Diphtheria and Tetanus Immunity Status among Greek Adults: Results from a Nationwide Seroprevalence Study
Abstract
1. Introduction
2. Materials and Methods
2.1. Sampling Method
2.2. Laboratory Examination
2.3. Statistical Analysis
3. Results
3.1. Univariate Analysis
3.2. Logistic Regression Analysis of Diphtheria- and Tetanus-Related Seropositivity
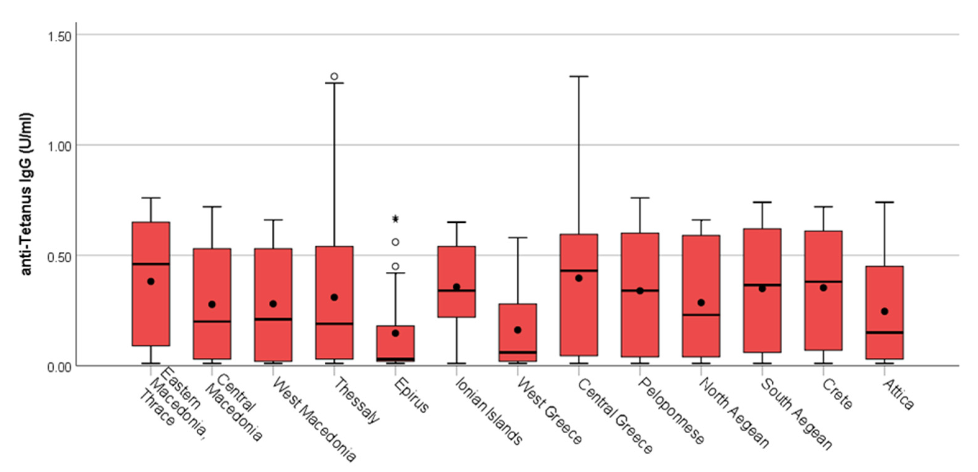
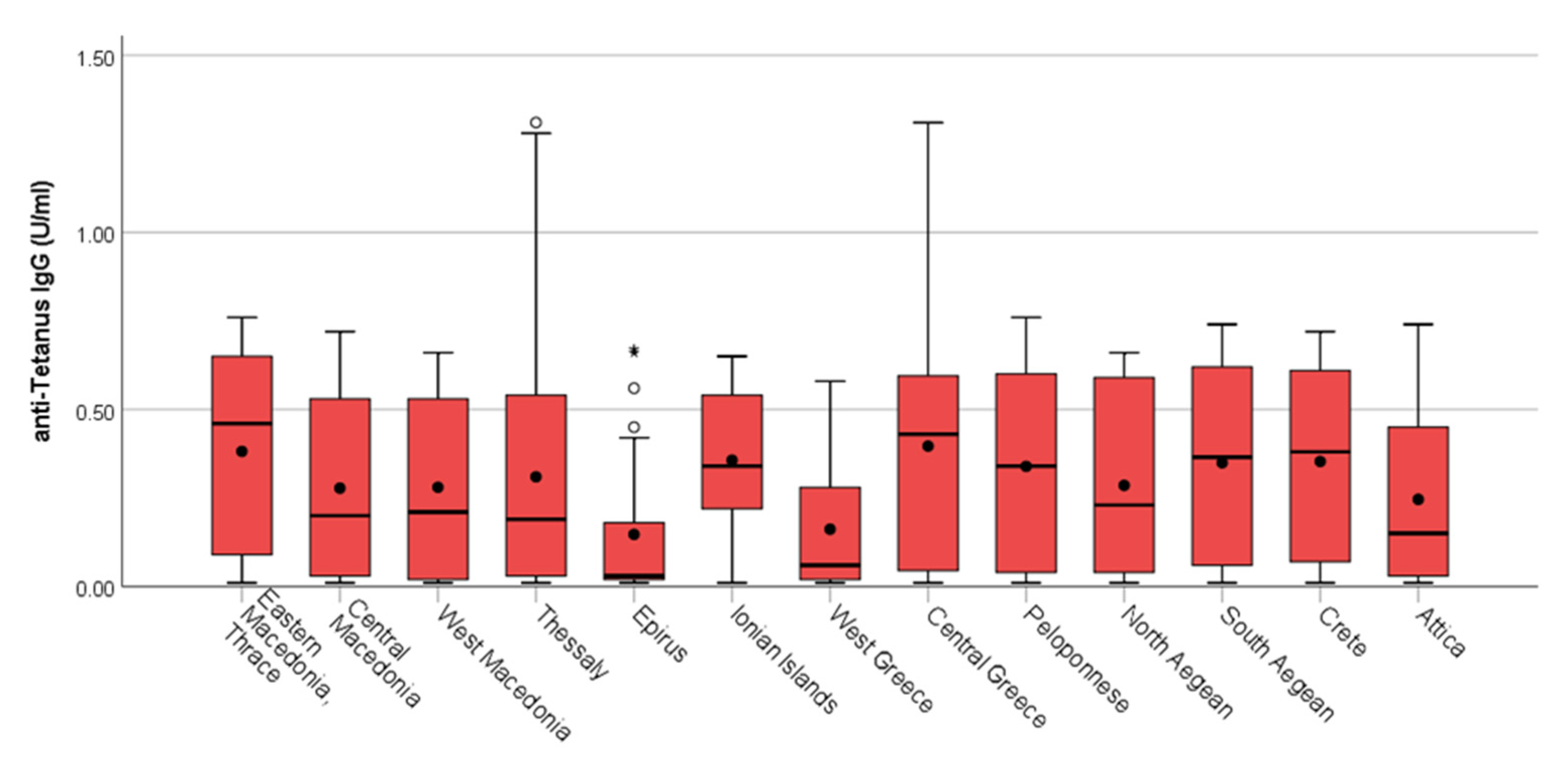
3.3. Seropositivity of Antibodies Specific to Tetanus Toxoid
4. Discussion
5. Conclusions
Author Contributions
Funding
Institutional Review Board Statement
Informed Consent Statement
Data Availability Statement
Acknowledgments
Conflicts of Interest
References
- Centers for Disease Control and Prevention (CDC). The Pink Book: Diphtheria. Atlanta: CDC. 2021. Available online: https://www.cdc.gov/vaccines/pubs/pinkbook/dip.html (accessed on 18 November 2023).
- Clarke, K.E.; MacNeil, A.; Hadler, S.; Scott, C.; Tiwari, T.S.; Cherian, T. Global Epidemiology of Diphtheria, 2000–2017. Emerg. Infect. Dis. 2019, 25, 1834–1842. [Google Scholar] [CrossRef]
- ECDC. Epidemiological Update: Diphtheria Cases in Europe. Available online: https://www.ecdc.europa.eu/en/news-events/epidemiological-update-diphtheria-cases-europe (accessed on 8 March 2024).
- WHO. Global Health Observatory Data Repository. Diphtheria Reported Cases by Country. Available online: https://apps.who.int/gho/data/view.main.1540_41?lang=en (accessed on 3 November 2023).
- Georgakopoulou, T.; Tryfinopoulou, K.; Doudoulakakis, A.; Nikolaou, F.; Magaziotou, I.; Flountzi, A.; Fry, N.K.; Litt, D.J.; Damala, M.; Spiliopoulou, I.; et al. A patient with respiratory toxigenic diphtheria in Greece after more than 30 years. Epidemiol. Infect. 2020, 148, e274. [Google Scholar] [CrossRef]
- Roper, M.H.; Vandelaer, J.H.; Gasse, F.L. Maternal and neonatal tetanus. Lancet 2007, 370, 1947–1959. [Google Scholar] [CrossRef]
- World Health Organization. Tetanus Vaccines: WHO position Paper—February 2017. Wkly. Epidemiol. Rec. 2017, 92, 53–76. Available online: http://apps.who.int/iris/bitstream/10665/254582/1/WER9206.pdf (accessed on 18 November 2023).
- ECDC. Tetanus. Annual Epidemiological Report for 2018. Available online: https://www.ecdc.europa.eu/sites/default/files/documents/Tetanus_AER_2018_Report.pdf (accessed on 18 November 2023).
- Greek National Public Health Organization. Epidemiological Data for Tetanus in Greece, 2004–2021. Available online: https://eody.gov.gr/wp-content/uploads/2019/01/tetanus-2004-2021-eng.pdf (accessed on 29 November 2023).
- Roper, M.H.; Wassilak, S.G.F.K.; Scobie, M.H.; Ridpath, A.D.; Orenstein, W.A. In Chapter 58. Tetanus toxoid. In Vaccines, 7th ed.; Plotkin, S.A., Orenstein, W.A., Offit, P.A., Edwards, K.M., Eds.; Saunders/Elsevier: Philadelphia, PA, USA, 2018; pp. 1052–1079. [Google Scholar]
- Singh, A.; Pallikadavath, S.; Ogollah, R.; Stones, W. Maternal tetanus toxoid vaccination and neonatal mortality in rural north India. PLoS ONE 2012, 7, e48891. [Google Scholar] [CrossRef] [PubMed]
- Kyu, H.H.; Shannon, H.S.; Georgiades, K.; Boyle, M.H. Association of Urban Slum Residency with Infant Mortality and Child Stunting in Low and Middle Income Countries. BioMed Res. Int. 2013, 2013, 12. [Google Scholar] [CrossRef]
- Woldeamanuel, Y.W.; Andemeskel, A.T.; Kyei, K.; Woldeamanuel, M.W.; Woldeamanuel, W. Case fatality of adult tetanus in Africa: Systematic review and meta-analysis. J. Neurol. Sci. 2016, 368, 292–299. [Google Scholar] [CrossRef]
- Papagiannis, D.; Rachiotis, G.; Mariolis, A.; Zafiriou, E.; Gourgoulianis, K.I. Vaccination Coverage of the Elderly in Greece: A Cross-Sectional Nationwide Study. Can. J. Infect. Dis. Med. Microbiol. 2020, 2020, 5459793. [Google Scholar] [CrossRef] [PubMed]
- Maltezou, H.C.; Lourida, A.; Katragkou, A.; Grivea, I.N.; Katerelos, P.; Wicker, S.; Syrogiannopoulos, G.A.; Roilides, E.; Theodoridou, M. Attitudes regarding occupational vaccines and vaccination coverage against vaccine-preventable diseases among healthcare workers working in pediatric departments in Greece. Pediatr. Infect. Dis. J. 2012, 31, 623–625. [Google Scholar] [CrossRef] [PubMed]
- Berbers, G.; van Gageldonk, P.; van de Kassteele, J.; Wiedermann, U.; Desombere, I.; Dalby, T.; Toubiana, J.; Tsiodras, S.; Ferencz, I.P.; Mullan, K.; et al. Circulation of pertussis and poor protection against diphtheria among middle-aged adults in 18 European countries. Nat. Commun. 2021, 12, 2871. [Google Scholar] [CrossRef]
- WHO. Diphtheria Tetanus Toxoid and Pertussis (DTP) Vaccination Coverage). Available online: https://immunizationdata.who.int/pages/coverage/dtp.html?CODE=GRC&ANTIGEN=&YEAR (accessed on 7 March 2024).
- Greek Government. Child and Adult Immunization. Available online: https://www.gov.gr/en/sdg/healthcare/public-preventive-healthcare-measures/general/child-and-adult-immunisation (accessed on 7 March 2024).
- Papagiannis, D.; Thireos, E.; Mariolis, A.; Katsioulis, A.; Gartzonika, K.; Malliaraki, N.; Agnantis, C.; Tsaras, K.; Malli, F.; Rouka, E.C.; et al. Pertussis Prevalence in Adult Population in Greece: A Seroprevalence Nationwide Study. Vaccines 2022, 10, 1511. [Google Scholar] [CrossRef] [PubMed]
- Macfarlane, S.B. Conducting a Descriptive Survey: Choosing a Sampling Strategy. Trop. Dr. 1997, 27, 14–21. [Google Scholar] [CrossRef]
- World Medical Association. World Medical Association Declaration of Helsinki: Ethical principles for medical research involving human subjects. JAMA 2013, 310, 2191–2194. [Google Scholar] [CrossRef]
- Kristiansen, M.; Aggerbeck, H.; Heron, I. Improved ELISA for determination of anti-diphtheria and/or anti-tetanus antitoxin antibodies in sera. APMIS 1997, 105, 843–853. [Google Scholar] [CrossRef]
- Von Hunolstein, C.; Aggerbeck, H.; Andrews, N.; Berbers, G.; Fievet-Groyne, F.; Maple, P.A.; Ölander, R.M.; Raux, M.; Tischer, A. European sero-epidemiology network: Standardization of the results of diphtheria antitoxin assays. Vaccine 2000, 18, 3287–3296. [Google Scholar] [CrossRef] [PubMed]
- Zhang, C.; Hu, W.; Ma, Y.; Li, L.; Si, Y.; Zhang, S. Seroepidemiology of Tetanus among Healthy People Aged 1–59 Years Old in Shaanxi Province, China. Vaccines 2022, 10, 1806. [Google Scholar] [CrossRef]
- World Health Organization. The Immunological Basis for Immunization Series. Module 2: Diphtheria, Update 2009. Geneva, Switzerland. 2009. Available online: https://iris.who.int/bitstream/handle/10665/44094/9789241597869_eng.pdf?sequence=1 (accessed on 29 January 2024).
- Vitek, C.R.; Wharton, M. Chapter 10. Diphteria toxoid. In Vaccines, 5th ed.; Plotkin, S.A., Orenstein, W.A., Offit, P.A., Eds.; Saunders/Elsevier: Philadelphia, PA, USA, 2008; pp. 139–156. [Google Scholar]
- Rapisarda, V.; Bracci, M.; Nunnari, G.; Ferrante, M.; Ledda, C. Tetanus immunity in construction workers in Italy. Occup. Med. 2014, 64, 217–219. [Google Scholar] [CrossRef] [PubMed][Green Version]
- Amanna, I.J.; Carlson, N.E.; Slifka, M.K. Duration of humoral immunity to common viral and vaccine antigens. N. Engl. J. Med. 2007, 357, 1903–1915. [Google Scholar] [CrossRef]
- Steger, M.M.; Maczek, C.; Berger, P.; Grubeck-Loebenstein, B. Vaccination against tetanus in the elderly: Do recommended vaccination strategies give sufficient protection. Lancet 1996, 348, 762. [Google Scholar] [CrossRef]
- Van Damme, P.; Burgess, M. Immunogenicity of a combined diphtheria-tetanus-acellular pertussis vaccine in adults. Vaccine 2004, 22, 305–308. [Google Scholar] [CrossRef]
- Weinberger, B.; Schirmer, M.; Matteucci Gothe, R.; Siebert, U.; Fuchs, D.; Grubeck-Loebenstein, B. Recall responses to tetanus and diphtheria vaccination are frequently insufficient in elderly persons. PLoS ONE 2013, 8, e82967. [Google Scholar] [CrossRef]
- Weinberger, B.; Keller, M.; Putzer, C.; Breitenberger, D.; Koller, B.; Fiegl, S.; Moreno-Villanueva, M.; Bernhardt, J.; Franceschi, C.; Voutetakis, K.; et al. Protection against Tetanus and Diphtheria in Europe: The impact of age, gender and country of origin based on data from the MARK-AGE Study. Exp. Gerontol. 2018, 105, 109–112. [Google Scholar] [CrossRef] [PubMed]
- Petráš, M.; Oleár, V.; Molitorisová, M.; Dáňová, J.; Čelko, A.M.; Nováková, E. Factors Influencing Persistence of Diphtheria Immunity and Immune Response to a Booster Dose in Healthy Slovak Adults. Vaccines 2019, 7, 139. [Google Scholar] [CrossRef]
- Ohuabunwo, C.; Perevoscikovs, J.; Griskevica, A.; Gargiullo, P.; Brilla, A.; Viksna, L.; Glismann, S.; Wharton, M.; Vitek, C. Respiratory diphtheria among highly vaccinated military trainees in Latvia: Improved protection from DT compared with Td booster vaccination. Scand. J. Infect. Dis. 2005, 37, 813–820. [Google Scholar] [CrossRef]
- Le, T.V.; Nguyen, V.T.T.; Nguyen, Q.H.; Nguyen, T.T.T.; Duong, T.T.N.; Ly, T.T.T.; Pham, T.N.; Nguyen, V.L.; Vien, C.C. The evaluation of anti-diphtheria toxoid antibodies in healthy population in Kon Tum, Vietnam: A population-based study. IJID Reg. 2022, 3, 171–176. [Google Scholar] [CrossRef]
- Galazka, A.M.; Robertson, S.E.; Oblapenko, G.P. Resurgence of diphtheria. Eur. J. Epidemiol. 1995, 11, 95–105. [Google Scholar] [CrossRef]
- Galazka, A. Implications of the diphtheria epidemic in the former Soviet Union for immunization programs. J. Infect. Dis. 2000, 181 (Suppl. S1), S244–S248. [Google Scholar] [CrossRef] [PubMed]
- WHO. Diphtheria KEY FACTS 2023. Available online: https://www.who.int/news-room/fact-sheets/detail/diphtheria (accessed on 14 February 2024).
- Schatz, D.; Ellis, T.; Ottendorfer, E.; Jodoin, E.; Barrett, D.; Atkinson, M. Aging and the immune response to tetanus toxoid: Diminished frequency and level of cellular immune reactivity to antigenic stimulation. Clin. Diagn. Lab. Immunol. 1998, 5, 894–896. [Google Scholar] [CrossRef] [PubMed]
- CDC. Recommended Adult Immunization Schedule for Ages 19 Years or Older. 2024. Available online: https://www.cdc.gov/vaccines/schedules/downloads/adult/adult-combined-schedule.pdf (accessed on 14 February 2024).
- Furman, D.; Hejblum, B.P.; Simon, N.; Jojic, V.; Dekker, C.L.; Thiebaut, R.; Tibshirani, R.J.; Davis, M.M. Systems analysis of sex differences reveals an immunosuppressive role for testosterone in the response to influenza vaccination. Proc. Natl. Acad. Sci. USA 2014, 111, 869–874. [Google Scholar] [CrossRef]
- Affanni, P.; Colucci, M.E.; Capobianco, E.; Bracchi, M.T.; Zoni, R.; Viani, I.; Caruso, L.; Carlone, L.; Arcuri, C.; Veronesi, L. Immunity status against tetanus in young migrants: A seroprevalence study. Acta Biomed. 2020, 91, 77–84. [Google Scholar] [CrossRef]







| Variable | N | % |
|---|---|---|
| Sex | ||
| Male | 573 | 47.7% |
| Female | 628 | 52.3% |
| Total | 1201 | 100% |
| Age Group | ||
| <40 | 222 | 18.50% |
| 40–49 | 226 | 18.80% |
| 50–59 | 214 | 17.80% |
| 60–69 | 209 | 17.40% |
| 70–79 | 191 | 15.90% |
| 80+ | 139 | 11.60% |
| Diphtheria IgG (U/mL) (Two Groups) | Tetanus IgG (U/mL) (Two Groups) | ||||||||||||
|---|---|---|---|---|---|---|---|---|---|---|---|---|---|
| Count 0.10+ | % | Count <0.10 | % | Total | p-Value * | Count 0.10+ | % | Count 0.01–0.09 | % | Total | p-Value * | ||
| Sex | Male | 201 | 35.1% | 372 | 64.9% | 573 | 0.010 | 357 | 62.3% | 216 | 37.7% | 573 | 0.062 |
| Female | 177 | 28.2% | 451 | 71.8% | 628 | 358 | 57.0% | 270 | 43.0% | 628 | |||
| Age | <40 | 87 | 41.6% | 122 | 58.4% | 209 | 149 | 71.3% | 60 | 28.7% | 209 | <0.001 ** | |
| 40–49 | 84 | 35.3% | 154 | 64.7% | 238 | 0.023 ** | 172 | 72.3% | 66 | 27.7% | 238 | ||
| 50–59 | 54 | 25.2% | 160 | 74.8% | 214 | 127 | 59.3% | 87 | 40.7% | 214 | |||
| 60–69 | 44 | 21.1% | 165 | 78.9% | 209 | 108 | 51.7% | 101 | 48.3% | 209 | |||
| 70–79 | 59 | 30.9% | 132 | 69.1% | 191 | 92 | 48.2% | 99 | 51.8% | 191 | |||
| 80+ | 49 | 35.3% | 90 | 64.7% | 139 | 66 | 47.5% | 73 | 52.5% | 139 | |||
| Region | Eastern Macedonia, Thrace | 24 | 36.9% | 41 | 63.1% | 65 | 0.180 | 47 | 72.3% | 18 | 27.7% | 65 | 0.001 |
| Central Macedonia | 49 | 25.0% | 147 | 75.0% | 196 | 122 | 62.2% | 74 | 37.8% | 196 | |||
| West Macedonia | 11 | 36.7% | 19 | 63.3% | 30 | 20 | 66.7% | 10 | 33.3% | 30 | |||
| Thessaly | 30 | 37.0% | 51 | 63.0% | 81 | 46 | 56.8% | 35 | 43.2% | 81 | |||
| Epirus | 12 | 32.4% | 25 | 67.6% | 37 | 15 | 40.5% | 22 | 59.5% | 37 | |||
| Ionian Islands | 8 | 38.1% | 13 | 61.9% | 21 | 16 | 76.2% | 5 | 23.8% | 21 | |||
| West Greece | 11 | 16.4% | 56 | 83.6% | 67 | 26 | 38.8% | 41 | 61.2% | 67 | |||
| Central Greece | 23 | 39.0% | 36 | 61.0% | 59 | 38 | 64.4% | 21 | 35.6% | 59 | |||
| Peloponnese | 22 | 36.1% | 39 | 63.9% | 61 | 41 | 67.2% | 20 | 32.8% | 61 | |||
| Attica | 152 | 32.6% | 314 | 67.4% | 466 | 267 | 57.3% | 199 | 42.7% | 466 | |||
| North Aegean | 6 | 28.6% | 15 | 71.4% | 21 | 11 | 52.4% | 10 | 47.6% | 21 | |||
| South Aegean | 10 | 31.3% | 22 | 68.8% | 32 | 21 | 65.6% | 11 | 34.4% | 32 | |||
| Crete | 20 | 30.8% | 45 | 69.2% | 65 | 45 | 69.2% | 20 | 30.8% | 65 | |||
| Factors | Odds Ratio | 95% CI | p-Value |
|---|---|---|---|
| Sex Male | 1.39 | 1.09–1.79 | 0.009 |
| Female | ref. | ||
| Age group <40 | 1.42 | 0.90–2.24 | 0.135 |
| 40–49 | 1.06 | 0.68–1.65 | 0.802 |
| 50–59 | 0.63 | 0.40–1.02 | 0.059 |
| 60–69 | 0.49 | 0.30–0.80 | 0.005 |
| 70–79 | 0.83 | 0.52–1.33 | 0.447 |
| 80+ | ref. | ||
| Region Eastern Macedonia, Thrace | 1.12 | 0.64–1.94 | 0.695 |
| Central Macedonia | 0.61 | 0.42–0.91 | 0.014 |
| West Macedonia | 1.10 | 0.50–2.40 | 0.815 |
| Thessaly | 1.15 | 0.70–1.89 | 0.585 |
| Epirus | 0.91 | 0.44–1.88 | 0.791 |
| Ionian Islands | 1.17 | 0.47–2.92 | 0.744 |
| West Greece | 0.35 | 0.18–0.70 | 0.003 |
| Central Greece | 1.22 | 0.69–2.16 | 0.490 |
| Peloponnese | 1.04 | 0.59–1.84 | 0.890 |
| North Aegean | 0.78 | 0.29–2.09 | 0.625 |
| South Aegean | 0.84 | 0.38–1.85 | 0.664 |
| Crete | 0.82 | 0.46–1.46 | 0.506 |
| Attica | ref. |
| Factors | Odds Ratio | 95% CI | p-Value |
|---|---|---|---|
| Sex | 1.26 | 0.99–1.60 | 0.058 |
| Male | |||
| Female | ref. | ||
| Age group | 2.73 | 1.72–4.33 | <0.001 |
| <40 | |||
| 40–49 | 2.90 | 1.86–4.54 | <0.001 |
| 50–59 | 1.56 | 1.01–2.43 | 0.045 |
| 60–69 | 1.16 | 0.75–1.79 | 0.509 |
| 70–79 | 0.99 | 0.63–1.54 | 0.963 |
| 80+ | ref. | ||
| Region | 1.72 | 0.95–3.09 | 0.071 |
| Eastern Macedonia, Thrace | |||
| Central Macedonia | 1.04 | 0.73–1.49 | 0.811 |
| West Macedonia | 1.29 | 0.58–2.87 | 0.535 |
| Thessaly | 0.89 | 0.55–1.46 | 0.654 |
| Epirus | 0.43 | 0.21–0.87 | 0.019 |
| Ionian Islands | 2.13 | 0.75–6.03 | 0.154 |
| West Greece | 0.38 | 0.22–0.66 | 0.001 |
| Central Greece | 1.19 | 0.66–2.12 | 0.563 |
| Peloponnese | 1.35 | 0.76–2.42 | 0.307 |
| North Aegean | 0.73 | 0.30–1.79 | 0.488 |
| South Aegean | 1.19 | 0.55–2.57 | 0.666 |
| Crete | 1.42 | 0.80–2.52 | 0.227 |
| Attica | ref. |
Disclaimer/Publisher’s Note: The statements, opinions and data contained in all publications are solely those of the individual author(s) and contributor(s) and not of MDPI and/or the editor(s). MDPI and/or the editor(s) disclaim responsibility for any injury to people or property resulting from any ideas, methods, instructions or products referred to in the content. |
© 2024 by the authors. Licensee MDPI, Basel, Switzerland. This article is an open access article distributed under the terms and conditions of the Creative Commons Attribution (CC BY) license (https://creativecommons.org/licenses/by/4.0/).
Share and Cite
Papagiannis, D.; Thireos, E.; Mariolis, A.; Katsioulis, A.; Lampropoulos, I.C.; Tsiaousi, I.; Gartzonika, K.; Malliaraki, N.; Malli, F.; Rouka, E.C.; et al. Diphtheria and Tetanus Immunity Status among Greek Adults: Results from a Nationwide Seroprevalence Study. Vaccines 2024, 12, 378. https://doi.org/10.3390/vaccines12040378
Papagiannis D, Thireos E, Mariolis A, Katsioulis A, Lampropoulos IC, Tsiaousi I, Gartzonika K, Malliaraki N, Malli F, Rouka EC, et al. Diphtheria and Tetanus Immunity Status among Greek Adults: Results from a Nationwide Seroprevalence Study. Vaccines. 2024; 12(4):378. https://doi.org/10.3390/vaccines12040378
Chicago/Turabian StylePapagiannis, Dimitrios, Eleftherios Thireos, Anargiros Mariolis, Antonios Katsioulis, Ioannis Ch. Lampropoulos, Ioanna Tsiaousi, Kostantina Gartzonika, Niki Malliaraki, Foteini Malli, Erasmia C. Rouka, and et al. 2024. "Diphtheria and Tetanus Immunity Status among Greek Adults: Results from a Nationwide Seroprevalence Study" Vaccines 12, no. 4: 378. https://doi.org/10.3390/vaccines12040378
APA StylePapagiannis, D., Thireos, E., Mariolis, A., Katsioulis, A., Lampropoulos, I. C., Tsiaousi, I., Gartzonika, K., Malliaraki, N., Malli, F., Rouka, E. C., Marinos, G., Symvoulakis, E. K., Rachiotis, G., & Gourgoulianis, K. I. (2024). Diphtheria and Tetanus Immunity Status among Greek Adults: Results from a Nationwide Seroprevalence Study. Vaccines, 12(4), 378. https://doi.org/10.3390/vaccines12040378

