The Effect of Plasticizers on the Polypyrrole-Poly(vinyl alcohol)-Based Conducting Polymer Electrolyte and Its Application in Semi-Transparent Dye-Sensitized Solar Cells
Abstract
:1. Introduction
2. Experimental
2.1. Materials
2.2. Preparation of the Plasticized Polymer Electrolyte
2.3. Characterization and Measurements
3. Results and Discussion
3.1. Fourier-Transform Infrared Spectroscopy (FTIR) Analysis
3.2. X-ray Diffraction Analysis
3.3. UV–Vis Spectra Analysis
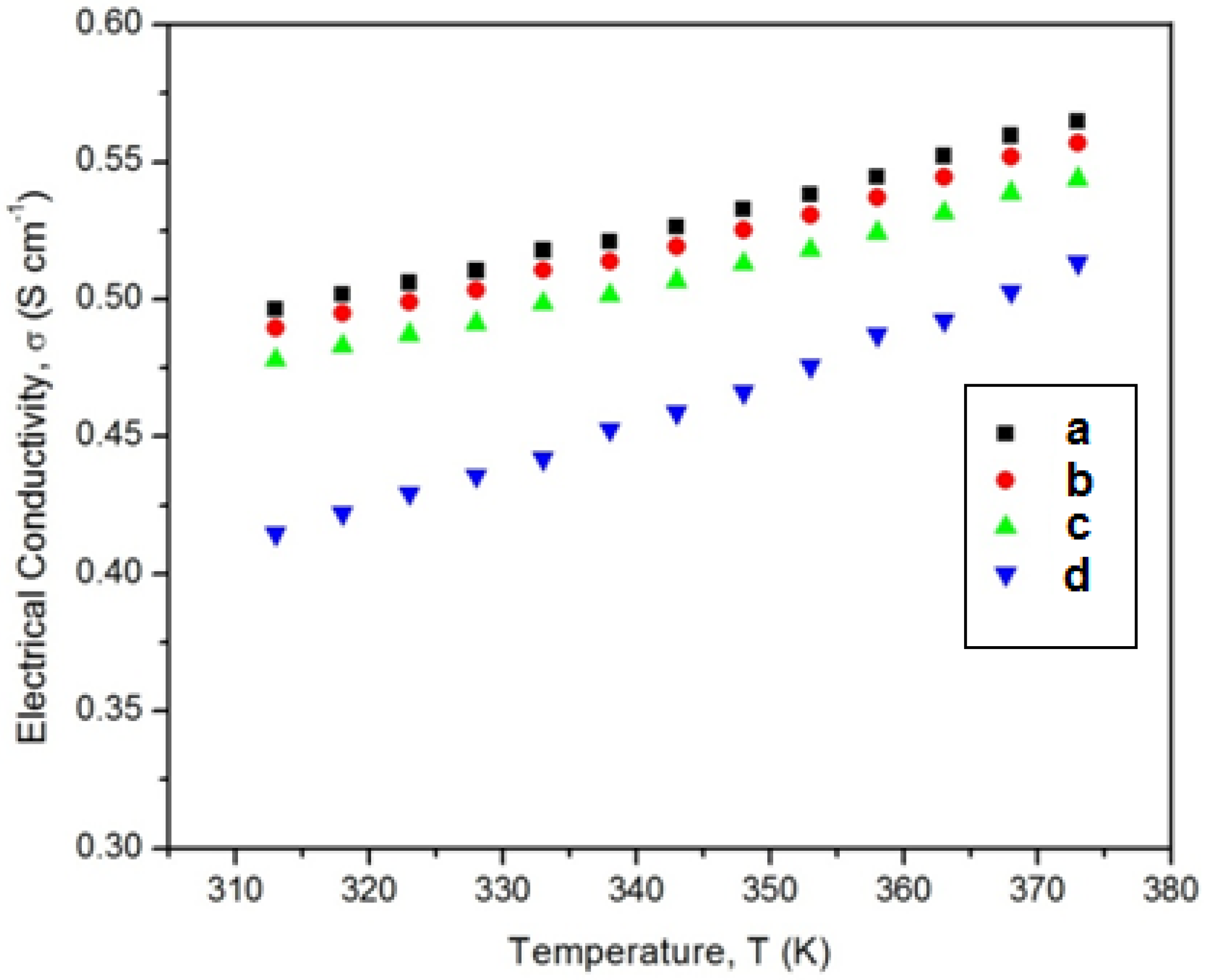
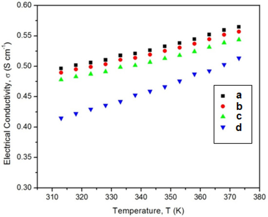
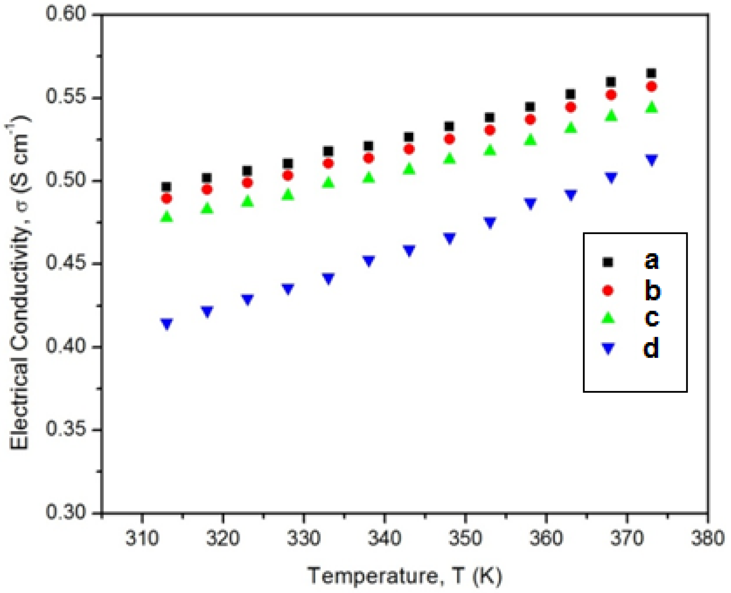
3.4. Electrical Conductivity Measurement
3.5. Electrochemical Impedance Spectroscopy Analysis
3.6. Photovoltaic Performances
3.7. AFM Analysis
4. Conclusions
Author Contributions
Funding
Institutional Review Board Statement
Informed Consent Statement
Data Availability Statement
Acknowledgments
Conflicts of Interest
References
- O’Regan, B.; Grätzel, M. A low-cost, high-efficiency solar cell based on dye-sensitized colloidal TiO2 films. Nature 1991, 353, 737–740. [Google Scholar] [CrossRef]
- Grätzel, M. Conversion of sunlight to electric power by nanocrystalline dye-sensitized solar cells. J. Photochem. Photobiol. A Chem. 2004, 164, 3–14. [Google Scholar] [CrossRef]
- Kalowekamo, J.; Baker, E. Estimating the manufacturing cost of purely organic solar cells. Sol. Energy 2009, 83, 1224–1231. [Google Scholar] [CrossRef]
- Desai, S.; Shepherd, R.; Innis, P.; Murphy, P.; Hall, C.; Fabretto, M.; Wallace, G. Gel electrolytes with ionic liquid plasticiser for electrochromic devices. Electrochim. Acta 2011, 56, 4408–4413. [Google Scholar] [CrossRef]
- Ng, B.C.; Wong, H.Y.; Chew, K.W.; Osman, Z. Development and characterization of poly-ε-caprolactone based polymer electrolyte for lithium rechargeable battery. Int. J. Electrochem. Sci. 2011, 6, 4355–4364. Available online: http://www.electrochemsci.org/papers/vol6/6094355.pdf (accessed on 7 December 2019).
- Noor, M.; Buraidah, M.; Careem, M.; Majid, S.; Arof, A. An optimized poly(vinylidene fluoride-hexafluoropropylene)-NaI gel polymer electrolyte and its application in natural dye sensitized solar cells. Electrochim. Acta 2014, 121, 159–167. [Google Scholar] [CrossRef]
- Kesavan, K.; Mathew, C.M.; Rajendran, S. Lithium ion conduction and ion-polymer interaction in poly(vinyl pyrrolidone) based electrolytes blended with different plasticizers. Chin. Chem. Lett. 2014, 25, 1428–1434. [Google Scholar] [CrossRef]
- Silva, G.G. Solid state polymeric electrolytes based on poly(epichlorohydrin). Solid State Ion. 1996, 93, 105–116. [Google Scholar] [CrossRef]
- Kato, T.; Okazaki, A.; Hayase, S. Latent gel electrolyte precursors for quasi-solid dye sensitized solar cells. Chem. Commun. 2005, 3, 363–365. [Google Scholar] [CrossRef]
- Ren, Y.; Zhang, Z.; Gao, E.; Fang, S.; Cai, S. A dye-sensitized nanoporous TiO2 photoelectrochemical cell with novel gel network polymer electrolyte. J. Appl. Electrochem. 2001, 31, 445–447. [Google Scholar] [CrossRef]
- Nogueira, V.C.; Longo, C.; Nogueira, A.F.; Soto-Oviedo, M.A.; De Paoli, M.-A. Solid-state dye-sensitized solar cell: Improved performance and stability using a plasticized polymer electrolyte. J. Photochem. Photobiol. A Chem. 2006, 181, 226–232. [Google Scholar] [CrossRef]
- Ito, B.I.; De Freitas, J.N.; De Paoli, M.-A.; Nogueira, A.F. Application of a composite polymer electrolyte based on montmorillonite in dye-sensitized solar cells. J. Braz. Chem. Soc. 2008, 19, 688–696. [Google Scholar] [CrossRef]
- Manikandan, K.M.; Yelilarasi, A.; Senthamaraikannan, P.; Saravanakumar, S.S.; Khan, A.; Asiri, A.M. The conducting polymer electrolyte based on polypyrrole-polyvinyl alcohol and its application in low-cost quasi-solid-state dye-sensitized solar cells. J. Solid State Electrochem. 2018, 22, 3785–3797. [Google Scholar] [CrossRef]
- Khan, A.A.; Khan, A. Synthesis, characterization and electrical conductivity measurement studies of poly-o-anisidine Sn(IV) phosphate [POASn(IV)P] nano-composite cation-exchange material. Mater. Sci. Eng. B 2009, 158, 92–97. [Google Scholar] [CrossRef]
- Davis, E.A.; Mott, N.F. Conduction in non-crystalline systems V. Conductivity, optical absorption and photoconductivity in amorphous semiconductors. Philos. Mag. 1970, 22, 0903–0922. [Google Scholar] [CrossRef]
- Xu, C.; Sun, J.; Gao, L. Synthesis of novel hierarchical graphene/polypyrrole nanosheet composites and their superior electrochemical performance. J. Mater. Chem. 2011, 21, 11253–11258. [Google Scholar] [CrossRef]
- Fu, Y.; Manthiram, A. Core-shell structured sulfur-polypyrrole composite cathodes for lithium-sulfur batteries. RSC Adv. 2012, 2, 5927–5929. [Google Scholar] [CrossRef]
- Ahmad, Z.; Choudhary, M.A.; Mehmood, A.; Wakeel, R.; Akhtar, T.; Rafiq, M.A. Synthesis of polypyrrole nano/microspheres using cobalt(III) as an oxidizing agent and its ammonia sensing behavior. Macromol. Res. 2016, 24, 596–601. [Google Scholar] [CrossRef]
- Singh, M.; Singh, V.K.; Surana, K.; Bhattacharya, B.; Singh, P.K.; Rhee, H.-W. New polymer electrolyte for electrochemical application. J. Ind. Eng. Chem. 2013, 19, 819–822. [Google Scholar] [CrossRef]
- Teo, L.; Tiong, T.; Buraidah, M.; Arof, A. Effect of lithium iodide on the performance of dye sensitized solar cells (DSSC) using poly(ethylene oxide) (PEO)/poly(vinyl alcohol) (PVA) based gel polymer electrolytes. Opt. Mater. 2018, 85, 531–537. [Google Scholar] [CrossRef]
- Mathew, C.M.; Karthika, B.; Ulaganathan, M.; Rajendran, S. Electrochemical analysis on poly(ethyl methacrylate)-based electrolyte membranes. Bull. Mater. Sci. 2015, 38, 151–156. [Google Scholar] [CrossRef]
- Rajendran, S.; Prabhu, M.R. Effect of different plasticizer on structural and electrical properties of PEMA-based polymer electrolytes. J. Appl. Electrochem. 2009, 40, 327–332. [Google Scholar] [CrossRef]
- Mohamed, S.A.; Al-Ghamdi, A.; Sharma, G.; El Mansy, M. Effect of ethylene carbonate as a plasticizer on CuI/PVA nanocomposite: Structure, optical and electrical properties. J. Adv. Res. 2014, 5, 79–86. [Google Scholar] [CrossRef] [PubMed] [Green Version]
- Bdewi, S.F.; Abdullah, O.G.; Aziz, B.; Mutar, A.A. Synthesis, structural and optical characterization of MgO nanocrystalline embedded in PVA matrix. J. Inorg. Organomet. Polym. Mater. 2015, 26, 326–334. [Google Scholar] [CrossRef]
- Aslam, M.; Kalyar, M.A.; Raza, Z.A. Graphene oxides nanosheets mediation of poly(vinyl alcohol) films in tuning their structural and opto-mechanical attributes. J. Mater. Sci. Mater. Electron. 2017, 28, 13401–13413. [Google Scholar] [CrossRef]
- Rao, C.N.R. Ultraviolet and Visible Spectroscopy: Chemical Applications; Butterworth: London, UK, 1967. [Google Scholar]
- Ahmed, H.T.; Jalal, V.J.; Tahir, D.A.; Mohamad, A.H.; Abdullah, O.G. Effect of PEG as a plasticizer on the electrical and optical properties of polymer blend electrolyte MC-CH-LiBF4 based films. Results Phys. 2019, 15, 102735. [Google Scholar] [CrossRef]
- Mathew, C.M.; Kesavan, K.; Rajendran, S. Analysis of plasticizer influence in poly(vinyl acetate)/poly(vinylidene fluoride) polymer blend electrolyte. Ionics 2014, 20, 439–443. [Google Scholar] [CrossRef]
- Jung, M.-H. Polypyrrole/poly(vinyl alcohol-co-ethylene) quasi-solid gel electrolyte for iodine-free dye-sensitized solar cells. J. Power Sources 2014, 268, 557–564. [Google Scholar] [CrossRef]
- Ha, S.-J.; Park, J.H.; Moon, J.H. Quasi-solid-state dye-sensitized solar cells with macropore-containing hierarchical electrodes. Electrochim. Acta 2014, 135, 192–198. [Google Scholar] [CrossRef]
- Li, F.; Jennings, J.R.; Wang, X.; Fan, L.; Koh, Z.Y.; Yu, H.; Yan, L.; Wang, Q. Influence of ionic liquid on recombination and regeneration kinetics in dye-sensitized solar cells. J. Phys. Chem. C 2014, 118, 17153–17159. [Google Scholar] [CrossRef]
- Papageorgiou, N.; Maier, W.F.; Gratzel, M. An Iodine/Triiodide reduction electrocatalyst for aqueous and organic media. J. Electrochem. Soc. 1997, 144, 876–884. [Google Scholar] [CrossRef]









| Sample | IT | IC | Crystallinity, χ (%) |
|---|---|---|---|
| PVA/PPy/EC/KI/I2 | 2530.14 | 246.68 | 9.75 |
| PVA/PPy/PC/KI/I2 | 2353.80 | 251.13 | 10.66 |
| PVA/PPy/GBL/KI/I2 | 2586.73 | 267.96 | 10.35 |
| PVA/PPy/DBP/KI/I2 | 2561.90 | 255.84 | 9.99 |
| Sample | Indirect Band Gap (eV) |
|---|---|
| PVA/PPy/EC/KI/I2 | 1.78 |
| PVA/PPy/PC/KI/I2 | 1.90 |
| PVA/PPy/GBL/KI/I2 | 2.19 |
| PVA/PPy/DBP/KI/I2 | 2.26 |
| Sample | Electrical Conductivity (S cm−1) | Activation Energy (kJ mol−1) |
|---|---|---|
| PVA/PPy/EC/KI/I2 | 0.496 | 0.863 |
| PVA/PPy/PC/KI/I2 | 0.489 | 0.959 |
| PVA/PPy/GBL/KI/I2 | 0.477 | 1.128 |
| PVA/PPy/DBP/KI/I2 | 0.414 | 1.499 |
| Sample | Rs (Ω cm2) | Rct1 (Ω cm2) | Rct2 (Ω cm2) |
|---|---|---|---|
| PVA/PPy/EC/KI/I2 | 5.339 | 3.050 | 3. 879 |
| PVA/PPy/PC/KI/I2 | 6.139 | 3.252 | 3.884 |
| PVA/PPy/GBL/KI/I2 | 5.850 | 3.900 | 4.610 |
| PVA/PPy/DBP/KI/I2 | 6.565 | 3.505 | 3.974 |
| Sample | Voc (mV) | Jsc (mAcm−2) | FF | Efficiency, η % |
|---|---|---|---|---|
| PVA/PPy/EC/KI/I2 | 0.714 | 11.097 | 0.530 | 4.19 |
| PVA/PPy/PC/KI/I2 | 0.711 | 10.709 | 0.542 | 4.15 |
| PVA/PPy/GBL/KI/I2 | 0.696 | 10.580 | 0.556 | 4.10 |
| PVA/PPy/DBP/KI/I2 | 0.692 | 10.413 | 0.550 | 4.12 |
Publisher’s Note: MDPI stays neutral with regard to jurisdictional claims in published maps and institutional affiliations. |
© 2021 by the authors. Licensee MDPI, Basel, Switzerland. This article is an open access article distributed under the terms and conditions of the Creative Commons Attribution (CC BY) license (https://creativecommons.org/licenses/by/4.0/).
Share and Cite
Manikandan, K.; Yelilarasi, A.; Saravanakumar, S.; Althomali, R.H.; Khan, A.; Abualnaja, K.M.; Alhashmialameer, D.; Hussein, M. The Effect of Plasticizers on the Polypyrrole-Poly(vinyl alcohol)-Based Conducting Polymer Electrolyte and Its Application in Semi-Transparent Dye-Sensitized Solar Cells. Membranes 2021, 11, 791. https://doi.org/10.3390/membranes11100791
Manikandan K, Yelilarasi A, Saravanakumar S, Althomali RH, Khan A, Abualnaja KM, Alhashmialameer D, Hussein M. The Effect of Plasticizers on the Polypyrrole-Poly(vinyl alcohol)-Based Conducting Polymer Electrolyte and Its Application in Semi-Transparent Dye-Sensitized Solar Cells. Membranes. 2021; 11(10):791. https://doi.org/10.3390/membranes11100791
Chicago/Turabian StyleManikandan, KM, Arunagiri Yelilarasi, SS Saravanakumar, Raed H. Althomali, Anish Khan, Khamael M. Abualnaja, Dalal Alhashmialameer, and MA Hussein. 2021. "The Effect of Plasticizers on the Polypyrrole-Poly(vinyl alcohol)-Based Conducting Polymer Electrolyte and Its Application in Semi-Transparent Dye-Sensitized Solar Cells" Membranes 11, no. 10: 791. https://doi.org/10.3390/membranes11100791
APA StyleManikandan, K., Yelilarasi, A., Saravanakumar, S., Althomali, R. H., Khan, A., Abualnaja, K. M., Alhashmialameer, D., & Hussein, M. (2021). The Effect of Plasticizers on the Polypyrrole-Poly(vinyl alcohol)-Based Conducting Polymer Electrolyte and Its Application in Semi-Transparent Dye-Sensitized Solar Cells. Membranes, 11(10), 791. https://doi.org/10.3390/membranes11100791

