Immunogenicity of Hepatitis B Vaccination in Patients with Ulcerative Colitis on Infliximab Is Attenuated Compared to Those on 5-Aminosalicylic Acid Therapies: A Prospective Observational Study
Abstract
1. Introduction
2. Materials and Methods
2.1. Study Design
2.2. Data Collection and Outcome Measure
2.3. Statistical Analysis
2.4. Ethical Statement
3. Results
4. Discussion
5. Conclusions
Supplementary Materials
Author Contributions
Funding
Institutional Review Board Statement
Informed Consent Statement
Data Availability Statement
Conflicts of Interest
References
- Alatab, S.; Sepanlou, S.G.; Ikuta, K.; Vahedi, H.; Bisignano, C.; Safiri, S.; Sadeghi, A.; Nixon, M.R.; Abdoli, A.; Abolhassani, H.; et al. The global, regional, and national burden of inflammatory bowel disease in 195 countries and territories, 1990–2017: A systematic analysis for the Global Burden of Disease Study 2017. Lancet Gastroenterol. Hepatol. 2020, 5, 17–30. [Google Scholar] [CrossRef]
- Gisbert, J.P.; Chaparro, M.; Esteve, M. Review article: Prevention and management of hepatitis B and C infection in patients with inflammatory bowel disease. Aliment. Pharmacol. Ther. 2011, 33, 619–633. [Google Scholar] [CrossRef] [PubMed]
- Chang, J.Y.; Jung, S.A.; Moon, C.M.; Kim, S.E.; Jung, H.K.; Shim, K.N. Response to hepatitis B vaccination in patients with inflammatory bowel disease: A prospective observational study in Korea. Intest. Res. 2018, 16, 599–608. [Google Scholar] [CrossRef]
- López-Serrano, P.; Pérez-Calle, J.L.; Sánchez-Tembleque, M.D. Hepatitis B and inflammatory bowel disease: Role of antiviral prophylaxis. World J. Gastroenterol. 2013, 19, 1342–1348. [Google Scholar] [CrossRef]
- Rahier, J.F.; Magro, F.; Abreu, C.; Armuzzi, A.; Ben-Horin, S.; Chowers, Y.; Cottone, M.; de Ridder, L.; Doherty, G.; Ehehalt, R.; et al. Second European evidence-based consensus on the prevention, diagnosis and management of opportunistic infections in inflammatory bowel disease. J. Crohns Colitis. 2014, 8, 443–468. [Google Scholar] [CrossRef] [PubMed]
- Ding, H.; Liu, B.; Zhao, C.; Yang, J.; Yan, C.; Yan, L.; Zhuang, H.; Li, T. Amino acid similarities and divergences in the small surface proteins of genotype C hepatitis B viruses between nucleos(t)ide analogue-naïve and lamivudine-treated patients with chronic hepatitis B. Antivir. Res. 2014, 102, 29–34. [Google Scholar] [CrossRef]
- Factsheet-b-hepatitisday2016.pdf. Available online: https://www.who.int/docs/default-source/searo/india/health-topic-pdf/factsheet-b-hepatitisday2016.pdf?sfvrsn=da61ef0_2 (accessed on 6 November 2023).
- Axiaris, G.; Zampeli, E.; Michopoulos, S.; Bamias, G. Management of hepatitis B virus infection in patients with inflammatory bowel disease under immunosuppressive treatment. World J. Gastroenterol. 2021, 27, 3762–3779. [Google Scholar] [CrossRef]
- Global Health Sector Strategy on Viral Hepatitis 2016–2021. Towards Ending Viral Hepatitis. Available online: https://www.who.int/publications-detail-redirect/WHO-HIV-2016.06 (accessed on 6 November 2023).
- Pattyn, J.; Hendrickx, G.; Vorsters, A.; Van Damme, P. Hepatitis B Vaccines. J. Infect. Dis. 2021, 224 (Suppl. S2), S343–S351. [Google Scholar] [CrossRef] [PubMed]
- Poorolajal, J.; Mahmoodi, M.; Majdzadeh, R.; Nasseri-Moghaddam, S.; Haghdoost, A.; Fotouhi, A. Long-term protection provided by hepatitis B vaccine and need for booster dose: A meta-analysis. Vaccine 2010, 28, 623–631. [Google Scholar] [CrossRef]
- Jiang, H.-Y.; Wang, S.-Y.; Deng, M.; Li, Y.-C.; Ling, Z.-X.; Shao, L.; Ruan, B. Immune response to hepatitis B vaccination among people with inflammatory bowel diseases: A systematic review and meta-analysis. Vaccine 2017, 35, 2633–2641. [Google Scholar] [CrossRef]
- Cai, Z.; Wang, S.; Li, J. Treatment of Inflammatory Bowel Disease: A Comprehensive Review. Front. Med. 2021, 8, 765474. [Google Scholar] [CrossRef] [PubMed]
- Vida Pérez, L.; Gómez Camacho, F.; García Sánchez, V.; Iglesias Flores, E.M.A.; Castillo Molina, L.; Cerezo Ruiz, A.; Casáis Juanena, L.; De Dios Vega, J.F. Adequate rate of response to hepatitis B virus vaccination in patients with inflammatory bowel disease. Med. Clin. 2009, 132, 331–335. [Google Scholar] [CrossRef] [PubMed]
- Altunöz, M.E.; Senateş, E.; Yeşil, A.; Calhan, T.; Ovünç, A.O.K. Patients with inflammatory bowel disease have a lower response rate to HBV vaccination compared to controls. Dig. Dis. Sci. 2012, 57, 1039–1044. [Google Scholar] [CrossRef] [PubMed]
- Gisbert, J.P.; Villagrasa, J.R.; Rodríguez-Nogueiras, A.; Chaparro, M. Efficacy of hepatitis B vaccination and revaccination and factors impacting on response in patients with inflammatory bowel disease. Am. J. Gastroenterol. 2012, 107, 1460–1466. [Google Scholar] [CrossRef] [PubMed]
- Kochhar, G.S.; Mohan, B.P.; Khan, S.R.; Chandan, S.; Kassab, L.L.; Ponnada, S.; Desai, A.; Caldera, F.; Dulai, P.S.; Farraye, F.A. Hepatitis-B Vaccine Response in Inflammatory Bowel Disease Patients: A Systematic Review and Meta-analysis. Inflamm. Bowel Dis. 2021, 27, 1610–1619. [Google Scholar] [CrossRef]
- Loras, C.; Gisbert, J.; Saro, M.; Piqueras, M.; Sánchez-Montes, C.; Barrio, J.; Ordás, I.; Montserrat, A.; Ferreiro, R.; Zabana, Y.; et al. Impact of surveillance of hepatitis b and hepatitis c in patients with inflammatory bowel disease under anti-TNF therapies: Multicenter prospective observational study (REPENTINA 3). J. Crohns Colitis. 2014, 8, 1529–1538. [Google Scholar] [CrossRef]
- Gisbert, J.P.; Menchén, L.; García-Sánchez, V.; Marín, I.; Villagrasa, J.R.; Chaparro, M. Comparison of the effectiveness of two protocols for vaccination (standard and double dosage) against hepatitis B virus in patients with inflammatory bowel disease. Aliment. Pharmacol. Ther. 2012, 35, 1379–1385. [Google Scholar] [CrossRef]
- Esteve, M.; Saro, C.; González-Huix, F.; Suarez, F.; Forné, M.; Viver, J.M. Chronic hepatitis B reactivation following infliximab therapy in Crohn’s disease patients: Need for primary prophylaxis. Gut 2004, 53, 1363–1365. [Google Scholar] [CrossRef]
- del Valle García-Sánchez, M.; Gómez-Camacho, F.; Poyato-González, A.; Iglesias-Flores, E.M.; de Dios-Vega, J.F.; Sancho-Zapatero, R. Infliximab therapy in a patient with Crohn’s disease and chronic hepatitis B virus infection. Inflamm. Bowel Dis. 2004, 10, 701–702. [Google Scholar] [CrossRef]
- Andrade, P.; Santos-Antunes, J.; Rodrigues, S.; Lopes, S.; Macedo, G. Treatment with infliximab or azathioprine negatively impact the efficacy of hepatitis B vaccine in inflammatory bowel disease patients. J. Gastroenterol. Hepatol. 2015, 30, 1591–1595. [Google Scholar] [CrossRef]
- Sempere, L.; Almenta, I.; Barrenengoa, J.; Gutiérrez, A.; Villanueva, C.O.; De-Madaria, E.; García, V.; Sánchez-Payá, J. Factors predicting response to hepatitis B vaccination in patients with inflammatory bowel disease. Vaccine 2013, 31, 3065–3071. [Google Scholar] [CrossRef] [PubMed]
- Haykir Solay, A.; Eser, F. High dose hepatitis B vaccine is not effective in patients using immunomodulatory drugs: A pilot study. Hum. Vaccin. Immunother. 2019, 15, 1177–1182. [Google Scholar] [CrossRef] [PubMed]
- Shehab, M.; Abu-Farha, M.; Alrashed, F.; Alfadhli, A.; Alotaibi, K.; Alsahli, A.; Alphonse Thanaraj, T.; Channanath, A.; Ali, H.; Abubaker, J.; et al. Immunogenicity of BNT162b2 vaccine in patients with inflammatory bowel disease on infliximab combination therapy: A multicenter prospective study. J. Clin. Med. 2021, 10, 5362. [Google Scholar] [CrossRef]
- Shehab, M.; Alrashed, F.; Alfadhli, A.; Alotaibi, K.; Alsahli, A.; Mohammad, H.; Cherian, P.; Al-Khairi, I.; Alphonse Thanaraj, T.; Channanath, A.; et al. Serological response to BNT162b2 and ChAdOx1 nCoV-19 vaccines in patients with inflammatory bowel disease on biologic therapies. Vaccines 2021, 9, 1471. [Google Scholar] [CrossRef] [PubMed]
- Pratt, P.K.; David, N.; Weber, H.C.; Little, F.F.; Kourkoumpetis, T.; Patts, G.J.; Weinberg, J.; Farraye, F.A. Antibody Response to Hepatitis B Virus Vaccine is Impaired in Patients With Inflammatory Bowel Disease on Infliximab Therapy. Inflamm. Bowel Dis. 2018, 24, 380–386. [Google Scholar] [CrossRef] [PubMed]
- Lee, J.M.; Wei, S.-C.; Lee, K.-M.; Ye, B.D.; Mao, R.; Kim, H.-S.; Park, S.J.; Park, S.H.; Oh, E.H.; Im, J.P.; et al. Clinical Course of Hepatitis B Viral Infection in Patients Undergoing Anti-Tumor Necrosis Factor α Therapy for Inflammatory Bowel Disease. Gut Liver 2022, 16, 396–403. [Google Scholar] [CrossRef]
- Elm, E.V. The Strengthening the Reporting of Observational Studies in Epidemiology (STROBE) statement: Guidelines for reporting observational studies. Ann. Inter. Med. 2007, 147, 573–577. [Google Scholar] [CrossRef] [PubMed]
- World Health Organization. International Statistical Classification of Diseases and Related Health Problems (11th ed.). 2019. Available online: https://icd.who.int/ (accessed on 8 March 2024).
- Saco, T.V.; Strauss, A.T.; Ledford, D.K. Hepatitis B vaccine nonresponders: Possible mechanisms and solutions. Ann. Allergy Asthma Immunol. 2018, 121, 320–327. [Google Scholar] [CrossRef]
- Mast, E.E.; Weinbaum, C.M.; Fiore, A.E.; Alter, M.J.; Bell, B.P.; Finelli, L.; Rodewald, L.; Douglas, J.M.; Janssen, R.S.; Ward, J.W. A comprehensive immunization strategy to eliminate transmission of hepatitis B virus infection in the United States: Recommendations of the Advisory Committee on Immunization Practices (ACIP) Part II: Immunization of adults. MMWR Recomm. Rep. 2006, 55, 1–33, quiz CE1-4. [Google Scholar]
- Mishra, A.; Puri, A.S.; Sachdeva, S.; Dalal, A. Efficacy of hepatitis B vaccination in patients with ulcerative colitis: A prospective cohort study. Intest. Res. 2022, 20, 445–451. [Google Scholar] [CrossRef]
- Belle, A.; Baumann, C.; Bigard, M.-A.; Zallot, C.; Gizard, E.; Guéant, J.-L.; Bronowicki, J.-P.; Peyrin-Biroulet, L. Impact of immunosuppressive therapy on hepatitis B vaccination in inflammatory bowel diseases. Eur. J. Gastroenterol. Hepatol. 2015, 27, 877–881. [Google Scholar] [CrossRef]
- Dotan, I.; Werner, L.; Vigodman, S.; Agarwal, S.; Pfeffer, J.; Horowitz, N.; Malter, L.; Abreu, M.; Ullman, T.; Guzner-Gur, H.; et al. Normal response to vaccines in inflammatory bowel disease patients treated with thiopurines. Inflamm. Bowel Dis. 2012, 18, 261–268. [Google Scholar] [CrossRef]
- Pileggi, C.; Papadopoli, R.; Bianco, A.; Pavia, M. Hepatitis B vaccine and the need for a booster dose after primary vaccination. Vaccine 2017, 35, 6302–6307. [Google Scholar] [CrossRef]
- Advisory Committee on Immunization Practices; Centers for Disease Control and Prevention (CDC). Immunization of health-care personnel: Recommendations of the Advisory Committee on Immunization Practices (ACIP). MMWR Recomm. Rep. 2011, 60, 1–45. [Google Scholar]
- Kennedy, N.A.; Goodhand, J.R.; Bewshea, C.; Nice, R.; Chee, D.; Lin, S.; Chanchlani, N.; Butterworth, J.; Cooney, R.; Croft, N.M.; et al. Anti-SARS-CoV-2 antibody responses are attenuated in patients with IBD treated with infliximab. Gut 2021, 70, 865–875. [Google Scholar] [CrossRef] [PubMed]
- Madonia, S.; Orlando, A.; Scimeca, D.; Olivo, M.; Rossi, F.; Cottone, M. Occult hepatitis B and infliximab-induced HBV reactivation. Inflamm. Bowel Dis. 2007, 13, 508–509. [Google Scholar] [CrossRef] [PubMed]
- Millonig, G.; Kern, M.; Ludwiczek, O.; Nachbaur, K.; Vogel, W. Subfulminant hepatitis B after infliximab in Crohn’s disease: Need for HBV-screening? World J. Gastroenterol. 2006, 12, 974–976. [Google Scholar] [CrossRef]
- Shehab, M.; Almatar, R.; Almohammad, R.; Alfadhli, A. Adherence to Recommended Immunization Schedules in Patients with Inflammatory Bowel Disease on Biologics and Small Molecule Therapies. Gastroenterol. Insights 2023, 14, 383–393. [Google Scholar] [CrossRef]
- Ben Musa, R.; Gampa, A.; Basu, S.; Keshavarzian, A.; Swanson, G.; Brown, M.; Abraham, R.; Bruninga, K.; Losurdo, J.; DeMeo, M.; et al. Hepatitis B vaccination in patients with inflammatory bowel disease. World J. Gastroenterol. 2014, 20, 15358–15366. [Google Scholar] [CrossRef]
- Melmed, G.Y.; Ippoliti, A.F.; Papadakis, K.A.; Tran, T.T.; Birt, J.L.; Lee, S.K.; Frenck, R.W.; Targan, S.R.; Vasiliauskas, E.A. Patients with inflammatory bowel disease are at risk for vaccine-preventable illnesses. Am. J. Gastroenterol. 2006, 101, 1834–1840. [Google Scholar] [CrossRef]
- Terrault, N.A.; Lok, A.S.F.; McMahon, B.J.; Chang, K.-M.; Hwang, J.P.; Jonas, M.M.; Brown, R.S., Jr.; Bzowej, N.H.; Wong, J.B. Update on prevention, diagnosis, and treatment of chronic hepatitis B: AASLD 2018 hepatitis B guidance. Hepatology 2018, 67, 1560–1599. [Google Scholar] [CrossRef] [PubMed]
- Conners, E.E.; Panagiotakopoulos, L.; Hofmeister, M.G.; Spradling, P.R.; Hagan, L.M.; Harris, A.M.; Rogers-Brown, J.S.; Wester, C.; Nelson, N.P.; Rapposelli, K.; et al. Screening and Testing for Hepatitis B Virus Infection: CDC Recommendations—United States, 2023. MMWR Recomm Rep. 2023, 72, 1–25. [Google Scholar] [CrossRef] [PubMed]



| Clinical Variables | Control Group (5-ASA) | Study Group (IFX) | p-Value |
|---|---|---|---|
| Age (Mean ± S.D) | 34.4 ± (12.6) | 34.4 ± (11.9) | 0.971 |
| BMI (Mean ± S.D) | 25.6 ± (4.9) | 25.5 ± (5.3) | 0.917 |
| Gender, N (%) | 0.985 | ||
| Male | 33.0 (55.0%) | 32.0 (55.2%) | |
| Female | 27.0 (45.0%) | 26.0 (44.8%) | |
| Smoking, N (%) | 0.270 | ||
| Smoker | 7.0 (11.7%) | 11.0 (19.0%) | |
| Non-Smoker | 53.0 (88.3%) | 47.0 (81.0%) | |
| UC Type, N (%) | 0.935 | ||
| E1 | 7.0 (11.7%) | 7.0 (12.1%) | |
| E2 | 20.0 (33.3%) | 21.0 (36.2%) | |
| E3 | 33.0 (55.0%) | 30.0 (51.7%) | |
| Inflammatory markers (Mean ± S.D) | 0.462 | ||
| Albumin, g/L | 41 ± (6.1) | 40 ± (5.9) | |
| CRP, mg/L | 6.1 ± (4.3) | 5.8 ± (4.5) | |
| Stool fecal calprotectin, ug/g | 114 ± (12.1) | 112 ± (11.9) | |
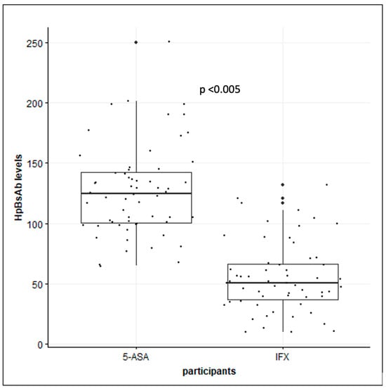
| HBsAb levels (Mean ± S.D) | 126.7 ± (37.5) | 55.5 ± (29.4) | <0.005 |
| HBsAb level group, N (%) | <0.005 | ||
| ≥10–99 | 14.0 (23.3%) | 51.0 (87.9%) | |
| ≥100 | 46.0 (76.7%) | 7.0 (12.1%) | |
Disclaimer/Publisher’s Note: The statements, opinions and data contained in all publications are solely those of the individual author(s) and contributor(s) and not of MDPI and/or the editor(s). MDPI and/or the editor(s) disclaim responsibility for any injury to people or property resulting from any ideas, methods, instructions or products referred to in the content. |
© 2024 by the authors. Licensee MDPI, Basel, Switzerland. This article is an open access article distributed under the terms and conditions of the Creative Commons Attribution (CC BY) license (https://creativecommons.org/licenses/by/4.0/).
Share and Cite
Shehab, M.; Alrashed, F.; Alyaseen, M.; Safar, Z.; Adekunle, T.; Alfadhli, A.; Bessissow, T. Immunogenicity of Hepatitis B Vaccination in Patients with Ulcerative Colitis on Infliximab Is Attenuated Compared to Those on 5-Aminosalicylic Acid Therapies: A Prospective Observational Study. Vaccines 2024, 12, 364. https://doi.org/10.3390/vaccines12040364
Shehab M, Alrashed F, Alyaseen M, Safar Z, Adekunle T, Alfadhli A, Bessissow T. Immunogenicity of Hepatitis B Vaccination in Patients with Ulcerative Colitis on Infliximab Is Attenuated Compared to Those on 5-Aminosalicylic Acid Therapies: A Prospective Observational Study. Vaccines. 2024; 12(4):364. https://doi.org/10.3390/vaccines12040364
Chicago/Turabian StyleShehab, Mohammad, Fatema Alrashed, Munerah Alyaseen, Zainab Safar, Tunrayo Adekunle, Ahmad Alfadhli, and Talat Bessissow. 2024. "Immunogenicity of Hepatitis B Vaccination in Patients with Ulcerative Colitis on Infliximab Is Attenuated Compared to Those on 5-Aminosalicylic Acid Therapies: A Prospective Observational Study" Vaccines 12, no. 4: 364. https://doi.org/10.3390/vaccines12040364
APA StyleShehab, M., Alrashed, F., Alyaseen, M., Safar, Z., Adekunle, T., Alfadhli, A., & Bessissow, T. (2024). Immunogenicity of Hepatitis B Vaccination in Patients with Ulcerative Colitis on Infliximab Is Attenuated Compared to Those on 5-Aminosalicylic Acid Therapies: A Prospective Observational Study. Vaccines, 12(4), 364. https://doi.org/10.3390/vaccines12040364

