Abstract
Patients undergoing immune effector cell therapy (IECT) are at high risk for infections. We assessed seropositivity against pneumococcus, tetanus, and diphtheria in patients before and after IECT and the patients’ response to vaccination. We enrolled patients who underwent IECT from January 2020 to March 2022. Antibody levels for diphtheria, tetanus, and pneumococcus were measured before IECT, at 1 month, and 3–6 months after. Eligible patients were vaccinated after IECT. In non-seroprotected patients, we discontinued testing. Before IECT, most patients had seroprotective antibody levels against tetanus (68/69, 99%) and diphtheria (65/69, 94%), but fewer did against pneumococcus (24/67, 36%). After IECT, all patients had seroprotective antibody levels for tetanus at 1 month (68/68) and 3–6 months (56/56). For diphtheria, 65/65 patients (100%) had seroprotective antibody levels at 1 month, and 48/53 (91%) did at 3–6 months. For pneumococcus, seroprotective antibody levels were identified in 91% (21/23) of patients at 1 month and 79% (15/19) at 3–6 months following IECT. Fifteen patients received a pneumococcal vaccine after IECT, but none achieved seroprotective response. One patient received the tetanus-diphtheria vaccine and had a seroprotective antibody response. Because some patients experience loss of immunity after IECT, studies evaluating vaccination strategies post-IECT are needed.
Keywords:
tetanus; diphtheria; pneumococcus; immune effector cell therapies; humoral immunity; CAR-T 1. Introduction
Immune effector cell therapies (IECTs) including chimeric antigen receptor (CAR) T-cell therapy, CAR natural killer cell therapy, and T-cell receptor–directed immunotherapy are potent immunotherapies that have revolutionized cancer treatment by selectively targeting and eliminating cancer cells [1,2]. These therapies involve engineering the patients’ T cells or natural killer cells to target antigens expressed on cancer cells. IECT has shown remarkable clinical responses in some patients with relapsed or refractory hematologic malignancies and solid tumors [2,3].
However, IECT has a substantial impact on the immune system, especially IECT targeting CD19, a type-1 transmembrane glycoprotein widely expressed on B-cells. This can have long-term implications for humoral immunity because CAR T cells target and can eliminate CD19+ B cells, leading to prolonged B cell depletion [4]. B-cell depletion can lead to hypogammaglobulinemia and, along with reported prolonged cytopenia, can result in an increased risk of infections [5,6,7,8,9].
Antimicrobial therapy constitutes a valuable tool for preventing infections after IECT. However, in the long-term for patients who have successfully undergone IECT, vaccination is of utmost importance. Currently, there are limited data available regarding the efficacy of immunization after IECT including which vaccines would be beneficial, their effectiveness, and the appropriate timing for vaccination. Recent studies have shown inadequate seroprotective antibody titers in CAR T-cell therapy recipients against vaccine-preventable diseases such as mumps, hepatitis A virus, hepatitis B virus, Haemophilus influenzae type b, Streptococcus pneumoniae, Bordetella pertussis, and SARS-CoV-2 [10,11,12].
Despite the increasing use of IECTs, given the lack of data on vaccination after IECTs, there are currently no formal guidelines or recommendations. To address this gap, the goal of this study was to determine the rate of antibody seropositivity against vaccine antigens for tetanus, diphtheria, and pneumococcus before and after IECT as well as to investigate factors associated with retained immunity and evaluate the humoral immune response to tetanus-diphtheria and pneumococcal vaccines after IECTs.
2. Materials and Methods
2.1. Patients, Study Design, and Study Assessments
We conducted a prospective, observational, single-center cohort study of children and adults with any type of cancer including hematologic and solid tumor malignancies for which they received commercial or investigational IECT such as CAR T-cell therapy, CAR natural killer cell therapy, and T-cell receptor-directed immunotherapy. We enrolled patients between January 2020 and March 2022 at the MD Anderson Cancer Center before they underwent IECT.
After patient enrollment, baseline blood samples were collected to immunoglobulin G (IgG) concentration for diphtheria (diphtheria toxoid IgG antibody, serum), tetanus (tetanus toxoid IgG antibody, serum), and Streptococcus pneumoniae (total Streptococcus pneumoniae 23-valent serotype IgG antibodies, serum) within 4 months prior to starting lymphodepleting chemotherapy for IECT. Antibody assays for diphtheria, tetanus, and pneumococcus were performed by Mayo Clinic Laboratories at Rochester. For patients with seroprotective antibody levels at the baseline according to our laboratory standards, a follow-up blood draw was performed at 1 month (±14 days) after IECT, and again at 3–6 months (±30 days) after IECT if the 1-month antibody test result remained at seroprotective levels. Patients with antibody titers below the level of seroprotection were not subjected to further blood draws or evaluation. As per protocol, results of the serologic tests were shared with the primary clinical providers after the 3–6 months post-IECT time point and determined eligibility for the respective vaccine. As this was not an interventional study, the decision of vaccination after IECT was conducted by the primary oncologist if it was determined that the patients would be eligible for vaccine given their clinical status. Patients who received the pneumococcal and/or tetanus-diphtheria vaccine at 6 to 12 months after IECT were tested for antibody responses 1–2 months after vaccination (Figure 1).
Figure 1.
Study plan for antibody blood testing, Abbreviations: IECT, immune effector cell therapy.
Patients who received pneumococcal or tetanus-diphtheria vaccines as part of a trial and/or had received immunoglobulins within 2 months from the date of lymphodepleting chemotherapy for IECT were excluded during the screening process.
2.2. Interpretations of the Tests
Diphtheria and tetanus antibody tests were performed using the enzyme-linked immunosorbent assay at the Mayo Clinic laboratory. As per laboratory definition, patients with diphtheria IgG antibody values ≥ 0.01 IU/mL and tetanus IgG antibody values ≥ 0.01 IU/mL were considered to have seroprotective antibody levels, for the purposes of the study [13].
The test for Streptococcus pneumoniae IgG antibodies was performed using microsphere photometry. The 23 pneumococcal serotypes and their normal values were evaluated [14]. Patients who had antibody concentrations greater than or equal to the reference value for at least 50% of the serotypes were considered to have seroprotective antibody levels for the purposes of the study, using the Mayo Clinic laboratory reference criteria [14,15,16]. For the pneumococcal vaccine, a vaccine response was defined as at least a 2- to 4-fold increase in titers for at least 50% of the serotypes after vaccination compared with before vaccination [15,17]. For the tetanus-diphtheria vaccine, a vaccine response was defined as the achievement of serum antibody concentration > 0.1 IU/mL for tetanus and diphtheria [18]. We collected data about intravenous immunoglobulin (IVIG) administration before titers were evaluated to help determine its impact on antibody titers.
2.3. Statistical Analysis
Data were extracted from medical records and electronic databases from 6 months before through to 1 year after IECT. Descriptive statistics were used to summarize the patient data. Continuous variables were summarized using mean or median and range or interquartile range, and categorical variables were summarized using frequency and percentage. Continuous variables were compared using the Wilcoxon rank-sum test, and categorical variables were compared using the chi-square or Fisher’s exact test, as appropriate. Antibody titers for diphtheria, tetanus, and pneumococcus at each time point were displayed using a box plot or bar graph. Given that our research aim was to investigate the immediate and longer-term effects of IECT on antibody seropositivity against vaccine antigens, the primary focus of the analysis was to examine the differences in antibody titers between specific time points. Therefore, each specific antibody at 1 month and 3–6 months after IECT were compared with those collected before IECT using the Wilcoxon signed-rank test. Correlation between the total IgG levels and levels of IgG specific to tetanus, diphtheria, and the pneumococcus-specific serotypes were evaluated using Spearman rank correlation, respectively. All tests were 2-sided with a significance level of 0.05. The statistical analyses were performed using SAS version 9.4 (SAS Institute Inc., Cary, NC, USA).
2.4. Study Oversight
The study was approved by the Institutional Review Board of The University of Texas MD Anderson Cancer Center, and all enrolled patients signed an informed consent document before any study activity was undertaken.
3. Results
A total of 83 patients were enrolled in the study, and 14 patients were excluded from the analysis for various reasons (Figure 2). Of the 69 patients included in the analysis, 42 (61%) were men, 49 (71%) had non-Hodgkin lymphoma, and the mean age was 57 years old (the age ranged between 16 to 84 years old). All patients in the analysis had received the tetanus-diphtheria vaccine before enrollment, and 28 patients (41%) received the pneumococcal vaccine (Table 1).
Figure 2.
Patient enrollment flowchart, Abbreviations: CAR, chimeric antigen receptor. 1 Two patients died before receiving immune effector cell therapy, 2 patients died right after IECT, and 1 patient went to hospice after IECT. 2 One patient had apheresis but ended up not being a candidate for IECT, 1 patient did not receive IECT because all protocols were shut down due to the COVID-19 pandemic, 1 patient had two failed apheresis attempts, 1 patient had a CAR T-cell therapy manufacturing failure, and 1 patient was in remission.
Table 1.
Demographic and clinical characteristics of patients included in our analysis (n = 69).
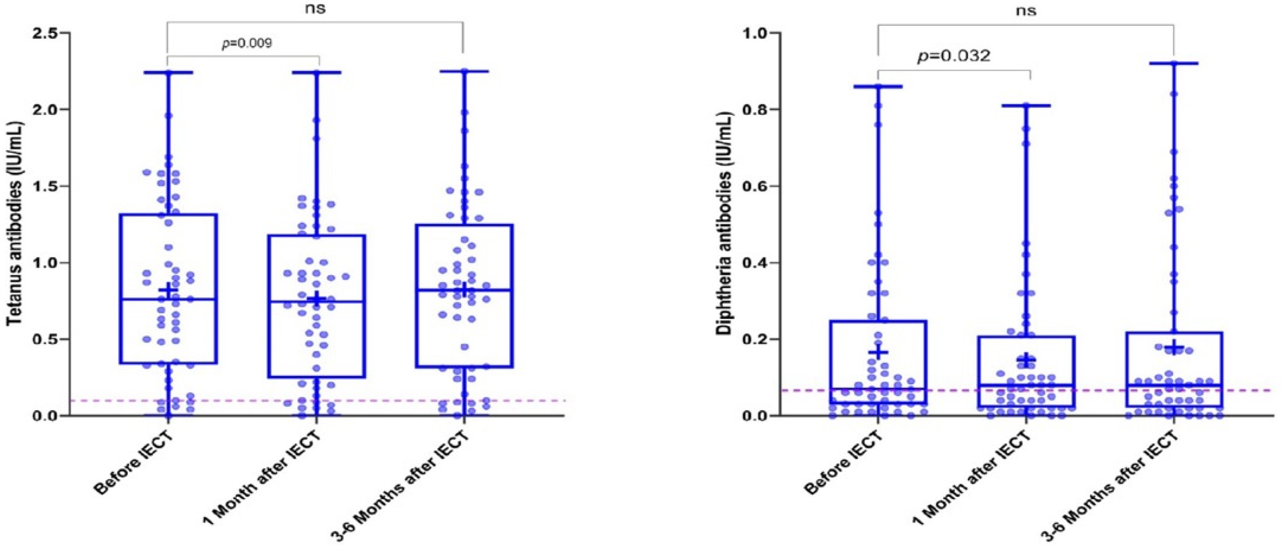
The number of patients who had seroprotective levels of antibodies against tetanus was 68/69 (99%) before IECT, 68/68 (100%) 1 month after IECT, and 56/56 (100%) 3–6 months after IECT. The number of patients who had seroprotective levels of antibodies against diphtheria was 65/69 (94%) before IECT, 65/65 (100%) 1 month after IECT, and 48/53 (91%) 3–6 months after IECT (Table 2). Antibody titers against tetanus and diphtheria decreased from baseline to 1 month after IECT (Figure 3) but recovered on the subsequent measurement. In addition, low total IgG values were correlated with decreased levels of tetanus- and diphtheria-specific IgGs (Supplementary Figure S1), and 50% of the pneumococcus-specific serotypes including serotypes 1B, 6B, 10A, 12F, 14, 15B, 17F, 19F, 20, 22F, and 23F at 3–6 months after IECT (Supplementary Table S1).
Table 2.
Laboratory test results among the patients in our analysis before, 1 month after, and 3–6 months after immune effector cell therapy (IECT).
Figure 3.
Antibody titers against tetanus and diphtheria during the study period. The left graph represents a statistically significant decrease in tetanus antibody titers between before immune effector cell therapy (IECT) and 1 month after IECT time points (p = 0.009). The right graph represents a statistically significant decrease in diphtheria antibody titers between before immune effector cell therapy (IECT) and 1 month after IECT time points (p = 0.032). The difference between the time points before IECT and 3–6 months after IECT was not statistically significant (ns).
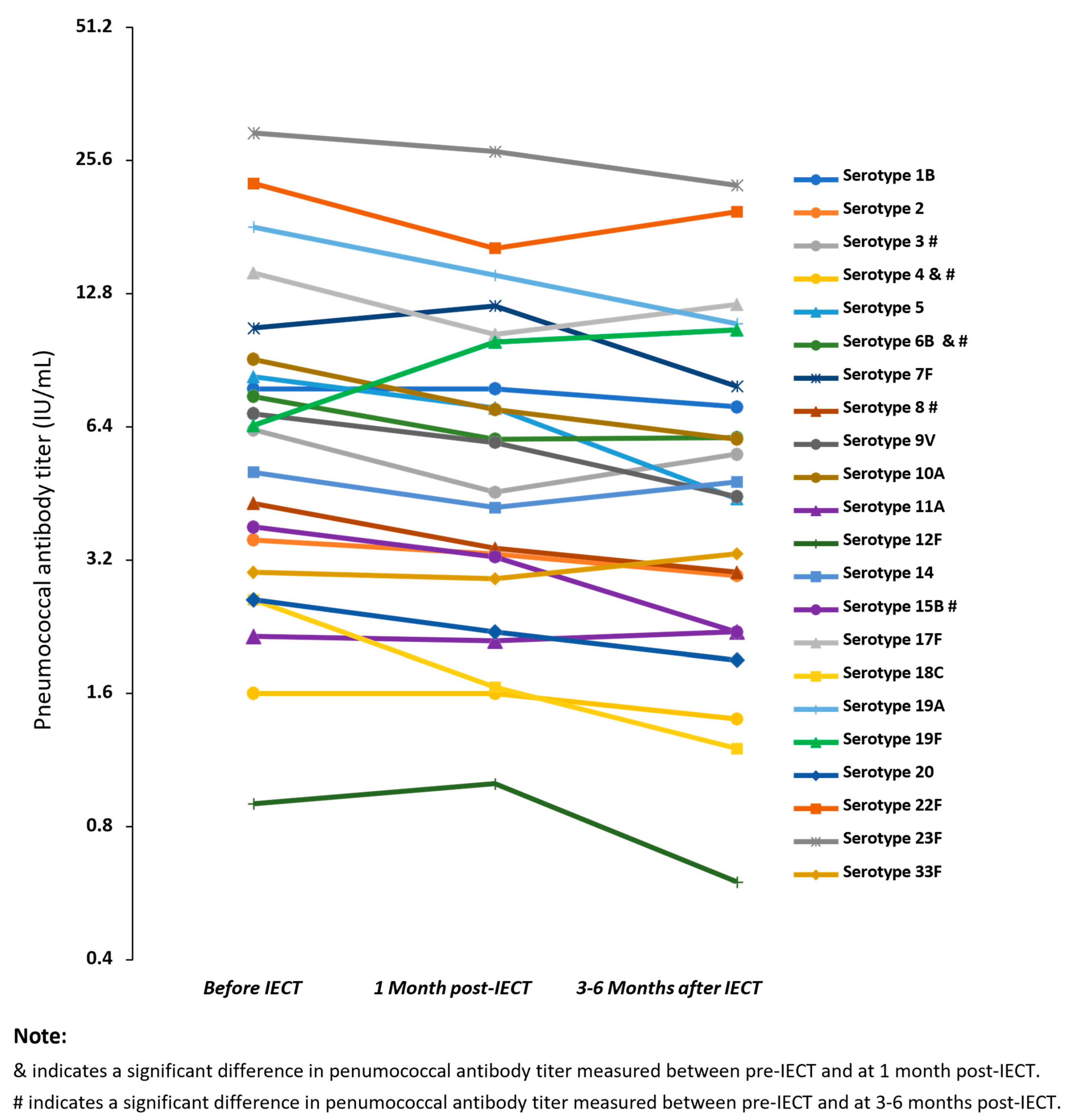
The number of patients who had seroprotective levels of pneumococcal antibodies was 24/67 (36%) before IECT, 21/23 (91%) 1 month after IECT, and 15/19 (79%) 3–6 months after IECT (Figure 4). Of the 28 patients with a documented history of pneumococcal vaccination before enrollment, 9/28 (32%) had seroprotective antibody levels against pneumococcus at baseline. The rest of the patients with seroprotective antibody levels against pneumococcus did not have documentation of vaccination. Immunoglobulin levels were higher in patients who had seroprotective levels of pneumococcal antibodies compared with patients who had non-seroprotective antibody levels, but this difference was not statistically significant. In most patients, a further decrease in the levels of most of the 23 serotypes was observed at 3–6 months after IECT. That decrease was statistically significant for serotypes 3, 4, 6B, 8, and 15B (Figure 5).
Figure 4.
Percentage of patients with antibody titers against pneumococcus below and above the seroprotective levels at the time points before immune effector cell therapy (IECT), 1 month after IECT, and 3–6 months after IECT.
Figure 5.
The figure represents the median immunoglobulin G (IgG) antibody titer concentrations for the Streptococcus pneumoniae IgG antibodies at 3 time points: Before immune effector cell therapy (IECT), 1 month after immune IECT, and 3–6 months after IECT.
Of the 54 patients who did not have seroprotective levels of pneumococcal antibodies at the baseline or after IECT, 15 (28%) received the pneumococcal vaccine at a median of 6 months (within a range of 4 to 12 months) after IECT and had follow-up serologic testing and 1 (2%) patient received the vaccine but was lost to follow-up. Among the 15 patients who were vaccinated and had follow-up data, 11 received a pneumococcal conjugate vaccine with 13 serotypes (PCV13), 2 received PCV13 followed by the pneumococcal polysaccharide vaccine (PPSV23), 1 patient received a pneumococcal conjugate vaccine with 20 serotypes (PCV20), and 1 received a PPSV23 vaccine. None of the 15 patients had an adequate immune response to the pneumococcal vaccine as measured by antibody response ~4 weeks after vaccination. One patient received the tetanus-diphtheria vaccine and had an adequate immune response. Of interest, the patient that had a positive response to tetanus diphtheria did not have an adequate response to the pneumococcal vaccine. Although the limited number did not allow for a definitive conclusion, these results reinforce the poor immunogenicity of the pneumococcal polysaccharide vaccine in immunocompromised patients.
Thirty-eight patients (70%) did not receive the pneumococcus or tetanus-diphtheria vaccine as recommended during the study follow-up period for various reasons: 11 (29%) developed progressive disease and/or needed active cancer therapy, 12 (31%) were lost to follow-up, 10 (26%) died, 3 (8%) entered hospice care, and 2 (5%) refused vaccination.
Regarding immune reconstitution, laboratory tests for the patients in our analysis at 3–6 months had a mean WBC 3.0 K/μL, CD4 count of 111 cells/µL, and IgG level of 547 mg/d (Table 2). Most patients exhibited a complete absence of B-lymphocyte antigen CD19 cells, with a median CD19 absolute quantity of 0 cells/µL at each time point and up to 1 year after IECT (Table 2). There was not a difference in immune reconstitution parameters between the patient who retained and lost immunity for pneumococcal antibodies (Supplement Table S2).
Seven patients received IVIG during the study follow-up period. All patients had non-seroprotective levels of antibodies against pneumococcus before the IVIG infusion including one patient who also had non-seroprotective levels of antibodies against diphtheria before the IVIG infusion. Two of these patients received a PCV13 vaccine after IVIG infusion but did not mount an adequate immune response, and one of them was also vaccinated with a tetanus-diphtheria vaccine after IVIG and had an adequate immune response. The remaining five patients were not retested for pneumococcal serologies after IVIG infusion.
4. Discussion
In the present prospective study, we assessed the antibody levels for tetanus, diphtheria, and pneumococcus antigens in patients before and after IECT, and our findings illustrate the potential challenges and implications of vaccination in this unique patient population.
In our cohort, most patients had seroprotective levels of antibodies against tetanus and diphtheria before IECT. Regarding the pneumococcal antibodies prior to IECT, approximately two-thirds of the patients did not have seroprotective levels before IECT including the majority of patients that had previously received the pneumococcal vaccine, which is consistent with previously reported findings in the CAR T-cell therapy recipients [10,15]. Interestingly, among the patients with seroprotective levels of pneumococcal antibodies before IECT, one-fourth experienced further antibody loss after cellular therapy. Similar results about loss of immunity over time have previously been reported in hematopoietic cell transplant recipients [19,20,21], and more recently in recipients of IECT who received influenza vaccine prior to cellular therapy [22]. In addition, our analysis depicts how antibody titers against pneumococcal serotype 8 in particular significantly decreased after IECT. It is important to mention that a recent publication reported that invasive pneumococcal disease caused by non-vaccine serotypes including serotype 8 is increasing in North America [23]. The above findings highlight the importance of monitoring antibody levels after IECT and the importance for preventive vaccines in this at risk population.
With regard to tetanus and diphtheria, our findings align with surveillance data and recent publications, which have shown similar rates of seroprotective antibodies against tetanus and diphtheria in both the general population and cancer patients who have undergone CAR T-cell therapies [10,24], Furthermore, we observed a correlation between low IgG values and decreased antibody levels for tetanus and diphtheria at 3–6 months after IECT.
It is important to note that our reference laboratory used a very conservative threshold for seroprotection for tetanus and diphtheria of 0.01 IU/m, whereas some publications considered titers between 0.01 and 0.099 IU/mL as basic protection or undetermined seroprotective levels [25,26,27,28], and others have defined >0.1 IU/mL as the seroprotective determined by the standard toxin neutralization method [27,29,30,31]. If we were to use the >0.1 IU/mL cutoff for tetanus/diphtheria for patients in our study who completed the 3- to 6-month follow-up after IECT, most patients (88%) had seroprotective levels of antibodies against tetanus, but 51% would not have met the criteria for seroprotective levels of antibodies against diphtheria, and would therefore benefit from Td vaccination after cellular therapy.
In terms of vaccine response, in our cohort, pneumococcal vaccination between 4 months and 1 year after IECT did not yield seroprotective antibody responses. Factors such as low white blood cell and CD4 counts at 3–6 months after IECT as well as low B-cell CD19 likely influenced the patient’s poor response to the pneumococcal vaccine. Recent studies evaluating vaccine immunogenicity in CAR T-cell therapy recipients have also highlighted the impairment of humoral immunity following these therapies and its impacts on vaccine response [32,33,34] Walti et al. recently evaluated the immunogenicity of influenza vaccination in CAR T-cell therapy recipients, and they reported an antibody response to >1 influenza vaccine strain in 40% of patients who received the vaccine prior to CAR T-cell therapy, compared with 31% of those who received the vaccine after therapy [22]. A recent publication from the Moffitt Cancer Center also described low immunogenicity for PCV13 in patients after IECT [35].
Current recommendations on schedules for vaccination after IECT are derived from center protocols and expert opinion and are based on data on stem cell transplant patients [30,36]. More data specifically on vaccine response for patients after IECT are needed to help determine the best strategies for immune protection. Recently, Gössi et al. reported that patients who received two doses of COVID-19 vaccine after CAR T-cell therapy had very low seropositivity (23%), with an improvement in antibody titers and anti-spike protein IgG after a third and fourth booster [32]. This strategy has been used in other populations to improve the levels of seroprotection, thus it makes sense to use a similar strategy in IECT recipients [32]. Furthermore, some publications have shown an association between lower rates of seroconversion with a shorter interval of cellular therapy to vaccination [37]. Further evaluation of the best timing for vaccination as well as the value of immune reconstitution parameters and cutoff values used to help guide vaccine recommendations in patients after IECT are needed [33].
Our study had some limitations. First, the sample size was relatively small because several patients died during the follow-up period, which may limit the generalizability of the findings to larger cohorts with different types of IECT. Second, the study lacked a control group of cancer patients who did not receive IECT. Without a control group, it is challenging to determine whether the observed changes in vaccine response were specifically attributed to IECT or could have been influenced by other confounders such as the underlying malignancies and/or previous line of therapies. Third, the number of patients who received a vaccine was relatively small, and the majority of patients did not recall timing or type of previous immunizations, which restricted our ability to determine the immune responses to vaccination after IECT. Finally, our study focused on evaluating humoral immunity, but other aspects of the immune system, such as cellular immune responses, were not investigated.
5. Conclusions
The present study provides valuable insights into humoral immunity over time to tetanus, diphtheria, and pneumococcus in cancer patients undergoing IECT. We showed that the levels of antibody titers against pneumococcus declined after IECT. Moreover, patients who received the pneumococcal vaccine after IECT were not able to elicit a good immune response to standard doses of the pneumococcal conjugated vaccine or conjugated vaccine, followed by one dose of the polysaccharide vaccine from 4 months to up to 1 year after IECT. These findings underscore the importance of monitoring and optimizing vaccination strategies in cancer patients undergoing IECT to enhance protective immune responses in vaccine-preventable infections in well-designed clinical trials. Further research with larger cohorts and different IECT types is warranted to validate and expand on our findings and determine the predictors of vaccine responses based on biomarkers, timing, and number of vaccine doses after IECT.
Supplementary Materials
The following supporting information can be downloaded at: https://www.mdpi.com/article/10.3390/vaccines12091070/s1, Figure S1: Correlation between IgG values and tetanus- and diphtheria-specific IgGs at 3–6 months after IECT; Table S1: Analysis of correlation between pneumonia antibodies and IgG at 3–6 months after immune effector cell therapy; Table S2: Laboratory values of patients with seroprotective and non-seroprotective levels of pneumococcal antibodies at 3–6 months after immune effector cell therapy.
Author Contributions
Conceptualization, E.J.A.-H. and R.F.C.; Methodology, E.J.A.-H. and R.F.C.; Validation, All authors; Formal analysis, G.A. and Y.J.; Investigation, E.J.A.-H.; Resources, E.J.A.-H. and R.F.C.; Data curation, G.A., O.M.-A. and P.E.; Writing, Original draft preparation, G.A.; Writing, review and editing, All authors; Supervision, E.J.A.-H.; Project administration, G.A.; Funding acquisition, E.J.A.-H. and R.F.C. All authors have read and agreed to the published version of the manuscript.
Funding
The study was funded by MD Anderson’s Institutional Survivorship Research Grant 2021-00059642-Y1.
Institutional Review Board Statement
The study was conducted according to the guidelines of the Declaration of Helsinki and approved by the Institutional Review Board of MD Anderson Cancer Center. The protocol number of the study is PA19-0627 and it was approved on 9/19/2019.
Informed Consent Statement
Informed consent was obtained from all subjects involved in the study.
Data Availability Statement
Data is contained within the article and Supplementary Materials. The data reported in this article may be commercially sensitive and not publicly available. To the extent allowed, the authors will provide access to deidentified participant-level data underlying the data presented in this article to researchers who provide a methodologically sound proposal for academic purposes to interpret, verify and extend research in the article that does not violate privacy, data encumbrance, intellectual property or other legal, regulatory, or contractual confidentiality obligations. Data provided will be subject to a data use agreement. Researchers should contact the corresponding author when applying for data access. Use of data will be restricted to the agreed purpose.
Acknowledgments
We thank Erica Goodoff, Senior Scientific Editor in the Research Medical Library at The University of Texas MD Anderson Cancer Center, for editing this article.
Conflicts of Interest
R.F.C.: Consultant/Speaker/Advisor for ADMA Biologics, Janssen, MSD, Partner Therapeutics, Takeda, Shinogi, AiCuris, Roche/Genentech, Astellas, Adagio Therapeutics, Tether, Oxford Immunotec, Karius, Moderna, InflaRX, and Ansun Pharmaceuticals, and Research grants paid to his institution from MSD, Karius, AiCuris, Ansun Pharmaceuticals, Takeda, Genentech, Oxford Immunotec, and Eurofins-Viracor. J.A.W.: Reports compensation for speaker’s bureau and honoraria from PeerView and serves as a consultant and/or advisory board member for Gustave Roussy Cancer Center, OSE Immunotherapeutics, Bayer Therapeutics, James Cancer Center OSU and Daiichi Sanyko. R.R.J.: Has served as a consultant or advisory board member for MaaT Pharma, LISCure, Seres, and Prolacta, and has received patent license fees or stock options from Seres. N.J.A.: Serves as an advisory board member for Snapi Health, Pragma Bio, and receives research funding from SNIPR BIOME and Kanvas Biosciences. P.K.: Advisory board for Kite. The remaining co-authors have no conflicts of interest to declare for the data in this manuscript.
References
- June, C.H.; O’Connor, R.S.; Kawalekar, O.U.; Ghassemi, S.; Milone, M.C. CAR T cell immunotherapy for human cancer. Science 2018, 359, 1361–1365. [Google Scholar] [CrossRef] [PubMed]
- Liu, E.; Marin, D.; Banerjee, P.; Macapinlac, H.A.; Thompson, P.; Basar, R.; Nassif Kerbauy, L.; Overman, B.; Thall, P.; Kaplan, M.; et al. Use of CAR-Transduced Natural Killer Cells in CD19-Positive Lymphoid Tumors. N. Engl. J. Med. 2020, 382, 545–553. [Google Scholar] [CrossRef]
- Maude, S.L.; Laetsch, T.W.; Buechner, J.; Rives, S.; Boyer, M.; Bittencourt, H.; Bader, P.; Verneris, M.R.; Stefanski, H.E.; Myers, G.D.; et al. Tisagenlecleucel in Children and Young Adults with B-Cell Lymphoblastic Leukemia. N. Engl. J. Med. 2018, 378, 439–448. [Google Scholar] [CrossRef] [PubMed]
- Turtle, C.J.; Hanafi, L.A.; Berger, C.; Gooley, T.A.; Cherian, S.; Hudecek, M.; Sommermeyer, D.; Melville, K.; Pender, B.; Budiarto, T.M.; et al. CD19 CAR-T cells of defined CD4+:CD8+ composition in adult B cell ALL patients. J. Clin. Investig. 2016, 126, 2123–2138. [Google Scholar] [CrossRef] [PubMed]
- Cordeiro, A.; Bezerra, E.D.; Hirayama, A.V.; Hill, J.A.; Wu, Q.V.; Voutsinas, J.; Sorror, M.L.; Turtle, C.J.; Maloney, D.G.; Bar, M. Late Events after Treatment with CD19-Targeted Chimeric Antigen Receptor Modified T Cells. Biol. Blood Marrow Transplant. 2020, 26, 26–33. [Google Scholar] [CrossRef]
- Wang, M.; Munoz, J.; Goy, A.; Locke, F.L.; Jacobson, C.A.; Hill, B.T.; Timmerman, J.M.; Holmes, H.; Jaglowski, S.; Flinn, I.W.; et al. KTE-X19 CAR T-Cell Therapy in Relapsed or Refractory Mantle-Cell Lymphoma. N. Engl. J. Med. 2020, 382, 1331–1342. [Google Scholar] [CrossRef]
- Strati, P.; Varma, A.; Adkins, S.; Nastoupil, L.J.; Westin, J.; Hagemeister, F.B.; Fowler, N.H.; Lee, H.J.; Fayad, L.E.; Samaniego, F.; et al. Hematopoietic recovery and immune reconstitution after axicabtagene ciloleucel in patients with large B-cell lymphoma. Haematologica 2021, 106, 2667–2672. [Google Scholar] [CrossRef] [PubMed]
- Locke, F.L.; Ghobadi, A.; Jacobson, C.A.; Miklos, D.B.; Lekakis, L.J.; Oluwole, O.O.; Lin, Y.; Braunschweig, I.; Hill, B.T.; Timmerman, J.M.; et al. Long-term safety and activity of axicabtagene ciloleucel in refractory large B-cell lymphoma (ZUMA-1): A single-arm, multicentre, phase 1-2 trial. Lancet Oncol. 2019, 20, 31–42. [Google Scholar] [CrossRef] [PubMed]
- Wat, J.; Barmettler, S. Hypogammaglobulinemia After Chimeric Antigen Receptor (CAR) T-Cell Therapy: Characteristics, Management, and Future Directions. J. Allergy Clin. Immunol. Pract. 2022, 10, 460–466. [Google Scholar] [CrossRef]
- Walti, C.S.; Krantz, E.M.; Maalouf, J.; Boonyaratanakornkit, J.; Keane-Candib, J.; Joncas-Schronce, L.; Stevens-Ayers, T.; Dasgupta, S.; Taylor, J.J.; Hirayama, A.V.; et al. Antibodies against vaccine-preventable infections after CAR-T cell therapy for B cell malignancies. JCI Insight 2021, 6, e146743. [Google Scholar] [CrossRef]
- Wu, X.; Wang, L.; Shen, L.; He, L.; Tang, K. Immune response to vaccination against SARS-CoV-2 in hematopoietic stem cell transplantation and CAR T-cell therapy recipients. J. Hematol. Oncol. 2022, 15, 81. [Google Scholar] [CrossRef] [PubMed]
- Abid, M.A.; Abid, M.B. SARS-CoV-2 vaccine response in CAR T-cell therapy recipients: A systematic review and preliminary observations. Hematol. Oncol. 2022, 40, 287–291. [Google Scholar] [CrossRef] [PubMed]
- Mayo Clinic Laboratories. Tetanus Toxoid IgG Antibody, Serum. Available online: https://www.mayocliniclabs.com/test-catalog/overview/36667#Clinical-and-Interpretive (accessed on 1 September 2023).
- Mayo Clinic Laboratories. Streptococcus pneumoniae (Pneumococcus), Quantitative PCR. Available online: https://www.mayocliniclabs.com/test-catalog/overview/608969#Clinical-and-Interpretive (accessed on 30 June 2023).
- Parker, A.R.; Park, M.A.; Harding, S.; Abraham, R.S. The total IgM, IgA and IgG antibody responses to pneumococcal polysaccharide vaccination (Pneumovax®23) in a healthy adult population and patients diagnosed with primary immunodeficiencies. Vaccine 2019, 37, 1350–1355. [Google Scholar] [CrossRef] [PubMed]
- Plikaytis, B.D.; Goldblatt, D.; Frasch, C.E.; Blondeau, C.; Bybel, M.J.; Giebink, G.S.; Jonsdottir, I.; Käyhty, H.; Konradsen, H.B.; Madore, D.V.; et al. An analytical model applied to a multicenter pneumococcal enzyme-linked immunosorbent assay study. J. Clin. Microbiol. 2000, 38, 2043–2050. [Google Scholar] [CrossRef] [PubMed]
- Daly, T.M.; Hill, H.R. Use and clinical interpretation of pneumococcal antibody measurements in the evaluation of humoral immune function. Clin. Vaccine Immunol. 2015, 22, 148–152. [Google Scholar] [CrossRef]
- Plotkin, S.A. Correlates of protection induced by vaccination. Clin. Vaccine Immunol. 2010, 17, 1055–1065. [Google Scholar] [CrossRef] [PubMed]
- Garcia Garrido, H.M.; van Aalst, M.; Schinkel, J.; Koen, G.; Defoer, J.M.; Hazenberg, M.D.; Nur, E.; Grobusch, M.P.; Zeerleder, S.S.; Goorhuis, A.; et al. Early loss of immunity against measles following allogeneic hematopoietic stem cell transplantation. Am. J. Hematol. 2019, 94, E270–E272. [Google Scholar] [CrossRef]
- Ljungman, P.; Lewensohn-Fuchs, I.; Hammarström, V.; Aschan, J.; Brandt, L.; Bolme, P.; Lönnqvist, B.; Johansson, N.; Ringdén, O.; Gahrton, G. Long-term immunity to measles, mumps, and rubella after allogeneic bone marrow transplantation. Blood 1994, 84, 657–663. [Google Scholar] [CrossRef]
- Einarsdottir, S.; Sverrisdottir, I.; Vaht, K.; Bergström, T.; Brune, M.; Andersson, P.O.; Wenneras, C.; Ljungman, P. Long-Term Immunity against Tetanus and Diphtheria after Vaccination of Allogeneic Stem Cell Transplantation Recipients. Transplant. Cell Ther. 2023, 29, 275.e1–275.e5. [Google Scholar] [CrossRef] [PubMed]
- Walti, C.S.; Loes, A.N.; Shuey, K.; Krantz, E.M.; Boonyaratanakornkit, J.; Keane-Candib, J.; Loeffelholz, T.; Wolf, C.R.; Taylor, J.J.; Gardner, R.A.; et al. Humoral immunogenicity of the seasonal influenza vaccine before and after CAR-T-cell therapy: A prospective observational study. J. Immunother. Cancer 2021, 9, e003428. [Google Scholar] [CrossRef]
- Løchen, A.; Croucher, N.J.; Anderson, R.M. Divergent serotype replacement trends and increasing diversity in pneumococcal disease in high income settings reduce the benefit of expanding vaccine valency. Sci. Rep. 2020, 10, 18977. [Google Scholar] [CrossRef]
- McQuillan, G.M.; Kruszon-Moran, D.; Deforest, A.; Chu, S.Y.; Wharton, M. Serologic immunity to diphtheria and tetanus in the United States. Ann. Intern. Med. 2002, 136, 660–666. [Google Scholar] [CrossRef]
- World Health Organization. Tetanus vaccines: WHO position paper, February 2017—Recommendations. Vaccine 2018, 36, 3573–3575. [Google Scholar] [CrossRef] [PubMed]
- Crone, N.E.; Reder, A.T. Severe tetanus in immunized patients with high anti-tetanus titers. Neurology 1992, 42, 761–764. [Google Scholar] [CrossRef] [PubMed]
- Hammarlund, E.; Thomas, A.; Poore, E.A.; Amanna, I.J.; Rynko, A.E.; Mori, M.; Chen, Z.; Slifka, M.K. Durability of Vaccine-Induced Immunity Against Tetanus and Diphtheria Toxins: A Cross-sectional Analysis. Clin. Infect. Dis. 2016, 62, 1111–1118. [Google Scholar] [CrossRef]
- Le, T.V.; Nguyen, V.T.T.; Nguyen, Q.H.; Nguyen, T.T.T.; Duong, T.T.N.; Ly, T.T.T.; Pham, T.N.; Nguyen, V.L.; Vien, C.C. The evaluation of anti-diphtheria toxoid antibodies in healthy population in Kon Tum, Vietnam: A population-based study. IJID Reg. 2022, 3, 171–176. [Google Scholar] [CrossRef] [PubMed]
- McComb, J.A. The Prophylactic Dose of Homologous Tetanus Antitoxin. N. Engl. J. Med. 1964, 270, 175–178. [Google Scholar] [CrossRef]
- Deming, M.S.; Roungou, J.B.; Kristiansen, M.; Heron, I.; Yango, A.; Guenengafo, A.; Ndamobissi, R. Tetanus toxoid coverage as an indicator of serological protection against neonatal tetanus. Bull. World Health Organ. 2002, 80, 696–703. [Google Scholar]
- Caglar, K.; Karakus, R.; Aybay, C. Determination of tetanus antibodies by a double-antigen enzyme-linked immunosorbent assay in individuals of various age groups. Eur. J. Clin. Microbiol. Infect. Dis. 2005, 24, 523–528. [Google Scholar] [CrossRef]
- Gössi, S.; Bacher, U.; Haslebacher, C.; Nagler, M.; Suter, F.; Staehelin, C.; Novak, U.; Pabst, T. Humoral Responses to Repetitive Doses of COVID-19 mRNA Vaccines in Patients with CAR-T-Cell Therapy. Cancers 2022, 14, 3527. [Google Scholar] [CrossRef]
- Wiedmeier-Nutor, J.E.; Iqbal, M.; Rosenthal, A.C.; Bezerra, E.D.; Garcia-Robledo, J.E.; Bansal, R.; Johnston, P.B.; Hathcock, M.; Larsen, J.T.; Bergsagel, P.L.; et al. Response to COVID-19 Vaccination Post-CAR T Therapy in Patients With Non-Hodgkin Lymphoma and Multiple Myeloma. Clin. Lymphoma Myeloma Leuk. 2023, 23, 456–462. [Google Scholar] [CrossRef] [PubMed]
- van Aalst, M.; Langedijk, A.C.; Spijker, R.; de Bree, G.J.; Grobusch, M.P.; Goorhuis, A. The effect of immunosuppressive agents on immunogenicity of pneumococcal vaccination: A systematic review and meta-analysis. Vaccine 2018, 36, 5832–5845. [Google Scholar] [CrossRef] [PubMed]
- Lee, D.; Jordan, A.I.; Menges, M.A.; Lazaryan, A.; Nishihori, T.; Gaballa, S.R.; Shah, B.D.; Pinilla-Ibarz, J.; Baluch, A.; Klinkova, O.V.; et al. Pneumococcal Conjugate Vaccine Does Not Induce Humoral Response When Administrated within the Six Months after CD19 CAR T-Cell Therapy. Transplant. Cell Ther. 2023, 29, 277.e1–277.e9. [Google Scholar] [CrossRef] [PubMed]
- Reynolds, G.; Hall, V.G.; Teh, B.W. Vaccine schedule recommendations and updates for patients with hematologic malignancy post-hematopoietic cell transplant or CAR T-cell therapy. Transpl. Infect. Dis. 2023, 25 (Suppl. S1), e14109. [Google Scholar] [CrossRef]
- Tamari, R.; Politikos, I.; Knorr, D.A.; Vardhana, S.A.; Young, J.C.; Marcello, L.T.; Doddi, S.; Devlin, S.M.; Ramanathan, L.V.; Pessin, M.S.; et al. Predictors of Humoral Response to SARS-CoV-2 Vaccination after Hematopoietic Cell Transplantation and CAR T-cell Therapy. Blood Cancer Discov. 2021, 2, 577–585. [Google Scholar] [CrossRef]
Disclaimer/Publisher’s Note: The statements, opinions and data contained in all publications are solely those of the individual author(s) and contributor(s) and not of MDPI and/or the editor(s). MDPI and/or the editor(s) disclaim responsibility for any injury to people or property resulting from any ideas, methods, instructions or products referred to in the content. |
© 2024 by the authors. Licensee MDPI, Basel, Switzerland. This article is an open access article distributed under the terms and conditions of the Creative Commons Attribution (CC BY) license (https://creativecommons.org/licenses/by/4.0/).




