Reactogenicity Correlates Only Weakly with Humoral Immunogenicity after COVID-19 Vaccination with BNT162b2 mRNA (Comirnaty®)
Abstract
:1. Introduction
2. Materials and Methods
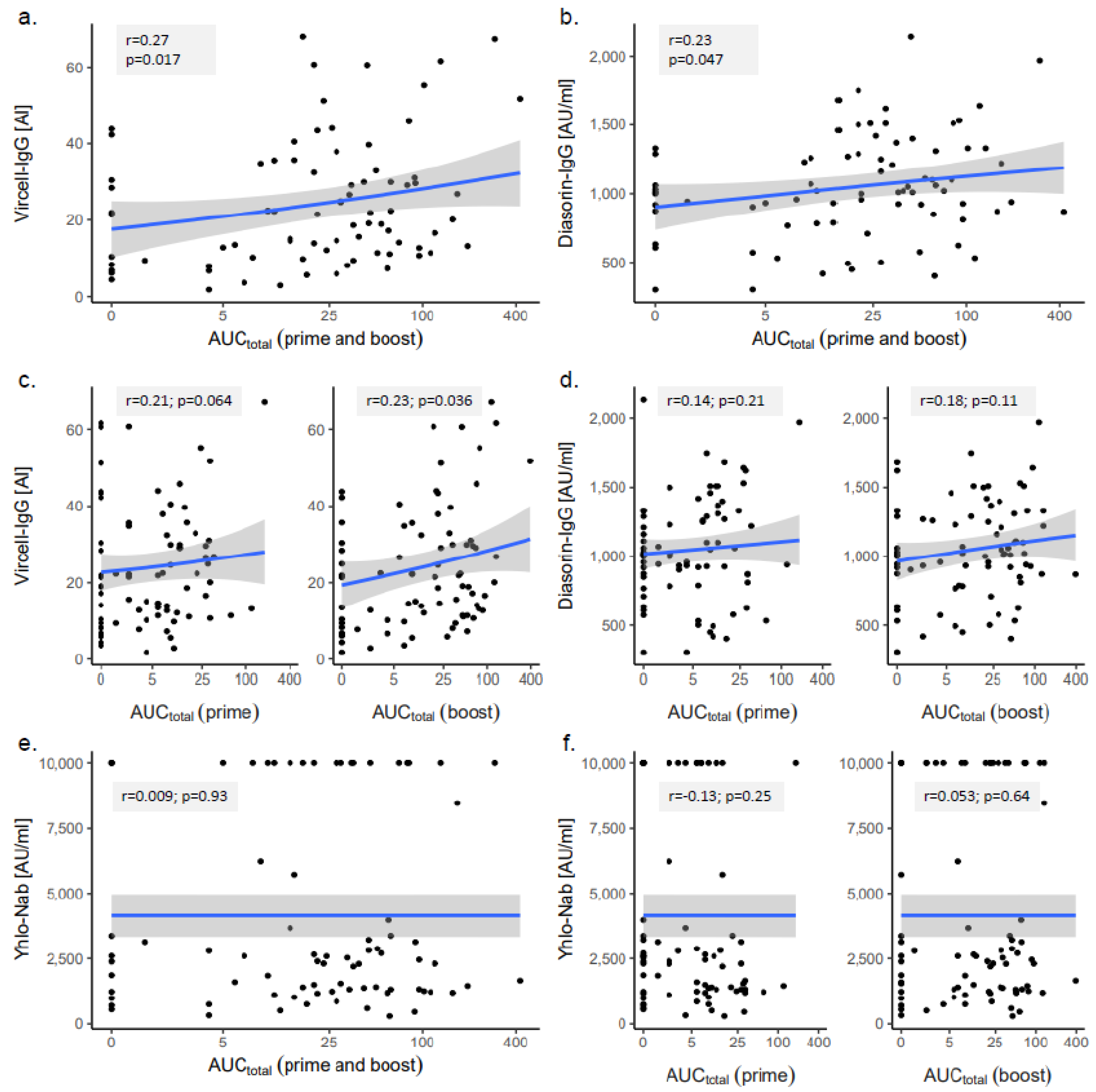
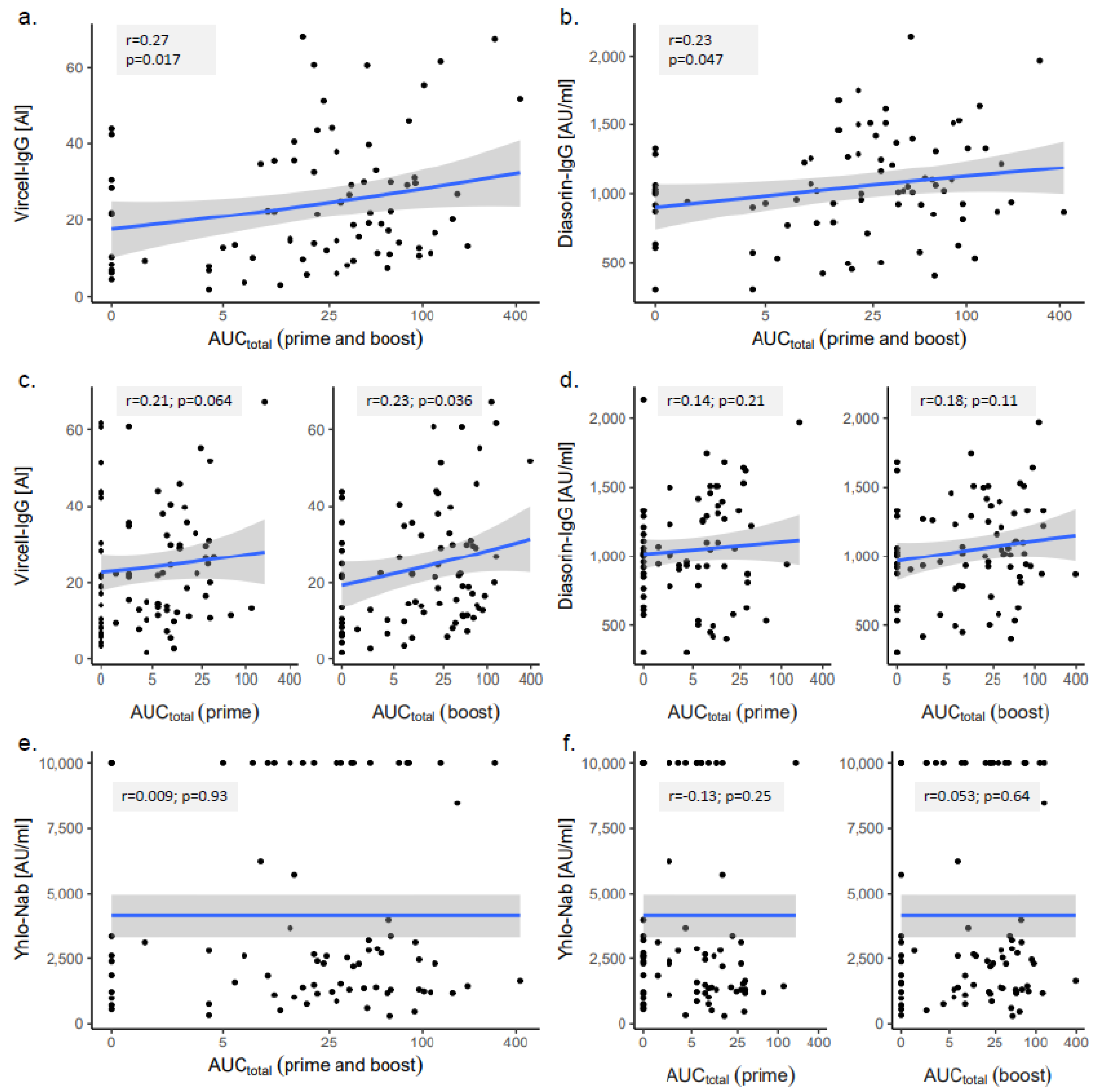
3. Results
4. Discussion
5. Conclusions
Supplementary Materials
Author Contributions
Funding
Institutional Review Board Statement
Informed Consent Statement
Data Availability Statement
Acknowledgments
Conflicts of Interest
References
- Sofi, M.S.; Hamid, A.; Bhat, S.U. SARS-CoV-2: A critical review of its history, pathogenesis, transmission, diagnosis and treatment. Biosaf. Health 2020, 2, 217–225. [Google Scholar] [CrossRef]
- Cao, Y.; Cai, K.; Xiong, L. Coronavirus disease 2019: A new severe acute respiratory syndrome from Wuhan in China. Acta Virol. 2020, 64, 245–250. [Google Scholar] [CrossRef] [PubMed]
- World Health Organization. WHO Coronavirus (COVID-19) Dashboard. Available online: https://covid19.who.int/ (accessed on 17 September 2021).
- Pormohammad, A.; Zarei, M.; Ghorbani, S.; Mohammadi, M.; Razizadeh, M.; Turner, D.; Turner, R. Efficacy and Safety of COVID-19 Vaccines: A Systematic Review and Meta-Analysis of Randomized Clinical Trials. Vaccines 2021, 9, 467. [Google Scholar] [CrossRef]
- European Medicines Agency (EMA). Approval of Vaccines in the European Union. Available online: https://vaccination-info.eu/en/vaccine-facts/approval-vaccines-european-union (accessed on 16 June 2021).
- Polack, F.P.; Thomas, S.J.; Kitchin, N.; Absalon, J.; Gurtman, A.; Lockhart, S.; Perez, J.L.; Marc, G.P.; Moreira, E.D.; Zerbini, C.; et al. Safety and Efficacy of the BNT162b2 mRNA Covid-19 Vaccine. N. Engl. J. Med. 2020, 383, 2603–2615. [Google Scholar] [CrossRef]
- Frenck, R.W.; Klein, N.P.; Kitchin, N.; Gurtman, A.; Absalon, J.; Lockhart, S.; Perez, J.L.; Walter, E.B.; Senders, S.; Bailey, R.; et al. Safety, Immunogenicity, and Efficacy of the BNT162b2 Covid-19 Vaccine in Adolescents. N. Engl. J. Med. 2021, 385, 239–250. [Google Scholar] [CrossRef]
- Muller, L.; Andree, M.; Moskorz, W.; Drexler, I.; Walotka, L.; Grothmann, R.; Ptok, J.; Hillebrandt, J.; Ritchie, A.; Rabl, D.; et al. Age-dependent immune response to the Biontech/Pfizer BNT162b2 COVID-19 vaccination. Clin. Infect. Dis. 2021. epub ahead of print. [Google Scholar] [CrossRef]
- Sahin, U.; Muik, A.; Vogler, I.; Derhovanessian, E.; Kranz, L.M.; Vormehr, M.; Quandt, J.; Bidmon, N.; Ulges, A.; Baum, A.; et al. BNT162b2 vaccine induces neutralizing antibodies and poly-specific T cells in humans. Nature 2021, 595, 572–577. [Google Scholar] [CrossRef] [PubMed]
- Sahin, U.; Muik, A.; Derhovanessian, E.; Vogler, I.; Kranz, L.M.; Vormehr, M.; Baum, A.; Pascal, K.; Quandt, J.; Maurus, D.; et al. COVID-19 vaccine BNT162b1 elicits human antibody and TH1 T-cell responses. Nature 2020, 586, 1–9. [Google Scholar] [CrossRef] [PubMed]
- Terpos, E.; Trougakos, I.P.; Karalis, V.; Ntanasis-Stathopoulos, I.; Gumeni, S.; Apostolakou, F.; Sklirou, A.D.; Gavriatopoulou, M.; Skourti, S.; Kastritis, E.; et al. Kinetics of Anti-SARS-CoV-2 Antibody Responses 3 Months Post Complete Vaccination with BNT162b2; A Prospective Study in 283 Health Workers. Cells 2021, 10, 1942. [Google Scholar] [CrossRef] [PubMed]
- Baden, L.R.; El Sahly, H.M.; Essink, B.; Kotloff, K.; Frey, S.; Novak, R.; Diemert, D.; Spector, S.A.; Rouphael, N.; Creech, C.B.; et al. Efficacy and Safety of the mRNA-1273 SARS-CoV-2 Vaccine. N. Engl. J. Med. 2021, 384, 403–416. [Google Scholar] [CrossRef]
- Cai, C.; Peng, Y.; Shen, E.; Huang, Q.; Chen, Y.; Liu, P.; Guo, C.; Feng, Z.; Gao, L.; Zhang, X.; et al. A comprehensive analysis of the efficacy and safety of COVID-19 vaccines. Mol. Ther. 2021, 29, 2794–2805. [Google Scholar] [CrossRef]
- Chapin-Bardales, J.; Gee, J.; Myers, T. Reactogenicity Following Receipt of mRNA-Based COVID-19 Vaccines. JAMA 2021, 325, 2201–2202. [Google Scholar] [CrossRef]
- Anderson, E.J.; Rouphael, N.G.; Widge, A.T.; Jackson, L.A.; Roberts, P.C.; Makhene, M.; Chappell, J.D.; Denison, M.R.; Stevens, L.J.; Pruijssers, A.J.; et al. Safety and Immunogenicity of SARS-CoV-2 mRNA-1273 Vaccine in Older Adults. N. Engl. J. Med. 2020, 383, 2427–2438. [Google Scholar] [CrossRef]
- Jackson, L.A.; Anderson, E.J.; Rouphael, N.G.; Roberts, P.C.; Makhene, M.; Coler, R.N.; McCullough, M.P.; Chappell, J.D.; Denison, M.R.; Stevens, L.J.; et al. An mRNA Vaccine against SARS-CoV-2-Preliminary Report. N. Engl. J. Med. 2020, 383, 1920–1931. [Google Scholar] [CrossRef] [PubMed]
- Christian, L.M.; Porter, K.; Karlsson, E.; Schultz-Cherry, S. Proinflammatory cytokine responses correspond with subjective side effects after influenza virus vaccination. Vaccine 2015, 33, 3360–3366. [Google Scholar] [CrossRef] [Green Version]
- Burny, W.; Callegaro, A.; Bechtold, V.; Clement, F.; Delhaye, S.; Fissette, L.; Janssens, M.; Leroux-Roels, G.; Marchant, A.; Berg, R.A.V.D.; et al. Different Adjuvants Induce Common Innate Pathways That Are Associated with Enhanced Adaptive Responses against a Model Antigen in Humans. Front. Immunol. 2017, 8, 943. [Google Scholar] [CrossRef] [PubMed]
- Hwang, Y.H.; Song, K.H.; Choi, Y.; Go, S.; Choi, S.J.; Jung, J.; Kang, C.K.; Choe, P.G.; Kim, N.J.; Park, W.B.; et al. Can reactogenicity predict immunogenicity after COVID-19 vaccination? Korean J. Intern Med. 2021. epub ahead of print. [Google Scholar] [CrossRef] [PubMed]
- Tenbusch, M.; Schumacher, S.; Vogel, E.; Priller, A.; Held, J.; Steininger, P.; Beileke, S.; Irrgang, P.; Brockhoff, R.; Salmanton-García, J.; et al. Heterologous prime–boost vaccination with ChAdOx1 nCoV-19 and BNT162b2. Lancet Infect. Dis. 2021, 21, 1212–1213. [Google Scholar] [CrossRef]
- Desmet, C.J.; Ishii, K. Nucleic acid sensing at the interface between innate and adaptive immunity in vaccination. Nat. Rev. Immunol. 2012, 12, 479–491. [Google Scholar] [CrossRef] [PubMed]
- Beran, J.; Hobzova, L.; Wertzova, V.; Kuriyakose, S.; Leyssen, M.; Surquin, M.; Houard, S. Safety and immunogenicity of an investigational adjuvanted hepatitis B vaccine (HB-AS02V) in healthy adults. Hum. Vaccines 2010, 6, 578–584. [Google Scholar] [CrossRef] [Green Version]
- Haskins-Coulter, T.; Southern, J.; Andrews, N.; Miller, E. Reactogenicity of Cervarix and Gardasil human papillomavirus (HPV) vaccines in a randomized single blind trial in healthy UK adolescent females. Hum. Vaccines Immunother. 2017, 13, 1412–1420. [Google Scholar] [CrossRef]
- Colindres, R.; Wascotte, V.; Brecx, A.; Clarke, C.; Hervé, C.; Kim, J.H.; Levin, M.J.; Oostvogels, L.; Zahaf, T.; Schuind, A.; et al. Post hoc analysis of reactogenicity trends between dose 1 and dose 2 of the adjuvanted recombinant zoster vaccine in two parallel randomized trials. Hum. Vaccines Immunother. 2020, 16, 2628–2633. [Google Scholar] [CrossRef]
- Zhuang, C.-L.; Lin, Z.-J.; Bi, Z.-F.; Qiu, L.-X.; Hu, F.-F.; Liu, X.-H.; Lin, B.-Z.; Su, Y.-Y.; Pan, H.-R.; Zhang, T.-Y.; et al. Inflammation-related adverse reactions following vaccination potentially indicate a stronger immune response. Emerg. Microbes Infect. 2021, 10, 365–375. [Google Scholar] [CrossRef]
- Mitchell, T.C.; Casella, C.R. No pain no gain? Adjuvant effects of alum and monophosphoryl lipid A in pertussis and HPV vaccines. Curr. Opin. Immunol. 2017, 47, 17–25. [Google Scholar] [CrossRef]
- Vlatkovic, I. Non-Immunotherapy Application of LNP-mRNA: Maximizing Efficacy and Safety. Biomedicines 2021, 9, 530. [Google Scholar] [CrossRef]
- Zeng, C.; Zhang, C.; Walker, P.G.; Dong, Y. Formulation and Delivery Technologies for mRNA Vaccines. In Current Topics in Microbiology and Immunology; Springer: Berlin/Heidelberg, Germany, 2020. [Google Scholar]
- Herve, C.; Laupeze, B.; Del Giudice, G.; Didierlaurent, A.M.; Da Silva, F.T. The how’s and what’s of vaccine reactogenicity. NPJ Vaccines 2019, 4, 39. [Google Scholar] [CrossRef] [Green Version]
- Van Tilbeurgh, M.; Lemdani, K.; Beignon, A.-S.; Chapon, C.; Tchitchek, N.; Cheraitia, L.; Marcos Lopez, E.; Pascal, Q.; Le Grand, R.; Maisonnasse, P.; et al. Predictive Markers of Immunogenicity and Efficacy for Human Vaccines. Vaccines 2021, 9, 579. [Google Scholar] [CrossRef] [PubMed]



| Type of Adverse Effect | After Prime Dose (Yes/No) (% Yes) | After Boost Dose (Yes/No) (% Yes) | p-Value |
|---|---|---|---|
| any adverse effect | 59/21 (73.8) | 66/14 (82.5) | 0.143 |
| inability to work | 6/74 (7.5) | 21/59 (26.3) | <0.001 |
| any local injection site reaction | 54/26 (67.5) | 59/21 (73.8) | 0.302 |
| pain | 52/28 (65.0) | 57/23 (71.3) | 0.359 |
| swelling | 7/73 (8.8) | 11/69 (13.8) | 0.344 |
| redness | 5/75 (6.3) | 5/75 (6.3) | 1.000 |
| itching | 2/78 (2.5) | 2/78 (2.5) | 1.000 |
| local lymphadenopathy | 2/78 (2.5) | 12/68 (15.0) | 0.006 |
| any systemic reaction | 28/52 (35.0) | 51/29 (63.7) | <0.001 |
| chills | 1/79 (1.3) | 15/65 (18.8) | 0.001 |
| malaise | 5/75 (6.3) | 22/58 (27.5) | <0.001 |
| nausea | 4/76 (5.0) | 6/74 (7.5) | 0.687 |
| fatigue | 17/63 (21.3) | 43/37 (53.8) | <0.001 |
| headache | 10/70 (12.5) | 29/51 (36.3) | <0.001 |
| pain in the limbs | 3/77 (3.8) | 22/58 (27.5) | <0.001 |
| joint pain | 2/78 (2.5) | 5/75 (6.3) | 0.375 |
| muscle pain | 2/78 (2.5) | 15/65 (18.8) | 0.001 |
| elevated body temperature | 1/79 (1.3) | 9/71 (11.3) | 0.021 |
| Type of Adverse Effect | SARS-CoV-2 Antibody Assay | Subjects with Adverse Events after Prime Dose | p-Value | Subjects with Adverse Events after Boost Dose | p-Value | ||
|---|---|---|---|---|---|---|---|
| yes | no | yes | no | ||||
| any adverse effect | Vircell-IgG (AI) | 22.3 | 17.2 | 0.167 | 21.5 | 21.4 | 0.147 |
| DiaSorin-IgG (AU/mL) | 1060 | 1000 | 0.116 | 1020 | 1011 | 0.625 | |
| YHLO-Nab (AU/mL) | 2451 | 2526 | 0.519 | 2555 | 1991 | 0.421 | |
| inability to work | Vircell-IgG (AI) | 15.2 | 21.7 | 0.448 | 23.5 | 21.5 | 0.158 |
| DiaSorin-IgG (AU/mL) | 1016 | 986 | 0.619 | 1060 | 1011 | 0.660 | |
| YHLO-Nab (AU/mL) | 1245 | 2587 | 0.051 | 2305 | 2583 | 0.856 | |
| any local injection site reactions | Vircell-IgG (AI) | 21.9 | 19.0 | 0.670 | 19.6 | 22.2 | 0.611 |
| DiaSorin-IgG (AU/mL) | 1035 | 1010 | 0.439 | 1015 | 1021 | 0.955 | |
| YHLO-Nab (AU/mL) | 2350 | 2592 | 0.709 | 2583 | 1866 | 0.450 | |
| pain | Vircell-IgG (AI) | 20.8 | 20.3 | 0.813 | 19.6 | 22.2 | 0.754 |
| DiaSorin-IgG (AU/mL) | 1020 | 1011 | 0.803 | 1015 | 1021 | 0.913 | |
| YHLO-Nab (AU/mL) | 2423 | 2558 | 0.951 | 2590 | 1601 | 0.171 | |
| swelling | Vircell-IgG (AI) | 22.4 | 20.1 | 0.319 | 20.1 | 21.9 | 0.955 |
| DiaSorin-IgG (AU/mL) | 1060 | 1011 | 0.675 | 1000 | 1020 | 0.796 | |
| YHLO-Nab (AU/mL) | 2874 | 2451 | 0.925 | 3377 | 2381 | 0.371 | |
| redness | Vircell-IgG (AI) | 11.4 | 21.4 | 0.985 | 11.4 | 21.9 | 0.196 |
| DiaSorin-IgG (AU/mL) | 921 | 1020 | 0.937 | 903 | 1020 | 0.370 | |
| YHLO-Nab (AU/mL) | 2793 | 2451 | 0.992 | 2793 | 2395 | 0.637 | |
| local lymphadenopathy | Vircell-IgG (AI) | --- | --- | --- | 29.1 | 18.9 | 0.163 |
| DiaSorin-IgG (AU/mL) | --- | --- | --- | 1220 | 1000 | 0.041 | |
| YHLO-Nab (AU/mL) | --- | --- | --- | 2795 | 2461 | 0.659 | |
| any systemic reactions | Vircell-IgG (AI) | 26.7 | 16.1 | 0.037 | 22.4 | 13.5 | 0.015 |
| DiaSorin-IgG (AU/mL) | 1255 | 958 | 0.014 | 1060 | 943 | 0.109 | |
| YHLO-Nab (AU/mL) | 2730 | 2345 | 0.189 | 2583 | 2381 | 0.189 | |
| chills | Vircell-IgG (AI) | --- | --- | --- | 28.2 | 20.3 | 0.147 |
| DiaSorin-IgG (AU/mL) | --- | --- | --- | 1185 | 1000 | 0.050 | |
| YHLO-Nab (AU/mL) | --- | --- | --- | 2702 | 2395 | 0.471 | |
| malaise | Vircell-IgG (AI) | 29.1 | 20.1 | 0.311 | 29.1 | 18.6 | 0.027 |
| DiaSorin-IgG (AU/mL) | 1330 | 1011 | 0.370 | 1100 | 1010 | 0.318 | |
| YHLO-Nab (AU/mL) | 1460 | 2526 | 0.976 | 2416 | 2517 | 0.983 | |
| nausea | Vircell-IgG (AI) | --- | --- | --- | 29.9 | 20.1 | 0.289 |
| DiaSorin-IgG (AU/mL) | --- | --- | --- | 1310 | 1010 | 0.036 | |
| YHLO-Nab (AU/mL) | --- | --- | --- | 2558 | 2489 | 0.593 | |
| fatigue | Vircell-IgG (AI) | 28.4 | 18.9 | 0.171 | 22.4 | 15.1 | 0.039 |
| DiaSorin-IgG (AU/mL) | 1250 | 1010 | 0.490 | 1050 | 958 | 0.257 | |
| YHLO-Nab (AU/mL) | 1601 | 2526 | 0.863 | 2526 | 2395 | 0.599 | |
| headache | Vircell-IgG (AI) | 26.9 | 17.9 | 0.042 | 22.2 | 21.4 | 0.152 |
| DiaSorin-IgG (AU/mL) | 1310 | 1005 | 0.011 | 1020 | 1010 | 0.339 | |
| YHLO-Nab (AU/mL) | 6689 | 2345 | 0.062 | 2650 | 2381 | 0.443 | |
| pain in the limbs | Vircell-IgG (AI) | --- | --- | --- | 22.5 | 21.4 | 0.217 |
| DiaSorin-IgG (AU/mL) | --- | --- | --- | 1110 | 1000 | 0.395 | |
| YHLO-Nab (AU/mL) | --- | --- | --- | 2788 | 2343 | 0.370 | |
| joint pain | Vircell-IgG (AI) | --- | --- | --- | 20.1 | 21.5 | 0.847 |
| DiaSorin-IgG (AU/mL) | --- | --- | --- | 869 | 1020 | 0.158 | |
| YHLO-Nab (AU/mL) | --- | --- | --- | 1660 | 2526 | 0.652 | |
| muscle pain | Vircell-IgG (AI) | --- | --- | --- | 22.3 | 21.4 | 0.284 |
| DiaSorin-IgG (AU/mL) | --- | --- | --- | 1010 | 1020 | 0.965 | |
| YHLO-Nab (AU/mL) | --- | --- | --- | 2810 | 2451 | 0.926 | |
| elevated temperature | Vircell-IgG (AI) | --- | --- | --- | 26.8 | 21.4 | 0.548 |
| DiaSorin-IgG (AU/mL) | --- | --- | --- | 1050 | 1011 | 0.713 | |
| YHLO-Nab (AU/mL) | --- | --- | --- | 2197 | 2526 | 0.461 | |
Publisher’s Note: MDPI stays neutral with regard to jurisdictional claims in published maps and institutional affiliations. |
© 2021 by the authors. Licensee MDPI, Basel, Switzerland. This article is an open access article distributed under the terms and conditions of the Creative Commons Attribution (CC BY) license (https://creativecommons.org/licenses/by/4.0/).
Share and Cite
Held, J.; Esse, J.; Tascilar, K.; Steininger, P.; Schober, K.; Irrgang, P.; Alsalameh, R.; Tenbusch, M.; Seggewies, C.; Bogdan, C. Reactogenicity Correlates Only Weakly with Humoral Immunogenicity after COVID-19 Vaccination with BNT162b2 mRNA (Comirnaty®). Vaccines 2021, 9, 1063. https://doi.org/10.3390/vaccines9101063
Held J, Esse J, Tascilar K, Steininger P, Schober K, Irrgang P, Alsalameh R, Tenbusch M, Seggewies C, Bogdan C. Reactogenicity Correlates Only Weakly with Humoral Immunogenicity after COVID-19 Vaccination with BNT162b2 mRNA (Comirnaty®). Vaccines. 2021; 9(10):1063. https://doi.org/10.3390/vaccines9101063
Chicago/Turabian StyleHeld, Jürgen, Jan Esse, Koray Tascilar, Philipp Steininger, Kilian Schober, Pascal Irrgang, Rayya Alsalameh, Matthias Tenbusch, Christof Seggewies, and Christian Bogdan. 2021. "Reactogenicity Correlates Only Weakly with Humoral Immunogenicity after COVID-19 Vaccination with BNT162b2 mRNA (Comirnaty®)" Vaccines 9, no. 10: 1063. https://doi.org/10.3390/vaccines9101063
APA StyleHeld, J., Esse, J., Tascilar, K., Steininger, P., Schober, K., Irrgang, P., Alsalameh, R., Tenbusch, M., Seggewies, C., & Bogdan, C. (2021). Reactogenicity Correlates Only Weakly with Humoral Immunogenicity after COVID-19 Vaccination with BNT162b2 mRNA (Comirnaty®). Vaccines, 9(10), 1063. https://doi.org/10.3390/vaccines9101063

