Identification and Quantification of a Pneumococcal Cell Wall Polysaccharide by Antibody-Enhanced Chromatography Assay
Abstract
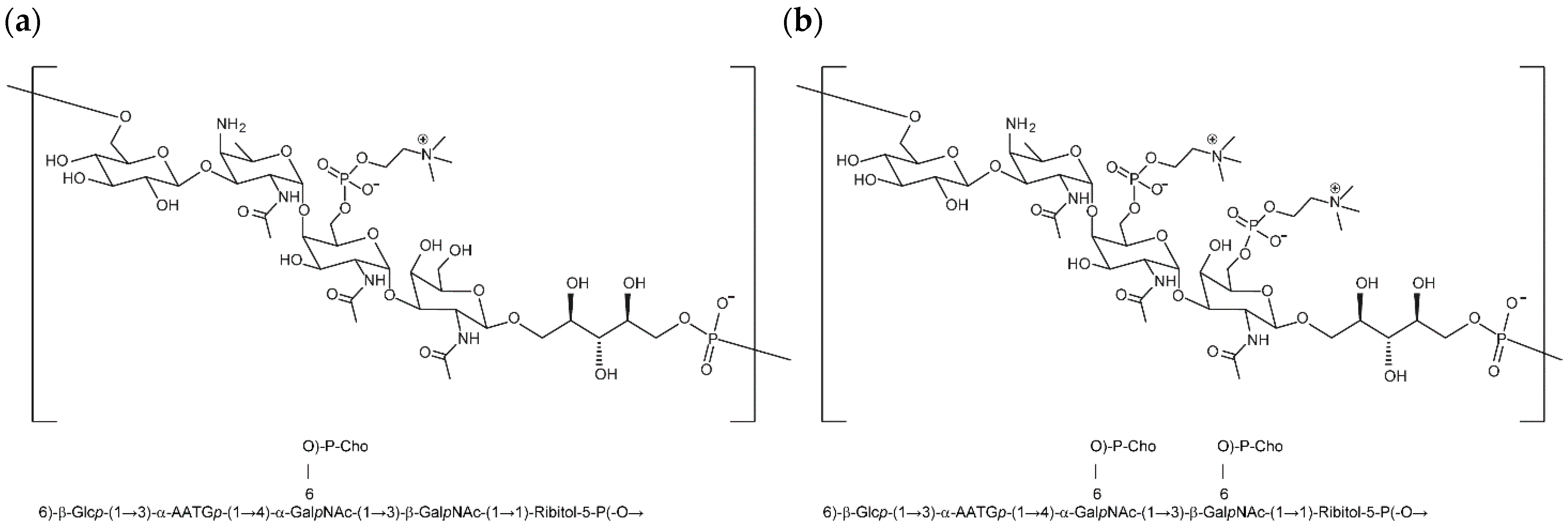
1. Introduction
2. Materials and Methods
2.1. Reagents and Materials
2.2. Antibody Isolation and Generation
2.3. Sandwich ELISA for Anti C-Ps mAb Binding to C-Ps-Containing Species
2.4. AE-HPLC Assay and Quantification of C-Ps2 in Pneumococcal Polysaccharides
2.4.1. AE-HPLC Chromatography Conditions
2.4.2. Preparation of C-Ps2 Standard Curves
2.4.3. Quantification of C-Ps2 Levels in Pneumococcal Polysaccharides
2.5. 1H and 31P NMR for C-Ps Standards
3. Results
3.1. Generation and Characterization of an Anti-C-Ps2 mAb
3.2. AE-HPLC Method Development and Linearity
3.3. Assay Precision and Accuracy
4. Conclusions and Discussion
Supplementary Materials
Author Contributions
Funding
Institutional Review Board Statement
Informed Consent Statement
Data Availability Statement
Acknowledgments
Conflicts of Interest
Abbreviations
| AE-HPLC | Antibody-enhanced HPLC assay |
| Ps | polysaccharides |
| C-Ps | cell wall polysaccharides |
| PnPs or CPS | pneumococcal capsular polysaccharides |
| ST | serotype |
| PCV | pneumococcal conjugate vaccine |
| PCV15 | 15-valent pneumococcal conjugate vaccine |
| IPD | invasive pneumococcal diseases |
| WHO | World Health Organization |
| PBMC | peripheral blood monocytes |
| SEC | Size-exclusion chromatography |
| NMR | Nuclear Magnetic Resonance spectroscopy |
| QC | quality control |
References
- Weiser, J.N.; Ferreira, D.M.; Paton, J.C. Streptococcus pneumoniae: Transmission, colonization and invasion. Nat. Rev. Microbiol. 2018, 16, 355–367. [Google Scholar] [CrossRef] [PubMed]
- Geno, K.A.; Gilbert, G.L.; Song, J.Y.; Skovsted, I.C.; Klugman, K.P.; Jones, C.; Nahm, M.H. Pneumococcal capsules and their types: Past, present, and future. Clin. Microbiol. Rev. 2015, 28, 871–899. [Google Scholar] [CrossRef] [PubMed]
- Micoli, F.; Romano, M.R.; Carboni, F.; Adamo, R.; Berti, F. Strengths and weaknesses of pneumococcal conjugate vaccines. Glycoconj. J. 2023, 40, 135–148. [Google Scholar] [CrossRef] [PubMed]
- Moffitt, K.; Malley, R. Rationale and prospects for novel pneumococcal vaccines. Hum. Vaccines Immunother. 2016, 12, 383–392. [Google Scholar] [CrossRef] [PubMed]
- Deng, J.Z.; Lancaster, C.; Winters, M.A.; Phillips, K.M.; Zhuang, P.; Ha, S. Multi-attribute characterization of pneumococcal conjugate vaccine by Size-exclusion chromatography coupled with UV-MALS-RI detections. Vaccine 2022, 40, 1464. [Google Scholar] [CrossRef] [PubMed]
- Greenberg, D.; Hoover, P.A.; Vesikari, T.; Peltier, C.; Hurley, D.C.; McFetridge, R.D.; Dallas, M.; Hartzel, J.; Marchese, R.D.; Coller, B.A.G.; et al. Safety and immunogenicity of 15-valent pneumococcal conjugate vaccine (PCV15) in healthy infants. Vaccine 2018, 36, 6883–6891. [Google Scholar] [CrossRef] [PubMed]
- Senders, S.; Klein, N.P.; Lamberth, E.; Thompson, A.; Drozd, J.; Trammel, J.; Peng, Y.; Giardina, P.C.; Jansen, K.U.; Gruber, W.C.; et al. Safety and Immunogenicity of a 20-valent Pneumococcal Conjugate Vaccine in Healthy Infants in the United States. J. Pediatr. Infect. Dis. 2021, 40, 944–951. [Google Scholar] [CrossRef] [PubMed]
- Vollmer, W.; Massidda, O.; Tomasz, A. The cell wall of Streptococcus pneumoniae. Microbiol. Spectr. 2019, 7, 1–25. [Google Scholar] [CrossRef] [PubMed]
- Schneewind, O.; Missiakas, D. Lipoteichoic acids, phosphate-containing polymers in the envelope of Gram-positive bacteria. J. Bacteriol. 2014, 196, 1133–1142. [Google Scholar] [CrossRef] [PubMed]
- Morona, J.K.; Morona, R.; Paton, J.C. Attachment of capsular polysaccharide to the cell wall of Streptococcus pneumoniae type 2 is required for invasive disease. Proc. Natl. Acad. Sci. USA 2006, 103, 8505–8510. [Google Scholar] [CrossRef] [PubMed]
- Larson, T.R.; Yother, J. Streptococcus pneumoniae capsular polysaccharide is linked to peptidoglycan via a direct glycosidic bond to β-D-N-acetylglucosamine. Proc. Natl. Acad. Sci. USA 2017, 114, 5695–5700. [Google Scholar] [CrossRef]
- Young, N.M.; Foote, S.J.; Wakarchuk, W.W. Review of phosphocholine substituents on bacterial pathogen glycans: Synthesis, structures and interactions with host proteins. Mol. Immunol. 2013, 56, 563–573. [Google Scholar] [CrossRef]
- Su, T.; Nakamoto, R.; Chun, Y.; Chua, W.Z.; Chen, J.H.; Zik, J.J.; Sham, L.T. Decoding capsule synthesis in Streptococcus pneumoniae. FEMS Microbiol. Rev. 2022, 46, fuaa067. [Google Scholar] [CrossRef] [PubMed]
- Vialle, S.; Sepulcri, P.; Dubayle, J.; Talaga, P. The teichoic acid (C-polysaccharide) synthesized by Streptococcus pneumoniae serotype 5 has a specific structure. Carbohydr. Res. 2005, 340, 91–96. [Google Scholar] [CrossRef] [PubMed]
- Karlsson, C.; Jansson, P.; Sorensen, U.B.S. The pneumococcal common antigen C-polysaccharide occurs in different forms: Mono-substituted or di-substituted with phosphocholine. Eur. J. Biochem. 1999, 265, 1091–1097. [Google Scholar] [CrossRef] [PubMed]
- Draing, C.; Pfitzenmaier, M.; Zummo, S.; Mancuso, G.; Geyer, A.; Hartung, T.; Von Aulock, S. Comparison of lipoteichoic acid from different serotypes of Streptococcus pneumoniae. J. Biol. Chem. 2006, 281, 33849. [Google Scholar] [CrossRef] [PubMed]
- Kulakowska, M.; Brisson, J.R.; Griffith, D.W.; Young, N.M.; Jennings, H.J. High-resolution NMR spectroscopic analysis of the C-polysaccharide of Streptococcus pneumoniae. Can. J. Chem. 1993, 71, 644. [Google Scholar] [CrossRef]
- Zartler, E.R.; Martin, G.E. The use of 1H-31P GHMBC and covariance NMR to unambiguously determine phosphate ester linkages in complex polysaccharide mixtures. J. Biomol. NMR 2011, 51, 357–367. [Google Scholar] [CrossRef]
- Jennings, H.J.; Lugowski, C.; Young, N.M. Structure of the complex polysaccharide C-substance from Streptococcus pneumoniae type 1. Biochemistry 1980, 19, 4712. [Google Scholar] [CrossRef]
- Fischer, W.; Behr, T.; Hartmann, R.; Peter-Katalinic, J.; Egge, H. Teichoic acid and lipoteichoic acid of Streptococcus pneumoniae possess identical chain structures. A reinvestigation of teichoic acid (C-polysaccharide). Eur. J. Biochem. 1993, 215, 851. [Google Scholar] [CrossRef]
- Schroder, N.W.; Morath, S.; Alexander, C.; Hamann, L.; Hartung, T.; Zähringer, U.; Göbel, U.B.; Weber, J.R.; Schumann, R.R. Lipoteichoic acid (LTA) of Streptococcus pneumoniae and Staphylococcus aureus activates immune cells via Toll-like receptor (TLR)-2, lipopolysaccharide-binding protein (LBP), and CD14, whereas TLR-4 and MD-2 are not involved. J. Biol. Chem. 2003, 278, 15587–15594. [Google Scholar] [CrossRef]
- Sundberg-Koevamees, M.; Grunewald, J.; Wahlstroem, J. Immune cell activation and cytokine release after stimulation of whole blood with pneumococcal C-polysaccharide and capsular polysaccharides. Int. J. Infect. Dis. 2016, 52, 1–8. [Google Scholar] [CrossRef]
- Granat, S.M.; Ollgren, J.; Herva, E.; Mia, Z.; Auranen, K.; Mäkelä, P.H. Epidemiological evidence for serotype-independent acquired immunity to pneumococcal carriage. J. Infect. Dis. 2009, 200, 99–106. [Google Scholar] [CrossRef] [PubMed]
- Lu, Y.; Skovsted, I.C.; Thompson, C.M.; Anderson, P.W.; Malley, R. Mechanisms in the serotype-independent pneumococcal immunity induced in mice by intranasal vaccination with the cell wall polysaccharide. Microb. Pathog. 2009, 47, 177–182. [Google Scholar] [CrossRef][Green Version]
- Skovsted, I.C.; Kerrn, M.B.; Sonne-Hansen, J.; Sauer, L.E.; Nielsen, A.K.; Konradsen, H.B.; Petersen, B.O.; Nyberg, N.T.; Duus, J.Ø. Purification and structure characterization of the active component in the pneumococcal 22F polysaccharide capsule used for adsorption in pneumococcal enzyme-linked immunosorbent assays. Vaccine 2007, 25, 6490–6500. [Google Scholar] [CrossRef]
- Recommendations to Assure the Quality, Safety and Efficacy of Pneumococcal Conjugate Vaccines; WHO Technical Report Series; Annex 3; TRS No 977; WHO: Geneva, Switzerland, 2009.
- Abeygunawardana, C.; Williams, T.C.; Sumner, J.S.; Hennessey, J.P., Jr. Development and Validation of an NMR-Based Identity Assay for Bacterial Polysaccharides. Anal. Biochem. 2000, 279, 226–240. [Google Scholar] [CrossRef]
- Xu, Q.; Abeygunawardana, C.; Ng, A.S.; Sturgess, A.W.; Harmon, B.J.; Hennessey, J.P. Characterization and quantification of C-polysaccharide in Streptococcus pneumoniae capsular polysaccharide preparations. Anal. Biochem. 2005, 342, 358. [Google Scholar] [CrossRef]
- Garrido, R.; Baro, B.; Soubal, J.P.; Santana, D. Quantitative assessment of C-polysaccharide in capsular polysaccharides of Streptococcus pneumoniae by 31P NMR. J. Pharm. Biomed. Anal. 2021, 192, 113670. [Google Scholar] [CrossRef]
- Deng, J.Z.; Kuster, N.; Drumheller, A.; Lin, M.; Ansbro, F.; Grozdanovic, M.; Samuel, R.; Zhuang, P. Antibody enhanced HPLC for serotype-specific quantitation of polysaccharides in pneumococcal conjugate vaccine. NPJ Vaccines 2023, 8, 2. [Google Scholar] [CrossRef]
- Chen, Z.; Cox, K.S.; Tang, A.; Roman, J.; Fink, M.; Kaufhold, R.M.; Guan, L.; Xie, A.; Boddicker, M.A.; Mcguinness, D.; et al. Human monoclonal antibodies isolated from a primary pneumococcal conjugate Vaccinee demonstrates the expansion of an antigen-driven Hypermutated memory B cell response. BMC Infect. Dis. 2018, 18, 613. [Google Scholar] [CrossRef] [PubMed]
- Cox, K.S.; Chen, Z.; Tang, A.; Fink, M.; Guan, L.; Roman, J.; Verch, T.; Retzlaff, M.; Vora, K.A. Efficient Isolation of Monoclonal Antibodies from Antigen-specific Human Plasmablasts and Memory B Cells from a Pneumococcal Conjugate Vaccine. J. Immunol. 2018, 200 (Suppl. S1), 180. [Google Scholar] [CrossRef]
- Cox, K.S.; Tang, A.; Chen, Z.; Horton, M.S.; Yan, H.; Wang, X.; Dubey, S.A.; DiStefano, D.J.; Ettenger, A.; Fong, R.H.; et al. Rapid isolation of dengue-neutralizing antibodies from single cell-sorted human antigen-specific memory B-cell cultures. mAbs 2016, 8, 129–140. [Google Scholar] [CrossRef]
- Deng, J.Z.; Jia, X.; Zong, C.; He, J.; Ha, S.; Zhuang, P. Characterization of pneumococcal serotype 7F in vaccine conjugation. Glycoconj. J. 2023, 40, 565–573. [Google Scholar] [CrossRef] [PubMed]
- Center for Drug Evaluation and Research (CDER) and Center for Veterinary Medicine (CVM). Food and Drug Administration Bioanalytical Method Validation: Guidance for Industry. 2018. Available online: https://www.fda.gov/files/drugs/published/Bioanalytical-Method-Validation-Guidance-for-Industry.pdf (accessed on 6 January 2024).
- International Conference on Harmonisation (ICH). Validation of Analytical Procedures: Text and Methodology Q2 (R1). 2005. Available online: https://www.ich.org/ (accessed on 10 April 2024).
- International Conference on Harmonisation (ICH). ICH Harmonised Guideline: Analytical Procedure Development Q14. 2023. Available online: https://www.ich.org/ (accessed on 10 April 2024).





| Standard | 1.53 μg/mL C-Ps2 Stock (µL) | 1.00 mg/mL mAb (µL) | Binding Buffer (µL) | Total Vol (µL) | [C-Ps2] (µg/mL) |
|---|---|---|---|---|---|
| STD-1 | 5 | 15 | 180 | 200 | 0.038 |
| STD-2 | 20 | 15 | 165 | 200 | 0.153 |
| STD-3 | 40 | 15 | 145 | 200 | 0.306 |
| STD-4 | 60 | 15 | 125 | 200 | 0.459 |
| STD-5 | 80 | 15 | 105 | 200 | 0.612 |
| PnPs Serotype (ST) | 100 µg/mL PnPs Stock (µL) | 1.00 mg/mL mAb (µL) | Binding Buffer (µL) | Total Vol (µL) | Dilution Factor |
|---|---|---|---|---|---|
| ST-4 | 5 | 15 | 180 | 200 | 40 |
| ST-6A | 20 | 15 | 165 | 200 | 10 |
| ST-9V | 100 | 15 | 85 | 200 | 2 |
| ST-12F | 10 | 15 | 175 | 200 | 20 |
| ST-19A | 20 | 15 | 165 | 200 | 10 |
| PnPs Serotype (ST)/Experimental | % C-Ps2 in Each PnPs | ||||
|---|---|---|---|---|---|
| ST-4 | ST-6A | ST-9V | ST-12F | ST-19A | |
| Exp-1 | 9.0 | 3.5 | 0.33 | 6.1 | 3.2 |
| Exp-2 | 8.9 | 3.4 | 0.34 | 6.1 | 3.2 |
| Exp-3 | 9.2 | 3.5 | 0.35 | 6.3 | 3.2 |
| Exp-4 | 9.1 | 3.1 | 0.34 | 5.7 | 3.9 |
| Exp-5 | 8.4 | 2.9 | 0.31 | 5.7 | 3.9 |
| Exp-6 | 8.9 | 3.0 | 0.32 | 5.7 | 4.0 |
| Average (%) | 8.9 | 3.2 | 0.33 | 5.9 | 3.6 |
| %RSD | 3.2 | 9.0 | 4.0 | 4.5 | 11 |
| Sample | Measured Spike [C-Ps2] (μg/mL) | Theoretical Spike [C-Ps2] (μg/mL) | % Recovery |
|---|---|---|---|
| Spike-1 | 0.159 | 0.153 | 104 |
| Spike-2 | 0.322 | 0.307 | 105 |
| Spike-3 | 0.572 | 0.536 | 107 |
Disclaimer/Publisher’s Note: The statements, opinions and data contained in all publications are solely those of the individual author(s) and contributor(s) and not of MDPI and/or the editor(s). MDPI and/or the editor(s) disclaim responsibility for any injury to people or property resulting from any ideas, methods, instructions or products referred to in the content. |
© 2024 by the authors. Licensee MDPI, Basel, Switzerland. This article is an open access article distributed under the terms and conditions of the Creative Commons Attribution (CC BY) license (https://creativecommons.org/licenses/by/4.0/).
Share and Cite
Deng, J.Z.; Chen, Z.; Small, J.; Yuan, Y.; Cox, K.; Tang, A.; Roman, J.; Guan, L.; Feller, K.; Ansbro, F.; et al. Identification and Quantification of a Pneumococcal Cell Wall Polysaccharide by Antibody-Enhanced Chromatography Assay. Vaccines 2024, 12, 469. https://doi.org/10.3390/vaccines12050469
Deng JZ, Chen Z, Small J, Yuan Y, Cox K, Tang A, Roman J, Guan L, Feller K, Ansbro F, et al. Identification and Quantification of a Pneumococcal Cell Wall Polysaccharide by Antibody-Enhanced Chromatography Assay. Vaccines. 2024; 12(5):469. https://doi.org/10.3390/vaccines12050469
Chicago/Turabian StyleDeng, James Z., Zhifeng Chen, James Small, Yue Yuan, Kara Cox, Aimin Tang, Jeanette Roman, Liming Guan, Katrina Feller, Frances Ansbro, and et al. 2024. "Identification and Quantification of a Pneumococcal Cell Wall Polysaccharide by Antibody-Enhanced Chromatography Assay" Vaccines 12, no. 5: 469. https://doi.org/10.3390/vaccines12050469
APA StyleDeng, J. Z., Chen, Z., Small, J., Yuan, Y., Cox, K., Tang, A., Roman, J., Guan, L., Feller, K., Ansbro, F., & Vora, K. (2024). Identification and Quantification of a Pneumococcal Cell Wall Polysaccharide by Antibody-Enhanced Chromatography Assay. Vaccines, 12(5), 469. https://doi.org/10.3390/vaccines12050469

