Antibody Persistence and Risk of COVID-19 Infection: Insights from Modeling
Abstract
1. Introduction
2. Methods
2.1. Study DATA
2.1.1. Study Population
2.1.2. Immunological Assays
2.1.3. COVID-19 Detection
2.2. Statistical Analyses
2.2.1. Statistical Model
2.2.2. Model Outcomes
2.2.3. Statistical Methods
3. Results
3.1. Immunological Data and Infection Events
3.2. Model Selection
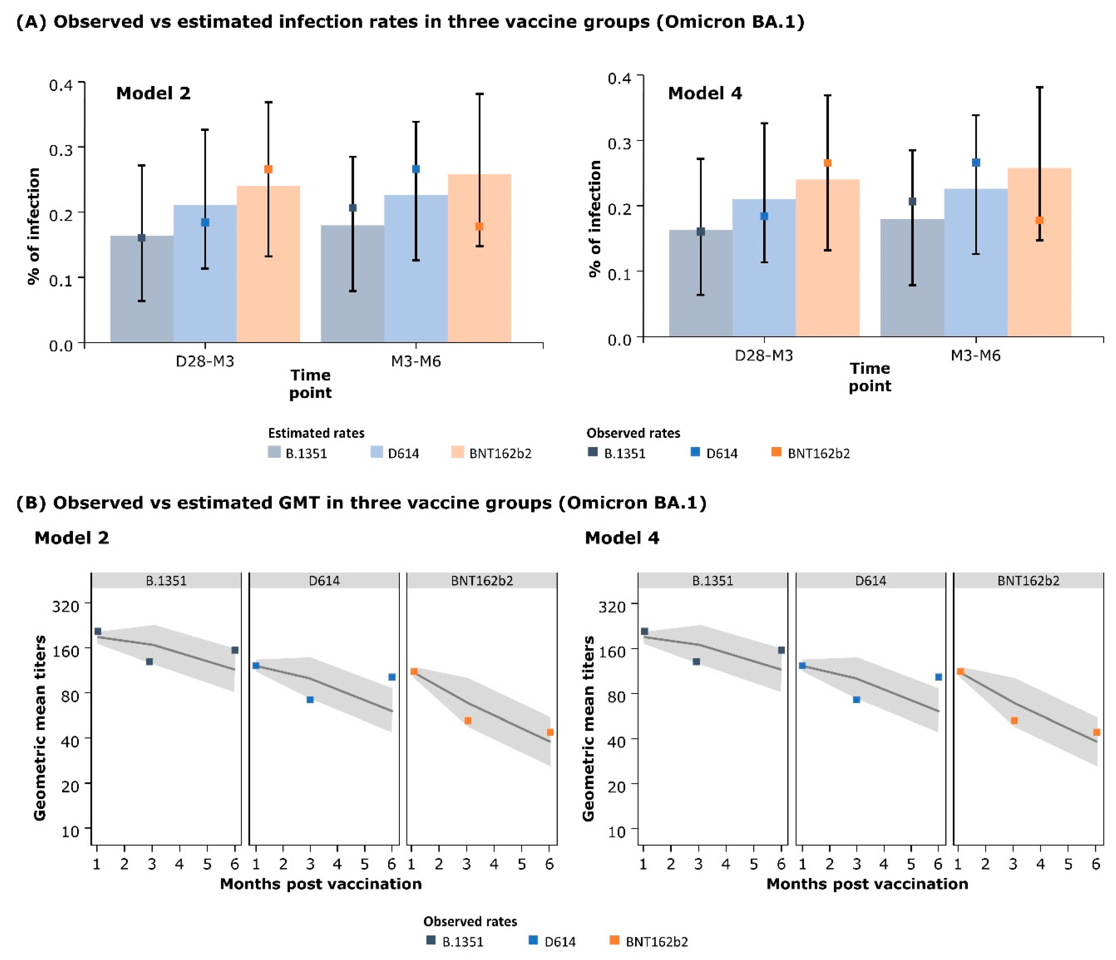
3.3. Observed vs. Model-Estimated Parameters
3.4. Model Outcomes for Aix-Marseille University Data (Omicron BA.1)
3.4.1. Evolution of Antibody Titers (GMT) in the Absence of Infection
3.4.2. Evolution of Protection against Infection over Time by Study Arm (against Omicron BA.1)
3.4.3. Relative Vaccine Efficacy between Study Groups (against Omicron BA.1)
3.5. Model Outcomes for Monogram Biosciences Data (Omicron BA.4/5)
4. Discussion
5. Conclusions
Supplementary Materials
Author Contributions
Funding
Institutional Review Board Statement
Informed Consent Statement
Data Availability Statement
Acknowledgments
Conflicts of Interest
Abbreviation
References
- World Health Organization. COVID-19 Weekly Epidemiological Update: 24 November 2023; WHO: Geneva, Switzerland, 2023; pp. 1–25.
- WHO Coronavirus (COVID-19) Dashboard. Available online: https://covid19.who.int/ (accessed on 11 December 2023).
- World Health Organization. COVID-19 Weekly Epidemiological Update: 20 July 2023; WHO: Geneva, Switzerland, 2023; pp. 1–15.
- Fernandes, Q.; Inchakalody, V.P.; Merhi, M.; Mestiri, S.; Taib, N.; Moustafa Abo El-Ella, D.; Bedhiafi, T.; Raza, A.; Al-Zaidan, L.; Mohsen, M.O.; et al. Emerging COVID-19 variants and their impact on SARS-CoV-2 diagnosis, therapeutics and vaccines. Ann. Med. 2022, 54, 524–540. [Google Scholar] [CrossRef] [PubMed]
- Arashiro, T.; Arima, Y.; Muraoka, H.; Sato, A.; Oba, K.; Uehara, Y.; Arioka, H.; Yanai, H.; Kuramochi, J.; Ihara, G.; et al. Coronavirus Disease 19 (COVID-19) Vaccine Effectiveness Against Symptomatic Severe Acute Respiratory Syndrome Coronavirus 2 (SARS-CoV-2) Infection During Delta-Dominant and Omicron-Dominant Periods in Japan: A Multicenter Prospective Case-control Study (Factors Associated with SARS-CoV-2 Infection and the Effectiveness of COVID-19 Vaccines Study). Clin. Infect. Dis. 2023, 76, e108–e115. [Google Scholar] [CrossRef] [PubMed]
- Gilbert, P.B.; Donis, R.O.; Koup, R.A.; Fong, Y.; Plotkin, S.A.; Follmann, D. A COVID-19 Milestone Attained—A Correlate of Protection for Vaccines. N. Engl. J. Med. 2022, 387, 2203–2206. [Google Scholar] [CrossRef] [PubMed]
- Perry, J.; Osman, S.; Wright, J.; Richard-Greenblatt, M.; Buchan, S.A.; Sadarangani, M.; Bolotin, S. Does a humoral correlate of protection exist for SARS-CoV-2? A systematic review. PLoS ONE 2022, 17, e0266852. [Google Scholar] [CrossRef] [PubMed]
- Feng, S.; Phillips, D.J.; White, T.; Sayal, H.; Aley, P.K.; Bibi, S.; Dold, C.; Fuskova, M.; Gilbert, S.C.; Hirsch, I.; et al. Correlates of protection against symptomatic and asymptomatic SARS-CoV-2 infection. Nat. Med. 2021, 27, 2032–2040. [Google Scholar] [CrossRef] [PubMed]
- Fong, Y.; Huang, Y.; Benkeser, D.; Carpp, L.N.; Áñez, G.; Woo, W.; McGarry, A.; Dunkle, L.M.; Cho, I.; Houchens, C.R.; et al. Immune correlates analysis of the PREVENT-19 COVID-19 vaccine efficacy clinical trial. Nat. Commun. 2023, 14, 331. [Google Scholar] [CrossRef] [PubMed]
- Fong, Y.; McDermott, A.B.; Benkeser, D.; Roels, S.; Stieh, D.J.; Vandebosch, A.; Le Gars, M.; Van Roey, G.A.; Houchens, C.R.; Martins, K.; et al. Immune correlates analysis of the ENSEMBLE single Ad26.COV2.S dose vaccine efficacy clinical trial. Nat. Microbiol. 2022, 7, 1996–2010. [Google Scholar] [CrossRef] [PubMed]
- Gilbert, P.B.; Montefiori, D.C.; McDermott, A.B.; Fong, Y.; Benkeser, D.; Deng, W.; Zhou, H.; Houchens, C.R.; Martins, K.; Jayashankar, L.; et al. Immune correlates analysis of the mRNA-1273 COVID-19 vaccine efficacy clinical trial. Science 2022, 375, 43–50. [Google Scholar] [CrossRef] [PubMed]
- Launay, O.; Cachanado, M.; Luong Nguyen, L.B.; Ninove, L.; Lachâtre, M.; Ben Ghezala, I.; Bardou, M.; Schmidt-Mutter, C.; Lacombe, K.; Laine, F.; et al. Immunogenicity and Safety of Beta-Adjuvanted Recombinant Booster Vaccine. N. Engl. J. Med. 2022, 387, 374–376. [Google Scholar] [CrossRef] [PubMed]
- Launay, T.; Konate, E.; Cachanado, M.; Lachatre, M.; Ghezala, I.B.; Lacombe, K.; Laine, F.; Schmidt-Mutter, C.; de Lamballerie, X.; Simon, T. Persistence of neutralizing antibodies induced by recombinant protein vaccine SARS-CoV-2 Omicron variants strain B1.531. In Proceedings of the Journées Nationales D’infectiologie (JNI) 2023, Grenoble, France, 7–9 June 2023. [Google Scholar]
- Launay, O.; Gupta, R.; Machabert, T.; Konate, E.; Rousseau, A.; Claire, V.; Beckers, F.; Chicz, R.; Botelho-Nevers, E.; Cachanado, M.; et al. Beta-variant recombinant SARS-CoV-2 vaccine induces durable cross-reactive antibodies against Omicron variants. Res. Sq. (Prepr. Version 1) 2023. [Google Scholar] [CrossRef]
- Gallian, P.; Pastorino, B.; Morel, P.; Chiaroni, J.; Ninove, L.; de Lamballerie, X. Lower prevalence of antibodies neutralizing SARS-CoV-2 in group O French blood donors. Antiviral Res. 2020, 181, 104880. [Google Scholar] [CrossRef] [PubMed]
- Nurtop, E.; Villarroel, P.M.S.; Pastorino, B.; Ninove, L.; Drexler, J.F.; Roca, Y.; Gake, B.; Dubot-Peres, A.; Grard, G.; Peyrefitte, C.; et al. Combination of ELISA screening and seroneutralisation tests to expedite Zika virus seroprevalence studies. Virol. J. 2018, 15, 192. [Google Scholar] [CrossRef] [PubMed]
- Huang, Y.; Borisov, O.; Kee, J.J.; Carpp, L.N.; Wrin, T.; Cai, S.; Sarzotti-Kelsoe, M.; McDanal, C.; Eaton, A.; Pajon, R.; et al. Calibration of two validated SARS-CoV-2 pseudovirus neutralization assays for COVID-19 vaccine evaluation. Sci. Rep. 2021, 11, 23921. [Google Scholar] [CrossRef] [PubMed]
- Kaslow, D.C. Force of infection: A determinant of vaccine efficacy? npj Vaccines 2021, 6, 51. [Google Scholar] [CrossRef] [PubMed]
- Stan Development Team. RStan: The R Interface to Stan. R Package; Version 2.21.2; Stan Development Team, 202. Available online: http://mc-stan.org/ (accessed on 11 December 2023).
- Vehtari, A.; Gelman, A.; Gabry, J. Practical Bayesian model evaluation using leave-one-out cross-validation and WAIC. Stat. Comput. 2017, 27, 1413–1432. [Google Scholar] [CrossRef]
- Coudeville, L.; Bailleux, F.; Riche, B.; Megas, F.; Andre, P.; Ecochard, R. Relationship between haemagglutination-inhibiting antibody titres and clinical protection against influenza: Development and application of a bayesian random-effects model. BMC Med. Res. Methodol. 2010, 10, 18. [Google Scholar] [CrossRef] [PubMed]
- Desai, K.; Coudeville, L.; Bailleux, F. Modelling the long-term persistence of neutralizing antibody in adults after one dose of live attenuated Japanese encephalitis chimeric virus vaccine. Vaccine 2012, 30, 2510–2515. [Google Scholar] [CrossRef] [PubMed]
- López, E.L.; Contrini, M.M.; Mistchenko, A.; Kieffer, A.; Baggaley, R.F.; Di Tanna, G.L.; Desai, K.; Rasuli, A.; Armoni, J. Modeling the long-term persistence of hepatitis A antibody after a two-dose vaccination schedule in Argentinean children. Pediatr. Infect. Dis. J. 2015, 34, 417–425. [Google Scholar] [CrossRef] [PubMed]
- Michos, A.; Tatsi, E.B.; Filippatos, F.; Dellis, C.; Koukou, D.; Efthymiou, V.; Kastrinelli, E.; Mantzou, A.; Syriopoulou, V. Association of total and neutralizing SARS-CoV-2 spike -receptor binding domain antibodies with epidemiological and clinical characteristics after immunization with the 1(st) and 2(nd) doses of the BNT162b2 vaccine. Vaccine 2021, 39, 5963–5967. [Google Scholar] [CrossRef] [PubMed]




| Dataset | Timepoint | B.1.351 | D614 | BNT162b2 |
|---|---|---|---|---|
| Aix-Marseille | D28 | 65 | 73 | 70 |
| M3 | 63 | 72 | 70 | |
| M6 * | 48 | 50 | 44 | |
| Monogram | D28 | 56 | 47 | 58 |
| M3 | 53 | 45 | 54 | |
| M6 * | 42 | 42 | 34 |
| Dataset | Time Interval | B.1.351 | D614 | BNT162b2 |
|---|---|---|---|---|
| Aix-Marseille | D28–M3 | 10 | 13 | 18 |
| M3–M6 | 13 | 19 | 12 | |
| Monogram | D28–M3 | 10 | 1 | 18 |
| M3–M6 | 14 | 17 | 11 |
| Model | Parameter * | Mean | SD | 95% CI | neffective | Rhat | |
|---|---|---|---|---|---|---|---|
| Model 1 | Force of infection, D28–M3 (λ1) † | 0.22 | 0.07 | 0.12 | 0.38 | 4587 | 1 |
| Force of infection, M3–M6 (λ2) † | 0.13 | 0.03 | 0.08 | 0.19 | 2092 | 1 | |
| Location parameter of the risk function (m) | 2.88 | 1.33 | 0.3 | 5.18 | 2439 | 1 | |
| Scale parameter of the risk function (s) | 1.54 | 0.55 | 0.48 | 2.68 | 932 | 1.01 | |
| Antibody waning rate for B.1.351 group (d1) | 0.27 | 0.06 | 0.15 | 0.39 | 2118 | 1 | |
| Antibody waning rate for D614 group (d2) | 0.39 | 0.06 | 0.27 | 0.5 | 7932 | 1 | |
| Antibody waning rate for BNT162b2 (d3) | 0.49 | 0.06 | 0.37 | 0.6 | 4987 | 1 | |
| Standard deviation for Ab persistence model () | 1.19 | 0.05 | 1.1 | 1.29 | 4989 | 1 | |
| Boost in titers post infection (b) | 2.08 | 0.15 | 1.78 | 2.37 | 6911 | 1 | |
| Model 2 | Force of infection, D28–M3 (λ1) † | 0.22 | 0.07 | 0.12 | 0.38 | 5528 | 1 |
| Force of infection, M3–M6 (λ2) † | 0.13 | 0.03 | 0.08 | 0.19 | 5654 | 1 | |
| Location parameter (m) | 2.88 | 1.34 | 0.33 | 5.27 | 3948 | 1 | |
| Scale parameter (s) | 1.5 | 0.54 | 0.56 | 2.7 | 4457 | 1 | |
| Antibody waning rate for B.1.351 group (d1) | 0.08 | 0.02 | 0.04 | 0.11 | 7422 | 1 | |
| Antibody waning rate for D614 group (d2) | 0.14 | 0.02 | 0.09 | 0.18 | 7289 | 1 | |
| Antibody waning rate for BNT162b2 (d3) | 0.28 | 0.04 | 0.21 | 0.37 | 6410 | 1 | |
| Standard deviation for Ab persistence model () | 1.19 | 0.04 | 1.1 | 1.28 | 6038 | 1 | |
| Boost in titers post infection (b) | 2.08 | 0.15 | 1.78 | 2.38 | 8932 | 1 | |
| Model 3 | Force of infection, D28–M3 (λ1) † | 0.21 | 0.05 | 0.12 | 0.31 | 7529 | 1 |
| Force of infection, M3–M6 (λ2) † | 0.12 | 0.02 | 0.08 | 0.17 | 8535 | 1 | |
| Location parameter of the risk function (m) | 6.68 | 0.92 | 5.48 | 8.92 | 5586 | 1 | |
| Scale parameter of the risk function (s) | 7 | 2.64 | 2.89 | 13.3 | 5334 | 1 | |
| Antibody waning rate for B.1.351 group (d1) | 0.27 | 0.06 | 0.15 | 0.38 | 8715 | 1 | |
| Antibody waning rate for D614 group (d2) | 0.39 | 0.06 | 0.27 | 0.5 | 9967 | 1 | |
| Antibody waning rate for BNT162b2 (d3) | 0.49 | 0.06 | 0.37 | 0.6 | 8858 | 1 | |
| Standard deviation for Ab persistence model () | 1.19 | 0.05 | 1.1 | 1.29 | 6096 | 1 | |
| Boost in titers post infection (b) | 2.08 | 0.15 | 1.77 | 2.37 | 12,295 | 1 | |
| Model 4 | Force of infection, D28–M3 (λ1) † | 0.21 | 0.05 | 0.12 | 0.31 | 6704 | 1 |
| Force of infection, M3–M6 (λ2) † | 0.12 | 0.02 | 0.08 | 0.17 | 7841 | 1 | |
| Location parameter of the risk function (m) | 6.52 | 0.97 | 5.26 | 9.04 | 5616 | 1 | |
| Scale parameter of the risk function (s) | 6.86 | 2.69 | 2.77 | 13.11 | 5524 | 1 | |
| Antibody waning rate for B.1.351 group (d1) | 0.08 | 0.02 | 0.04 | 0.11 | 7818 | 1 | |
| Antibody waning rate for D614 group (d2) | 0.14 | 0.02 | 0.09 | 0.18 | 7867 | 1 | |
| Antibody waning rate for BNT162b2 (d3) | 0.28 | 0.04 | 0.21 | 0.37 | 7574 | 1 | |
| Standard deviation for Ab persistence model () | 1.19 | 0.05 | 1.1 | 1.28 | 6821 | 1 | |
| Boost in titers post infection (b) | 2.08 | 0.15 | 1.78 | 2.38 | 10535 | 1 | |
Disclaimer/Publisher’s Note: The statements, opinions and data contained in all publications are solely those of the individual author(s) and contributor(s) and not of MDPI and/or the editor(s). MDPI and/or the editor(s) disclaim responsibility for any injury to people or property resulting from any ideas, methods, instructions or products referred to in the content. |
© 2024 by the authors. Licensee MDPI, Basel, Switzerland. This article is an open access article distributed under the terms and conditions of the Creative Commons Attribution (CC BY) license (https://creativecommons.org/licenses/by/4.0/).
Share and Cite
Coudeville, L.; Konate, E.; Simon, T.; de Lamballerie, X.; Patterson, S.; El Guerche-Séblain, C.; Launay, O., on behalf of AP-PH COVIBOOST Vaccine Trial Group. Antibody Persistence and Risk of COVID-19 Infection: Insights from Modeling. Vaccines 2024, 12, 1079. https://doi.org/10.3390/vaccines12091079
Coudeville L, Konate E, Simon T, de Lamballerie X, Patterson S, El Guerche-Séblain C, Launay O on behalf of AP-PH COVIBOOST Vaccine Trial Group. Antibody Persistence and Risk of COVID-19 Infection: Insights from Modeling. Vaccines. 2024; 12(9):1079. https://doi.org/10.3390/vaccines12091079
Chicago/Turabian StyleCoudeville, Laurent, Eleine Konate, Tabassome Simon, Xavier de Lamballerie, Scott Patterson, Clotilde El Guerche-Séblain, and Odile Launay on behalf of AP-PH COVIBOOST Vaccine Trial Group. 2024. "Antibody Persistence and Risk of COVID-19 Infection: Insights from Modeling" Vaccines 12, no. 9: 1079. https://doi.org/10.3390/vaccines12091079
APA StyleCoudeville, L., Konate, E., Simon, T., de Lamballerie, X., Patterson, S., El Guerche-Séblain, C., & Launay, O., on behalf of AP-PH COVIBOOST Vaccine Trial Group. (2024). Antibody Persistence and Risk of COVID-19 Infection: Insights from Modeling. Vaccines, 12(9), 1079. https://doi.org/10.3390/vaccines12091079

