Comparison of Immunogenicity and Safety between a Single Dose and One Booster Trivalent Inactivated Influenza Vaccination in Patients with Chronic Kidney Disease: A 20-Week, Open-Label Trial
Abstract
1. Introduction
2. Materials and Methods
2.1. Study Design and Group Allocation of the Enrolled Subjects
2.2. Vaccine Formula and Monitoring of Adverse Effects Related to Vaccination
2.3. Parameters of Immunogenicity Based on Hemagglutination-Inhibition (HI) Assays
2.4. Statistical Analysis
3. Results
3.1. Baseline Characteristics of the Enrolled Patients
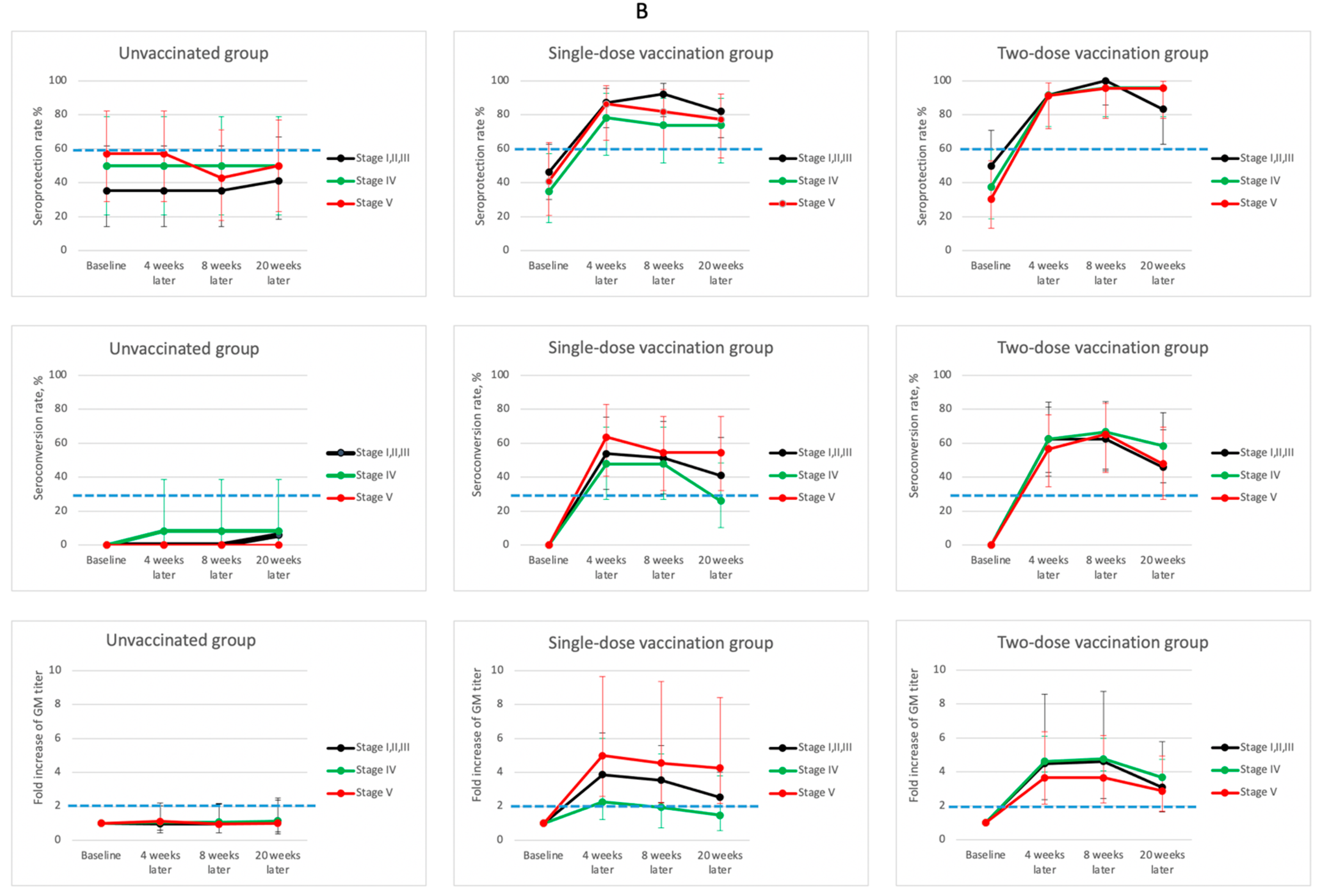
3.2. Change in Immunogenicity Parameters Based on HI Assays before and after Vaccination
3.3. Determining Factors for Seroprotection and Seroresponse among the One- and Two-Dose Vaccination Groups
3.4. Local and Systemic Adverse Events Related to Vaccination during the Study Period
4. Discussion
Supplementary Materials
Author Contributions
Funding
Institutional Review Board Statement
Informed Consent Statement
Data Availability Statement
Conflicts of Interest
References
- Wang, H.E.; Gamboa, C.; Warnock, D.G.; Muntner, P. Chronic kidney disease and risk of death from infection. Am. J. Nephrol. 2011, 34, 330–336. [Google Scholar] [CrossRef]
- Kato, S.; Chmielewski, M.; Honda, H.; Pecoits-Filho, R.; Matsuo, S.; Yuzawa, Y.; Tranaeus, A.; Stenvinkel, P.; Lindholm, B. Aspects of immune dysfunction in end-stage renal disease. Clin. J. Am. Soc. Nephrol. 2008, 3, 1526–1533. [Google Scholar] [CrossRef] [PubMed]
- Ishigami, J.; Matsushita, K. Clinical epidemiology of infectious disease among patients with chronic kidney disease. Clin. Exp. Nephrol. 2019, 23, 437–447. [Google Scholar] [CrossRef] [PubMed]
- Syed-Ahmed, M.; Narayanan, M. Immune dysfunction and risk of infection in chronic kidney disease. Adv. Chronic Kidney Dis. 2019, 26, 8–15. [Google Scholar] [CrossRef]
- World Health Organization Global Influenza Surveillance Network. Manual for the Laboratory Diagnosis and Virological Surveillance of Influenza; WHO: Geneva, Switzerland, 2011. [Google Scholar]
- Adlhoch, C.; Gomes Dias, J.; Bonmarin, I.; Hubert, B.; Larrauri, A.; Oliva Domínguez, J.A.; Delgado-Sanz, C.; Brytting, M.; Carnahan, A.; Popovici, O.; et al. Determinants of fatal outcome in patients admitted to intensive care units with influenza, European Union 2009–2017. Open Forum Infect. Dis. 2019, 6, ofz462. [Google Scholar] [CrossRef]
- Inker, L.A.; Astor, B.C.; Fox, C.H.; Isakova, T.; Lash, J.P.; Peralta, C.A.; Kurella Tamura, M.; Feldman, H.I. KDOQI US commentary on the 2012 KDIGO clinical practiceguideline for the evaluation and management of CKD. Am. J. Kidney Dis. 2014, 63, 713–735. [Google Scholar] [CrossRef]
- Chi, C.; Patel, P.; Pilishvili, T.; Moore, N.; Murphy, T.; Strikas, R. Guideline for Vaccinating Dialysis and Chronic Kidney Disease Patients; CDC: Atlanta, GA, USA, 2012.
- Advisory Committee on Immunization Practices (ACIP) 2019–2020. Available online: https://www.cdc.gov/vaccines/acip/index.html (accessed on 19 February 2021).
- DaRoza, G.; Loewen, A.; Djurdjev, O.; Love, J.; Kempston, C.; Burnett, S.; Kiaii, M.; Taylor, P.A.; Levin, A. Stage of chronic kidney disease predicts seroconversion after hepatitis B immunization: Earlier is better. Am. J. Kidney Dis. 2003, 42, 1184–1192. [Google Scholar] [CrossRef]
- Ghadiani, M.H.; Besharati, S.; Mousavinasab, N.; Jalalzadeh, M. Response rates to HB vaccine in CKD stages 3–4 and hemodialysis patients. J. Res. Med. Sci. 2012, 17, 527–533. [Google Scholar]
- Mastalerz-Migas, A.; Steciwko, A.; Brydak, L.B. Immune response to influenza vaccine in hemodialysis patients with chronic renal failure. Adv. Exp. Med. Biol. 2013, 756, 285–290. [Google Scholar]
- Chang, Y.T.; Guo, C.Y.; Tsai, M.S.; Cheng, Y.Y.; Lin, M.T.; Chen, C.H.; Shen, D.; Wang, J.R.; Sung, J.M. Poor immune response to a standard single dose non-adjuvanted vaccination against 2009 pandemic H1N1 influenza virus A in the adult and elder hemodialysis patients. Vaccine 2012, 30, 5009–5018. [Google Scholar] [CrossRef]
- Chang, Y.T.; Wang, J.R.; Lin, M.T.; Wu, C.J.; Tsai, M.S.; Wen-Chi, C.L.; Shih, T.E.; Kuo, T.H.; Song, E.J.; Sung, J.M. Changes of immunogenic profiles between a single dose and one booster influenza vaccination in hemodialysis patients—An 18-week, open-label trial. Sci. Rep. 2016, 6, 20725. [Google Scholar] [CrossRef]
- Bosaeed, M.; Kumar, D. Seasonal influenza vaccine in immunocompromised persons. Hum. vaccines Immunother. 2018, 14, 1311–1322. [Google Scholar] [CrossRef]
- Le Corre, N.; Thibault, F.; Pouteil Noble, C.; Meiffrédy, V.; Daoud, S.; Cahen, R.; Charreau, I.; Bottigioli, D.; Dollinger, C.; Aboulker, J.P.; et al. Effect of two injections of non–adjuvanted influenza A H1N1pdm2009 vaccine in renal transplant recipients: INSERM C09-32 TRANSFLUVAC trial. Vaccine 2012, 30, 7522–7528. [Google Scholar] [CrossRef]
- Liao, Z.; Xu, X.; Liang, Y.; Xiong, Y.; Chen, R.; Ni, J. Effect of a booster dose of influenza vaccine in patients with hemodialysis, peritoneal dialysis and renal transplant recipients: A systematic literature review and meta–analysis. Hum. vaccines Immunother. 2016, 12, 2909–2915. [Google Scholar] [CrossRef]
- Song, J.Y.; Cheong, H.J.; Ha, S.H.; Kee, S.Y.; Jeong, H.W.; Kim, W.J. Active influenza immunization in hemodialysis patients: Comparison between single-dose and booster vaccination. Am. J. Nephrol. 2006, 26, 206–211. [Google Scholar] [CrossRef]
- Miskulin, D.C.; Weiner, D.E.; Tighiouart, H.; Lacson, E.K., Jr.; Meyer, K.B.; Dad, T.; Manley, H.J. High-dose seasonal influenza vaccine in patients undergoing dialysis. Clin. J. Am. Soc. Nephrol. 2018, 13, 1703–1711. [Google Scholar] [CrossRef] [PubMed]
- Kumar, D.; Campbell, P.; Hoschler, K.; Hidalgo, L.; Al-Dabbagh, M.; Wilson, L.; Humar, A. Randomized controlled trial of adjuvanted versus nonadjuvanted influenza vaccine in kidney transplant recipients. Transplantation 2016, 100, 662–669. [Google Scholar] [CrossRef]
- Noh, J.Y.; Song, J.Y.; Choi, W.S.; Lee, J.; Seo, Y.B.; Kwon, Y.J.; Ko, G.J.; Cha, D.R.; Kang, Y.S.; Lee, Y.K.; et al. Immunogenicity of trivalent influenza vaccines in patients with chronic kidney disease undergoing hemodialysis: MF59-adjuvanted versus non-adjuvanted vaccines. Hum. vaccines Immunother. 2016, 12, 2902–2908. [Google Scholar] [CrossRef] [PubMed]
- Labriola, L.; Hombrouck, A.; Maréchal, C.; Van Gucht, S.; Brochier, B.; Thomas, I.; Jadoul, M.; Goubau, P. Immunogenicity of an adjuvanted 2009 pandemic influenza A (H1N1) vaccine in haemodialysed patients. Nephrol. Dial. Transplant. 2011, 26, 1424–1428. [Google Scholar] [CrossRef][Green Version]
- Hansen, A.; Grund, S.; Hetzel, G.; Ivens, K.; Sümmchen, H.A.; Zgoura, P.; Hengel, H.; Adams, O.; Rump, L.C. Noncontrolled trial of monovalent AS03A-adjuvanted vaccine for 2009 pandemic influenza A(H1N1) in long-term dialysis patients and transplant recipients. Am. J. Kidney Dis. 2012, 59, 471–473. [Google Scholar] [CrossRef]
- Dikow, R.; Eckerle, I.; Ksoll-Rudek, D.; Hampel, H.; Schwenger, V.; Zeier, M.; Schnitzler, P.; Sommerer, C. Immunogenicity and efficacy in hemodialysis patients of an AS03(A)-adjuvanted vaccine for 2009 pandemic influenza A(H1N1): A nonrandomized trial. Am. J. Kidney Dis. 2011, 57, 716–723. [Google Scholar] [CrossRef] [PubMed]
- Krueger, K.M.; Ison, M.G.; Ghossein, C. Practical guide to vaccination in all stages of CKD, including patients treated by dialysis or kidney transplantation. Am. J. Kidney Dis. 2020, 75, 417–425. [Google Scholar] [CrossRef] [PubMed]
- European Committee for Proprietary Medicinal Products. Guideline on Dossier Structure and Content for Pandemic Influenza Vaccine Marketing Authorization Application (CPMP/VEG/4717/03); European Agency for the Evaluation of Medicinal Products: London, UK, 2004. [Google Scholar]
- European Committee for Proprietary Medicinal Products. Note for Guidance on Harmonisation of Requirements for Influenza Vaccines (CPMP/BWP/214/96); European Agency for the Evaluation of Medicinal Products: London, UK, 1997. [Google Scholar]
- Center for Biologics Evaluation and Research. Guidance for Industry: Clinical Data Needed to Support the Licensure of Pandemic Influenza Vaccines; Food and Drug Administration: Bethesda, MD, USA, 2007.
- Beyer, W.E.; Palache, A.M.; Lüchters, G.; Nauta, J.; Osterhaus, A.D. Seroprotection rate, mean fold increase, seroconversion rate: Which parameter adequately expresses seroresponse to influenza vaccination? Virus Res. 2004, 103, 125–132. [Google Scholar] [CrossRef]
- Long, Q.X.; Tang, X.J.; Shi, Q.L.; Li, Q.; Deng, H.J.; Yuan, J.; Hu, J.L.; Xu, W.; Zhang, Y.; Lv, F.; et al. Clinical and immunological assessment of asymptomatic SARS-CoV-2 infections. Nat. Med. 2020, 26, 1200–1204. [Google Scholar] [CrossRef]
- Ibarrondo, F.J.; Fulcher, J.A.; Goodman-Meza, D.; Elliott, J.; Hofmann, C.; Hausner, M.A.; Ferbas, K.G.; Tobin, N.H.; Aldrovandi, G.M.; Yang, O.O. Rapid decay of anti-SARS-CoV-2 antibodies in persons with mild Covid-19. N. Engl. J. Med. 2020, 383, 1085–1087. [Google Scholar] [CrossRef] [PubMed]
- Skowronski, D.M.; Tweed, S.A.; De Serres, G. Rapid decline of influenza vaccine–induced antibody in the elderly: Is it real, or is it relevant? J. Infect. Dis. 2008, 197, 490–502. [Google Scholar] [CrossRef] [PubMed]
- Cordero, E.; Aydillo, T.A.; Perez-Ordoñez, A.; Torre-Cisneros, J.; Lara, R.; Segura, C.; Gentil, M.A.; Gomez-Bravo, M.A.; Lage, E.; Pachon, J.; et al. Deficient long-term response to pandemic vaccine results in an insufficient antibody response to seasonal influenza vaccination in solid organ transplant recipients. Transplantation 2012, 93, 847–854. [Google Scholar] [CrossRef]
- Mombelli, M.; Rettby, N.; Perreau, M.; Pascual, M.; Pantaleo, G.; Manuel, O. Immunogenicity and safety of double versus standard dose of the seasonal influenza vaccine in solid-organ transplant recipients: A randomized controlled trial. Vaccine 2018, 36, 6163–6169. [Google Scholar] [CrossRef]
- Cordero, E.; Roca-Oporto, C.; Bulnes-Ramos, A.; Aydillo, T.; Gavaldà, J.; Moreno, A.; Torre-Cisneros, J.; Montejo, J.M.; Fortun, J.; Muñoz, P.; et al. Two doses of inactivated influenza vaccine improve immune response in solid organ transplant recipients: Results of TRANSGRIPE 1–2, a randomized controlled clinical trial. Clin. Infect. Dis. 2017, 64, 829–838. [Google Scholar] [CrossRef]
- Natori, Y.; Shiotsuka, M.; Slomovic, J.; Hoschler, K.; Ferreira, V.; Ashton, P.; Rotstein, C.; Lilly, L.; Schiff, J.; Singer, L.; et al. A double-blind, randomized trial of high-dose vs standard-dose influenza vaccine in adult solid-organ transplant recipients. Clin. Infect. Dis. 2018, 66, 1698–1704. [Google Scholar] [CrossRef]
- Gong, Y.N.; Kuo, R.L.; Chen, G.W.; Shih, S.R. Centennial review of influenza in Taiwan. Biomed. J. 2018, 41, 234–241. [Google Scholar] [CrossRef]
- Yang, J.R.; Teng, H.J.; Liu, M.T.; Li, S.Y. Taiwan’s Public Health National Laboratory System: Success in influenza diagnosis and surveillance. Health Secur. 2017, 15, 154–164. [Google Scholar] [CrossRef]
- Lu, C.-Y.; Ferracin, C.; Chiu, C.-H.; Lavis, N.; Huang, C.-H.; Huang, L.-M. Mmunogenicity and safety of a quadrivalent influenza vaccine in children and adolescents in Taiwan: A phase III open-label trial. Trials Vaccinol. 2016, 5, 48–52. [Google Scholar] [CrossRef][Green Version]
- Scharpé, J.; Evenepoel, P.; Maes, B.; Bammens, B.; Claes, K.; Osterhaus, A.D.; Vanrenterghem, Y.; Peetermans, W.E. Influenza vaccination is efficacious and safe in renal transplant recipients. Am. J. Transplant. 2008, 8, 332–337. [Google Scholar] [CrossRef] [PubMed]
- Vellozzi, C.; Iqbal, S.; Broder, K. Guillain-Barre syndrome, influenza, and influenza vaccination: The epidemiologic evidence. Clin. Infect. Dis. 2014, 58, 1149–1155. [Google Scholar] [CrossRef] [PubMed]
- Kwong, J.C.; Vasa, P.P.; Campitelli, M.A.; Hawken, S.; Wilson, K.; Rosella, L.C.; Stukel, T.A.; Crowcroft, N.S.; McGeer, A.J.; Zinman, L.; et al. Risk of Guillain-Barre syndrome after seasonal influenza vaccination and influenza health-care encounters: A self-controlled study. Lancet Infect. Dis. 2013, 13, 769–776. [Google Scholar] [CrossRef]
- Vellozzi, C.; Iqbal, S.; Stewart, B.; Tokars, J.; DeStefano, F. Cumulative risk of Guillain-Barre syndrome among vaccinated and unvaccinated populations during the 2009 H1N1 influenza pandemic. Am. J. Public Health 2014, 104, 696–701. [Google Scholar] [CrossRef]
- Gianchecchi, E.; Torelli, A.; Montomoli, E. The use of cell–mediated immunity for the evaluation of influenza vaccines: An upcoming necessity. Hum. vaccines Immunother. 2019, 15, 1021–1030. [Google Scholar] [CrossRef]





| All (n = 198) | The Unvaccinated Group (n = 43) | The One-Dose Vaccination Group (n = 84) | The Two-Dose Vaccination Group (n = 71) | p-Value b | |
|---|---|---|---|---|---|
| Age (years) | 64.14 ± 11.76 | 65.35 ± 13.19 | 65.67 ± 11.67 | 61.61 ± 10.65 | 0.075 |
| Men/Women (n) | 117/81 | 21/22 | 50/34 | 46/25 | 0.243 |
| Dry weight (Kgw) | 65.11 ± 12.11 | 63.08 ± 12.88 | 65.50 ± 11.92 | 66.06 ± 11.81 | 0.444 |
| Underlying disease | |||||
| Hypertension (n, %) | 125 (63.13) | 30 (69.77) | 50 (59.52) | 45 (63.38) | 0.526 |
| Diabetes (n, %) | 83 (41.92) | 23 (53.49) | 31 (36.90) | 29 (40.85) | 0.195 |
| Liver disease (n, %) | 34 (17.17) | 8 (18.60) | 15 (17.86) | 11 (15.49) | 0.8911 |
| Cardiovascular disease (n, %) | 40 (20.20) | 9 (20.93) | 18 (21.43) | 13 (18.31) | 0.8824 |
| Hematology | |||||
| White blood cell (103/μL) | 6.79 ± 1.86 | 6.27 ± 1.59 | 6.81 ± 1.92 | 7.07 ± 1.88 | 0.079 |
| Hematocrit (%) | 34.59 ± 5.73 | 33.96 ± 6.12 | 35.50 ± 5.63 | 33.90 ± 5.55 | 0.16 |
| Platelet (103/μL) | 208.40 ± 59.91 | 190.81 ± 51.34 | 209.36 ± 66.40 | 217.92 ± 54.86 | 0.063 |
| Biochemistry | |||||
| BUN (mg/dL) | 42.61 ± 23.87 | 43.67 ± 27.28 | 38.89 ± 21.65 | 46.41 ± 23.86 | 0.142 |
| Creatinine (mg/dL) a | 2.37 (2.35) | 2.23 (3.18) | 2.14 (1.85) | 2.89 (2.67) | <0.0001 |
| Glucose AC (mg/dL) | 110.41 ± 37.10 | 102.63 ± 26.59 | 113.30 ± 35.42 | 111.70 ± 43.73 | 0.29 |
| Calcium (mg/dL) | 9.27 ± 0.54 | 9.22 ± 0.54 | 9.30 ± 0.52 | 9.26 ± 0.56 | 0.75 |
| Phosphate (mg/dL) | 3.92 ± 0.84 | 3.87 ± 0.99 | 3.84 ± 0.73 | 4.05 ± 0.86 | 0.272 |
| Sodium (mmol/L) | 141.61 ± 2.99 | 141.14 ± 3.62 | 141.36 ± 2.96 | 142.20 ± 2.52 | 0.111 |
| Potassium (mmol/L) | 4.36 ± 0.58 | 4.20 ± 0.66 | 4.37 ± 0.54 | 4.45 ± 0.56 | 0.093 |
| Albumin (mg/dL) | 4.26 ± 0.42 | 4.23 ± 0.41 | 4.27 ± 0.43 | 4.27 ± 0.43 | 0.808 |
| Total-cholesterol (mg/dL) a | 153.00 (47.00) | 158.00 (61.00) | 154.00 (44.00) | 152.00 (49.00) | 0.095 |
| Triglyceride (md/dL) a | 109.50 (71.00) | 121.00 (66.00) | 107.00 (77.00) | 112.00 (74.00) | 0.218 |
| iPTH (pg/mL) a | 65.53 (64.40) | 67.37 (90.92) | 60.55 (58.69) | 67.57 (63.33) | 0.01 |
| Variable | H1N1 | H3N2 | B | |||
|---|---|---|---|---|---|---|
| Seroprotection | Seroresponse | Seroprotection | Seroresponse | Seroprotection | Seroresponse | |
| OR (95% CI) | OR (95% CI) | OR (95% CI) | OR (95% CI) | OR (95% CI) | OR (95% CI) | |
| Vaccination schedule (2 vs. 1 dose) | 3.00 (0.94–9.63) | 1.46 (0.76–2.81) | NA | 0.71 (0.38–1.35) | 3.50 (1.30–9.40) | 1.17 (0.62–2.19) |
| CKD stage (Stage 4 vs. 1–3) | 3.01 (0.76–11.98) | 0.92 (0.39–2.17) | NA | 0.76 (0.33–1.74) | 0.61 (0.22–1.69) | 0.70 (0.32–1.51) |
| CKD stage (Stage 5 vs. 1–3) | 3.86 (0.59–25.41) | 0.75 (0.30–1.85) | NA | 0.74 (0.30–1.80) | 0.56 (0.16–1.91) | 0.62 (0.26–1.44) |
| Seroprotection before vaccination | 56.17 (14.06–224.36) | 0.88 (0.43–1.78) | NA | 1.20 (0.61–2.33) | 4.47 (1.75–11.44) | 1.42 (0.72–2.81) |
| Age (year) | 0.92 (0.87–0.97) | 0.95 (0.92–0.98) | NA | 0.99 (0.97–1.02) | 0.96 (0.92–1.00) | 0.94 (0.91–0.97) |
| Total–cholesterol (mg/dL) | 1.00 (0.99–1.01) | 1.00 (0.99–1.01) | NA | 1.00 (1.00–1.01) | 1.00 (0.99–1.01) | 1.00 (0.99–1.01) |
| Hematocrit (%) | 1.04 (0.91–1.19) | 0.99 (0.92–1.06) | NA | 0.95 (0.89–1.01) | 0.95 (0.86–1.05) | 0.92 (0.86–0.98) |
| The First Dose at Week 0 | The Second Dose at 4 Weeks Later | |||
|---|---|---|---|---|
| Mild | Moderate to Severe | Mild | Moderate to Severe | |
| Systemic adverse effect | ||||
| Fever (>38 °C) | 1.87% | 0.00% | 0.75% | 0.00% |
| Nasal congestion | 10.86% | 1.50% | 1.12% | 0.37% |
| Cough | 11.61% | 1.87% | 1.87% | 0.37% |
| Sore throat | 4.49% | 0.75% | 1.12% | 0.37% |
| Muscle aches | 10.11% | 2.25% | 1.87% | 0.00% |
| Headache | 8.24% | 1.50% | 0.37% | 0.00% |
| Nausea | 3.75% | 1.12% | 0.37% | 0.00% |
| Vomiting | 1.87% | 0.00% | 0.75% | 0.00% |
| Malaise | 11.99% | 3.37% | 2.62% | 0.00% |
| Eye redness | 3.00% | 0.37% | 0.75% | 0.00% |
| Chest tightness | 3.75% | 0.75% | 0.75% | 0.00% |
| Respiratory distress | 2.62% | 0.75% | 0.37% | 0.00% |
| Face edema | 2.25% | 0.37% | 0.00% | 0.00% |
| Local adverse effect | ||||
| Pain | 9.36% | 1.50% | 0.75% | 0.00% |
| Swelling | 7.12% | 1.12% | 0.37% | 0.00% |
| Redness | 1.50% | 0.37% | 0.00% | 0.00% |
| Ecchymosis | 1.50% | 0.37% | 0.00% | 0.00% |
| Decrease limb mobility | 4.12% | 0.00% | 0.00% | 0.00% |
Publisher’s Note: MDPI stays neutral with regard to jurisdictional claims in published maps and institutional affiliations. |
© 2021 by the authors. Licensee MDPI, Basel, Switzerland. This article is an open access article distributed under the terms and conditions of the Creative Commons Attribution (CC BY) license (http://creativecommons.org/licenses/by/4.0/).
Share and Cite
Chang, Y.-T.; Ling, T.-C.; Cheng, Y.-Y.; Sun, C.-Y.; Wu, J.-L.; Tai, C.H.; Wang, J.-R.; Sung, J.-M. Comparison of Immunogenicity and Safety between a Single Dose and One Booster Trivalent Inactivated Influenza Vaccination in Patients with Chronic Kidney Disease: A 20-Week, Open-Label Trial. Vaccines 2021, 9, 192. https://doi.org/10.3390/vaccines9030192
Chang Y-T, Ling T-C, Cheng Y-Y, Sun C-Y, Wu J-L, Tai CH, Wang J-R, Sung J-M. Comparison of Immunogenicity and Safety between a Single Dose and One Booster Trivalent Inactivated Influenza Vaccination in Patients with Chronic Kidney Disease: A 20-Week, Open-Label Trial. Vaccines. 2021; 9(3):192. https://doi.org/10.3390/vaccines9030192
Chicago/Turabian StyleChang, Yu-Tzu, Tsai-Chieh Ling, Ya-Yun Cheng, Chien-Yao Sun, Jia-Ling Wu, Ching Hui Tai, Jen-Ren Wang, and Junne-Ming Sung. 2021. "Comparison of Immunogenicity and Safety between a Single Dose and One Booster Trivalent Inactivated Influenza Vaccination in Patients with Chronic Kidney Disease: A 20-Week, Open-Label Trial" Vaccines 9, no. 3: 192. https://doi.org/10.3390/vaccines9030192
APA StyleChang, Y.-T., Ling, T.-C., Cheng, Y.-Y., Sun, C.-Y., Wu, J.-L., Tai, C. H., Wang, J.-R., & Sung, J.-M. (2021). Comparison of Immunogenicity and Safety between a Single Dose and One Booster Trivalent Inactivated Influenza Vaccination in Patients with Chronic Kidney Disease: A 20-Week, Open-Label Trial. Vaccines, 9(3), 192. https://doi.org/10.3390/vaccines9030192

