The Long-Term Immunity of a Microneedle Array Patch of a SARS-CoV-2 S1 Protein Subunit Vaccine Irradiated by Gamma Rays in Mice
Abstract
1. Introduction
2. Materials and Methods
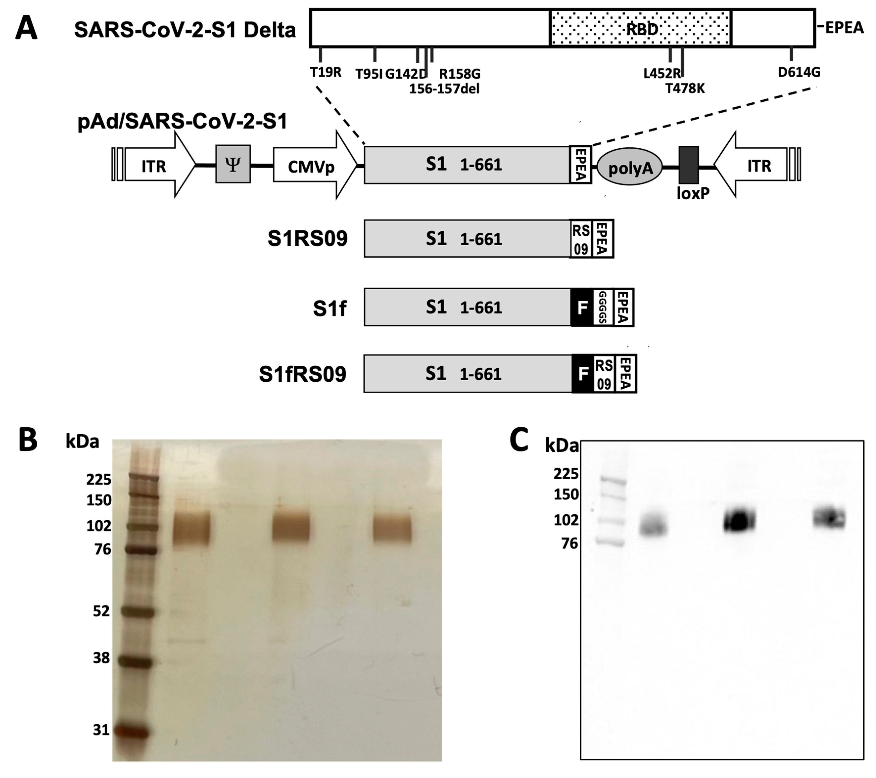
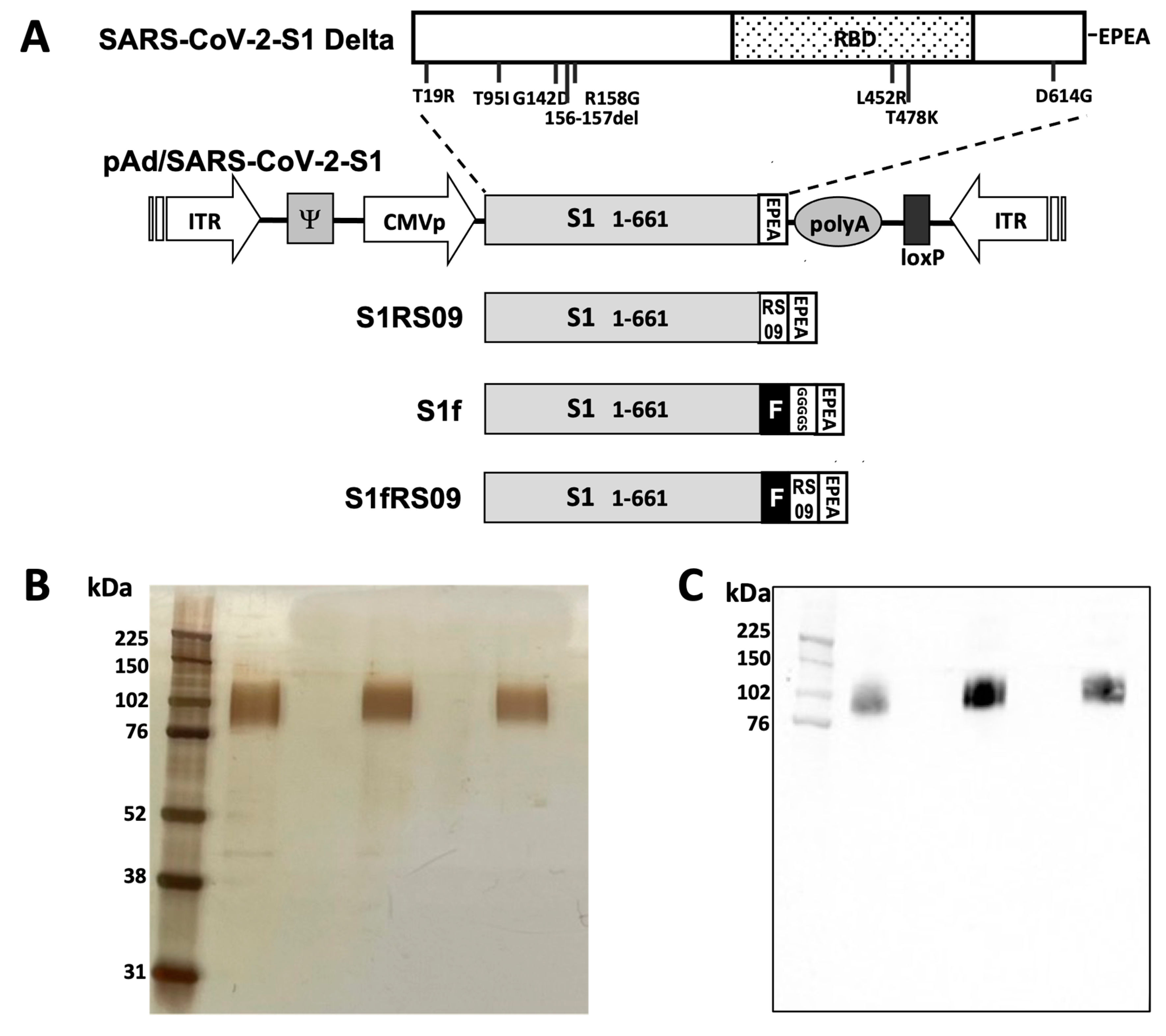
2.1. Construction of Recombinant Protein-Expressing Plasmids
2.2. Recombinant Proteins Expression and Purification
2.3. SDS-PAGE, Silver Staining, and Western Blot
2.4. Preparation of Dissolving Microneedle Array Patches
2.5. Animal Immunization
2.6. Assessment of Serum Humoral Antibodies
2.7. Flow Cytometry
2.8. ACE2 Blocking Assay
2.9. SARS-CoV-2 Microneutralization Assay
2.10. MAP Storage and Reconstitution for Analysis
2.11. Statistical Analysis
3. Results
3.1. Purification of Recombinant Proteins
3.2. Identification of S1RS09 as an Optimal Immunogen
3.3. Enhanced Immunity of MAP Delivery Compared to Conventional Intramuscular Injection
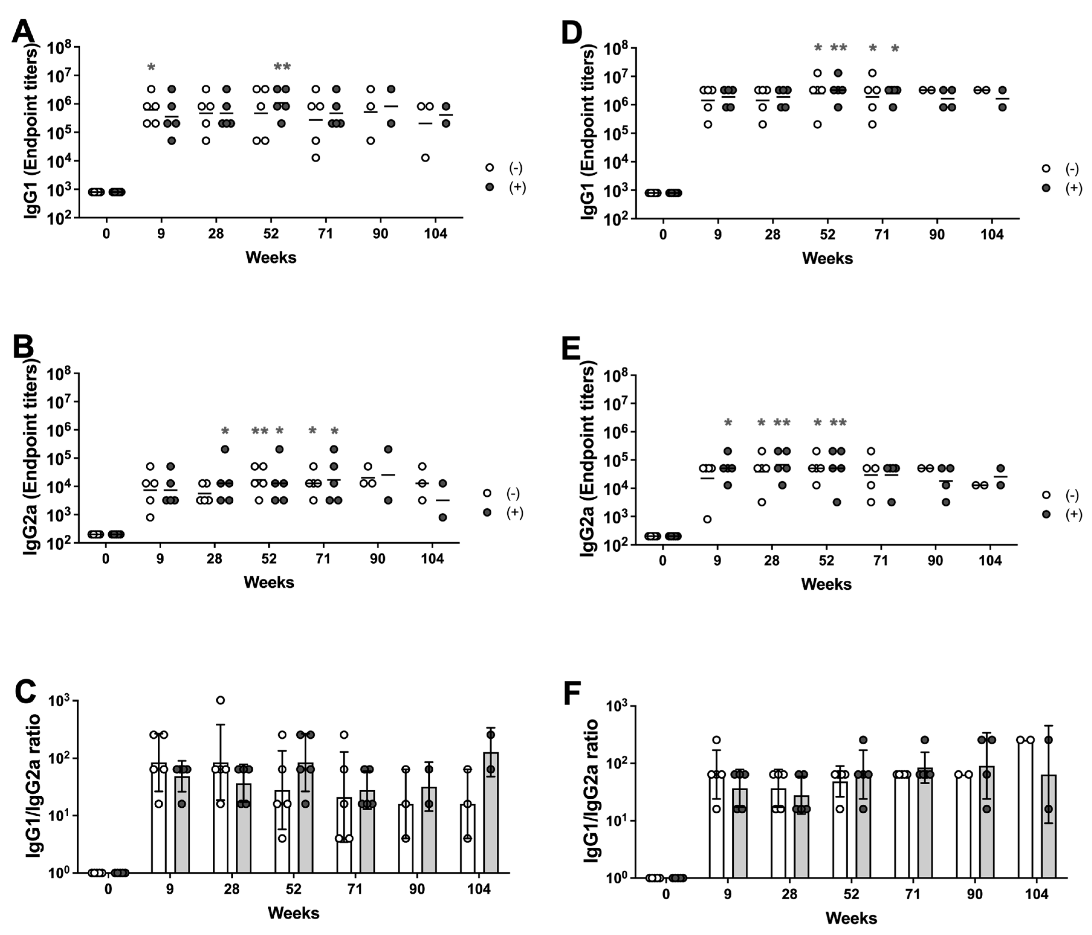
3.4. Long-Lasting Immunity of MAP Delivery Compared to Conventional Intramuscular Injection
3.5. Dose Sparing and Gamma Irradiation for Sterilization
3.6. Non-Irradiated and Irradiated MAP-S1RS09 Induce Virus Neutralizing Antibodies
3.7. Long-Term Stability of MAP-S1RS09 Stored at Elevated Temperatures
4. Discussion
5. Conclusions
Supplementary Materials
Author Contributions
Funding
Institutional Review Board Statement
Informed Consent Statement
Data Availability Statement
Conflicts of Interest
References
- COVID-19 Cases | WHO COVID-19 Dashboard. Available online: https://data.who.int/dashboards/covid19/cases (accessed on 3 January 2025).
- COVID-19 Deaths | WHO COVID-19 Dashboard. Available online: http://data.who.int/dashboards/covid19/cases (accessed on 3 January 2025).
- CDC COVID Data Tracker. Available online: https://covid.cdc.gov/covid-data-tracker (accessed on 1 May 2024).
- Koff, W.C.; Schenkelberg, T.; Williams, T.; Baric, R.S.; McDermott, A.; Cameron, C.M.; Cameron, M.J.; Friemann, M.B.; Neumann, G.; Kawaoka, Y.; et al. Development and Deployment of COVID-19 Vaccines for Those Most Vulnerable. Sci. Transl. Med. 2021, 13, eabd1525. [Google Scholar] [CrossRef]
- Alonso Ruiz, A.; Bezruki, A.; Shinabargar, E.; Large, K.; Vieira, M.; Slovenski, I.; Liu, Y.; Agarwal, S.; Becker, A.; Moon, S. Which Roads Lead to Access? A Global Landscape of Six COVID-19 Vaccine Innovation Models. Glob. Health 2024, 20, 25. [Google Scholar] [CrossRef]
- Katz, I.T.; Weintraub, R.; Bekker, L.-G.; Brandt, A.M. From Vaccine Nationalism to Vaccine Equity—Finding a Path Forward. N. Engl. J. Med. 2021, 384, 1281–1283. [Google Scholar] [CrossRef]
- Van Egeren, D.; Stoddard, M.; White, L.F.; Hochberg, N.S.; Rogers, M.S.; Zetter, B.; Joseph-McCarthy, D.; Chakravarty, A. Vaccines Alone Cannot Slow the Evolution of SARS-CoV-2. Vaccines 2023, 11, 853. [Google Scholar] [CrossRef] [PubMed]
- Vaccine Innovation Prioritisation Strategy. Available online: https://www.gavi.org/our-alliance/market-shaping/vaccine-innovation-prioritisation-strategy (accessed on 31 May 2024).
- Arya, J.; Henry, S.; Kalluri, H.; McAllister, D.V.; Pewin, W.P.; Prausnitz, M.R. Tolerability, Usability and Acceptability of Dissolving Microneedle Patch Administration in Human Subjects. Biomaterials 2017, 128, 1–7. [Google Scholar] [CrossRef]
- Prausnitz, M.R. Engineering Microneedle Patches for Vaccination and Drug Delivery to Skin. Annu. Rev. Chem. Biomol. Eng. 2017, 8, 177–200. [Google Scholar] [CrossRef]
- Schnyder, J.L.; de Jong, H.K.; Grobusch, M.P. Intradermal Immunization—A Dose-Sparing Strategy to Combat Global Shortages of Severe Acute Respiratory Syndrome Coronavirus 2 Vaccines? Clin. Microbiol. Infect. 2022, 28, 6–8. [Google Scholar] [CrossRef]
- Rouphael, N.G.; Paine, M.; Mosley, R.; Henry, S.; McAllister, D.V.; Kalluri, H.; Pewin, W.; Frew, P.M.; Yu, T.; Thornburg, N.J.; et al. The Safety, Immunogenicity, and Acceptability of Inactivated Influenza Vaccine Delivered by Microneedle Patch (TIV-MNP 2015): A Randomised, Partly Blinded, Placebo-Controlled, Phase 1 Trial. Lancet 2017, 390, 649–658. [Google Scholar] [CrossRef] [PubMed]
- Yin, Y.; Su, W.; Zhang, J.; Huang, W.; Li, X.; Ma, H.; Tan, M.; Song, H.; Cao, G.; Yu, S.; et al. Separable Microneedle Patch to Protect and Deliver DNA Nanovaccines Against COVID-19. ACS Nano 2021, 15, 14347–14359. [Google Scholar] [CrossRef] [PubMed]
- McNamee, M.; Wong, S.; Guy, O.; Sharma, S. Microneedle Technology for Potential SARS-CoV-2 Vaccine Delivery. Expert Opin. Drug Deliv. 2023, 20, 799–814. [Google Scholar] [CrossRef]
- Balmert, S.C.; Ghozloujeh, Z.G.; Carey, C.D.; Williams, L.H.; Zhang, J.; Shahi, P.; Amer, M.; Sumpter, T.L.; Erdos, G.; Korkmaz, E.; et al. A Microarray Patch SARS-CoV-2 Vaccine Induces Sustained Antibody Responses and Polyfunctional Cellular Immunity. iScience 2022, 25, 105045. [Google Scholar] [CrossRef]
- Kuwentrai, C.; Yu, J.; Rong, L.; Zhang, B.-Z.; Hu, Y.-F.; Gong, H.-R.; Dou, Y.; Deng, J.; Huang, J.-D.; Xu, C. Intradermal Delivery of Receptor-Binding Domain of SARS-CoV-2 Spike Protein with Dissolvable Microneedles to Induce Humoral and Cellular Responses in Mice. Bioeng. Transl. Med. 2021, 6, e10202. [Google Scholar] [CrossRef]
- McMillan, C.L.D.; Azuar, A.; Choo, J.J.Y.; Modhiran, N.; Amarilla, A.A.; Isaacs, A.; Honeyman, K.E.; Cheung, S.T.M.; Liang, B.; Wurm, M.J.; et al. Dermal Delivery of a SARS-CoV-2 Subunit Vaccine Induces Immunogenicity against Variants of Concern. Vaccines 2022, 10, 578. [Google Scholar] [CrossRef]
- McMillan, C.L.D.; Choo, J.J.Y.; Idris, A.; Supramaniam, A.; Modhiran, N.; Amarilla, A.A.; Isaacs, A.; Cheung, S.T.M.; Liang, B.; Bielefeldt-Ohmann, H.; et al. Complete Protection by a Single-Dose Skin Patch-Delivered SARS-CoV-2 Spike Vaccine. Sci. Adv. 2021, 7, eabj8065. [Google Scholar] [CrossRef]
- Xia, D.; Jin, R.; Byagathvalli, G.; Yu, H.; Ye, L.; Lu, C.-Y.; Bhamla, M.S.; Yang, C.; Prausnitz, M.R. An Ultra-Low-Cost Electroporator with Microneedle Electrodes (ePatch) for SARS-CoV-2 Vaccination. Proc. Natl. Acad. Sci. USA 2021, 118, e2110817118. [Google Scholar] [CrossRef]
- Hassan, J.; Haigh, C.; Ahmed, T.; Uddin, M.J.; Das, D.B. Potential of Microneedle Systems for COVID-19 Vaccination: Current Trends and Challenges. Pharmaceutics 2022, 14, 1066. [Google Scholar] [CrossRef] [PubMed]
- Prins, M.L.M.; Prins, C.; de Vries, J.J.C.; Visser, L.G.; Roukens, A.H.E. Establishing Immunogenicity and Safety of Needle-Free Intradermal Delivery by Nanoporous Ceramic Skin Patch of mRNA SARS-CoV-2 Vaccine as a Revaccination Strategy in Healthy Volunteers. Virus Res. 2023, 334, 199175. [Google Scholar] [CrossRef]
- Kim, Y.; Park, I.H.; Shin, J.; Choi, J.; Jeon, C.; Jeon, S.; Shin, J.-S.; Jung, H. Sublingual Dissolving Microneedle (SLDMN)-Based Vaccine for Inducing Mucosal Immunity against SARS-CoV-2. Adv. Healthc. Mater. 2023, 12, e2300889. [Google Scholar] [CrossRef] [PubMed]
- Patil, S.; Vijayanand, S.; Menon, I.; Gomes, K.B.; Kale, A.; Bagwe, P.; Yacoub, S.; Uddin, M.N.; D’Souza, M.J. Adjuvanted-SARS-CoV-2 Spike Protein-Based Microparticulate Vaccine Delivered by Dissolving Microneedles Induces Humoral, Mucosal, and Cellular Immune Responses in Mice. Pharmaceuticals 2023, 16, 1131. [Google Scholar] [CrossRef] [PubMed]
- Li, M.; Yang, L.; Wang, C.; Cui, M.; Wen, Z.; Liao, Z.; Han, Z.; Zhao, Y.; Lang, B.; Chen, H.; et al. Rapid Induction of Long-Lasting Systemic and Mucosal Immunity via Thermostable Microneedle-Mediated Chitosan Oligosaccharide-Encapsulated DNA Nanoparticles. ACS Nano 2023, 17, 24200–24217. [Google Scholar] [CrossRef]
- Vander Straeten, A.; Sarmadi, M.; Daristotle, J.L.; Kanelli, M.; Tostanoski, L.H.; Collins, J.; Pardeshi, A.; Han, J.; Varshney, D.; Eshaghi, B.; et al. A Microneedle Vaccine Printer for Thermostable COVID-19 mRNA Vaccines. Nat. Biotechnol. 2024, 42, 510–517. [Google Scholar] [CrossRef]
- Forster, A.H.; Witham, K.; Depelsenaire, A.C.I.; Veitch, M.; Wells, J.W.; Wheatley, A.; Pryor, M.; Lickliter, J.D.; Francis, B.; Rockman, S.; et al. Safety, Tolerability, and Immunogenicity of Influenza Vaccination with a High-Density Microarray Patch: Results from a Randomized, Controlled Phase I Clinical Trial. PLoS Med. 2020, 17, e1003024. [Google Scholar] [CrossRef]
- Iwata, H.; Kakita, K.; Imafuku, K.; Takashima, S.; Haga, N.; Yamaguchi, Y.; Taguchi, K.; Oyamada, T. Safety and Dose-Sparing Effect of Japanese Encephalitis Vaccine Administered by Microneedle Patch in Uninfected, Healthy Adults (MNA-J): A Randomised, Partly Blinded, Active-Controlled, Phase 1 Trial. Lancet Microbe 2022, 3, e96–e104. [Google Scholar] [CrossRef]
- Adigweme, I.; Yisa, M.; Ooko, M.; Akpalu, E.; Bruce, A.; Donkor, S.; Jarju, L.B.; Danso, B.; Mendy, A.; Jeffries, D.; et al. A Measles and Rubella Vaccine Microneedle Patch in The Gambia: A Phase 1/2, Double-Blind, Double-Dummy, Randomised, Active-Controlled, Age de-Escalation Trial. Lancet 2024, 403, 1879–1892. [Google Scholar] [CrossRef] [PubMed]
- Adigweme, I.; Akpalu, E.; Yisa, M.; Donkor, S.; Jarju, L.B.; Danso, B.; Mendy, A.; Jeffries, D.; Njie, A.; Bruce, A.; et al. Study Protocol for a Phase 1/2, Single-Centre, Double-Blind, Double-Dummy, Randomized, Active-Controlled, Age de-Escalation Trial to Assess the Safety, Tolerability and Immunogenicity of a Measles and Rubella Vaccine Delivered by a Microneedle Patch in Healthy Adults (18 to 40 Years), Measles and Rubella Vaccine-Primed Toddlers (15 to 18 Months) and Measles and Rubella Vaccine-Naïve Infants (9 to 10 Months) in The Gambia [Measles and Rubella Vaccine Microneedle Patch Phase 1/2 Age De-Escalation Trial]. Trials 2022, 23, 775. [Google Scholar] [CrossRef]
- Kim, E.; Shin, J.; Ferrari, A.; Huang, S.; An, E.; Han, D.; Khan, M.S.; Kenniston, T.W.; Cassaniti, I.; Baldanti, F.; et al. Fourth Dose of Microneedle Array Patch of SARS-CoV-2 S1 Protein Subunit Vaccine Elicits Robust Long-Lasting Humoral Responses in Mice. Int. Immunopharmacol. 2024, 129, 111569. [Google Scholar] [CrossRef]
- Smith, F.; Sabri, A.H.; Heppel, M.; Fonseca, I.; Chowdhury, F.; Cheung, K.; Willmor, S.; Rawson, F.; Marlow, M. The Clinical and Translational Prospects of Microneedle Devices, with a Focus on Insulin Therapy for Diabetes Mellitus as a Case Study. Int. J. Pharm. 2022, 628, 122234. [Google Scholar] [CrossRef]
- Asasutjarit, R.; Theerachayanan, T.; Kewsuwan, P.; Veeranondha, S.; Fuongfuchat, A.; Ritthidej, G.C. Gamma Sterilization of Diclofenac Sodium Loaded- N-Trimethyl Chitosan Nanoparticles for Ophthalmic Use. Carbohydr. Polym. 2017, 157, 603–612. [Google Scholar] [CrossRef]
- Marreco, P.R.; da Luz Moreira, P.; Genari, S.C.; Moraes, A.M. Effects of Different Sterilization Methods on the Morphology, Mechanical Properties, and Cytotoxicity of Chitosan Membranes Used as Wound Dressings. J. Biomed. Mater. Res. B Appl. Biomater. 2004, 71, 268–277. [Google Scholar] [CrossRef]
- Fifield, L.S.; Pharr, M.; Staack, D.; Pillai, S.D.; Nichols, L.; McCoy, J.; Faucette, T.; Bisel, T.T.; Huang, M.; Hasan, M.K.; et al. Direct Comparison of Gamma, Electron Beam and X-Ray Irradiation Doses on Characteristics of Low-Density Polyethylene, Polypropylene Homopolymer, Polyolefin Elastomer and Chlorobutyl Rubber Medical Device Polymers. Radiat. Phys. Chem. 2021, 186, 109505. [Google Scholar] [CrossRef]
- Caliş, S.; Bozdag, S.; Kaş, H.S.; Tunçay, M.; Hincal, A.A. Influence of Irradiation Sterilization on Poly(Lactide-Co-Glycolide) Microspheres Containing Anti-Inflammatory Drugs. Farmaco 2002, 57, 55–62. [Google Scholar] [CrossRef] [PubMed]
- Khan, M.S.; Kim, E.; Huang, S.; Kenniston, T.W.; Gambotto, A. Trivalent SARS-CoV-2 S1 Subunit Protein Vaccination Induces Broad Humoral Responses in BALB/c Mice. Vaccines 2023, 11, 314. [Google Scholar] [CrossRef]
- Kim, E.; Erdos, G.; Huang, S.; Kenniston, T.W.; Balmert, S.C.; Carey, C.D.; Raj, V.S.; Epperly, M.W.; Klimstra, W.B.; Haagmans, B.L.; et al. Microneedle Array Delivered Recombinant Coronavirus Vaccines: Immunogenicity and Rapid Translational Development. EBioMedicine 2020, 55, 102743. [Google Scholar] [CrossRef]
- Gao, W.; Rzewski, A.; Sun, H.; Robbins, P.D.; Gambotto, A. UpGene: Application of a Web-Based DNA Codon Optimization Algorithm. Biotechnol. Prog. 2004, 20, 443–448. [Google Scholar] [CrossRef] [PubMed]
- Kim, E.; Khan, M.S.; Ferrari, A.; Huang, S.; Sammartino, J.C.; Percivalle, E.; Kenniston, T.W.; Cassaniti, I.; Baldanti, F.; Gambotto, A. SARS-CoV-2 S1 Subunit Booster Vaccination Elicits Robust Humoral Immune Responses in Aged Mice. Microbiol. Spectr. 2023, 11, e0436322. [Google Scholar] [CrossRef] [PubMed]
- Kim, J.D.; Kim, M.; Yang, H.; Lee, K.; Jung, H. Droplet-Born Air Blowing: Novel Dissolving Microneedle Fabrication. J. Control. Release 2013, 170, 430–436. [Google Scholar] [CrossRef]
- Kim, E.; Weisel, F.J.; Balmert, S.C.; Khan, M.S.; Huang, S.; Erdos, G.; Kenniston, T.W.; Carey, C.D.; Joachim, S.M.; Conter, L.J.; et al. A Single Subcutaneous or Intranasal Immunization with Adenovirus-Based SARS-CoV-2 Vaccine Induces Robust Humoral and Cellular Immune Responses in Mice. Eur. J. Immunol. 2021, 51, 1774–1784. [Google Scholar] [CrossRef] [PubMed]
- Percivalle, E.; Cambiè, G.; Cassaniti, I.; Nepita, E.V.; Maserati, R.; Ferrari, A.; Di Martino, R.; Isernia, P.; Mojoli, F.; Bruno, R.; et al. Prevalence of SARS-CoV-2 Specific Neutralising Antibodies in Blood Donors from the Lodi Red Zone in Lombardy, Italy, as at 06 April 2020. Eurosurveillance 2020, 25, 2001031. [Google Scholar]
- Shanmugam, A.; Rajoria, S.; George, A.L.; Mittelman, A.; Suriano, R.; Tiwari, R.K. Synthetic Toll Like Receptor-4 (TLR-4) Agonist Peptides as a Novel Class of Adjuvants. PLoS ONE 2012, 7, e30839. [Google Scholar] [CrossRef]
- Eisenbarth, S.C.; Piggott, D.A.; Huleatt, J.W.; Visintin, I.; Herrick, C.A.; Bottomly, K. Lipopolysaccharide-Enhanced, Toll-like Receptor 4-Dependent T Helper Cell Type 2 Responses to Inhaled Antigen. J. Exp. Med. 2002, 196, 1645–1651. [Google Scholar] [CrossRef]
- Kim, Y.-K.; Oh, S.-Y.; Jeon, S.G.; Park, H.-W.; Lee, S.-Y.; Chun, E.-Y.; Bang, B.; Lee, H.-S.; Oh, M.-H.; Kim, Y.-S.; et al. Airway Exposure Levels of Lipopolysaccharide Determine Type 1 versus Type 2 Experimental Asthma. J. Immunol. 2007, 178, 5375–5382. [Google Scholar] [CrossRef]
- Chen, Q.; Li, R.; Wu, B.; Zhang, X.; Zhang, H.; Chen, R. A Tetravalent Nanoparticle Vaccine Elicits a Balanced and Potent Immune Response against Dengue Viruses without Inducing Antibody-Dependent Enhancement. Front. Immunol. 2023, 14, 1193175. [Google Scholar] [CrossRef]
- Ito, M.; Hayashi, K.; Minamisawa, T.; Homma, S.; Koido, S.; Shiba, K. Encryption of Agonistic Motifs for TLR4 into Artificial Antigens Augmented the Maturation of Antigen-Presenting Cells. PLoS ONE 2017, 12, e0188934. [Google Scholar] [CrossRef] [PubMed]
- Kwong, P.D.; Doyle, M.L.; Casper, D.J.; Cicala, C.; Leavitt, S.A.; Majeed, S.; Steenbeke, T.D.; Venturi, M.; Chaiken, I.; Fung, M.; et al. HIV-1 Evades Antibody-Mediated Neutralization through Conformational Masking of Receptor-Binding Sites. Nature 2002, 420, 678–682. [Google Scholar] [CrossRef]
- Tulsian, N.K.; Palur, R.V.; Qian, X.; Gu, Y.; D/O Shunmuganathan, B.; Samsudin, F.; Wong, Y.H.; Lin, J.; Purushotorman, K.; Kozma, M.M.; et al. Defining Neutralization and Allostery by Antibodies against COVID-19 Variants. Nat. Commun. 2023, 14, 6967. [Google Scholar] [CrossRef]
- Chu, L.Y.; Ye, L.; Dong, K.; Compans, R.W.; Yang, C.; Prausnitz, M.R. Enhanced Stability of Inactivated Influenza Vaccine Encapsulated in Dissolving Microneedle Patches. Pharm. Res. 2016, 33, 868–878. [Google Scholar] [CrossRef]
- Kim, J.-C.; Choi, J.; Park, H.; Yang, E.; Noh, S.; Kim, J.-S.; Kim, M.-J.; Song, M.; Park, J.-H. Pharmaceutical and Immunological Evaluation of Cholera Toxin A1 Subunit as an Adjuvant of Hepatitis B Vaccine Microneedles. Pharm. Res. 2023, 40, 3059–3071. [Google Scholar] [CrossRef]
- Shin, J.-H.; Noh, J.-Y.; Kim, K.-H.; Park, J.-K.; Lee, J.-H.; Jeong, S.D.; Jung, D.-Y.; Song, C.-S.; Kim, Y.-C. Effect of Zymosan and Poly (I:C) Adjuvants on Responses to Microneedle Immunization Coated with Whole Inactivated Influenza Vaccine. J. Control. Release 2017, 265, 83–92. [Google Scholar] [CrossRef] [PubMed]
- Park, S.; Lee, Y.; Kwon, Y.-M.; Lee, Y.-T.; Kim, K.-H.; Ko, E.-J.; Jung, J.H.; Song, M.; Graham, B.; Prausnitz, M.R.; et al. Vaccination by Microneedle Patch with Inactivated Respiratory Syncytial Virus and Monophosphoryl Lipid A Enhances the Protective Efficacy and Diminishes Inflammatory Disease after Challenge. PLoS ONE 2018, 13, e0205071. [Google Scholar] [CrossRef] [PubMed]
- Wang, Y.; Zhang, A.; Wang, Y.; Wang, X.; Xu, N.; Jiang, L. Effects of Irradiation on the Structure and Properties of Glycosylated Soybean Proteins. Food Funct. 2020, 11, 1635–1646. [Google Scholar] [CrossRef]
- Malik, M.A.; Sharma, H.K.; Saini, C.S. Effect of Gamma Irradiation on Structural, Molecular, Thermal and Rheological Properties of Sunflower Protein Isolate. Food Hydrocoll. 2017, 72, 312–322. [Google Scholar] [CrossRef]
- Li, Z.; Chu, S.; Wang, P.; Gao, S.; Li, S.; Yu, X. Effects of Irradiation Treatment on Protein Structure and Digestion Characteristics of Seed-Watermelon (Citrullus lanatus Var.) Kernel Protein. Food Sci. Biotechnol. 2020, 29, 1201–1211. [Google Scholar] [CrossRef] [PubMed]
- Do Nascimento, N.; Seebart, C.S.; Francis, B.; Rogero, J.R.; Kaiser, I.I. Influence of Ionizing Radiation on Crotoxin: Biochemical and Immunological Aspects. Toxicon 1996, 34, 123–131. [Google Scholar] [CrossRef]
- da Costa, A.; Zorgi, N.E.; do Nascimento, N.; Galisteo, A.J.; de Andrade, H.F. Gamma Irradiation of Toxoplasma gondii Protein Extract Improve Immune Response and Protection in Mice Models. Biomed. Pharmacother. 2018, 106, 599–604. [Google Scholar] [CrossRef]
- Kim, S.; Lee, J.; Shayan, F.L.; Kim, S.; Huh, I.; Ma, Y.; Yang, H.; Kang, G.; Jung, H. Physicochemical Study of Ascorbic Acid 2-Glucoside Loaded Hyaluronic Acid Dissolving Microneedles Irradiated by Electron Beam and Gamma Ray. Carbohydr. Polym. 2018, 180, 297–303. [Google Scholar] [CrossRef] [PubMed]
- Marcinkiewicz, J.; Walczewska, M. Neutrophils as Sentinel Cells of the Immune System: A Role of the MPO-Halide-System in Innate and Adaptive Immunity. Curr. Med. Chem. 2020, 27, 2840–2851. [Google Scholar] [CrossRef] [PubMed]
- Lin, W.; Chen, H.; Chen, X.; Guo, C. The Roles of Neutrophil-Derived Myeloperoxidase (MPO) in Diseases: The New Progress. Antioxidants 2024, 13, 132. [Google Scholar] [CrossRef] [PubMed]
- Biedroń, R.; Konopiński, M.K.; Marcinkiewicz, J.; Józefowski, S. Oxidation by Neutrophils-Derived HOCl Increases Immunogenicity of Proteins by Converting Them into Ligands of Several Endocytic Receptors Involved in Antigen Uptake by Dendritic Cells and Macrophages. PLoS ONE 2015, 10, e0123293. [Google Scholar] [CrossRef]
- Davies, M.J. Protein Oxidation and Peroxidation. Biochem. J. 2016, 473, 805–825. [Google Scholar] [CrossRef] [PubMed]
- Pinho, J.R.; Cardi, B.A.; Andrade, H.F.; Barr, P.J.; Bathurst, I.C.; Vicente, E.J.; Schenberg, A.C. Immunogenic Properties of the M. Leprae Recombinant 18-kDa Antigen Purified from Saccharomyces Cerevisiae; Enhancement of Delayed-Type Hypersensitivity after Gamma-Irradiation. Int. J. Lepr. Other Mycobact. Dis. 1995, 63, 381–390. [Google Scholar] [PubMed]
- Kolluru, C.; Gomaa, Y.; Prausnitz, M.R. Development of a Thermostable Microneedle Patch for Polio Vaccination. Drug Deliv. Transl. Res. 2019, 9, 192–203. [Google Scholar] [CrossRef]
- Struble, L.R.; Smith, A.L.; Lutz, W.E.; Grubbs, G.; Sagar, S.; Bayles, K.W.; Radhakrishnan, P.; Khurana, S.; El-Gamal, D.; Borgstahl, G.E.O. Insect Cell Expression and Purification of Recombinant SARS-COV-2 Spike Proteins That Demonstrate ACE2 Binding. Protein Sci. 2022, 31, e4300. [Google Scholar] [CrossRef]
- Kaipa, J.M.; Krasnoselska, G.; Owens, R.J.; van den Heuvel, J. Screening of Membrane Protein Production by Comparison of Transient Expression in Insect and Mammalian Cells. Biomolecules 2023, 13, 817. [Google Scholar] [CrossRef]
- Du, L.; Zhao, G.; Chan, C.C.S.; Sun, S.; Chen, M.; Liu, Z.; Guo, H.; He, Y.; Zhou, Y.; Zheng, B.-J.; et al. Recombinant Receptor-Binding Domain of SARS-CoV Spike Protein Expressed in Mammalian, Insect and E. coli Cells Elicits Potent Neutralizing Antibody and Protective Immunity. Virology 2009, 393, 144–150. [Google Scholar] [CrossRef]
- Vijayanand, S.; Patil, S.; Joshi, D.; Menon, I.; Braz Gomes, K.; Kale, A.; Bagwe, P.; Yacoub, S.; Uddin, M.N.; D’Souza, M.J. Microneedle Delivery of an Adjuvanted Microparticulate Vaccine Induces High Antibody Levels in Mice Vaccinated against Coronavirus. Vaccines 2022, 10, 1491. [Google Scholar] [CrossRef]
- Knisely, J.M.; Buyon, L.E.; Mandt, R.; Farkas, R.; Balasingam, S.; Bok, K.; Buchholz, U.J.; D’Souza, M.P.; Gordon, J.L.; King, D.F.L.; et al. Mucosal Vaccines for SARS-CoV-2: Scientific Gaps and Opportunities—Workshop Report. npj Vaccines 2023, 8, 53. [Google Scholar] [CrossRef]
- Yu, Y.; Wang, J.; Wu, M.X. Microneedles-Mediated Immunization Promotes Lung CD8+ T Cell Immunity. J. Investig. Dermatol. 2023, 143, 1983–1992.e3. [Google Scholar] [CrossRef]
- Kuwentrai, C.; Yu, J.; Zhang, B.; Hu, Y.; Dou, Y.; Gong, H.; Huang, J.-D.; Xu, C. Induction of Humoral and Cellular Immunity by Intradermal Delivery of SARS-CoV-2 Nucleocapsid Protein Using Dissolvable Microneedles. J. Immunol. Res. 2021, 2021, 5531220. [Google Scholar] [CrossRef] [PubMed]
- Frew, P.M.; Paine, M.B.; Rouphael, N.; Schamel, J.; Chung, Y.; Mulligan, M.J.; Prausnitz, M.R. Acceptability of an Inactivated Influenza Vaccine Delivered by Microneedle Patch: Results from a Phase I Clinical Trial of Safety, Reactogenicity, and Immunogenicity. Vaccine 2020, 38, 7175–7181. [Google Scholar] [CrossRef]









Disclaimer/Publisher’s Note: The statements, opinions and data contained in all publications are solely those of the individual author(s) and contributor(s) and not of MDPI and/or the editor(s). MDPI and/or the editor(s) disclaim responsibility for any injury to people or property resulting from any ideas, methods, instructions or products referred to in the content. |
© 2025 by the authors. Licensee MDPI, Basel, Switzerland. This article is an open access article distributed under the terms and conditions of the Creative Commons Attribution (CC BY) license (https://creativecommons.org/licenses/by/4.0/).
Share and Cite
Kim, E.; Khan, M.S.; Shin, J.; Huang, S.; Ferrari, A.; Han, D.; An, E.; Kenniston, T.W.; Cassaniti, I.; Baldanti, F.; et al. The Long-Term Immunity of a Microneedle Array Patch of a SARS-CoV-2 S1 Protein Subunit Vaccine Irradiated by Gamma Rays in Mice. Vaccines 2025, 13, 86. https://doi.org/10.3390/vaccines13010086
Kim E, Khan MS, Shin J, Huang S, Ferrari A, Han D, An E, Kenniston TW, Cassaniti I, Baldanti F, et al. The Long-Term Immunity of a Microneedle Array Patch of a SARS-CoV-2 S1 Protein Subunit Vaccine Irradiated by Gamma Rays in Mice. Vaccines. 2025; 13(1):86. https://doi.org/10.3390/vaccines13010086
Chicago/Turabian StyleKim, Eun, Muhammad S. Khan, Juyeop Shin, Shaohua Huang, Alessandro Ferrari, Donghoon Han, Eunjin An, Thomas W. Kenniston, Irene Cassaniti, Fausto Baldanti, and et al. 2025. "The Long-Term Immunity of a Microneedle Array Patch of a SARS-CoV-2 S1 Protein Subunit Vaccine Irradiated by Gamma Rays in Mice" Vaccines 13, no. 1: 86. https://doi.org/10.3390/vaccines13010086
APA StyleKim, E., Khan, M. S., Shin, J., Huang, S., Ferrari, A., Han, D., An, E., Kenniston, T. W., Cassaniti, I., Baldanti, F., Jeong, D., & Gambotto, A. (2025). The Long-Term Immunity of a Microneedle Array Patch of a SARS-CoV-2 S1 Protein Subunit Vaccine Irradiated by Gamma Rays in Mice. Vaccines, 13(1), 86. https://doi.org/10.3390/vaccines13010086

