Effect of Palivizumab Prophylaxis on Respiratory Syncytial Virus Infection in Very Preterm Infants in the First Year of Life in The Netherlands
Abstract
:1. Introduction
2. Methods
2.1. Study Design and Participants
2.2. Assay
2.3. Outcomes
2.4. Statistical Analysis
3. Results
3.1. Baseline Characteristics
3.2. Antibody Concentrations
3.3. Incidence of RSV Infection
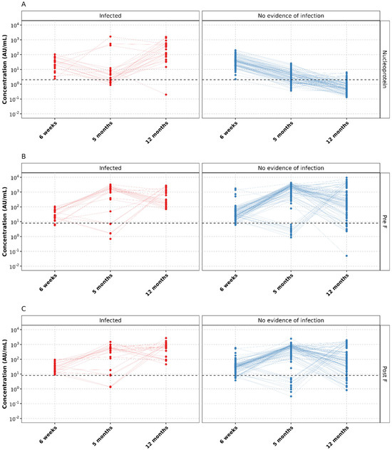
3.4. Antibody Level Trajectories
4. Discussion
5. Conclusions
Supplementary Materials
Author Contributions
Funding
Institutional Review Board Statement
Informed Consent Statement
Data Availability Statement
Conflicts of Interest
References
- Berbers, G.; Mollema, L.; van der Klis, F.; den Hartog, G.; Schepp, R. Antibody Responses to Respiratory Syncytial Virus: A Cross-Sectional Serosurveillance Study in the Dutch Population Focusing on Infants Younger Than 2 Years. J. Infect. Dis. 2021, 224, 269–278. [Google Scholar] [CrossRef]
- Zylbersztejn, A.; Pembrey, L.; Goldstein, H.; Berbers, G.; Schepp, R.; van der Klis, F.; Sande, C.; Mason, D.; Wright, J.; Smyth, R.; et al. Respiratory syncytial virus in young children: Community cohort study integrating serological surveys, questionnaire and electronic health records, Born in Bradford cohort, England, 2008 to 2013. Eurosurveillance 2021, 26, 2000023. [Google Scholar] [CrossRef] [PubMed]
- Nair, H.; Nokes, D.J.; Gessner, B.D.; Dherani, M.; Madhi, S.A.; Singleton, R.J.; O’Brien, K.L.; Roca, A.; Wright, P.F.; Bruce, N.; et al. Global burden of acute lower respiratory infections due to respiratory syncytial virus in young children: A systematic review and meta-analysis. Lancet 2010, 375, 1545–1555. [Google Scholar] [CrossRef] [PubMed]
- Haddadin, Z.; Rankin, D.A.; Lipworth, L.; Suh, M.; McHenry, R.; Blozinski, A.; George, S.S.; Fernandez, K.N.; Varjabedian, R.; Spieker, A.J.; et al. Respiratory Virus Surveillance in Infants across Different Clinical Settings. J. Pediatr. 2021, 234, 164–171.e162. [Google Scholar] [CrossRef] [PubMed]
- Li, Y.; Wang, X.; Blau, D.M.; Caballero, M.T.; Feikin, D.R.; Gill, C.J.; Madhi, S.A.; Omer, S.B.; Simões, E.A.F.; Campbell, H.; et al. Global, regional, and national disease burden estimates of acute lower respiratory infections due to respiratory syncytial virus in children younger than 5 years in 2019: A systematic analysis. Lancet 2022, 399, 2047–2064. [Google Scholar] [CrossRef]
- Wildenbeest, J.G.; Billard, M.N.; Zuurbier, R.P.; Korsten, K.; Langedijk, A.C.; van de Ven, P.M.; Snape, M.D.; Drysdale, S.B.; Pollard, A.J.; Robinson, H.; et al. The burden of respiratory syncytial virus in healthy term-born infants in Europe: A prospective birth cohort study. Lancet Respir. Med. 2022, 11, 341–353. [Google Scholar] [CrossRef]
- Pramana, I.A.; Latzin, P.; Schlapbach, L.J.; Hafen, G.; Kuehni, C.E.; Nelle, M.; Riedel, T.; Frey, U. Respiratory symptoms in preterm infants: Burden of disease in the first year of life. Eur. J. Med. Res. 2011, 16, 223–230. [Google Scholar] [CrossRef]
- Mauskopf, J.; Margulis, A.V.; Samuel, M.; Lohr, K.N. Respiratory Syncytial Virus Hospitalizations in Healthy Preterm Infants: Systematic Review. Pediatr. Infect. Dis. J. 2016, 35, e229–e238. [Google Scholar] [CrossRef]
- Townsi, N.; Laing, I.A.; Hall, G.L.; Simpson, S.J. The impact of respiratory viruses on lung health after preterm birth. Eur. Clin. Respir. J. 2018, 5, 1487214. [Google Scholar] [CrossRef]
- Simister, N.E. Placental transport of immunoglobulin G. Vaccine 2003, 21, 3365–3369. [Google Scholar] [CrossRef]
- Pereira, R.A.; de Almeida, V.O.; Vidori, L.; Colvero, M.O.; Amantéa, S.L. Immunoglobulin G and subclasses placental transfer in fetuses and preterm newborns: A systematic review. J. Perinatol. 2023, 43, 3–9. [Google Scholar] [CrossRef]
- McLellan, J.S.; Ray, W.C.; Peeples, M.E. Structure and function of respiratory syncytial virus surface glycoproteins. Curr. Top. Microbiol. Immunol. 2013, 372, 83–104. [Google Scholar]
- Johnson, S.; Oliver, C.; Prince, G.A.; Hemming, V.G.; Pfarr, D.S.; Wang, S.C.; Dormitzer, M.; O’Grady, J.; Koenig, S.; Tamura, J.K.; et al. Development of a humanized monoclonal antibody (MEDI-493) with potent in vitro and in vivo activity against respiratory syncytial virus. J. Infect. Dis. 1997, 176, 1215–1224. [Google Scholar] [CrossRef]
- Resch, B. Product review on the monoclonal antibody palivizumab for prevention of respiratory syncytial virus infection. Hum. Vaccin. Immunother. 2017, 13, 2138–2149. [Google Scholar] [CrossRef]
- Farber, H.J.; Buckwold, F.J.; Lachman, B.; Simpson, J.S.; Buck, E.; Arun, M.; Valadez, A.M.; Ruiz, T.; Alonzo, J.; Henry, A.; et al. Observed Effectiveness of Palivizumab for 29–36-Week Gestation Infants. Pediatrics 2016, 138, e20160627. [Google Scholar] [CrossRef] [PubMed]
- Mac, S.; Sumner, A.; Duchesne-Belanger, S.; Stirling, R.; Tunis, M.; Sander, B. Cost-effectiveness of Palivizumab for Respiratory Syncytial Virus: A Systematic Review. Pediatrics 2019, 143, e20184064. [Google Scholar] [CrossRef] [PubMed]
- The IMpact-RSV Study Group. Palivizumab, a humanized respiratory syncytial virus monoclonal antibody, reduces hospitalization from respiratory syncytial virus infection in high-risk infants. Pediatrics 1998, 102, 531–535. [Google Scholar] [CrossRef]
- Checchia, P.A.; Nalysnyk, L.; Fernandes, A.W.; Mahadevia, P.J.; Xu, Y.; Fahrbach, K.; Welliver Sr, R.C. Mortality and morbidity among infants at high risk for severe respiratory syncytial virus infection receiving prophylaxis with palivizumab: A systematic literature review and meta-analysis. Pediatr. Crit. Care Med. 2011, 12, 580–588. [Google Scholar] [CrossRef]
- Viguria, N.; Navascués, A.; Juanbeltz, R.; Echeverría, A.; Ezpeleta, C.; Castilla, J. Effectiveness of palivizumab in preventing respiratory syncytial virus infection in high-risk children. Hum. Vaccin. Immunother. 2021, 17, 1867–1872. [Google Scholar] [CrossRef]
- Stoll, B.J.; Hansen, N.I.; Bell, E.F.; Shankaran, S.; Laptook, A.R.; Walsh, M.C.; Hale, E.C.; Newman, N.S.; Schibler, K.; Carlo, W.A.; et al. Neonatal outcomes of extremely preterm infants from the NICHD Neonatal Research Network. Pediatrics 2010, 126, 443–456. [Google Scholar] [CrossRef]
- Jobe, A.H.; Bancalari, E. Bronchopulmonary dysplasia. Am. J. Respir. Crit. Care Med. 2001, 163, 1723–1729. [Google Scholar] [CrossRef]
- NFKF. Stichting Nederlands Kenniscentrum Farmacotherapie bij Kinderen. Kinderformularium-Palivizumab. 2014. Available online: https://kinderformularium.nl/geneesmiddel/573/palivizumab (accessed on 24 July 2023).
- Ministerie van Volksgezondheid, W.e.S. Regeling van de Minister van Volksgezondheid, Welzijn en Sport van 1 September 2005, nr. Z/VV-2611957, hHoudende Regels ter Zake van de Uitvoering van de Zorgverzekeringswet (Regeling zorgverzekering). 2005. Available online: https://wetten.overheid.nl/BWBR0018715/2019-12-04/ (accessed on 18 September 2023).
- Blanken, M.O.; Rovers, M.M.; Molenaar, J.M.; Winkler-Seinstra, P.L.; Meijer, A.; Kimpen, J.L.L.; Bont, L. Respiratory Syncytial Virus and Recurrent Wheeze in Healthy Preterm Infants. N. Engl. J. Med. 2013, 368, 1791–1799. [Google Scholar] [CrossRef]
- Rouers, E.D.M.; Berbers, G.A.M.; van Dongen, J.A.P.; Sanders, E.A.M.; Bruijning-Verhagen, P. Timeliness of immunisations in preterm infants in the Netherlands. Vaccine 2019, 37, 5862–5867. [Google Scholar] [CrossRef]
- Rouers, E.D.M.; Bruijning-Verhagen, P.C.J.; van Gageldonk, P.G.M.; van Dongen, J.A.P.; Sanders, E.A.M.; Berbers, G.A.M. Association of Routine Infant Vaccinations with Antibody Levels among Preterm Infants. JAMA 2020, 324, 1068–1077. [Google Scholar] [CrossRef]
- Schepp, R.M.; de Haan, C.A.M.; Wilkins, D.; Layman, H.; Graham, B.S.; Esser, M.T.; Berbers, G.A.M. Development and Standardization of a High-Throughput Multiplex Immunoassay for the Simultaneous Quantification of Specific Antibodies to Five Respiratory Syncytial Virus Proteins. mSphere 2019, 4, e00236-19. [Google Scholar] [CrossRef]
- den Hartog, G.; van Kasteren, P.B.; Schepp, R.M.; Teirlinck, A.C.; van der Klis, F.R.M.; van Binnendijk, R.S. Decline of RSV-specific antibodies during the COVID-19 pandemic. Lancet Infect. Dis. 2023, 23, 23–25. [Google Scholar] [CrossRef]
- Andeweg, S.P.; Schepp, R.M.; van de Kassteele, J.; Mollema, L.; Berbers, G.A.M.; van Boven, M. Population-based serology reveals risk factors for RSV infection in children younger than 5 years. Sci. Rep. 2021, 11, 8953. [Google Scholar] [CrossRef]
- Hammitt, L.L.; Dagan, R.; Yuan, Y.; Baca Cots, M.; Bosheva, M.; Madhi, S.A.; Muller, W.J.; Zar, H.J.; Brooks, D.; Grenham, A.; et al. Nirsevimab for Prevention of RSV in Healthy Late-Preterm and Term Infants. N. Engl. J. Med. 2022, 386, 837–846. [Google Scholar] [CrossRef]
- Griffin, M.P.; Yuan, Y.; Takas, T.; Domachowske, J.B.; Madhi, S.A.; Manzoni, P.; Simões, E.A.F.; Esser, M.T.; Khan, A.A.; Dubovsky, F.; et al. Single-Dose Nirsevimab for Prevention of RSV in Preterm Infants. N. Engl. J. Med. 2020, 383, 415–425. [Google Scholar] [CrossRef]
- Garegnani, L.; Styrmisdóttir, L.; Roson Rodriguez, P.; Escobar Liquitay, C.M.; Esteban, I.; Franco, J.V. Palivizumab for preventing severe respiratory syncytial virus (RSV) infection in children. Cochrane Database Syst. Rev. 2021, 11, Cd013757. [Google Scholar]
- Nourbakhsh, S.; Shoukat, A.; Zhang, K.; Poliquin, G.; Halperin, D.; Sheffield, H.; Halperin, S.A.; Langley, J.M.; Moghadas, S.M. Effectiveness and cost-effectiveness of RSV infant and maternal immunization programs: A case study of Nunavik, Canada. EClinicalMedicine 2021, 41, 101141. [Google Scholar] [CrossRef]
- Madhi, S.A.; Polack, F.P.; Piedra, P.A.; Munoz, F.M.; Trenholme, A.A.; Simões, E.A.F.; Swamy, G.K.; Agrawal, S.; Ahmed, K.; August, A.; et al. Respiratory Syncytial Virus Vaccination during Pregnancy and Effects in Infants. N. Engl. J. Med. 2020, 383, 426–439. [Google Scholar] [CrossRef]
- Kampmann, B.; Madhi, S.A.; Munjal, I.; Simões, E.A.F.; Pahud, B.A.; Llapur, C.; Baker, J.; Pérez Marc, G.; Radley, D.; Shittu, E.; et al. Bivalent Prefusion F Vaccine in Pregnancy to Prevent RSV Illness in Infants. N. Engl. J. Med. 2023, 388, 1451–1464. [Google Scholar] [CrossRef]
- Wadman, M. FDA Advisers Agree Maternal RSV Vaccine Protects Infants, but Are Divided on Its Safety. 2023. Available online: https://www.science.org/content/article/fda-advisers-agree-maternal-rsv-vaccine-protects-infants-divided-safety (accessed on 13 October 2023).



| Total (n = 269) | GA ≤ 32 w PAL+ (n = 135) | GA ≤ 32 w PAL− (n = 31) | GA >32 w–≤36 w PAL+ (n = 2) | GA >32 w–≤36 w PAL− (n = 72) | Unknown (n = 29) | |
|---|---|---|---|---|---|---|
| Sex, n (%) | ||||||
| Male | 152 (56.5%) | 78 (57.8%) | 19 (61.3%) | 2 (100%) | 36 [50.0%] | 17 (59.6%) |
| Female | 117 (43.5%) | 57 (42.2%) | 12 (38.7%) | 0 (0.0%) | 36 [50.0%] | 12 (41.4%) |
| Gestational age (weeks), mean [range] | 30.2 [24.0–36.0] | 28.3 [24.0–32.0] | 29.4 [25.3–32.0] | 32.1 [32.1–32.1] | 34.0 [32.1–36.0] | 30.1 [26.6–35.3] |
| Birth weight (g), mean [range] | 1427 [530–3355] | 1110.0 [530–2142] ** | 1338.0 [595–2034] ** | 1697.5 [1680–1715] | 2048.6 [1205–3355] | 1438 [800–2775] |
| Born “Summer” April–September | 157 (58.4%) | 86 (63.7%) * | 12 (38.75) | 0 (0.0%) | 44 (66.1%) | 15 (48.3%) |
| Born “Winter” October–March | 112 (41.6%) | 49 (36.3%) * | 19 (61.35) | 2 (100%) | 28 (38.9%) | 14 (51.7%) |
| Infection | With Prophylaxis GA ≤ 32 w | Without Prophylaxis GA ≤ 32 w | Without Prophylaxis GA > 32 w ≤36 w | ||||||
|---|---|---|---|---|---|---|---|---|---|
| Yes | No | n | Yes | No | n | Yes | No | n | |
| ≤5 Months | 4 (2.3%) | 125 (97.7%) | 129 | 3 (10.0%) | 27 (90.0%) | 30 | 8 (11.3%) | 63 (88.7%) | 71 |
| 6–12 Months | 20 (15.7%) | 107 (84.3%) | 127 | 11 (37.9%) | 18 (62.1%) | 29 | 28 (43.1%) | 37 (56.9%) | 65 |
| Total at 12 Months | 24 (18.9%) * | 103 (81.1%) | 127 | 14 (48.3%) * | 15 (51.7%) | 29 | 36 (55.4%) | 29 (44.6%) | 65 |
Disclaimer/Publisher’s Note: The statements, opinions and data contained in all publications are solely those of the individual author(s) and contributor(s) and not of MDPI and/or the editor(s). MDPI and/or the editor(s) disclaim responsibility for any injury to people or property resulting from any ideas, methods, instructions or products referred to in the content. |
© 2023 by the authors. Licensee MDPI, Basel, Switzerland. This article is an open access article distributed under the terms and conditions of the Creative Commons Attribution (CC BY) license (https://creativecommons.org/licenses/by/4.0/).
Share and Cite
Schepp, R.M.; Kaczorowska, J.; van Gageldonk, P.G.M.; Rouers, E.D.M.; Sanders, E.A.M.; Bruijning-Verhagen, P.C.J.; Berbers, G.A.M. Effect of Palivizumab Prophylaxis on Respiratory Syncytial Virus Infection in Very Preterm Infants in the First Year of Life in The Netherlands. Vaccines 2023, 11, 1807. https://doi.org/10.3390/vaccines11121807
Schepp RM, Kaczorowska J, van Gageldonk PGM, Rouers EDM, Sanders EAM, Bruijning-Verhagen PCJ, Berbers GAM. Effect of Palivizumab Prophylaxis on Respiratory Syncytial Virus Infection in Very Preterm Infants in the First Year of Life in The Netherlands. Vaccines. 2023; 11(12):1807. https://doi.org/10.3390/vaccines11121807
Chicago/Turabian StyleSchepp, Rutger M., Joanna Kaczorowska, Pieter G. M. van Gageldonk, Elsbeth D. M. Rouers, Elisabeth A. M. Sanders, Patricia C. J. Bruijning-Verhagen, and Guy A. M. Berbers. 2023. "Effect of Palivizumab Prophylaxis on Respiratory Syncytial Virus Infection in Very Preterm Infants in the First Year of Life in The Netherlands" Vaccines 11, no. 12: 1807. https://doi.org/10.3390/vaccines11121807
APA StyleSchepp, R. M., Kaczorowska, J., van Gageldonk, P. G. M., Rouers, E. D. M., Sanders, E. A. M., Bruijning-Verhagen, P. C. J., & Berbers, G. A. M. (2023). Effect of Palivizumab Prophylaxis on Respiratory Syncytial Virus Infection in Very Preterm Infants in the First Year of Life in The Netherlands. Vaccines, 11(12), 1807. https://doi.org/10.3390/vaccines11121807

