Humoral Immune Responses following COVID-19 Vaccinations among Adults in Tanzania
Abstract
:1. Introduction
2. Materials and Methods
2.1. Study Design and Study Population
2.2. Data Collection
2.3. Laboratory Procedures
2.4. Data Management and Analysis
3. Results
3.1. Baseline Characteristics (Data Collected on the Enrollment at the First Visit)
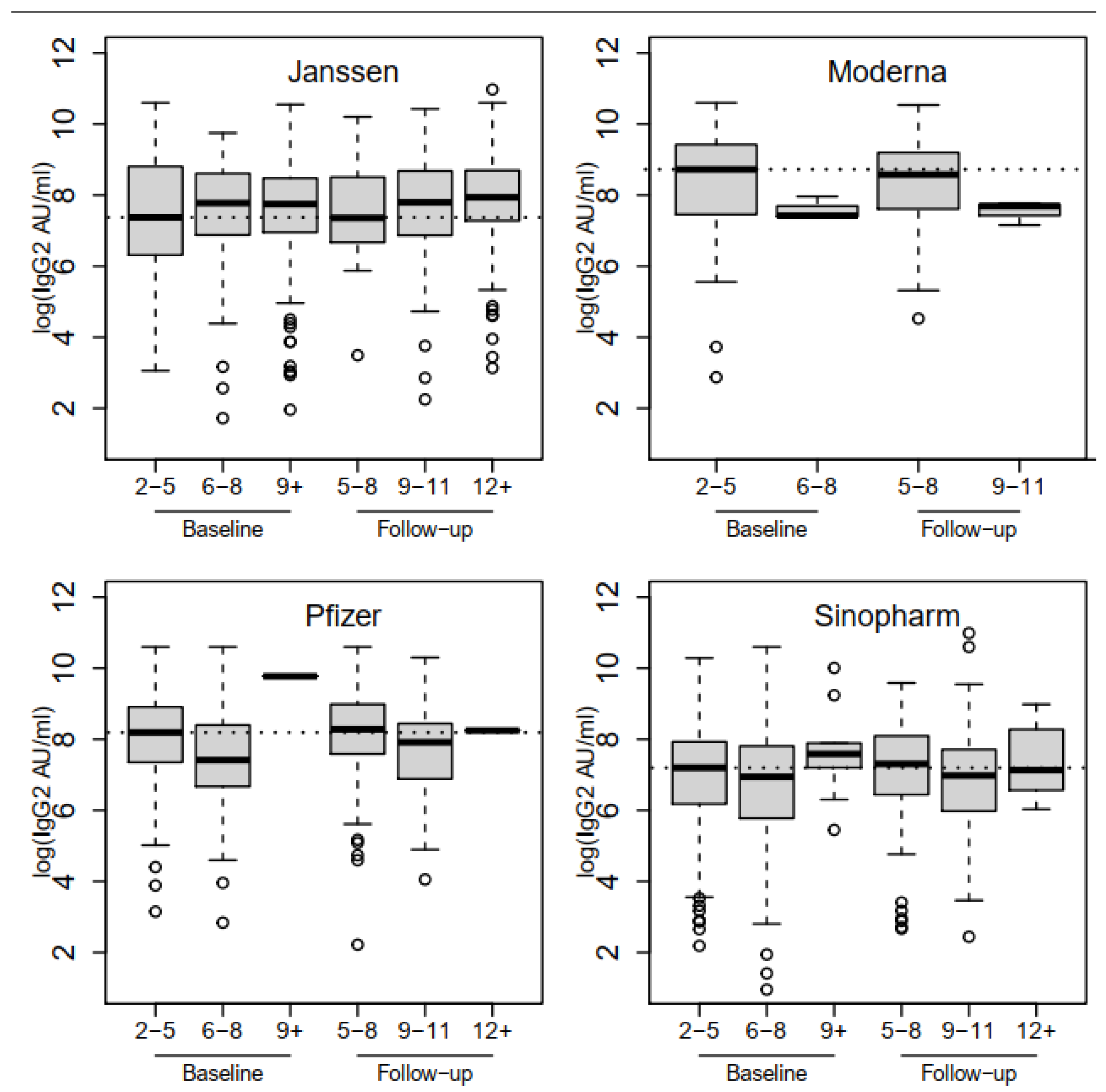
3.2. Anti-SARS-CoV-2 Spike Protein IgG Antibodies following Vaccination
3.3. SARS-CoV-2 IgM Seropositivity against the Spike Protein
3.4. Anti-SARS-CoV-2 IgG Responses to Nucleocapsid Proteins
3.5. Factors Associated with IgG Antibodies to Spike Protein following Vaccination
3.6. Anti-SARS-CoV-2 (IgG II) to Spike Protein Levels in COVID-19 Vaccine Recipients at Enrollment
4. Discussion
5. Conclusions
Supplementary Materials
Author Contributions
Funding
Institutional Review Board Statement
Informed Consent Statement
Data Availability Statement
Acknowledgments
Conflicts of Interest
References
- WHO. WHO COVID-19 Dashboard 2020. Available online: https://covid19.who.int/ (accessed on 27 October 2021).
- Ministry of Health CD, Gender, Elderly and Children, Tanzania. Anecdotal Report on Weekly COVID 19 Situation Report (SitRep). 2022. Report No 46. Available online: https://www.moh.go.tz/storage/app/uploads/public/62e/a3e/825/62ea3e825bc29249894609.pdf (accessed on 8 August 2023).
- Chavda, V.P.; Vuppu, S.; Mishra, T.; Kamaraj, S.; Patel, A.B.; Sharma, N.; Chen, Z.-S. Recent review of COVID-19 management: Diagnosis, treatment and vaccination. Pharmacol. Rep. 2022, 74, 1120–1148. [Google Scholar] [CrossRef] [PubMed]
- Keehner, J.; Horton, L.E.; Pfeffer, M.A.; Longhurst, C.A.; Schooley, R.T.; Currier, J.S.; Abeles, S.R.; Torriani, F.J. SARS-CoV-2 infection after vaccination in health care workers in California. N. Engl. J. Med. 2021, 384, 1774–1775. [Google Scholar] [CrossRef] [PubMed]
- Levine-Tiefenbrun, M.; Yelin, I.; Katz, R.; Herzel, E.; Golan, Z.; Schreiber, L.; Wolf, T.; Nadler, V.; Ben-Tov, A.; Kuint, J.; et al. Initial report of decreased SARS-CoV-2 viral load after inoculation with the BNT162b2 vaccine. Nat. Med. 2021, 27, 790–792. [Google Scholar] [CrossRef] [PubMed]
- WHO. Status of COVID-19 Vaccines within WHO EUL/PQ Evaluation Process 2023. Available online: https://extranet.who.int/pqweb/sites/default/files/documents/Status_COVID_VAX_08AUgust2023.pdf (accessed on 8 August 2023).
- Polack, F.P.; Thomas, S.J.; Kitchin, N.; Absalon, J.; Gurtman, A.; Lockhart, S.; Perez, J.; Marc, G.P.; Moreira, D.; Zerbini, C.; et al. Safety and efficacy of the BNT162b2 mRNA COVID-19 vaccine. N. Engl. J. Med. 2020, 387, 2603–2615. [Google Scholar] [CrossRef] [PubMed]
- Sadoff, J.; Gray, G.; Vandebosch, A.; Cárdenas, V.; Shukarev, G.; Grinsztejn, B.; Goepfert, P.A.; Truyers, C.; Fennema, H.; Spiessens, B.; et al. Safety and efficacy of single-dose Ad26. COV2. S vaccine against COVID-19. N. Engl. J. Med. 2021, 384, 2187–2201. [Google Scholar] [CrossRef] [PubMed]
- Al Kaabi, N.; Zhang, Y.; Xia, S.; Yang, Y.; Al Qahtani, M.M.; Abdulrazzaq, N.; Al Nusair, M.; Hassany, M.; Jawad, J.S.; Abdalla, J.; et al. Effect of 2 inactivated SARS-CoV-2 vaccines on symptomatic COVID-19 infection in adults: A randomized clinical trial. JAMA 2021, 326, 35–45. [Google Scholar] [CrossRef]
- Baden, L.R.; El Sahly, H.M.; Essink, B.; Kotloff, K.; Frey, S.; Novak, R.; Diemert, D.; Spector, S.A.; Rouphael, N.; Creech, C.B.; et al. Efficacy and safety of the mRNA-1273 SARS-CoV-2 vaccine. N. Engl. J. Med. 2020, 384, 403–416. [Google Scholar] [CrossRef]
- Barouch, D.H. COVID-19 vaccines—Immunity, variants, boosters. N. Engl. J. Med. 2022, 387, 1011–1020. [Google Scholar] [CrossRef]
- Barouch, D.H.; Stephenson, K.E.; Sadoff, J.; Yu, J.; Chang, A.; Gebre, M.; McMahan, K.; Liu, J.; Chandrashekar, A.; Patel, S.; et al. Durable humoral and cellular immune responses 8 months after Ad26. COV2. S vaccination. N. Engl. J. Med. 2021, 385, 951–953. [Google Scholar] [CrossRef]
- Peterhoff, D.; Einhauser, S.; Beileke, S.; Niller, H.H.; Günther, F.; Schachtner, M.; Asbach, B.; Steininger, P.; Tenbusch, M.; Peter, A.S.; et al. Comparative Immunogenicity of COVID-19 Vaccines in a Population-Based Cohort Study with SARS-CoV-2-Infected and Uninfected Participants. Vaccines 2022, 10, 324. [Google Scholar] [CrossRef]
- Thomas, S.J.; Moreira, E.D., Jr.; Kitchin, N.; Absalon, J.; Gurtman, A.; Lockhart, S.; Perez, J.L.; Pérez Marc, G.; Polack, F.P.; Zerbini, C.; et al. Safety and efficacy of the BNT162b2 mRNA COVID-19 vaccine through 6 months. N. Engl. J. Med. 2021, 385, 1761–1773. [Google Scholar] [CrossRef] [PubMed]
- Richards, N.E.; Keshavarz, B.; Workman, L.J.; Nelson, M.R.; Platts-Mills TA, E.; Wilson, J.M. Comparison of SARS-CoV-2 antibody response by age among recipients of the BNT162b2 vs the mRNA-1273 vaccine. JAMA Netw. Open 2021, 4, e2124331. [Google Scholar] [CrossRef] [PubMed]
- Chansaenroj, J.; Suntronwong, N.; Kanokudom, S.; Assawakosri, S.; Yorsaeng, R.; Vichaiwattana, P.; Klinfueng, S.; Wongsrisang, L.; Srimuan, D.; Thatsanatorn, T.; et al. Immunogenicity following two doses of the BBIBP-CorV vaccine and a third booster dose with a viral vector and mRNA COVID-19 vaccines against delta and omicron variants in prime immunized adults with two doses of the BBIBP-CorV vaccine. Vaccines 2022, 10, 1071. [Google Scholar] [CrossRef] [PubMed]
- Bates, T.A.; Leier, H.C.; Lyski, Z.L.; Goodman, J.R.; Curlin, M.E.; Messer, W.B.; Tafesse, F.G. Age-dependent neutralization of SARS-CoV-2 and P. 1 variant by vaccine immune serum samples. JAMA 2021, 326, 868–869. [Google Scholar] [CrossRef] [PubMed]
- WHO. Interim Statement on the Use of Additional Booster Doses of Emergency Use Listed mRNA Vaccines against COVID-19 2022. Available online: https://www.who.int/news/item/17-05-2022-interim-statement-on-the-use-of-additional-booster-doses-of-emergency-use-listed-mrna-vaccines-against-covid-19 (accessed on 12 December 2022).
- Self, W.H.; Tenforde, M.W.; Rhoads, J.P.; Gaglani, M.; Ginde, A.A.; Douin, D.J.; Olson, S.M.; Talbot, H.K.; Casey, J.D.; Mohr, N.M.; et al. Comparative effectiveness of Moderna, Pfizer-BioNTech, and Janssen (Johnson & Johnson) vaccines in preventing COVID-19 hospitalizations among adults without immunocompromising conditions—United States, March–August 2021. Morb. Mortal. Wkly. Rep. 2021, 70, 1337. [Google Scholar]
- Lyimo, E.; Fougeroux, C.; Malabeja, A.; Mbwana, J.; Hayuma, P.M.; Liheluka, E.; Turner, L.; Gesase, S.; Lavstsen, T.; Lusingu JP, A.; et al. Seroprevalence of SARS-CoV-2 antibodies among children and adolescents recruited in a malariometric survey in north-eastern Tanzania July 2021. BMC Infect. Dis. 2022, 22, 846. [Google Scholar] [CrossRef] [PubMed]
- Msemo, O.A.; Pérez-Alós, L.; Minja DT, R.; Hansen, C.B.; Gesase, S.; Mtove, G.; Mbwana, J.; Larsen VM, L.; Bøgestad EC, S.; Grunnet, L.G.; et al. High anti-SARS-CoV-2 seroprevalence among unvaccinated mother–child pairs from a rural setting in north-eastern Tanzania during the second wave of COVID-19. IJID Reg. 2023, 6, 48–57. [Google Scholar] [CrossRef] [PubMed]
- Nyawale, H.A.; Moremi, N.; Mohamed, M.; Njwalila, J.; Silago, V.; Krone, M.; Konje, E.T.; Mirambo, M.M.; Mshana, S.E. High Seroprevalence of SARS-CoV-2 in Mwanza, Northwestern Tanzania: A Population-Based Survey. Int. J. Environ. Res. Public Health 2022, 19, 11664. [Google Scholar] [CrossRef]
- Salum, S.S.; Sheikh, M.A.; Hebestreit, A.; Kelm, S. Anti SARS-CoV2 seroprevalence in Zanzibar in 2021 before the Omicron wave. IJID Reg. 2022, 4, 120–122. [Google Scholar] [CrossRef]
- Bates, T.A.; McBride, S.K.; Leier, H.C.; Guzman, G.; Lyski, Z.L.; Schoen, D.; Winders, B.; Lee, J.Y.; Lee, D.X.; Messer, W.B.; et al. Vaccination before or after SARS-CoV-2 infection leads to robust humoral response and antibodies that effectively neutralize variants. Sci. Immunol. 2022, 7, eabn8014. [Google Scholar] [CrossRef]
- Keeton, R.; Richardson, S.I.; Moyo-Gwete, T.; Hermanus, T.; Tincho, M.B.; Benede, N.; Manamela, N.P.; Baguma, R.; Makhado, Z.; Ngomti, A.; et al. Prior infection with SARS-CoV-2 boosts and broadens Ad26. COV2. S immunogenicity in a variant-dependent manner. Cell Host Microbe 2021, 29, 1611–1619.e5. [Google Scholar] [CrossRef] [PubMed]
- Castanha, P.M.; Tuttle, D.J.; Kitsios, G.D.; Jacobs, J.L.; Braga-Neto, U.; Duespohl, M.; Rathod, S.; Marti, M.M.; Wheeler, S.; Naqvi, A.; et al. IgG response to SARS-CoV-2 and seasonal coronaviruses contributes to complement overactivation in severe COVID-19 patients. J. Infect. Dis. 2022, 226, 766–777. [Google Scholar] [CrossRef] [PubMed]
- Dispinseri, S.; Secchi, M.; Pirillo, M.F.; Tolazzi, M.; Borghi, M.; Brigatti, C.; De Angelis, M.L.; Baratella, M.; Bazzigaluppi, E.; Venturi, G.; et al. Neutralizing antibody responses to SARS-CoV-2 in symptomatic COVID-19 is persistent and critical for survival. Nat. Commun. 2021, 12, 2670. [Google Scholar] [CrossRef] [PubMed]
- Yang, H.S.; Costa, V.; Racine-Brzostek, S.E.; Acker, K.P.; Yee, J.; Chen, Z.; Karbaschi, M.; Zuk, R.; Rand, S.; Sukhu, A.; et al. Association of age with SARS-CoV-2 antibody response. JAMA Netw. Open 2021, 4, e214302-e. [Google Scholar] [CrossRef] [PubMed]
- Gudbjartsson, D.F.; Norddahl, G.L.; Melsted, P.; Gunnarsdottir, K.; Holm, H.; Eythorsson, E.; Arnthorsson, A.O.; Helgason, D.; Bjarnadottir, K.; Ingvarsson, R.F.; et al. Humoral immune response to SARS-CoV-2 in Iceland. N. Engl. J. Med. 2020, 383, 1724–1734. [Google Scholar] [CrossRef] [PubMed]
- Wang, X.; Guo, X.; Xin, Q.; Pan, Y.; Hu, Y.; Li, J.; Chu, Y.; Feng, Y.; Wang, Q. Neutralizing antibody responses to severe acute respiratory syndrome coronavirus 2 in coronavirus disease 2019 inpatients and convalescent patients. Clin. Infect. Dis. 2020, 71, 2688–2694. [Google Scholar] [CrossRef] [PubMed]
- Harvey, R.A.; Rassen, J.A.; Kabelac, C.A.; Turenne, W.; Leonard, S.; Klesh, R.; Meyer, W.A., 3rd; Kaufman, H.W.; Anderson, S.; Cohen, O.; et al. Association of SARS-CoV-2 seropositive antibody test with risk of future infection. JAMA Intern. Med. 2021, 181, 672–679. [Google Scholar] [CrossRef] [PubMed]
- Dan, J.M.; Mateus, J.; Kato, Y.; Hastie, K.M.; Yu, E.D.; Faliti, C.E.; Grifoni, A.; Ramirez, S.I.; Haupt, S.; Frazier, A.; et al. Immunological memory to SARS-CoV-2 assessed for up to 8 months after infection. Science 2021, 371, eabf4063. [Google Scholar] [CrossRef]
- Dagan, N.; Barda, N.; Kepten, E.; Miron, O.; Perchik, S.; Katz, M.A.; Hernán, M.A.; Lipsitch, M.; Reis, B.; Balicer, R.D. BNT162b2 mRNA COVID-19 vaccine in a nationwide mass vaccination setting. N. Engl. J. Med. 2021, 384, 1412–1423. [Google Scholar] [CrossRef]
- Khoury, D.S.; Cromer, D.; Reynaldi, A.; Schlub, T.E.; Wheatley, A.K.; Juno, J.A.; Subbarao, K.; Kent, S.J.; Triccas, J.A.; Davenport, M.P. Neutralizing antibody levels are highly predictive of immune protection from symptomatic SARS-CoV-2 infection. Nat. Med. 2021, 27, 1205–1211. [Google Scholar] [CrossRef]
- Protzer, U.; Wratil, P.; Stern, M.; Priller, A.; Willmann, A.; Almanzar, G.; Vogel, E.; Feuerherd, M.; Cheng, C.; Yazici, S.; et al. Superior immunity that allows neutralization of all SARS-CoV-2 variants of concern develops in COVID-19 convalescents and naïve individuals after three vaccinations. Nat. Portf. 2022, preprint. [Google Scholar] [CrossRef]
- Powell, A.A.; Kirsebom, F.; Stowe, J.; Ramsay, M.E.; Lopez-Bernal, J.; Andrews, N.; Ladhani, S.N. Protection against symptomatic infection with delta (B. 1.617. 2) and omicron (B. 1.1. 529) BA. 1 and BA. 2 SARS-CoV-2 variants after previous infection and vaccination in adolescents in England, August, 2021–March, 2022: A national, observational, test-negative, case-control study. Lancet Infect. Dis. 2022, 23, 435–444. [Google Scholar] [PubMed]
- Hirsh, J.; Htay, T.; Bhalla, S.; Nguyen, V.; Cervantes, J. Breakthrough SARS-CoV-2 infections after COVID-19 immunization. J. Investig. Med. 2022, 70, 1429–1432. [Google Scholar] [CrossRef] [PubMed]





| Characteristics | Region | |||||
|---|---|---|---|---|---|---|
| Dar es Salaam | Dodoma | Kilimanjaro | Mbeya | Mwanza | Overall | |
| Sample Size (n) | 242 | 198 | 220 | 179 | 209 | 1048 |
| Mean age (years), Median (IQR) | 45 (39–53) | 46 (37–55) | 50 (41–59) | 46 (35–57) | 38 (30–52) | 46 (36–55) |
| Sex (male, %) | 99 (40.9) | 111 (56.0) | 114 (51.8) | 107 (59.8) | 105 (50.2) | 536 (51.1) |
| Education level, n (%) | ||||||
| No formal education | 17 (7.0) | 3 (1.5) | 8 (3.6) | 4 (2.3) | 7 (3.3) | 39 (3.7) |
| Primary school | 129 (53.3) | 62 (31.3) | 113 (51.3) | 58 (32.4) | 80 (38.2) | 442 (42.1) |
| Secondary school | 62 (25.6) | 40 (20.2) | 48 (21.8) | 33(24.0) | 62 (29.7) | 255 (24.4) |
| College | 13 (5.4) | 32 16.2) | 26 (11.8) | 32 (17.9) | 29 (13.4) | 132 (12.6) |
| University and above | 21 (8.7) | 61 (30.8) | 25 (11.4) | 42 (23.5) | 31 (14.8) | 180 (17.2) |
| Occupation, n (%) | ||||||
| Formerly employed | 64 (26.5) | 94 (47.5) | 63 (28.6) | 81 (45.3) | 80 (38.3) | 382 (36.4) |
| * Farmer/Peasant (crops) | 12 (5.0) | 28 (14.1) | 66 (30.0) | 46 (25.7) | 21 (10.0) | 173 (16.5) |
| ** Livestock keeping | 3 (1.2) | 2 (1) | 62 (28.2) | 1 (0.6) | 0 (0) | 68 (6.5) |
| Business | 107 (42.2) | 55 (27.8) | 5 (2.3) | 43 (24.0) | 62 (30.0) | 272 (26.0) |
| Others | 56 (23.1) | 19 (10.0) | 24 (10.9) | 8 (4.5) | 46 (22.0) | 153 (15.0) |
| History of COVID-19, n (%) | 1 (0.4) | 54 (27.3) | 15 (6.8) | 2 (1.1) | 6 (2.9) | 78 (7.4) |
| Diagnosed with COVID-19, n (%) | 1 (100) | 10 (18.5) | 4 (26.7) | 2 (100) | 5 (83.3) | 22 (28.2) |
| Any comorbidity, n (%) | 176 (72.7) | 77 (38.9) | 60 (27.3) | 45 (25.1) | 72 (34.4) | 430 (40.0) |
| Hypertension | 28 (11.6) | 38 (19.2) | 17 (7.7) | 23 (12.8) | 21(10.0) | 127 (12.1) |
| Diabetes | 13 (5.4) | 14 (7.1) | 10 (4.5) | 10 (5.6) | 11 (5.3) | 58 (5.5) |
| HIV | 147 (60.7) | 19 (9.6) | 20 (9.0) | 11 (6.1) | 35 (16.7) | 232 (22.1) |
| Median time since vaccination, months (Range) | 5 (3.3–7.1) | 7.5 (5.8–10.8) | 6.8 (5.2–10.3) | 8.4 (6.6–10.5) | 6.9 (5.6–9.1) | 6.9 (5.0–10.1) |
| Characteristics | Vaccine Type | ||||
|---|---|---|---|---|---|
| Jensen & Jensen | Moderna | Pfizer | Sinopharm | Overall | |
| Sample Size (n, %) | 414 (39.5) | 72 (6.9) | 264 (25.2) | 298 (28.4) | 1048 |
| Mean age (years), Median (IQR) | 49 (39–58) | 43.5 (32–51) | 43 (33–52) | 43 (34–54) | 46 (36–55) |
| Sex (male, %) | 240 (58.0) | 28 (39.0) | 128 (48.5) | 140 (47.0) | 536 (51.1) |
| Education level, n (%) | |||||
| No formal education | 10 (2.4) | 6 (8.3) | 9 (3.4) | 14 (4.7) | 39 (3.7) |
| Primary school | 145 (35.0) | 45 (62.5) | 113 (42.8) | 139 (46.6) | 442 (42.2) |
| Secondary school | 95 (22.9) | 15 (20.8) | 65 (24.6) | 80 (26.9) | 24.4 (24.4) |
| College | 60 (14.5) | 3 (4.2) | 41 (15.5) | 28 (9.4) | 132 (12.6) |
| University and above | 104 (25.1) | 3 (4.2) | 36 (13.6) | 37 (12.4) | 180 (17.2) |
| Occupation, n (%) | |||||
| Formerly employed | 185 (44.7) | 17 (23.6) | 94 (35.6) | 86 (28.9) | 382 (36.4) |
| Farmer/Peasant (crops) | 69 (16.7) | 7 (9.7) | 45 (17.0) | 52 (17.4) | 173 (16.5) |
| Livestock keeping | 25 (6.0) | 3 (4.2) | 24 (9.0) | 16 (5.4) | 68 (6.5) |
| Business | 71 (17.1) | 32 (44.4) | 67 (25.4) | 102 (34.2) | 272 (25.9) |
| Others | 64 (15.5) | 13 (18.1) | 34 (12.9) | 42 (14.1) | 153 (14.6) |
| History of COVID-19, n (%) | 35 (8.4) | 2 (2.8) | 20 (7.6) | 21 (7.0) | 78 (7.4) |
| Diagnosed with COVID-19, n (%) | 11 (31.4) | 1 (50.0) | 5 (25.0) | 5 (23.8) | 22 (28.2) |
| Any comorbidity, n (%) | 151 (36.5) | 51 (70.8) | 100 (37.9) | 128 (42.9) | 430 (41.0) |
| Hypertension | 70 (16.9) | 3 (4.2) | 18 (7.1) | 38 (12.7) | 127 (12.4) |
| Diabetes | 36 (8.7) | 2 (2.8) | 9 (3.4) | 11 (3.7) | 58 (5.5) |
| HIV | 32 (8.2) | 47 (56.6) | 60 (23.5) | 83 (27.8) | 232 (22.1) |
| Median time since vaccination, months (Range) | 10.4 (9.3–11.3) | 3.3 (2.8–3.4) | 5.6 (4.4–6.4) | 6.3 (5.0–7.4) | 6.9 (5.0–10.1) |
| Univariable | Multivariable | |||||
|---|---|---|---|---|---|---|
| Variable | OR | 95%CI | p-Value | OR | 95%CI | p-Value |
| Age group | ||||||
| <40 | 1 | 1 | ||||
| 40–59 | 0.88 | 0.42–1.86 | 0.742 | 0.54 | 0.27–1.09 | 0.085 |
| 60+ | 0.64 | 0.26–1.59 | 0.335 | 0.43 | 0.19–1.00 | 0.050 |
| Vaccine:—J&J | 1 | 1 | ||||
| Moderna | 0.96 | 0.21–4.41 | 0.956 | 0.75 | 0.16–3.61 | 0.724 |
| Pfizer | 2.38 | 0.66–8.61 | <0.001 | 2.54 | 0.83–7.71 | 0.099 |
| Sinopharm | 0.34 | 0.16–0.72 | 0.005 | 0.23 | 0.12–0.46 | <0.001 |
| Comorbidity:—No | 1 | |||||
| Diabetes | 0.67 | 0.2–2.26 | 0.521 | |||
| Hypertension | 1.63 | 0.5–5.39 | 0.420 | |||
| HIV | 1.27 | 0.55–2.92 | 0.573 | |||
| Suffer COVID-19 | ||||||
| No | 1 | 1 | ||||
| Yes | 3.06 | 0.41–22.58 | 0.273 | 5.24 | 0.67–40.99 | 0.114 |
| Past SARS-CoV-2 infection | ||||||
| No | 1 | 1 | ||||
| Yes | 5.96 | 2.1–16.93 | 0.001 | 13.27 | 4.69–37.54 | <0.001 |
| Time since vaccination (months) | 1.04 | 0.92–1.16 | 0.550 | |||
| Survey round | ||||||
| Baseline | 1 | 1 | ||||
| Follow-up | 2.21 | 1.23–3.99 | 0.008 | 2.24 | 1.22–4.13 | 0.010 |
| Region | ||||||
| Dar es Salaam | 1 | 1 | ||||
| Dodoma | 0.44 | 0.15–1.34 | 0.151 | 0.30 | 0.11–0.82 | 0.019 |
| Kilimanjaro | 0.56 | 0.18–1.74 | 0.314 | 0.30 | 0.11–0.79 | 0.015 |
| Mbeya | 0.32 | 0.11–0.94 | 0.038 | 0.22 | 0.09–0.57 | 0.002 |
| Mwanza | 0.86 | 0.25–3.02 | 0.815 | 0.68 | 0.24–1.98 | 0.485 |
| Univariate | Multivariate | |||
|---|---|---|---|---|
| Variable | Coefficient (95%CI) | p-Value | Coefficient (95%CI) | p-Value |
| Age group (yrs.) | ||||
| 40–59 | 0.27 (0.09–0.45) | 0.003 | 0.09 (−0.06–0.25) | 0.246 |
| 60+ | 0.51 (0.27–0.75) | <0.001 | 0.4 (0.19–0.61) | <0.001 |
| Sex (Female) | 0.15 (−0.01–0.32) | 0.063 | 0.17 (0.03–0.3) | 0.018 |
| Time since vaccination (months) | −0.012 (−0.04–0.02) | 0.419 | ||
| Survey round—Follow-up | 0.19 (0.11–0.27) | <0.001 | 0.16 (0.08–0.23) | <0.001 |
| Type of vaccine | ||||
| Moderna | 0.62 (0.30–0.93) | <0.001 | 0.59 (0.29–0.88) | <0.001 |
| Pfizer | 0.22 (0.03–0.42) | 0.025 | 0.31 (0.14–0.49) | <0.001 |
| Sinopharm | −0.79 (-0.98–−0.61) | <0.001 | −0.84 (−1.01–−0.67) | <0.001 |
| Region | ||||
| Dodoma | −0.23 (−0.48–0.01) | 0.065 | −0.53 (−0.76–−0.29) | <0.001 |
| Kilimanjaro | −0.16 (−0.4–0.08) | 0.180 | −0.47 (−0.69–−0.26) | <0.001 |
| Mbeya | −0.63 (−0.88–−0.38) | <0.001 | −0.67 (−0.89–−0.44) | <0.001 |
| Mwanza | −0.68 (−0.93–−0.44) | <0.001 | −0.75 (−0.96–−0.53) | <0.001 |
| Suffered COVID-19 | 0.71 (0.35–1.08) | <0.001 | 0.73 (0.45–1.01) | <0.001 |
| Immunity against past infection (IgG): Yes | 0.91 (0.80–1.01) | <0.001 | 0.91 (0.8–1.01) | <0.001 |
| Immunity against acute infection (IgM): Yes | 0.80 (0.50–1.10) | <0.001 | 0.69 (0.42–0.96) | <0.001 |
| Comorbidity—None | ||||
| Diabetes | 0.37 (−0.016–0.72) | 0.041 | ||
| Hypertension | 0.26 (0.01–0.51) | 0.038 | ||
| HIV | 0.16 (−0.03–0.36) | 0.106 | ||
| Asthma | 0.21 (−0.30–0.72) | 0.421 | ||
Disclaimer/Publisher’s Note: The statements, opinions and data contained in all publications are solely those of the individual author(s) and contributor(s) and not of MDPI and/or the editor(s). MDPI and/or the editor(s) disclaim responsibility for any injury to people or property resulting from any ideas, methods, instructions or products referred to in the content. |
© 2023 by the authors. Licensee MDPI, Basel, Switzerland. This article is an open access article distributed under the terms and conditions of the Creative Commons Attribution (CC BY) license (https://creativecommons.org/licenses/by/4.0/).
Share and Cite
Bakari, M.; Aboud, S.; Kasubi, M.; Mmbando, B.P.; Ntinginya, N.E.; Sichalwe, A.; Ubuguyu, O.S.; Magesa, A.; Rutananukwa, N.L.; Nyawale, H.; et al. Humoral Immune Responses following COVID-19 Vaccinations among Adults in Tanzania. Vaccines 2024, 12, 22. https://doi.org/10.3390/vaccines12010022
Bakari M, Aboud S, Kasubi M, Mmbando BP, Ntinginya NE, Sichalwe A, Ubuguyu OS, Magesa A, Rutananukwa NL, Nyawale H, et al. Humoral Immune Responses following COVID-19 Vaccinations among Adults in Tanzania. Vaccines. 2024; 12(1):22. https://doi.org/10.3390/vaccines12010022
Chicago/Turabian StyleBakari, Muhammad, Said Aboud, Mabula Kasubi, Bruno P. Mmbando, Nyanda Elias Ntinginya, Aifello Sichalwe, Omary S. Ubuguyu, Alex Magesa, Nancy Ladislaus Rutananukwa, Helmut Nyawale, and et al. 2024. "Humoral Immune Responses following COVID-19 Vaccinations among Adults in Tanzania" Vaccines 12, no. 1: 22. https://doi.org/10.3390/vaccines12010022
APA StyleBakari, M., Aboud, S., Kasubi, M., Mmbando, B. P., Ntinginya, N. E., Sichalwe, A., Ubuguyu, O. S., Magesa, A., Rutananukwa, N. L., Nyawale, H., Kisinda, A., Beyanga, M., Horumpende, P. G., Mhame, P. S., Vumilia, L. M., Mziray, L. S., Mkala, R., Shao, E., Makubi, A., ... Kishimba, R. (2024). Humoral Immune Responses following COVID-19 Vaccinations among Adults in Tanzania. Vaccines, 12(1), 22. https://doi.org/10.3390/vaccines12010022

