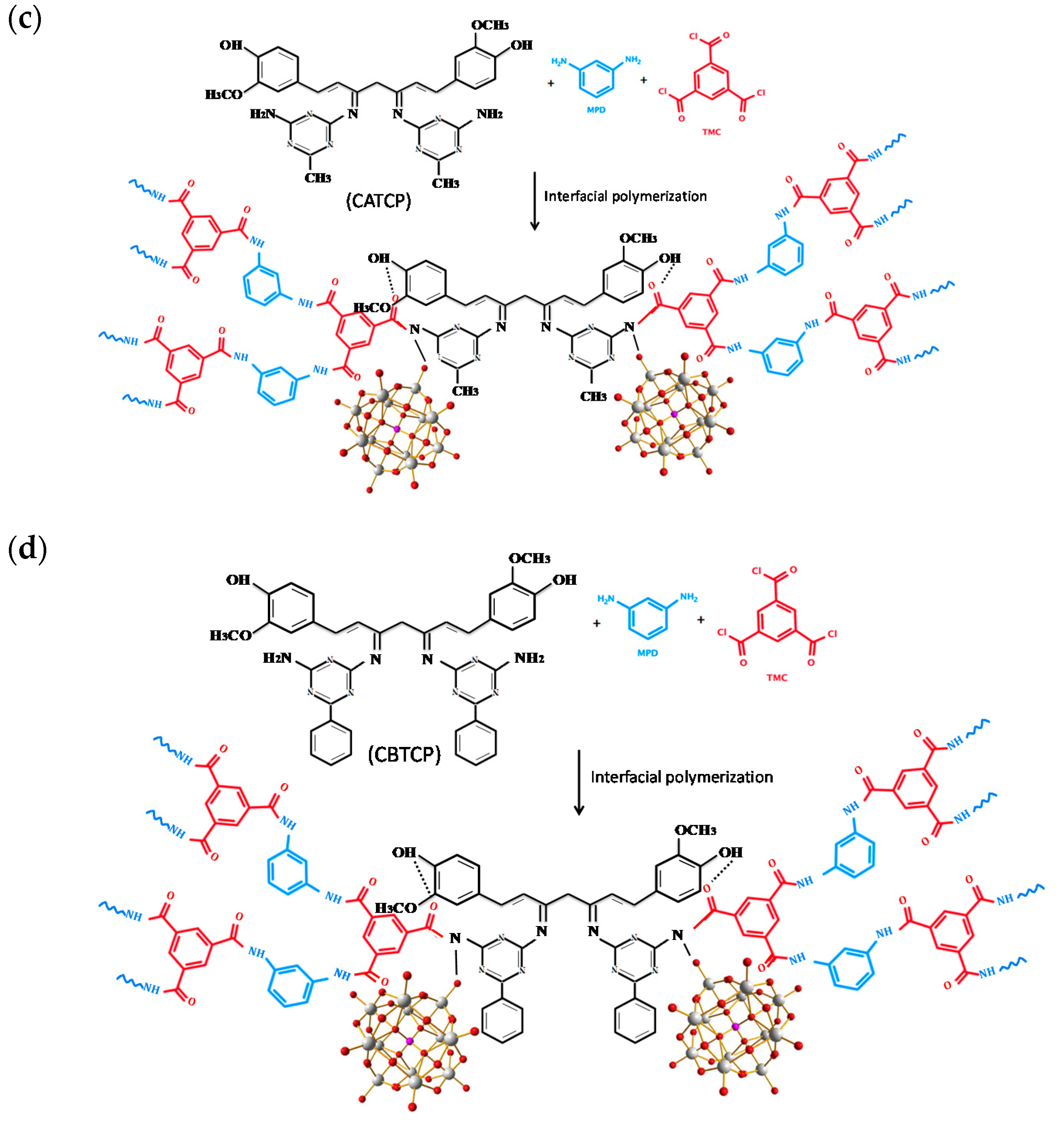
2.2. Preparation of Hybrid Materials
2.3. Preparation of FO Membranes
2.3.1. Preparation of the PSf Substrate
2.3.2. Preparation of the PA Selective Layer
2.4. FO Filtration Experiments
2.5. Analytical Methods
3. Results and Discussion
3.1. Characterization of the Hybrid Materials
3.2. Performance of the TFC and TFN Membranes
3.3. Performance of the TFN Membranes with Additional Incorporation of GO and TiO2
3.4. Characterization of the TFN Membranes
3.4.1. Surface Morphology and Composition
3.4.2. Surface Functional Groups
3.4.3. Surface Hydrophilicity
4. Conclusions
5. Patents
Author Contributions
Funding
Institutional Review Board Statement
Data Availability Statement
Conflicts of Interest
References
- Yadav, S.; Ibrar, I.; Bakly, S.; Khanafer, D.; Altaee, A.; Padmanaban, V.C.; Samal, A.K.; Hawari, A.H. Organic Fouling in Forward Osmosis: A Comprehensive Review. Water 2020, 12, 1505. [Google Scholar] [CrossRef]
- Zhao, S.; Zou, L.; Tang, C.Y.; Mulcahy, D. Recent Developments in Forward Osmosis: Opportunities and Challenges. J. Membr. Sci. 2012, 396, 1–21. [Google Scholar] [CrossRef]
- Salehi, H.; Shakeri, A.; Naslhajian, H.; Amini, M. High-Flux Thin Film Nanocomposite Forward Osmosis Membrane Incorporated with Blue Lemon Polyoxometalate Based Open-Framework. J. Polym. Res. 2019, 26, 48. [Google Scholar] [CrossRef]
- Niksefat, N.; Jahanshahi, M.; Rahimpour, A. The Effect of SiO2 Nanoparticles on Morphology and Performance of Thin Film Composite Membranes for Forward Osmosis Application. Desalination 2014, 343, 140–146. [Google Scholar] [CrossRef]
- Shen, L.; Xiong, S.; Wang, Y. Graphene Oxide Incorporated Thin-Film Composite Membranes for Forward Osmosis Applications. Chem. Eng. Sci. 2016, 143, 194–205. [Google Scholar] [CrossRef]
- Tsuji, K.; Tomita, O.; Higashi, M.; Abe, R. Manganese-Substituted Polyoxometalate as an Effective Shuttle Redox Mediator in Z-Scheme Water Splitting under Visible Light. ChemSusChem 2016, 9, 2201–2208. [Google Scholar] [CrossRef] [PubMed]
- Ploegmakers, J.; Japip, S.; Nijmeijer, K. Mixed Matrix Membranes Containing MOFs for Ethylene/Ethane Separation Part A: Membrane Preparation and Characterization. J. Membr. Sci. 2013, 428, 445–453. [Google Scholar] [CrossRef]
- Wang, Y.; Gao, B.; Li, S.; Jin, B.; Yue, Q.; Wang, Z. Cerium Oxide Doped Nanocomposite Membranes for Reverse Osmosis Desalination. Chemosphere 2019, 218, 974–983. [Google Scholar] [CrossRef]
- Shakeria, A.; Mighani, H.; Salari, N.; Saleh, H. Surface Modification of Forward Osmosis Membrane Using Polyoxometalate Based Open Frameworks for Hydrophilicity and Water Flux Improvement. J. Water Process Eng. 2019, 29, 100762. [Google Scholar] [CrossRef]
- Elakkiya, S.; Arthanareeswaran, G.; Ismail, A.F.; Goh, P.S.; Thuyavan, Y.L. Review on characteristics of biomaterial and nanomaterials based polymeric nanocomposite membranes for seawater treatment application. Environ. Res. 2021, 197, 111177. [Google Scholar] [CrossRef]
- Shakeri, A.; Salehi, H.; Ghorbani, F.; Amini, M.; Naslhajian, H. Polyoxometalate Based Thin Film Nanocomposite Forward Osmosis Membrane: Superhydrophilic, Anti-Fouling, and High Water Permeable. J. Colloid Interface Sci. 2019, 536, 328–338. [Google Scholar] [CrossRef]
- Rafiee, E.; Pami, N.; Zinatizadeh, A.A.; Eavani, S. A New Polyoxometalate-TiO2 Nanocomposite for Efficient Visible Photodeg-radation of Dye from Wastewater, Liquorice and Yeast Extract: Photoelectrochemical, Electrochemical, and Physical Investi-gations. J. Photochem. Photobiol. A Chem. 2019, 386, 112145. [Google Scholar] [CrossRef]
- Ghorbani, F.; Shakeri, A.; Vafaei, M.A.; Salehi, H. Polyoxometalate-cored supramolecular star polymers as a novel crosslinker for graphene oxide-based forward osmosis membranes: Anti-fouling, super hydrophilic and high water permeable. Sep. Purif. Technol. 2021, 267, 118578. [Google Scholar] [CrossRef]
- Zatoń, M.; Rozière, J.; Jones, D.J. Mitigation of PFSA Membrane Chemical Degradation Using Composite Cerium Oxide–PFSA Nanofibres. J. Mater. Chem. A 2017, 5, 5390–5401. [Google Scholar] [CrossRef]
- Wu, X.; Shaibani, M.; Smith, S.J.D.; Konstas, K.; Hill, M.R.; Wang, H.; Zhan, K.; Xie, Z. Microporous Carbon from Fullerene Impregnated Porous Aromatic Frameworks for Improving Desalination Performance of Thin film Composite Forward Osmosis Membranes. J. Mat. Chem. A 2018, 6, 11327–11336. [Google Scholar] [CrossRef]
- Karakoti, A.; Singh, S.; Dowding, J.M.; Seal, S.; Self, W. Redox-Active Radical Scavenging Nanomaterials. Chem. Soc. Rev. 2010, 39, 4422–4432. [Google Scholar] [CrossRef] [PubMed]
- Murugesan, R.; Sami, P.; Jeyabalan, T.; Shunmugasundaram, A. Synthesis, Spectroscopic Characterization and Redox Properties of Titanium and Vanadium Substituted Keggin-Type Heteropolyanions. Transit. Met. Chem. 1998, 23, 583–588. [Google Scholar] [CrossRef]
- Sathicq, G.; Musantc, L.; Romanelli, G.; Pasquale, G.; Autino, J.C.; Thomas, H.; Vázquez, P. Clean transesterification of β-ketoesters catalyzed by hybrid silica sol-gel. In Studies in Surface Science and Catalysis; Gaigneaux, E.M., Devillers, M., de Vos, D.E., Hermans, S., Jacobs, P.A., Martens, J.A., Ruiz, P., Eds.; Elsevier: Amsterdam, The Netherlands, 2006; pp. 227–234. [Google Scholar]
- Merkel, T.; Pinnau, I. 4—Organic-inorganic nanocomposite membranes for molecular separation processes. In Nanostructure Control of Materials; Hannink, R.H.J., Hill, A.J., Eds.; Woodhead Publishing: Sawston, UK, 2006; pp. 76–96. [Google Scholar]
- Moradi, G.; Zinadini, S.; Rajabi, L.; Derakhshan, A.A. Removal of heavy metal ions using a new high performance nanofiltration membrane modified with curcumin boehmite nanoparticles. Chem. Eng. J. 2020, 390, 124546. [Google Scholar] [CrossRef]
- Shajari, M.; Rostamizadeh, K.; Shapouri, R.; Taghavi, L. Eco-friendly curcumin-loaded nanostructured lipid carrier as an efficient antibacterial for hospital wastewater treatment. Environ. Technol. Innov. 2020, 18, 100703. [Google Scholar] [CrossRef]
- Amini, M.; Rahimpour, A.; Jahanshahi, M. Forward osmosis application of modified TiO2-polyamide thin film nanocomposite membranes. Desalin. Water Treat. 2016, 57, 14013–14023. [Google Scholar] [CrossRef]
- Roy, S.; Rhim, J.-W. Preparation of antimicrobial and antioxidant gelatin/curcumin composite films for active food packaging application. Colloids Surf. B Biointerfaces 2020, 188, 110761. [Google Scholar] [CrossRef] [PubMed]
- Sumathi, S.; Tharmaraj, P.; Sheela, C.; Ebenezer, R. Synthesis, spectral, NLO studies, and antimicrobial activities of curcumin diketimine metal complexes. J. Coord. Chem. 2012, 65, 506–515. [Google Scholar] [CrossRef]
- Lin, C.-S.; Tung, K.-L.; Lin, Y.-L.; Dong, C.-D.; Chen, C.-W.; Wu, C.-H. Fabrication and modification of forward osmosis membranes by using graphene oxide for dye rejection and sludge concentration. Process. Saf. Environ. Prot. 2020, 144, 225–235. [Google Scholar] [CrossRef]
- Bi, R.; Zhang, Q.; Zhang, R.; Su, Y.; Jiang, Z. Thin film nanocomposite membranes incorporated with graphene quantum dots for high flux and antifouling property. J. Membr. Sci. 2018, 553, 17–24. [Google Scholar] [CrossRef]
- Guney, G.; Uysal, Ş.; Koc, Z.E. Synthesis and Characterization of Cross Linked Acetoguanamine Polymer Complexes: Investigation of their Thermal and Magnetic Properties. Acta Chim. Slov. 2020, 67, 551–559. [Google Scholar] [CrossRef] [PubMed]
- Wang, Y.; Wang, H.; Li, J.; Zhao, X. Facile synthesis of metal free perylene imide-carbon nitride membranes for efficient photocatalytic degradation of organic pollutants in the presence of peroxymonosulfate. Appl. Catal. B Environ. 2020, 278, 118981. [Google Scholar] [CrossRef]
- Sivakumar, K.; Parinamachivayam, G.; Krishnan, M.M.; Chakravarty, S.; Bharathi, A. Preparation, characterization and molecular modeling studies of the beta-cyclodextrin inclusion complex with benzoguanamine and its analytical application as chemosensor for the selective sensing of Ce 4+. Spectrochim. Acta Part A Mol. Biomol. Spectrosc. 2018, 200, 212–225. [Google Scholar] [CrossRef] [PubMed]
- Solankee, A.; Thakor, I. Synthesis of Pyrazolines, Isoxazolines and Aminopyrimidines as Biological Potent Agents. Chemistry 2006, 37. [Google Scholar] [CrossRef]
- Nguyen, T.-Q.; Tung, K.-L.; Lin, Y.-L.; Dong, C.-D.; Chen, C.-W.; Wu, C.-H. Modifying thin-film composite forward osmosis membranes using various SiO2 nanoparticles for aquaculture wastewater recovery. Chemosphere 2021, 281, 130796. [Google Scholar] [CrossRef]
- Lin, Y.-L. In situ concentration-polarization-enhanced radical graft polymerization of NF270 for mitigating silica fouling and improving pharmaceutical and personal care product rejection. J. Membr. Sci. 2018, 552, 387–395. [Google Scholar] [CrossRef]
- Lin, Y.-L.; Tsai, C.-C.; Zheng, N.-Y. Improving the organic and biological fouling resistance and removal of pharmaceutical and personal care products through nanofiltration by using in situ radical graft polymerization. Sci. Total Environ. 2018, 635, 543–550. [Google Scholar] [CrossRef]
- Wu, W.; Shi, Y.; Liu, G.; Fan, X.; Yu, Y. Recent development of graphene oxide based forward osmosis membrane for water treatment: A critical review. Desalination 2020, 491, 114452. [Google Scholar] [CrossRef]
- Nair, R.R.; Wu, H.A.; Jayaram, P.N.; Grigorieva, I.V.; Geim, A.K. Unimpeded Permeation of Water Through Helium-Leak-Tight Graphene-Based Membranes. Science 2012, 335, 442–444. [Google Scholar] [CrossRef] [PubMed] [Green Version]
- Lin, Y.-L.; Tsai, J.-Z.; Hung, C.-H. Using in situ modification to enhance organic fouling resistance and rejection of pharmaceutical and personal care products in a thin-film composite nanofiltration membrane. Environ. Sci. Pollut. Res. 2018, 26, 34073–34084. [Google Scholar] [CrossRef]
- Li, D.; Chung, T.-S.; Ren, J.; Wang, R. Thickness Dependence of Macrovoid Evolution in Wet Phase-Inversion Asymmetric Membranes. Ind. Eng. Chem. Res. 2004, 43, 1553–1556. [Google Scholar] [CrossRef]
- Qasim, H.M.; Ayass, W.W.; Donfack, P.; Mougharbel, A.S.; Bhattacharya, S.; Nisar, T.; Balster, T.; Solé-Daura, A.; Römer, I.; Goura, J.; et al. Peroxo-Cerium(IV)-Containing Polyoxometalates: [CeIV6(O2)9(GeW10O37)3]24–, a Recyclable Homogeneous Oxidation Catalyst. Inorg. Chem. 2019, 58, 11300–11307. [Google Scholar] [CrossRef]
- Razmjou, A.; Mansouri, J.; Chen, V. The effects of mechanical and chemical modification of TiO2 nanoparticles on the surface chemistry, structure and fouling performance of PES ultrafiltration membranes. J. Membr. Sci. 2011, 378, 73–84. [Google Scholar] [CrossRef]
- Gong, X.-Y.; Huang, Z.-H.; Zhang, H.; Liu, W.-L.; Ma, X.-H.; Xu, Z.-L.; Tang, C.Y. Novel high-flux positively charged composite membrane incorporating titanium-based MOFs for heavy metal removal. Chem. Eng. J. 2020, 398, 125706. [Google Scholar] [CrossRef]
- Basu, S.; Balakrishnan, M. Polyamide thin film composite membranes containing ZIF-8 for the separation of pharmaceutical compounds from aqueous streams. Sep. Purif. Technol. 2017, 179, 118–125. [Google Scholar] [CrossRef]











| Hybrid Material | Dosage (wt.%) | Aqueous Solution | n-Hexane | ||
|---|---|---|---|---|---|
| MPD (wt.%) | SDS (wt.%) | DI Water (wt.%) | TMC (w/v.%) | ||
| CPA, CPB, CBTCP CATCP | 0 | 2.0 | 0.1 | 97.90 | 0.15 |
| 0.05 | 2.0 | 0.1 | 98.85 | 0.15 | |
| 0.10 | 2.0 | 0.1 | 97.80 | 0.15 | |
| 0.20 | 2.0 | 0.1 | 97.70 | 0.15 | |
| Hybrid Material | Nanoparticle (wt.%) | Aqueous Solution | n-Hexane | ||
|---|---|---|---|---|---|
| MPD (wt.%) | SDS (wt.%) | DI Water (wt.%) | TMC (w/v.%) | ||
| CBTCP | GO: 0.0175 | 2.0 | 0.1 | 97.68 | 0.15 |
| (0.2 wt.%) | TiO2: 0.1 | 2.0 | 0.1 | 97.60 | 0.15 |
| CATCP | GO: 0.0175 | 2.0 | 0.1 | 97.78 | 0.15 |
| (0.1 wt.%) | TiO2: 0.1 | 2.0 | 0.1 | 97.70 | 0.15 |
| Hybrid Material | Carbon (wt.%/at.%) | Nitrogen (wt.%/at.%) | Oxygen (wt.%/at.%) | Molybdenum (wt.%/at.%) |
|---|---|---|---|---|
| CPA | 5.89/16.05 | 0.38/0.89 | 29.89/61.24 | 63.84/21.81 |
| CPB | 21.18/45.49 | 2.12/3.91 | 22.31/35.97 | 54.37/14.62 |
| CATCP | 10.43/26.74 | 0.24/0.52 | 27.47/52.87 | 61.85/19.85 |
| CBTCP | 19.33/36.4 | 2.35/0.57 | 22.77/52.80 | 55.55/19.50 |
| Hybrid Material | Carbon (wt.%/at.%) | Nitrogen (wt.%/at.%) | Oxygen (wt.%/at.%) | Molybdenum (wt.%/at.%) | Ti (wt.%/at.%) |
|---|---|---|---|---|---|
| CPA | 51.33/78.18 | 0.96/1.27 | 11.83/13.65 | 35.88/6.90 | - |
| CPB | 54.14/77.57 | 2.73/3.35 | 12.66/13.62 | 30.48/5.47 | - |
| CATCP | 51.30/74.20 | 5.22/6.47 | 12.53/13.60 | 30.27/5.48 | 0.68/0.25 |
| CBTCP | 52.51/74.34 | 6.02/7.31 | 12.40/13.18 | 28.96/5.13 | 0.12/0.04 |
Publisher’s Note: MDPI stays neutral with regard to jurisdictional claims in published maps and institutional affiliations. |
© 2021 by the authors. Licensee MDPI, Basel, Switzerland. This article is an open access article distributed under the terms and conditions of the Creative Commons Attribution (CC BY) license (https://creativecommons.org/licenses/by/4.0/).
Share and Cite
Lin, Y.-L.; Samannan, B.; Tung, K.-L.; Thavasikani, J.; Dong, C.-D.; Chen, C.-W.; Wu, C.-H.; Cheng, Y.-R. Synthesizing Various Organic Polyacid Compounds for Modifying Forward Osmosis Membranes to Enhance Separation Performance. Membranes 2021, 11, 597. https://doi.org/10.3390/membranes11080597
Lin Y-L, Samannan B, Tung K-L, Thavasikani J, Dong C-D, Chen C-W, Wu C-H, Cheng Y-R. Synthesizing Various Organic Polyacid Compounds for Modifying Forward Osmosis Membranes to Enhance Separation Performance. Membranes. 2021; 11(8):597. https://doi.org/10.3390/membranes11080597
Chicago/Turabian StyleLin, Yi-Li, Bharath Samannan, Kuo-Lun Tung, Jeyabalan Thavasikani, Cheng-Di Dong, Chiu-Wen Chen, Chung-Hsin Wu, and Yu-Rong Cheng. 2021. "Synthesizing Various Organic Polyacid Compounds for Modifying Forward Osmosis Membranes to Enhance Separation Performance" Membranes 11, no. 8: 597. https://doi.org/10.3390/membranes11080597
APA StyleLin, Y.-L., Samannan, B., Tung, K.-L., Thavasikani, J., Dong, C.-D., Chen, C.-W., Wu, C.-H., & Cheng, Y.-R. (2021). Synthesizing Various Organic Polyacid Compounds for Modifying Forward Osmosis Membranes to Enhance Separation Performance. Membranes, 11(8), 597. https://doi.org/10.3390/membranes11080597

