Synergistic Effect of 2-Acrylamido-2-methyl-1-propanesulfonic Acid on the Enhanced Conductivity for Fuel Cell at Low Temperature
Abstract
1. Introduction
2. Materials and Methods
2.1. Materials
2.2. Synthesis of SPEES and Introducing of Thionyl Chloride into SPEES
2.3. Membrane Preparation
2.4. Instrumental Characterization
3. Physio-Chemical Characterization
3.1. Water Uptake and Swelling ratio and Ion-Exchange Capacity (IEC)
3.2. Oxidative, Chemical Stability, and Proton Conductivity
3.3. Membrane Electrode Assembly (MEA)
4. Results and Discussion
4.1. Strutucture Characterization
4.2. Morphological Structure
4.3. Thermal and Mechanical Properties
4.4. Water Uptake and Swelling Ratio and IEC
4.5. Oxidative and Chemical Stability
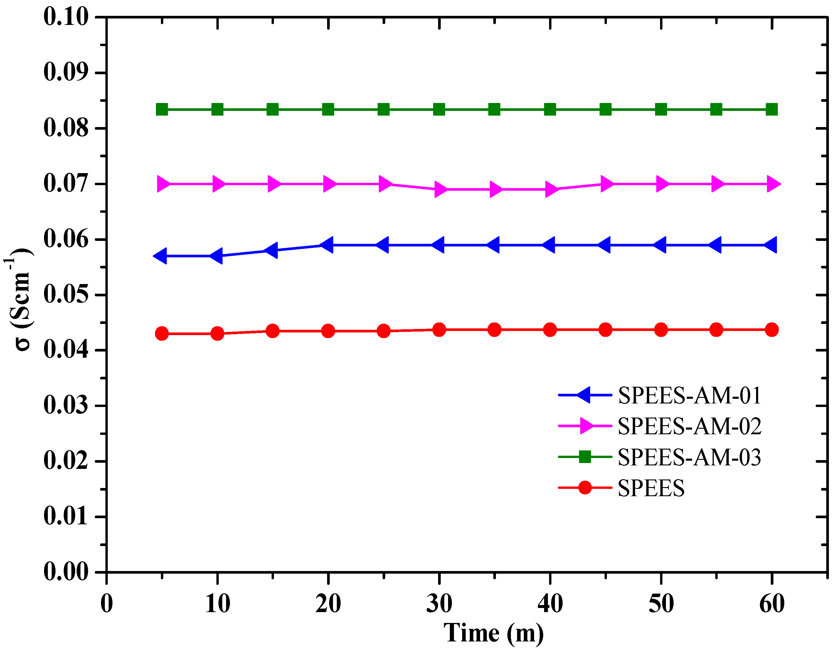
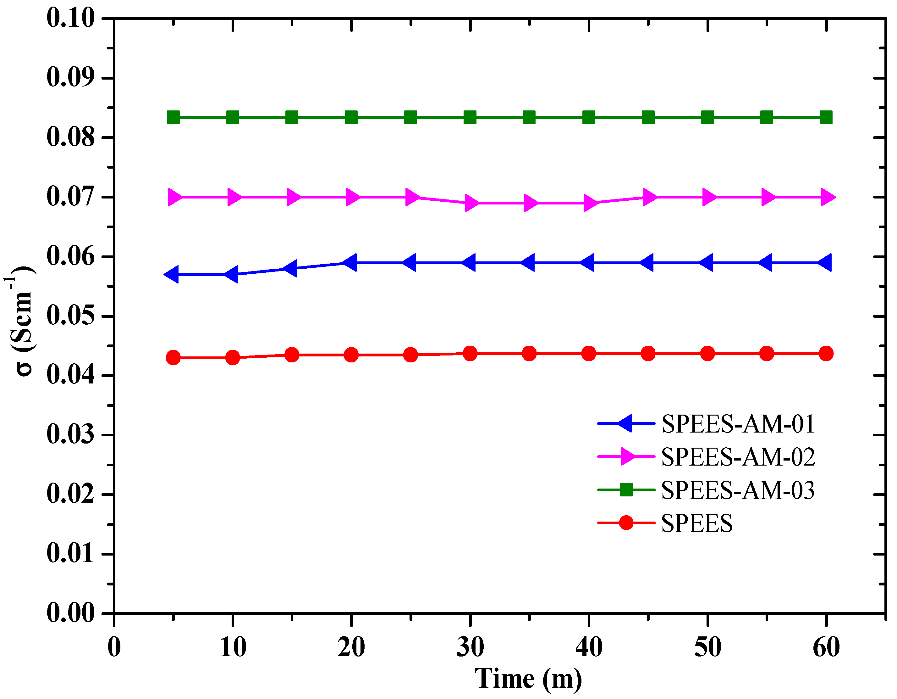
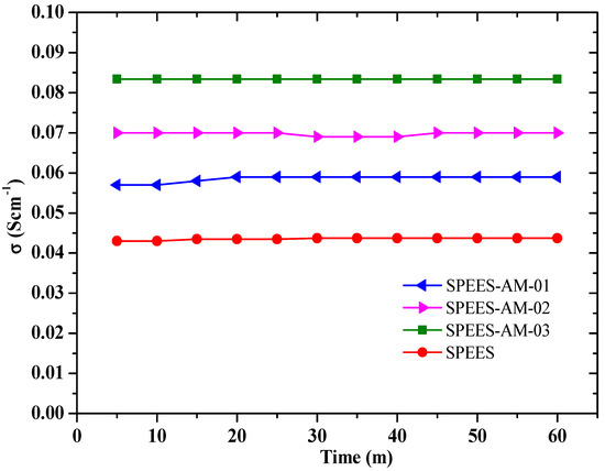
4.6. Proton Conductivity and Activation Energy
4.7. Fuel Cell Performance
5. Conclusions
Author Contributions
Funding
Conflicts of Interest
References
- Das, A.K.; Manohar, M.; Shahi, V.K. Cation-exchange membrane with low frictional coefficient and high limiting current density for energy-efficient water desalination. ACS Omega 2018, 3, 10331–10340. [Google Scholar] [CrossRef]
- Manohar, M.; Shahi, V.K. Graphene oxide—Polyaniline as a water dissociation catalyst in the interfacial layer of bipolar membrane for energy-saving production of carboxylic acids from carboxylates by electrodialysis. ACS Sustain. Chem. Eng. 2018, 6, 3463–3471. [Google Scholar] [CrossRef]
- Manohar, M.; Kim, D. Advantageous of hybrid fuel cell operation under self-humidification for energy efficient bipolar membrane. ACS Sustain. Chem. Eng. 2019, 7, 16493–16500. [Google Scholar] [CrossRef]
- Kumar, S.; Bhushan, M.; Manohar, M.; Makwana, B.; Shahi, V.K. In-sight studies on concentration polarization and water splitting during electro-deionization for rapid production of ultrapure water (@18.2 MΩ cm) with improved efficiency. J. Membr. Sci. 2019, 589, 117248. [Google Scholar] [CrossRef]
- Yoshimura, K.; Iwasaki, K. Aromatic polymer with pendant perfluoroalkyl sulfonic acid for fuel cell applications. Macromolecules 2009, 42, 9302–9306. [Google Scholar] [CrossRef]
- So, S.Y.; Hong, Y.T.; Kim, S.C.; Lee, S.Y. Control of water-channel structure and state of water in sulfonated poly(arylene ether sulfone)/diethoxydimethylsilane in situ hybridized proton conductors and its influence on transport properties for DMFC membranes. J. Membr. Sci. 2010, 346, 131–135. [Google Scholar] [CrossRef]
- Li, W.; Manthiram, A.; Guiver, M.D. Acid–base blend membranes consisting of sulfonated poly(ether ether ketone) and 5-amino-benzotriazole tethered polysulfone for DMFC. J. Membr. Sci. 2010, 362, 289–297. [Google Scholar] [CrossRef]
- Zhang, Z.; Chalkova, E.; Fedkin, M.; Wang, C.; Lvov, S.N.; Komarneni, S.; Chung, T.C.M. Synthesis and characterization of poly(vinylidene fluoride)-g-sulfonated polystyrene graft copolymers for proton exchange membrane. Macromolecules 2008, 41, 9130–9139. [Google Scholar] [CrossRef]
- Feng, S.; Shang, Y.; Wang, S.; Xie, X.; Wang, Y.; Wang, Y.; Xu, J. Novel method for the preparation of ionically crosslinked sulfonated poly(arylene ether sulfone)/polybenzimidazole composite membranes via in situ polymerization. J. Membr. Sci. 2010, 346, 105–112. [Google Scholar] [CrossRef]
- Fu, Y.; Manthiram, A. Synthesis and characterization of sulfonated polysulfone membranes for direct methanol fuel cells. J. Power Sources 2006, 157, 222–225. [Google Scholar] [CrossRef]
- Tan, S.; Laforgue, A.; Belanger, D. Characterization of a cation-exchange/polyaniline composite membrane. Langmuir 2003, 19, 744–751. [Google Scholar] [CrossRef]
- Tan, S.; Tieu, J.H.; Belanger, D. Chemical polymerization of aniline on a poly(styrene sulfonic acid) membrane: Controlling the polymerization site using different oxidants. J. Phys. Chem. B 2005, 109, 14085–14092. [Google Scholar] [CrossRef] [PubMed]
- Sata, T.; Ishii, Y.; Kawamura, K.; Matsusaki, K. Composite membranes prepared from cation exchange membranes and polyaniline and their transport properties in electrodialysis. J. Electrochem. Soc. 1999, 146, 585–591. [Google Scholar] [CrossRef]
- Nagarale, R.K.; Gohil, G.; Shahi, V.K. Sulfonated poly(ether ether ketone)/polyaniline composite proton-exchange membrane. J. Membr. Sci. 2006, 280, 389–396. [Google Scholar] [CrossRef]
- Sata, T.; Funakoshi, A.T.; Akai, K. Preparation and transport properties of composite membranes composed of cation exchange membranes and polypyrrole. Macromolecules 1996, 29, 4029–4035. [Google Scholar] [CrossRef]
- Gohil, G.; Binsu, V.; Shahi, V.K. Preparation and characterization of mono-valent ion selective polypyrrole composite ion-exchange membranes. J. Membr. Sci. 2006, 280, 210–218. [Google Scholar] [CrossRef]
- Hu, Y.; Wang, M.; Wang, D.; Gao, X.; Gao, C. Feasibility study on surface modification of cation exchange membranes by quaternized chitosan for improving its selectivity. J. Membr. Sci. 2008, 319, 5–9. [Google Scholar] [CrossRef]
- Vatanpour, V.; Madaeni, S.S.; Khataee, A.R.; Salehi, E.; Zinadini, S.; Monfared, H.A. TiO2 embedded mixed matrix PES nanocomposite membranes: Influence of differentsizes and types of nanoparticles on antifouling and performance. Desalination 2012, 292, 19–29. [Google Scholar] [CrossRef]
- Razmjou, A.; Arifin, E.; Dong, G.; Mansouri, J.; Chen, V. Superhydrophobic modification of TiO2 nanocomposite PVDF membranes for applications in membrane distillation. J. Membr. Sci. 2012, 415, 850–863. [Google Scholar] [CrossRef]
- Kumar, R.; Xu, C.; Scott, K. Graphite oxide/nafion composite membranes for polymer electrolyte fuel cells. RSC Adv. 2012, 2, 8777–8782. [Google Scholar] [CrossRef]
- Thakur, A.K.; Manohar, M.; Shahi, V.K. Bi-functionalized copolymer-sulphonated SiO2 embedded with aprotic ionic liquid based anhydrous proton conducting membrane for high temperature application. J. Membr. Sci. 2015, 490, 266–274. [Google Scholar] [CrossRef]
- Wu, X.; Qiao, Y.; Yang, H.; Wang, J. Self-assembly of a series of random copolymers bearing amphiphilic side chains. J. Colloid Interface Sci. 2010, 349, 560–564. [Google Scholar] [CrossRef] [PubMed]
- Diao, H.; Yan, F.; Qiu, L.; Lu, J.; Lu, X.; Lin, B.; Li, Q.; Jiang, S.; Liu, W.; Liu, J.; et al. High performance cross-linked poly(2-acrylamido-2-methylpropanesulfonic acid)-based proton exchange membranes for fuel cells. Macromolecules 2010, 43, 6398–6405. [Google Scholar] [CrossRef]
- Thakur, A.K.; Manohar, M.; Shahi, V.K. Controlled metal loading on poly(2-acrylamido-2-methyl-propane-sulfonic acid) membranes by an ion-exchange process to improve electrodialytic separation performance for mono-/bi-valent ions. J. Mater. Chem. A 2015, 3, 18279–18288. [Google Scholar] [CrossRef]
- Jiang, Z.; Zheng, X.; Wu, H.; Wang, J.; Wang, Y. Proton conducting CS/P(AA-AMPS) membrane with reduced methanol permeability for DMFCs. J. Power Sources 2008, 180, 143–153. [Google Scholar] [CrossRef]
- Pei, H.Q.; Hong, L.; Lee, J.Y. Polymer electrolyte membrane based on 2-acrylamido-2-methyl propanesulfonic acid fabricated by embedded polymerization. J. Power Sources 2006, 160, 949–956. [Google Scholar] [CrossRef]
- Zhong, S.; Cui, X.; Cai, H.; Fu, T.; Shao, K.; Na, H. Crosslinked SPEEK/AMPS blend membranes with high proton conductivity and low methanol diffusion coefficient for DMFC applications. J. Power Sources 2007, 168, 154–161. [Google Scholar] [CrossRef]
- Devrim, Y.G.; Rzaev, Z.; Pişkin, E. Physically and chemically cross-linked poly{[(maleic anhydride)-alt-styrene]-co-(2-acrylamido-2-methyl-1-propanesulfonic acid)}/poly(ethylene glycol) proton-exchange membranes. Macromol. Chem. Phys. 2007, 208, 175–187. [Google Scholar] [CrossRef]
- Walker, C.W., Jr. Proton-conducting polymer membrane comprised of a copolymer of 2-acrylamido-2-methylpropanesulfonic acid and 2-hydroxyethyl methacrylate. J. Power Sources 2002, 110, 144–151. [Google Scholar] [CrossRef]
- Tripathi, B.P.; Chakrabarty, T.; Shahi, V.K. Highly charged and stable cross-linked 4,4’-bis(4-aminophenoxy)biphenyl-3,3’-disulfonic acid (BAPBDS)-sulfonated poly(ether sulfone) polymer electrolyte membranes impervious to methanol. J. Mater. Chem. 2010, 20, 8036–8044. [Google Scholar] [CrossRef]
- Ahlfield, J.M.; Liu, L.; Kohl, P.A. PEM/AEM junction design for bipolar membrane fuel cells. J. Electrochem. Soc. 2017, 164, F1165–F1171. [Google Scholar] [CrossRef]
- Pandey, R.P.; Das, A.K.; Shahi, V.K.; Pey, R.P. 2-Acrylamido-2-methyl-1-propanesulfonic acid grafted poly(vinylidene fluoride-co-hexafluoropropylene)-based acid-/oxidative-resistant cation exchange for membrane electrolysis. ACS Appl. Mater. Interfaces 2015, 7, 28524–28533. [Google Scholar] [CrossRef] [PubMed]
- Park, H.S.; Kim, Y.J.; Hong, W.H.; Choi, Y.S.; Lee, H.K. Influence of morphology on the transport properties of perfluorosulfonate ionomers/polypyrrole composite membrane. Macromolecules 2005, 38, 2289–2295. [Google Scholar] [CrossRef]
- Chen, W.; Cheplick, M.; Reinken, G.; Jones, R. Implementation of sorption kinetics coupled with differential degradation in the soil pore water system for FOCUS-PRZM. ACS Symp. Ser. 2014, 40, 275–297. [Google Scholar] [CrossRef]















| Membrane | σ | WU (%) | SR (%) | AT (%) | BT (%) | IEC (meq·g−1) |
|---|---|---|---|---|---|---|
| SPEES | 0.031 | 16 | 20 | 3.25 | 4.11 | 1.75 |
| SPEES-AMPS-01 | 0.047 | 20 | 27 | 0.11 | 0.21 | 1.87 |
| SPEES-AMPS-02 | 0.058 | 26 | 35 | 1.22 | 0.45 | 2.01 |
| SPEES-AMPS-03 | 0.071 | 30 | 41 | 3.78 | 2.55 | 2.17 |
| N115 | 0.021 | 11 | 13 | |||
| Solvent | PEES | SPEES | SPEES-AMPS |
|---|---|---|---|
| CH3OH | Insoluble | Insoluble | |
| CH3OCH3 | Insoluble | Insoluble | |
| DMAc | Insoluble | Soluble at <40 °C | Soluble at 25 °C |
| DMF | Insoluble | Soluble at <40 °C | Soluble at 25 °C |
| THF | Insoluble | Insoluble | Soluble at 45 °C |
| NMP | Insoluble | Soluble at 50 °C | Soluble at 25 °C |
| DMSO | Insoluble | Soluble at 50 °C | Soluble at 25 °C |
| H2SO4 | Soluble | Soluble | Soluble |
Publisher’s Note: MDPI stays neutral with regard to jurisdictional claims in published maps and institutional affiliations. |
© 2020 by the authors. Licensee MDPI, Basel, Switzerland. This article is an open access article distributed under the terms and conditions of the Creative Commons Attribution (CC BY) license (http://creativecommons.org/licenses/by/4.0/).
Share and Cite
Manohar, M.; Kim, D. Synergistic Effect of 2-Acrylamido-2-methyl-1-propanesulfonic Acid on the Enhanced Conductivity for Fuel Cell at Low Temperature. Membranes 2020, 10, 426. https://doi.org/10.3390/membranes10120426
Manohar M, Kim D. Synergistic Effect of 2-Acrylamido-2-methyl-1-propanesulfonic Acid on the Enhanced Conductivity for Fuel Cell at Low Temperature. Membranes. 2020; 10(12):426. https://doi.org/10.3390/membranes10120426
Chicago/Turabian StyleManohar, Murli, and Dukjoon Kim. 2020. "Synergistic Effect of 2-Acrylamido-2-methyl-1-propanesulfonic Acid on the Enhanced Conductivity for Fuel Cell at Low Temperature" Membranes 10, no. 12: 426. https://doi.org/10.3390/membranes10120426
APA StyleManohar, M., & Kim, D. (2020). Synergistic Effect of 2-Acrylamido-2-methyl-1-propanesulfonic Acid on the Enhanced Conductivity for Fuel Cell at Low Temperature. Membranes, 10(12), 426. https://doi.org/10.3390/membranes10120426
