Integrated Phytochemical Profiling, GC-MS Characterization, and In Silico, In Vitro Evaluation of Synergistic Antimicrobial, Antioxidant, and Anti-Inflammatory Activities of Morus alba Bark and Pinus densiflora Extracts with Methyl Gallate
Abstract
1. Introduction
2. Materials and Methods
2.1. Chemicals, Media, and Reagents
2.2. Extraction of Bioactive Compounds from Morus alba and Pinus densiflora
2.3. Gas Chromatography–Mass Spectrometry Analysis of Morus alba and Pinus densiflora Extracts
2.4. 2,2-Diphenyl-1-picrylhydrazyl Radical Scavenging Activity of Morus alba, Pinus densiflora, and Methyl Gallate Combinations
2.5. Bacterial Strains and Culture Medium
2.6. Bacterial Growth Curve Assay
2.7. Disk Agar Diffusion Assay
2.8. Antibacterial Activity of Morus alba, Pinus densiflora, and Methyl Gallate: Individual and Combinations
2.9. Time-Kill Activity of Morus alba, Pinus densiflora, and Methyl Gallate: Individual and Combinations
2.10. Cell Culture
2.11. MTT Assay for Cytotoxicity
2.12. Nitric Oxide Production Assay
2.13. In Silico Pharmacokinetic and Toxicity Analysis
2.14. Molecular Docking
2.14.1. Preparation of Proteins
2.14.2. Ligand Preparation
2.14.3. Glide Standard Precision Docking
3. Results
3.1. Extraction Kinetics of Yield and Brix%
3.2. Gas Chromatography–Mass Spectroscopy Profiling of Morus alba Extract
3.3. Gas Chromatography–Mass Spectroscopy Profiling of Pinus densiflora Extract
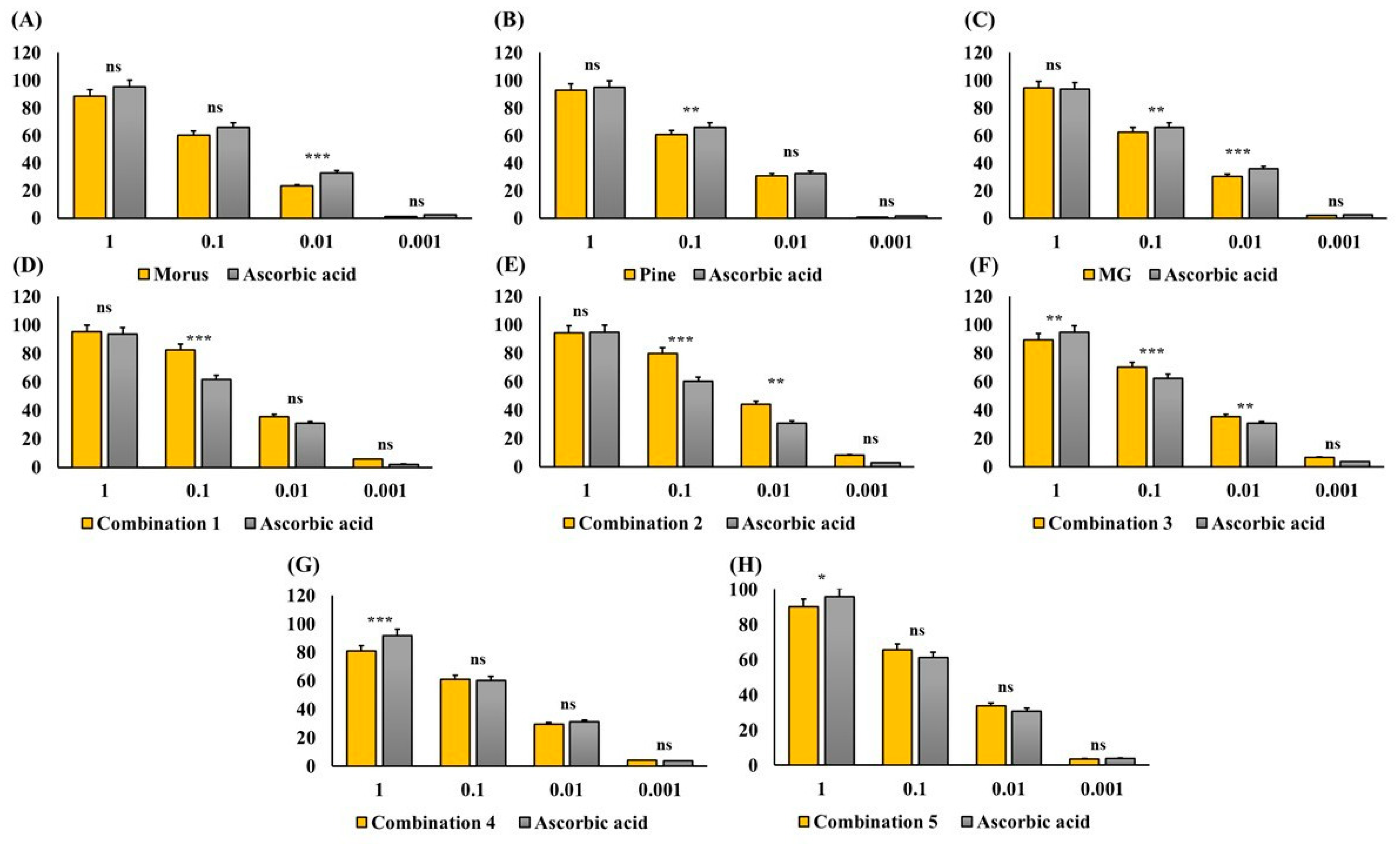
3.4. 2,2-Diphenyl-1-picrylhydrazyl Radical Scavenging Activity of Morus alba, Pinus densiflora, and Methyl Gallate
3.5. Growth Curve Analysis of S. aureus, S. typhi, and E. coli Under Varying Initial Inoculum Densities
3.6. Antibacterial Activity Screening by Disk Diffusion Assay
3.7. Antibacterial Properties of Morus alba, Pinus densiflora, and Methyl Gallate Evaluation by the Dilution Method
3.8. Time-Killing Activity of Morus alba, Pinus densiflora, Methyl Gallate, and Their Combinations
3.9. Cytotoxic Effects of Morus alba, Pinus densiflora, Methyl Gallate, and Combinations of the Three
3.10. Nitric Oxide Inhibition Activity of Morus alba, Pinus densiflora, Methyl Gallate, and Their Combinations
3.11. In Silico Pharmacokinetic, Toxicity, and Bioavailability Profiling of Morus alba and Pinus densiflora Selected Phytochemicals
3.12. Molecular Docking Study
4. Discussions
5. Conclusions
Author Contributions
Funding
Institutional Review Board Statement
Informed Consent Statement
Data Availability Statement
Acknowledgments
Conflicts of Interest
References
- Catalano, A.; Iacopetta, D.; Ceramella, J.; Scumaci, D.; Giuzio, F.; Saturnino, C.; Aquaro, S.; Rosano, C.; Sinicropi, M.S. Multidrug resistance (MDR): A widespread phenomenon in pharmacological therapies. Molecules 2022, 27, 616. [Google Scholar] [CrossRef]
- Ahmed, I.; Mikail, M. Paradigm shift: Focusing on plant-based natural antimicrobials. J. Microbiol. Exp. 2017, 5, 00145. [Google Scholar] [CrossRef][Green Version]
- Kaçar, D.; Bayraktar, O.; Erdem, C.; Alamri, A.S.; Galanakis, C.M. Antioxidant and antimicrobial activities of plants grown in the Mediterranean region. JSFA Rep. 2022, 2, 452–461. [Google Scholar] [CrossRef]
- Chang, Y.-S.; Jin, H.-G.; Lee, H.; Lee, D.-S.; Woo, E.-R. Phytochemical constituents of the root bark from Morus alba and their Il-6 inhibitory activity. Nat. Prod. Sci. 2019, 25, 268–274. [Google Scholar] [CrossRef]
- Škovranová, G.; Čulenová, M.; Treml, J.; Dzurická, L.; Marova, I.; Sychrová, A. Prenylated phenolics from Morus alba against MRSA infections as a strategy for wound healing. Front. Pharmacol. 2022, 13, 1068371. [Google Scholar] [CrossRef]
- Dat, N.T.; Xuan Binh, P.T.; Phuong Quynh, L.T.; Huong, H.T.; Van Minh, C. Sanggenon C and O inhibit NO production, iNOS expression and NF-κB activation in LPS-induced RAW264. 7 cells. Immunopharmacol. Immunotoxicol. 2012, 34, 84–88. [Google Scholar] [CrossRef]
- Park, S.; Moon, B.R.; Kim, J.E.; Kim, H.J.; Zhang, T. Aqueous extracts of Morus alba root bark and cornus officinalis fruit protect against osteoarthritis symptoms in testosterone-deficient and osteoarthritis-induced rats. Pharmaceutics 2020, 12, 1245. [Google Scholar] [CrossRef]
- Oh, Y.J.; Kim, Y.-S.; Kim, J.W.; Kim, D.W. Antibacterial and antiviral properties of Pinus densiflora essential oil. Foods 2023, 12, 4279. [Google Scholar] [CrossRef]
- Lee, J.; Kang, H.K.; Cheong, H.; Park, Y. A novel antimicrobial peptides from pine needles of Pinus densiflora Sieb. et Zucc. against foodborne bacteria. Front. Microbiol. 2021, 12, 662462. [Google Scholar] [CrossRef]
- Zhang, Y.; Chung, W.-K.; Moon, S.-H.; Lee, J.-G.; Om, A.-S. Comparison of Antibacterial Activities of Korean Pine (Pinus densiflora) Needle Steam Distillation Extract on Escherichia coli and Staphylococcus aureus Focusing on Membrane Fluidity and Genes Involved in Membrane Lipids and Stress. Molecules 2023, 29, 165. [Google Scholar] [CrossRef]
- Jeong, S.-Y.; Choi, W.S.; Kwon, O.S.; Lee, J.S.; Son, S.Y.; Lee, C.H.; Lee, S.; Song, J.Y.; Lee, Y.J.; Lee, J.-Y. Extract of Pinus densiflora needles suppresses acute inflammation by regulating inflammatory mediators in RAW264. 7 macrophages and mice. Pharm. Biol. 2022, 60, 1148–1159. [Google Scholar] [CrossRef]
- Venkatesan, T.; Choi, Y.-W.; Lee, J.; Kim, Y.-K. Pinus densiflora needle supercritical fluid extract suppresses the expression of pro-inflammatory mediators iNOS, IL-6 and IL-1β, and activation of inflammatory STAT1 and STAT3 signaling proteins in bacterial lipopolysaccharide-challenged murine macrophages. DARU J. Pharm. Sci. 2017, 25, 18. [Google Scholar]
- Jiamboonsri, P.; Eurtivong, C.; Wanwong, S. Assessing the potential of gallic acid and methyl gallate to enhance the efficacy of β-lactam antibiotics against methicillin-resistant Staphylococcus aureus by targeting β-lactamase: In silico and in vitro studies. Antibiotics 2023, 12, 1622. [Google Scholar] [CrossRef] [PubMed]
- Liang, H.; Huang, Q.; Zou, L.; Wei, P.; Lu, J.; Zhang, Y. Methyl gallate: Review of pharmacological activity. Pharmacol. Res. 2023, 194, 106849. [Google Scholar] [CrossRef] [PubMed]
- Zuo, G.-Y.; Yang, C.-X.; Han, J.; Li, Y.-Q.; Wang, G.-C. Synergism of prenylflavonoids from Morus alba root bark against clinical MRSA isolates. Phytomedicine 2018, 39, 93–99. [Google Scholar] [CrossRef]
- Zhang, L.; Virgous, C.; Si, H. Synergistic anti-inflammatory effects and mechanisms of combined phytochemicals. J. Nutr. Biochem. 2019, 69, 19–30. [Google Scholar] [CrossRef]
- Atchan, A.P.N.; Monthe, O.C.; Tchamgoue, A.D.; Singh, Y.; Shivashankara, S.T.; Selvi, M.K.; Agbor, G.A.; Magni, P.; Piazza, S.; Manjappara, U.V. Anti-inflammatory, antioxidant activities, and phytochemical characterization of edible plants exerting synergistic effects in human gastric epithelial cells. Antioxidants 2023, 12, 591. [Google Scholar] [CrossRef]
- Boby, N.; Abbas, M.A.; Lee, E.-B.; Im, Z.-E.; Hsu, W.H.; Park, S.-C. Protective effect of Pyrus ussuriensis Maxim. extract against ethanol-induced gastritis in rats. Antioxidants 2021, 10, 439. [Google Scholar] [CrossRef]
- Abbas, M.A.; Boby, N.; Lee, E.-B.; Hong, J.-H.; Park, S.-C. Anti-obesity effects of Ecklonia cava extract in high-fat diet-induced obese rats. Antioxidants 2022, 11, 310. [Google Scholar] [CrossRef]
- Hossain, M.A.; Park, J.-Y.; Kim, J.-Y.; Suh, J.-W.; Park, S.-C. Synergistic effect and antiquorum sensing activity of Nymphaea tetragona (water lily) extract. BioMed Res. Int. 2014, 2014, 562173. [Google Scholar] [CrossRef]
- Abbas, M.A.; Lee, E.-B.; Boby, N.; Biruhanu, B.T.; Park, S.-C. A pharmacodynamic investigation to assess the synergism of orbifloxacin and propyl gallate against Escherichia coli. Front. Pharmacol. 2022, 13, 989395. [Google Scholar] [CrossRef]
- Quah, Y.; Lee, S.-J.; Lee, E.-B.; Birhanu, B.T.; Ali, M.S.; Abbas, M.A.; Boby, N.; Im, Z.-E.; Park, S.-C. Cornus officinalis ethanolic extract with potential anti-allergic, anti-inflammatory, and antioxidant activities. Nutrients 2020, 12, 3317. [Google Scholar] [CrossRef]
- Lucido, M.J.; Orlando, B.J.; Vecchio, A.J.; Malkowski, M.G. Crystal structure of aspirin-acetylated human cyclooxygenase-2: Insight into the formation of products with reversed stereochemistry. Biochemistry 2016, 55, 1226–1238. [Google Scholar] [CrossRef]
- Haraguchi, S.; Day, N.K.; Kamchaisatian, W.; Beigier-Pompadre, M.; Stenger, S.; Tangsinmankong, N.; Sleasman, J.W.; Pizzo, S.V.; Cianciolo, G.J. LMP-420, a small-molecule inhibitor of TNF-alpha, reduces replication of HIV-1 and Mycobacterium tuberculosis in human cells. AIDS Res. Ther. 2006, 3, 8. [Google Scholar] [CrossRef]
- Skarzynski, T.; Mistry, A.; Wonacott, A.; Hutchinson, S.E.; Kelly, V.A.; Duncan, K. Structure of UDP-N-acetylglucosamine enolpyruvyl transferase, an enzyme essential for the synthesis of bacterial peptidoglycan, complexed with substrate UDP-N-acetylglucosamine and the drug fosfomycin. Structure 1996, 4, 1465–1474. [Google Scholar] [CrossRef] [PubMed]
- Panchaud, P.; Bruyère, T.; Blumstein, A.-C.; Bur, D.; Chambovey, A.; Ertel, E.A.; Gude, M.; Hubschwerlen, C.; Jacob, L.; Kimmerlin, T. Discovery and optimization of isoquinoline ethyl ureas as antibacterial agents. J. Med. Chem. 2017, 60, 3755–3775. [Google Scholar] [CrossRef] [PubMed]
- Bhachoo, J.; Beuming, T. Investigating protein–peptide interactions using the Schrödinger computational suite. In Modeling Peptide-Protein Interactions: Methods and Protocols; Humana Press: Totowa, NJ, USA, 2017; pp. 235–254. [Google Scholar]
- Ali, M.S.; Sayem, S.A.J.; Habibullah; Quah, Y.; Lee, E.-B.; Birhanu, B.T.; Suk, K.; Park, S.-C. Investigation of potential antioxidant, thrombolytic and neuropharmacological activities of Homalomena aromatica leaves using experimental and in silico approaches. Molecules 2021, 26, 975. [Google Scholar] [CrossRef] [PubMed]
- Draelos, Z.D. Skin lightening preparations and the hydroquinone controversy. Dermatol. Ther. 2007, 20, 308–313. [Google Scholar] [CrossRef]
- Abdel-Lateff, A.; König, G.M.; Fisch, K.M.; Höller, U.; Jones, P.G.; Wright, A.D. New antioxidant hydroquinone derivatives from the algicolous marine fungus Acremonium sp. J. Nat. Prod. 2002, 65, 1605–1611. [Google Scholar] [CrossRef]
- Rosatella, A.A.; Simeonov, S.P.; Frade, R.F.; Afonso, C.A. 5-Hydroxymethylfurfural (HMF) as a building block platform: Biological properties, synthesis and synthetic applications. Green Chem. 2011, 13, 754–793. [Google Scholar] [CrossRef]
- Čechovská, L.; Cejpek, K.; Konečný, M.; Velíšek, J. On the role of 2, 3-dihydro-3, 5-dihydroxy-6-methyl-(4 H)-pyran-4-one in antioxidant capacity of prunes. Eur. Food Res. Technol. 2011, 233, 367–376. [Google Scholar] [CrossRef]
- Sui, L.; Dong, Y.; Watanabe, Y.; Yamaguchi, F.; Hatano, N.; Tsukamoto, I.; Izumori, K.; Tokuda, M. The inhibitory effect and possible mechanisms of D-allose on cancer cell proliferation. Int. J. Oncol. 2005, 27, 907–912. [Google Scholar] [CrossRef]
- Jadhav, V.; Kalase, V.; Patil, P. GC-MS analysis of bioactive compounds in methanolic extract of Holigarna grahamii (wight) Kurz. IJHM 2014, 35, 35–39. [Google Scholar]
- Yadav, S.A.; Ramalingam, S.; Jebamalairaj, A.; Subban, R.; Sundaram, K.M. Biochemical fingerprint and pharmacological applications of Barleria noctiflora Lf leaves. J. Complement. Integr. Med. 2016, 13, 365–376. [Google Scholar] [CrossRef] [PubMed]
- Devadas, S.M.; Nayak, U.Y.; Narayan, R.; Hande, M.H.; Ballal, M. 2, 5-Dimethyl-4-hydroxy-3 (2H)-furanone as an Anti-biofilm Agent Against Non-Candida a lbicans Candida Species. Mycopathologia 2019, 184, 403–411. [Google Scholar] [CrossRef] [PubMed]
- Halstead, F.D.; Rauf, M.; Moiemen, N.S.; Bamford, A.; Wearn, C.M.; Fraise, A.P.; Lund, P.A.; Oppenheim, B.A.; Webber, M.A. The antibacterial activity of acetic acid against biofilm-producing pathogens of relevance to burns patients. PLoS ONE 2015, 10, e0136190. [Google Scholar] [CrossRef]
- Fraise, A.; Wilkinson, M.; Bradley, C.; Oppenheim, B.; Moiemen, N. The antibacterial activity and stability of acetic acid. J. Hosp. Infect. 2013, 84, 329–331. [Google Scholar] [CrossRef] [PubMed]
- Debonne, E.; Vermeulen, A.; Bouboutiefski, N.; Ruyssen, T.; Van Bockstaele, F.; Eeckhout, M.; Devlieghere, F. Modelling and validation of the antifungal activity of DL-3-phenyllactic acid and acetic acid on bread spoilage moulds. Food Microbiol. 2020, 88, 103407. [Google Scholar] [CrossRef]
- Buttery, R.G.; Orts, W.J.; Takeoka, G.R.; Nam, Y. Volatile flavor components of rice cakes. J. Agric. Food Chem. 1999, 47, 4353–4356. [Google Scholar] [CrossRef]
- Bansal, N. A study of mercury (II)-catalysed substitution of cyanide in hexacyanoferrate (II) by 2-methylpyrazine: Effects of inhibitor on the catalysed reaction. Transit. Met. Chem. 2009, 34, 695–702. [Google Scholar] [CrossRef]
- Li, W.; Zhang, X.X.; Yu, Z.; Yu, Y.S.; Yu, Y. Determining the curing parameters of furfuryl alcohol for wood modification by nanoindentation. Eur. J. Wood Wood Prod. 2017, 75, 81–87. [Google Scholar] [CrossRef]
- de Ortiz, C.Z.; del Castillo, J. Induction of electrical excitability in crustacean muscle by 4-cyclopentene-1, 3-dione. Experientia 1978, 34, 1033–1034. [Google Scholar] [CrossRef] [PubMed]
- Mares, D. Antimicrobial activity of protoanemonin, a lactone from ranunculaceous plants. Mycopathologia 1987, 98, 133–140. [Google Scholar] [CrossRef]
- Goodwin, A.; Brown, P.; Jansen, E.; Jakobs, C.; Gibson, K.; Weerts, E. Behavioral effects and pharmacokinetics of gamma-hydroxybutyrate (GHB) precursors gamma-butyrolactone (GBL) and 1, 4-butanediol (1, 4-BD) in baboons. Psychopharmacology 2009, 204, 465–476. [Google Scholar] [CrossRef] [PubMed]
- Sartorelli, A.; Booth, B.A. The effect of 4-amino-5-imidazolecarboxamide on the synergistic antineoplastic activity of 6-chloropurine and azaserine. Experientia 1965, 21, 457–458. [Google Scholar] [CrossRef]
- Müller-Wirtz, L.M.; Kiefer, D.; Maurer, F.; Floss, M.A.; Doneit, J.; Hüppe, T.; Shopova, T.; Wolf, B.; Sessler, D.I.; Volk, T. Volutrauma Increases Exhaled Pentanal in Rats: A Potential Breath Biomarker for Ventilator-Induced Lung Injury. Anesth. Analg. 2021, 133, 263–273. [Google Scholar] [CrossRef]
- Zaitseva, N.; Ulanova, T.; Dolgikh, O.; Nurislamova, T.; Mal’tseva, O. Diagnostics of early changes in the immune system due to low concentration of N-nitrosamines in the Blood. Bull. Exp. Biol. Med. 2018, 164, 334–338. [Google Scholar] [CrossRef]
- Xue, C.-H.; Bai, X.; Jia, S.-T. Robust, self-healing superhydrophobic fabrics prepared by one-step coating of PDMS and octadecylamine. Sci. Rep. 2016, 6, 27262. [Google Scholar] [CrossRef]
- Yuan, Y.; Tian, J.-M.; Xiao, J.; Shao, Q.; Gao, J.-M. Bioactive metabolites isolated from Penicillium sp. YY-20, the endophytic fungus from Ginkgo biloba. Nat. Prod. Res. 2014, 28, 278–281. [Google Scholar] [CrossRef]
- Alexander, A.; Trim, A. The biological activity of phenolic compounds. The effect of surface active substances upon the penetration of hexyl resorcinol into Ascaris lumbricoides var. suis. Proc. R. Soc. London Ser. B-Biol. Sci. 1946, 133, 220–234. [Google Scholar]
- Johnson, T.B.; Lane, F.W. The preparation of some alkyl derivatives of resorcinol and the relation of their structure to antiseptic properties. J. Am. Chem. Soc. 1921, 43, 348–360. [Google Scholar] [CrossRef]
- Takao, T.; Kitatani, F.; Watanabe, N.; Yagi, A.; Sakata, K. A simple screening method for antioxidants and isolation of several antioxidants produced by marine bacteria from fish and shellfish. Biosci. Biotechnol. Biochem. 1994, 58, 1780–1783. [Google Scholar] [CrossRef]
- Sui, L.; Nomura, R.; Dong, Y.; Yamaguchi, F.; Izumori, K.; Tokuda, M. Cryoprotective effects of D-allose on mammalian cells. Cryobiology 2007, 55, 87–92. [Google Scholar] [CrossRef] [PubMed]
- Åkerman, B.; Haegerstam, G.; Pring, B.G.; Sandberg, R. Penetration enhancers and other factors governing percutaneous local anaesthesia with lidocaine. Acta Pharmacol. Et Toxicol. 1979, 45, 58–65. [Google Scholar] [CrossRef]
- Bai, G.; Chen, L.; Li, Y.; Yan, X.; He, F.; Xing, P.; Zeng, T. Selective synthesis of cis-2, 6-dimethylpiperazine catalyzed by a Cu-Cr-Fe/γ-Al2O3 catalyst. Appl. Catal. A Gen. 2004, 277, 253–258. [Google Scholar] [CrossRef]
- Yerdelen, K.O.; Koca, M.; Kasap, Z.; Anil, B. Preparation, anticholinesterase activity, and docking study of new 2-butenediamide and oxalamide derivatives. J. Enzym. Inhib. Med. Chem. 2015, 30, 671–678. [Google Scholar] [CrossRef]
- Shareef, H.K.; Muhammed, H.J.; Hussein, H.M.; Hameed, I.H. Antibacterial effect of ginger (Zingiber officinale) roscoe and bioactive chemical analysis using gas chromatography mass spectrum. Orient. J. Chem. 2016, 32, 20–40. [Google Scholar] [CrossRef]
- Malik, M.S.; Sangwan, N.K.; Verma, K.; Malik, O.; Kumari, B.; Kathpal, T. Toxicity in relation to structure of substituted 2H-1-benzopyran-2-ones against root-knot and seed-gall nematodes. Nematologica 1995, 41, 125–129. [Google Scholar] [CrossRef]
- Beaussier, M.; Delbos, A.; Maurice-Szamburski, A.; Ecoffey, C.; Mercadal, L. Perioperative use of intravenous lidocaine. Drugs 2018, 78, 1229–1246. [Google Scholar] [CrossRef]
- Mao, J.; Chen, L.L. Systemic lidocaine for neuropathic pain relief. Pain 2000, 87, 7–17. [Google Scholar] [CrossRef]
- Shaaban, M.T.; Ghaly, M.F.; Fahmi, S.M. Antibacterial activities of hexadecanoic acid methyl ester and green-synthesized silver nanoparticles against multidrug-resistant bacteria. J. Basic Microbiol. 2021, 61, 557–568. [Google Scholar] [CrossRef] [PubMed]
- Gnonlonfin, G.B.; Sanni, A.; Brimer, L. Review scopoletin—A coumarin phytoalexin with medicinal properties. Crit. Rev. Plant Sci. 2012, 31, 47–56. [Google Scholar] [CrossRef]
- Ding, Z.; Dai, Y.; Hao, H.; Pan, R.; Yao, X.; Wang, Z. Anti-inflammatory effects of scopoletin and underlying mechanisms. Pharm. Biol. 2008, 46, 854–860. [Google Scholar] [CrossRef]
- Bansal, A.; Dubey, R.; Khar, R. Quantitation of activity of alkyl ester prodrugs of ibuprofen. Drug Dev. Ind. Pharm. 1994, 20, 2025–2034. [Google Scholar] [CrossRef]
- Buitelaar, R.; Bucke, C.; Tramper, J.; Wijffels, R. Immobilized Cells: Basics and Applications; Elsevier: Amsterdam, The Netherlands, 1996. [Google Scholar]
- Kim, B.-R.; Kim, H.M.; Jin, C.H.; Kang, S.-Y.; Kim, J.-B.; Jeon, Y.G.; Park, K.Y.; Lee, I.-S.; Han, A.-R. Composition and antioxidant activities of volatile organic compounds in radiation-bred Coreopsis cultivars. Plants 2020, 9, 717. [Google Scholar] [CrossRef]
- Park, Y. Conjugated linoleic acid (CLA): Good or bad trans fat? J. Food Compos. Anal. 2009, 22, S4–S12. [Google Scholar] [CrossRef]
- Prabhu, Y.A.; Kumar, P.K.; Shanmughavel Piramanayagam, M.V.; Sarathy, S.K. Molecular docking analysis of CDK-1 inhibitors from Chrysophyllum cainito leaves. Bioinformation 2021, 17, 550–556. [Google Scholar] [CrossRef]
- Peng, W.; Li, D.; Zhang, M.; Ge, S.; Mo, B.; Li, S.; Ohkoshi, M. Characteristics of antibacterial molecular activities in poplar wood extractives. Saudi J. Biol. Sci. 2017, 24, 399–404. [Google Scholar] [CrossRef]
- Yu, F.; Yu, F.; McGuire, P.; Li, R.; Wang, R. Effects of Hydrocotyle sibthorpioides extract on transplanted tumors and immune function in mice. Phytomedicine 2007, 14, 166–171. [Google Scholar] [CrossRef]
- El-naggar, H.A.; Hasaballah, A.I. Acute larvicidal toxicity and repellency effect of octopus cyanea crude extracts against the filariasis vector, culex pipiens. J. Egypt. Soc. Parasitol. 2018, 48, 721–728. [Google Scholar] [CrossRef]
- Özogul, İ.; Kuley, E.; Ucar, Y.; Yazgan, H.; Özogul, Y. Inhibitory impacts of Spirulina platensis and Chlorella vulgaris extracts on biogenic amine accumulation in sardine fillets. Food Biosci. 2021, 41, 101087. [Google Scholar] [CrossRef]
- Zinn, M.-K.; Bockmühl, D. Did granny know best? Evaluating the antibacterial, antifungal and antiviral efficacy of acetic acid for home care procedures. BMC Microbiol. 2020, 20, 265. [Google Scholar] [CrossRef]
- Srivastava, R.P.; Kumar, S.; Singh, L.; Madhukar, M.; Singh, N.; Saxena, G.; Pandey, S.; Singh, A.; Devkota, H.P.; Verma, P.C. Major phenolic compounds, antioxidant, antimicrobial, and cytotoxic activities of Selinum carvifolia (L.) collected from different altitudes in India. Front. Nutr. 2023, 10, 1180225. [Google Scholar] [CrossRef] [PubMed]
- Toi, K.; Bynum, E.; Norris, E.; Itano, H.A. Studies on the Chemical Modification of Arginine: I. The reaction of 1, 2-cyclohexanedione with arginine and arginyl residues of proteins. J. Biol. Chem. 1967, 242, 1036–1043. [Google Scholar] [CrossRef]
- Fujisawa, S.; Ishihara, M.; Murakami, Y.; Atsumi, T.; Kadoma, Y.; Yokoe, I. Predicting the biological activities of 2-methoxyphenol antioxidants: Effects of dimers. In Vivo 2007, 21, 181–188. [Google Scholar] [PubMed]
- Bako, B.; Etim, E.E.; Shinggu, J.P.; Samuel, H.S.; Moses, L.J. Computational insights of 1-Guanidinosuccinimide and Benzene-ethanamine, 2, 5-difluoro-β-3, 4-trihydroxy-n-methyl with MDM2 as Potential Anticancer Agent. 2023. Available online: https://papers.ssrn.com/sol3/papers.cfm?abstract_id=4649989 (accessed on 8 January 2025).
- Chen, Z.; Liu, Q.; Zhao, Z.; Bai, B.; Sun, Z.; Cai, L.; Fu, Y.; Ma, Y.; Wang, Q.; Xi, G. Effect of hydroxyl on antioxidant properties of 2, 3-dihydro-3, 5-dihydroxy-6-methyl-4 H-pyran-4-one to scavenge free radicals. RSC Adv. 2021, 11, 34456–34461. [Google Scholar] [CrossRef] [PubMed]
- Giner, R.M.; Ríos, J.L.; Máñez, S. Antioxidant activity of natural hydroquinones. Antioxidants 2022, 11, 343. [Google Scholar] [CrossRef]
- NIST. NIST Chemistry WebBook, SRD 69. Available online: https://webbook.nist.gov/cgi/inchi?ID=C1941124&Mask=2000 (accessed on 8 January 2025).
- Garg, P.; Awasthi, S.; Horne, D.; Salgia, R.; Singhal, S.S. The innate effects of plant secondary metabolites in preclusion of gynecologic cancers: Inflammatory response and therapeutic action. Biochim. Et Biophys. Acta (BBA)-Rev. Cancer 2023, 1878, 188929. [Google Scholar] [CrossRef]
- Satpute, M.S.; Gangan, V.D.; Shastri, I. Synthesis and antibacterial activity of novel 3-hydroxy benzoic acid hybrid derivative [Part I]. Int. J. Sci. Res. Sci. Technol. 2018, 4, 369–374. [Google Scholar] [CrossRef]
- Gao, T.; Zhang, Y.; Shi, J.; Mohamed, S.R.; Xu, J.; Liu, X. The antioxidant guaiacol exerts fungicidal activity against fungal growth and deoxynivalenol production in Fusarium graminearum. Front. Microbiol. 2021, 12, 762844. [Google Scholar] [CrossRef]
- Li, N.; Su, J.; Wang, H.; Cavaco-Paulo, A. Production of antimicrobial powders of guaiacol oligomers by a laccase-catalyzed synthesis reaction. Process Biochem. 2021, 111, 213–220. [Google Scholar] [CrossRef]
- Tomić, A.; Šovljanski, O.; Nikolić, V.; Pezo, L.; Aćimović, M.; Cvetković, M.; Stanojev, J.; Kuzmanović, N.; Markov, S. Screening of antifungal activity of essential oils in controlling biocontamination of historical papers in archives. Antibiotics 2023, 12, 103. [Google Scholar] [CrossRef] [PubMed]
- Shi, F.; Hai, X.; Zhu, Y.; Ma, L.; Wang, L.; Yin, J.; Li, X.; Yang, Z.; Yuan, M.; Xiong, H. Ultrasonic assisted extraction of polyphenols from bayberry by deep eutectic supramolecular polymer and its application in bio-active film. Ultrason. Sonochem. 2023, 92, 106283. [Google Scholar] [CrossRef] [PubMed]
- Widiyarti, G.; Abbas, J.; Anita, Y. Biotransformation and cytotoxic activity of guaiacol dimer. Indones. J. Chem. 2014, 14, 179–184. [Google Scholar] [CrossRef]
- Addie, D.D. Phenols and Related Compounds as Antiseptics and Disinfectants for Use with Animals. Available online: https://www.merckvetmanual.com/pharmacology/antiseptics-and-disinfectants/phenols-and-related-compounds-as-antiseptics-and-disinfectants-for-use-with-animals (accessed on 8 January 2025).
- Kouakou, K.; Panda, S.K.; Yang, M.-R.; Lu, J.-G.; Jiang, Z.-H.; Van Puyvelde, L.; Luyten, W. Isolation of antimicrobial compounds from Cnestis ferruginea Vahl ex. DC (Connaraceae) leaves through bioassay-guided fractionation. Front. Microbiol. 2019, 10, 705. [Google Scholar] [CrossRef]
- Pathoor, N.N.; Ganesh, P.S.; Anshad, A.R.; Gopal, R.K.; Ponmalar, E.M.; Suvaithenamudhan, S.; Rudrapathy, P.; Shankar, E.M. 3-Hydroxybenzoic acid inhibits the virulence attributes and disrupts biofilm production in clinical isolates of A cinetobacter baumannii. Eur. J. Clin. Microbiol. Infect. Dis. 2024, 44, 653–669. [Google Scholar] [CrossRef]
- Lima, L.G.B.; Montenegro, J.; Abreu, J.P.d.; Santos, M.C.B.; Nascimento, T.P.d.; Santos, M.d.S.; Ferreira, A.G.; Cameron, L.C.; Ferreira, M.S.L.; Teodoro, A.J. Metabolite profiling by UPLC-MSE, NMR, and antioxidant properties of Amazonian fruits: Mamey Apple (Mammea americana), Camapu (Physalis angulata), and Uxi (Endopleura uchi). Molecules 2020, 25, 342. [Google Scholar] [CrossRef]
- Ryssel, H.; Kloeters, O.; Germann, G.; Schäfer, T.; Wiedemann, G.; Oehlbauer, M. The antimicrobial effect of acetic acid—An alternative to common local antiseptics? Burns 2009, 35, 695–700. [Google Scholar] [CrossRef]
- Kim, J.-S.; Chung, H.-Y. Profiling of volatile components using gas chromatography-mass spectrometry in commercial pine needle (Pinus densiflora S. and Z.) powder. Prev. Nutr. Food Sci. 2011, 16, 45–54. [Google Scholar] [CrossRef]
- Sánchez-Moya, T.; López-Nicolás, R.; Peso-Echarri, P.; González-Bermúdez, C.A.; Frontela-Saseta, C. Effect of pine bark extract and its phenolic compounds on selected pathogenic and probiotic bacterial strains. Front. Nutr. 2024, 11, 1381125. [Google Scholar] [CrossRef]
- Flores-Maldonado, O.; Lezcano-Domínguez, C.I.; Dávila-Aviña, J.; González, G.M.; Ríos-López, A.L. Methyl gallate attenuates virulence and decreases antibiotic resistance in extensively drug-resistant Pseudomonas aeruginosa. Microb. Pathog. 2024, 194, 106830. [Google Scholar] [CrossRef]















| Sr. No. | Combination Ratio | Title |
|---|---|---|
| 1 | 1:1:0.1 | C 1 |
| 2 | 0.5:1.5:0.1 | C 2 |
| 3 | 1.5:0.5:0.1 | C 3 |
| 4 | 2:0:0.1 | C 4 |
| 5 | 0:2:0.1 | C 5 |
| Hours | 0 | 1 | 2 | 3 | 4 |
|---|---|---|---|---|---|
| Morus (mg/mL) | 200 | 300 | 400 | 400 | 500 |
| Pinus (mg/mL) | 100 | 300 | 300 | 400 | 450 |
| Compounds | Retention Time | Area (%) | Functions | Formula (Pub Cham) | References | |
|---|---|---|---|---|---|---|
| 1 | Acetic acid | 5.441 | 2.69 | Antibacterial, Antifungal | C2H4O2/ CH3COOH | [37,38,39] |
| 2 | 1-Hydroxy-2-propanone | 6.360 | 1.14 | Antibacterial activity, Flavoring agent | C3H6O2 | [39,40] |
| 3 | Methyl-Pyrazine | 9.686 | 0.36 | Food additives and Inhibitor on the catalyzed reaction | C5H6N2 | [41] |
| 4 | 2-Furanmethanol 3-Furanmethanol | 10.363 | 0.90 | Wood furfurylation, Kinetic features | C5H6O2 | [42] |
| 5 | 4-Cyclopentene-1,3-dione | 11.276 | 0.31 | Induces electrical activity in inexcitable crustacean muscle | C5H4O2 | [43] |
| 6 | Protoanemonine | 11.276 | 0.31 | Antifungal agent | C5H4O2 | [44] |
| 7 | Butyrolactone | 12.155 | 0.77 | Behavioral effects in baboons | C4H6O2 | [45] |
| 8 | 4H-Pyran-4-one,2,3-dihydro-3,5-dihydroxy-6-methyl- | 14.317 | 0.97 | Antioxidant activity | C6H8O4 | [32] |
| 9 | Furaneol | 16.470 | 0.58 | Anti-biofilm agent | C6H8O3 | [36] |
| 10 | 5-amino-1H-Imidazole-4-carboxamide | 17.109 | 0.76 | Synergistic antineoplastic activity | C4H7N4O | [46] |
| 11 | Pentanal | 18.003 | 0.08 | A potential biomarker for early detection of ventilator-induced lung injury in rats. | C5H10O or CH3(CH2)3CHO | [47] |
| 12 | Ethanamine, N-ethyl-N-nitroso | 19.059 | 0.73 | Increase the level of specific serum IgG (use very low quantity because of toxic effects) | C4H10N2O | [48] |
| 13 | Butanal, dimethylhydrazine | 20.843 | 0.84 | Widely used to fabricate self-healing super-hydrophobic surfaces. | C6H14N2 | [49] |
| 14 | 3-methyl-2,5-Piperazinedione | 21.530 | 0.82 | Antioxidant activity | C5H8N2O2 | [50] |
| 15 | 1, 4:3, 6-Dianhydro-. Alpha. -d-glucopyranose | 21.634 | 0.76 | Antioxidant activity, Antihistamine activity | C6H8O4 | [35] |
| 16 | 5-hydroxymethylfurfural | 21.780 | 10.27 | Reported to be a promising candidate for therapy of sickle cell disease. | C6H6O3 | [31] |
| 17 | Hydroquinone | 23.048 | 0.38 | Dermatology uses (Skin pigment-lightening agent), Antioxidant | C6H6O2 or C6H4(OH)2 | [29,30] |
| 18 | Resorcinol 1,3-Benzenediol | 23.310 | 10.47 | Anthelmintic, Antiseptic | C6H6O2 | [51,52] |
| 19 | Phenol, 3,4-dimethoxy- | 27.226 | 0.44 | Antioxidant activity | C8H10O3 | [53] |
| 20 | 1,6-anhydro-beta-D-Glucopyranose | 29.540 | 13.54 | Important industrial material, helps to produce some chemicals | C6H10O5 | [34] |
| 21 | D-Allose | 29.540 | 13.54 | Anticancer activity Cryo-protective effects | C6H12O6 | [33,54] |
| 22 | N-Methoxymethyl-N-methylacetamide | 32.076 | 3.17 | Enhances the anesthetic effects | C5H11NO2 | [55] |
| 23 | 2,6-dimethyl-Piperazine | 32.16 | 3.33 | It is a key intermediate for the synthesis of sparfloxacin, which is an excellent fluoroquinolone-e antimicrobial agent. | C6H14N2 | [56] |
| 24 | (Z)-2-Butenediamide | 32.430 | 0.22 | Anticholinesterase activity, Chelator agents | C4H6N2O2 | [57] |
| 25 | 4-((1E)-3-Hydroxy-1-propenyl)-2-methoxyphenol | 34.911 | 0.46 | -Antioxidant, Antimicrobial, Anti-inflammatory | C10H12O3 | [58] |
| 26 | 7-hydroxy-2H-1-Benzopyran-2-one 7-Hydroxycoumarin | 37.319 | 2.43 | Anti-parasitic activity | C9H6O3 | [59] |
| 27 | Lidocaine | 38.188 | 0.34 | Local anesthetic, Neuropathic pain relief properties | C14H22N2O | [60,61] |
| 28 | N-Hexadecanoic acid | 39.242 | 3.45 | Anti-inflammatory, Antibacterial | C16H32O2 | [61,62] |
| 29 | Scopoletin | 39.638 | 3.23 | Antibacterial activity, Antifungal activity, Anti-inflammatory activity | C10H8O4 | [63,64] |
| 30 | Ibuprofen, octadecyl ester | 40.137 | 0.30 | Anti-inflammatory and analgesic activity | C31H54O2 | [65] |
| 31 | Morpholine, TMS derivative | 41.110 | 0.63 | Antioxidants, drug manufacturing, herbicides | C7H17NOSi | [66] |
| 32 | (Z, Z)-9,12-octadecadienoic acid | 42.531 | 0.77 | Antioxidant activity | C18H32O2 | [67] |
| 33 | Linoelaidic acid | 42.531 | 0.77 | Anticancer activity, anti-obesity activity, decreased risk of CVD, anti-inflammatory | C18H32O2 | [68] |
| 34 | 1,4-Benzenediol, 2,5-bis(1,1-dimethylethyl)- | 42.638 | 0.33 | Anti-CDK1 inhibitory | C14H22O2 | [69] |
| 35 | 2-Ethylacridine | 47.375 | 0.27 | Founded in plants that have antibacterial and anti-tumor properties | C15H13N | [70,71] |
| 36 | 2-Methyl-5H-dibenz [b, f] azepine | 47.466 | 0.47 | Larvicidal and repellent activities, Preventing the production of ammonia. | C15H13N | [72,73] |
| Compounds | Retention Time | Area (%) | Functions | Formula (Pub Cham) | References | |
|---|---|---|---|---|---|---|
| 1 | Acetic acid | 5.425 | 0.78 | Antibacterial, Antifungal | CH3COOH | [74] |
| 2 | Phenol | 14.316 | 0.21 | Antiseptic, Antibacterial, Antifungal | C6H5OH | [75] |
| 3 | 1,2-Cyclohexanedione | 15.033 | 1.43 | Reacts with arginine residues in proteins | C6H8O2 | [76] |
| 4 | Phenol, 2-methoxy- | 17.749 | 0.2 | Antioxidant, Antibacterial, Antifungal | C10H12O2 | [77] |
| 5 | 1-Guanidinosuccinimide | 18.007 | 0.25 | Potential anticancer activity | C5H7N3O2 | [78] |
| 6 | 4H-Pyran-4-one, 2,3-dihydro-3,5-dihydroxy-6-methyl- | 19.516 | 0.69 | Antioxidant | C6H8O4 | [79] |
| 7 | Hydroquinone | 24.144 | 0.11 | Antioxidant, Anti-inflammatory | C6H6O2 | [80] |
| 8 | Phenol, 2-methoxy-3-(2-propenyl)- | 28.07 | 0.69 | Antimicrobial | C10H12O2 | [81] |
| 9 | Benzoic acid, 3-hydroxy- | 29.622 | 1.28 | Antimicrobial, Anti-inflammatory, Antioxidant | C7H6O3 | [82,83] |
| 10 | Guaiacol | 29.882 | 0.19 | Antioxidant, Antibacterial, Antifungal | C7H8O2 | [84] |
| 11 | Guaiacol, 4-butyl- | 32.667 | 0.66 | Antioxidant, Antimicrobial | C11H16O2 | [85] |
| Compounds No. | Morus alba Compound | MW (g/mol) < 500 | HBA < 10 | HBD < 5 | Log P < 5 | Lipinski violations < 1 | nRB < 10 | TPSA < 140 | PAINS Alerts | Ames Toxicity | hERG I and II | Hepatotoxicity | Rat Toxicity (LD50, mol/kg) | Human Intestinal Absorption (%) | GI Absorption | Bioavailability Score |
| 1 | Resorcinol | 110.11 | 2 | 2 | 0.96 | 0 | 0 | 40.46 | 0 | NAT | NO | NO | 2.14 | 86.856 | High | 0.55 |
| 2 | Hydroquinone | 110.11 | 2 | 2 | 0.92 | 0 | 0 | 40.46 | 0 | NAT | NO | NO | 2.008 | 86.856 | High | 0.55 |
| 3 | 5-hydroxymethylfurfural | 126.11 | 3 | 1 | 0.91 | 0 | 2 | 50.44 | 0 | NAT | NO | NO | 2.283 | 95.848 | High | 0.55 |
| 4 | Furfural | 96.08 | 2 | 0 | 1.03 | 0 | 1 | 30.21 | 0 | AT | NO | NO | 2.429 | 100 | High | 0.55 |
| 5 | 4H-pyran-4-one | 96.08 | 2 | 0 | 1.31 | 0 | 0 | 30.21 | 0 | NAT | NO | NO | 2.368 | 99.374 | High | 0.55 |
| 6 | D-allose | 180.16 | 6 | 5 | −0.7 | 0 | 1 | 110.38 | 0 | NAT | NO | NO | 1.214 | 21.51 | Low | 0.55 |
| 7 | Palmitic acid | 256.42 | 2 | 1 | 3.85 | 1 | 14 | 37.3 | 0 | NAT | NO | NO | 1.44 | 92.004 | High | 0.85 |
| 8 | Scopoletin | 192.17 | 4 | 1 | 1.86 | 0 | 1 | 59.67 | 0 | NAT | NO | NO | 1.95 | 95.277 | High | 0.55 |
| 9 | Furaneol | 128.13 | 3 | 1 | 1.52 | 0 | 0 | 46.53 | 0 | NAT | NO | NO | 2.045 | 96.011 | High | 0.85 |
| 10 | 4-methoxy-5H-furan-2-one | 114.1 | 3 | 0 | 1.36 | 0 | 1 | 35.53 | 0 | NAT | NO | NO | 2.095 | 100 | High | 0.85 |
| Compounds No. | Pinus Compound | MW (g/mol) < 500 | HBA < 10 | HBD < 5 | Log P < 5 | Lipinski violations < 1 | nRB < 10 | TPSA < 140 | PAINS Alerts | Ames Toxicity | hERG I and II | Hepatotoxicity | Rat Toxicity (LD50, mol/kg) | Human Intestinal Absorption (%) | GI Absorption | Bioavailability Score |
| 1 | Guaiacol | 124.14 | 2 | 1 | 1.76 | 0 | 1 | 29.46 | 0 | NAT | NO | NO | 2.117 | 93.374 | High | 0.55 |
| 2 | Phenol | 94.11 | 1 | 1 | 1.24 | 0 | 0 | 20.23 | 0 | NAT | NO | NO | 2.008 | 93.055 | High | 0.55 |
| 3 | Hydroquinone | 110.11 | 2 | 2 | 0.92 | 0 | 0 | 40.46 | 0 | NAT | NO | NO | 2.153 | 86.856 | High | 0.55 |
| 4 | Acetic acid | 60.05 | 2 | 1 | 0.63 | 0 | 0 | 37.3 | 0 | NAT | NO | NO | 1.774 | 95.463 | High | 0.85 |
| 5 | Palmitic acid | 256.42 | 2 | 1 | 3.85 | 1 | 14 | 37.3 | 0 | NAT | NO | NO | 1.44 | 92.004 | High | 0.85 |
| 6 | methyl linoleate | 294.47 | 2 | 0 | 3.85 | 1 | 15 | 26.3 | 0 | NAT | NO | NO | 1.617 | 92.66 | High | 0.85 |
| 7 | Phytol | 296.53 | 1 | 1 | 4.85 | 1 | 13 | 20.23 | 0 | NAT | NO | NO | 1.848 | 90.643 | High | 0.55 |
| 8 | Benzyl alcohol | 108.14 | 1 | 1 | 1.66 | 0 | 1 | 20.23 | 0 | NAT | NO | NO | 1.994 | 89.834 | High | 0.55 |
| 9 | n-hexadecane | 226.44 | 0 | 0 | 4.67 | 1 | 13 | 0 | 0 | NAT | NO | NO | 1.521 | 91.046 | High | 0.55 |
| 10 | Siloxanes | 102.21 | 1 | 0 | 1.9 | 0 | 0 | 9.23 | 0 | NAT | NO | NO | 2.14 | 100 | High | 0.55 |
| Target Protein | PDB ID | Ligand | Binding Score (kcal/mol) |
|---|---|---|---|
| COX-2 | 5F19 | Scopoletin | −5.889 |
| Resorcinol | −5.840 | ||
| Guaiacol | −5.429 | ||
| TNF-α | 2AZ5 | Scopoletin | −5.969 |
| Furaneol | −4.689 | ||
| MurA | 1UAE | Furfural | −5.266 |
| Furaneol | −5.098 | ||
| Benzyl alcohol | −4.721 | ||
| DNA Gyrase | 5MMN | Guaiacol | −5.171 |
| Scopoletin | −4.798 |
Disclaimer/Publisher’s Note: The statements, opinions and data contained in all publications are solely those of the individual author(s) and contributor(s) and not of MDPI and/or the editor(s). MDPI and/or the editor(s) disclaim responsibility for any injury to people or property resulting from any ideas, methods, instructions or products referred to in the content. |
© 2025 by the authors. Licensee MDPI, Basel, Switzerland. This article is an open access article distributed under the terms and conditions of the Creative Commons Attribution (CC BY) license (https://creativecommons.org/licenses/by/4.0/).
Share and Cite
Abbas, M.A.; Lee, G.-Y.; Sayem, S.A.J.; Lee, S.-J.; Park, S.-C. Integrated Phytochemical Profiling, GC-MS Characterization, and In Silico, In Vitro Evaluation of Synergistic Antimicrobial, Antioxidant, and Anti-Inflammatory Activities of Morus alba Bark and Pinus densiflora Extracts with Methyl Gallate. Antioxidants 2025, 14, 1114. https://doi.org/10.3390/antiox14091114
Abbas MA, Lee G-Y, Sayem SAJ, Lee S-J, Park S-C. Integrated Phytochemical Profiling, GC-MS Characterization, and In Silico, In Vitro Evaluation of Synergistic Antimicrobial, Antioxidant, and Anti-Inflammatory Activities of Morus alba Bark and Pinus densiflora Extracts with Methyl Gallate. Antioxidants. 2025; 14(9):1114. https://doi.org/10.3390/antiox14091114
Chicago/Turabian StyleAbbas, Muhammad Aleem, Ga-Yeong Lee, Syed Al Jawad Sayem, Seung-Jin Lee, and Seung-Chun Park. 2025. "Integrated Phytochemical Profiling, GC-MS Characterization, and In Silico, In Vitro Evaluation of Synergistic Antimicrobial, Antioxidant, and Anti-Inflammatory Activities of Morus alba Bark and Pinus densiflora Extracts with Methyl Gallate" Antioxidants 14, no. 9: 1114. https://doi.org/10.3390/antiox14091114
APA StyleAbbas, M. A., Lee, G.-Y., Sayem, S. A. J., Lee, S.-J., & Park, S.-C. (2025). Integrated Phytochemical Profiling, GC-MS Characterization, and In Silico, In Vitro Evaluation of Synergistic Antimicrobial, Antioxidant, and Anti-Inflammatory Activities of Morus alba Bark and Pinus densiflora Extracts with Methyl Gallate. Antioxidants, 14(9), 1114. https://doi.org/10.3390/antiox14091114

