Spermidine Revives Aged Sorghum Seed Germination by Boosting Antioxidant Defense
Abstract
1. Introduction
2. Materials and Methods
2.1. Experimental Design
2.2. Antioxidant Enzyme Activity and Malondialdehyde Content (MDA)
2.3. ROS Content
2.4. RNA Extraction
2.5. Transcriptome Analysis
2.6. Metabolome Analysis
2.7. Proteome Analysis
2.8. Statistical Analyses
3. Results
3.1. Effect of Exogenous Spd Treatment on Germination Ability of Aged Sorghum Seeds
3.2. Effect of Exogenous Spd Treatment on ROS Content and Enzyme Activities in Aged Sorghum Seeds
3.3. Transcriptome Analysis of Aged Sorghum Seeds in Exogenous Spd
3.4. Proteome Analysis of Aged Sorghum Seeds Treated with Spd
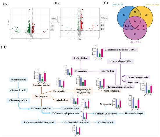
3.5. Metabolomic Response of Aged Sorghum Seeds with Spd
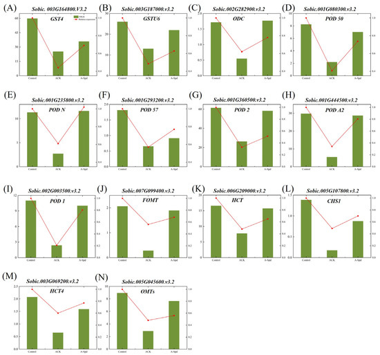
3.6. Exogenous Spd Treatment Increased the Relative Expression of Antioxidant Genes in Aging Sorghum Seeds
3.7. Multi-Omics Analysis of Antioxidant Metabolism in Aged Sorghum Seeds Treated with Exogenous Spd
4. Discussion
4.1. Aging-Induced Reduction in Sorghum Seed Vigor and Inhibition of Seed Germination
4.2. Exogenous Spd-Mediated Enhancement of Seed Vigor and Antioxidant Defense in Aged Sorghum Seeds
4.3. Spd-Induced Transcriptome Alterations and Its Role in Antioxidant Metabolic Pathways
4.4. Contribution of Proteomic Changes Induced by Spd to Enhanced Antioxidative Metabolism
4.5. Metabolomic Adjustments Induced by Spd Contribute to Enhanced Antioxidative Metabolism
4.6. Integrating Multiple Omics to Elucidate the Role of Spd in Improving Antioxidative Metabolism of Aged Sorghum Seeds
5. Conclusions
Supplementary Materials
Author Contributions
Funding
Institutional Review Board Statement
Informed Consent Statement
Data Availability Statement
Acknowledgments
Conflicts of Interest
References
- Habyarimana, E.; Gorthy, S.; Baloch, F.S.; Ercisli, S.; Chung, G.J.S.R. Whole-genome resequencing of Sorghum bicolor and S bicolor × S halepense lines provides new insights for improving plant agroecological characteristics. Sci. Rep. 2022, 12, 5556. [Google Scholar] [CrossRef]
- Khalifa, M.; Eltahir, E.A.B. Assessment of global sorghum production, tolerance, and climate risk. Front. Sustain. Food Syst. 2023, 7, 1184373. [Google Scholar] [CrossRef]
- Murthy, U.M.N.; Kumar, P.P.; Sun, W.Q. Mechanisms of seed ageing under different storage conditions for Vigna radiata (L.) Wilczek: Lipid peroxidation, sugar hydrolysis, Maillard reactions and their relationship to glass state transition. J. Exp. Bot. 2003, 54, 1057–1067. [Google Scholar] [CrossRef] [PubMed]
- Rajjou, L.; Duval, M.; Gallardo, K.; Catusse, J.; Job, D. Seed Germination and Vigor. Annu. Rev. Plant Biol. 2012, 63, 507–533. [Google Scholar] [CrossRef] [PubMed]
- Archana, H.R.; Yadav, S.; Yadav, S.; Saini, N.; Dahuja, A.; Vasudev, S.; Choudhary, R.; Yadava, D.K. Seed longevity and vigour studies in different types of Indian mustard. Indian J. Agric. Sci. 2021, 91, 718–722. [Google Scholar]
- Su, X.; Xin, L.; Li, Z.; Zheng, H.; Mao, J.; Yang, Q. Physiology and transcriptome analyses reveal a protective effect of the radical scavenger melatonin in aging maize seeds. Free Radic. Res. 2018, 52, 1094–1109. [Google Scholar] [CrossRef]
- Ye, T.; Ma, T.; Chen, Y.; Liu, C.; Jiao, Z.; Wang, X.; Xue, H. The role of redox-active small molecules and oxidative protein post-translational modifications in seed aging. Plant Physiol. Biochem. 2024, 213, 108810. [Google Scholar] [CrossRef]
- Chunli, M.; Yanqiao, Z.; Hang, C.; Huifang, Y.; Liyuan, Z.; Jia, T.; Xiqing, M.; Peisheng, M. Nitric Oxide Regulates Seedling Growth and Mitochondrial Responses in Aged Oat Seeds. Int. J. Mol. Sci. 2018, 19, 1052. [Google Scholar] [CrossRef]
- Yan, H.; Mao, P. Comparative Time-Course Physiological Responses and Proteomic Analysis of Melatonin Priming on Promoting Germination in Aged Oat (Avena sativa L.) Seeds. Int. J. Mol. Sci. 2021, 22, 811. [Google Scholar] [CrossRef]
- Kusano, T.; Yamaguchi, K.; Berberich, T.; Takahashi, Y. Advances in polyamine research in 2007. J. Plant. Res. 2007, 120, 345–350. [Google Scholar] [CrossRef]
- Hu, Q.J.; Chen, M.X.; Song, J.H. Spermidine enhanced the antioxidant capacity of rice seeds during seed aging. Plant Growth Regul. 2020, 91, 397–406. [Google Scholar] [CrossRef]
- Pottosin, I.; Velarde-Buendía, A.M.; Bose, J.; Zepeda-Jazo, I.; Shabala, S.; Dobrovinskaya, O. Cross-talk between reactive oxygen species and polyamines in regulation of ion transport across the plasma membrane: Implications for plant adaptive responses. J. Exp. Bot. 2014, 65, 1271–1283. [Google Scholar] [CrossRef] [PubMed]
- Igarashi, K.; Kashiwagi, K. Modulation of protein synthesis by polyamines. Iubmb Life 2015, 67, 160–169. [Google Scholar] [CrossRef] [PubMed]
- Jiménez-Bremont, J.F.; Chávez-Martínez, A.I.; Ortega-Amaro, M.A.; Guerrero-González, M.L.; Jasso-Robles, F.I.; Maruri-López, I.; Liu, J.-H.; Gill, S.S.; Rodríguez-Kessler, M. Translational and post-translational regulation of polyamine metabolic enzymes in plants. J. Biotechnol. 2022, 344, 1–10. [Google Scholar] [CrossRef]
- Huang, Y.; Lin, C.; He, F.; Li, Z.; Guan, Y.; Hu, Q.; Hu, J. Exogenous spermidine improves seed germination of sweet corn via involvement in phytohormone interactions, H2O2 and relevant gene expression. BMC Plant Biol. 2017, 17, 1. [Google Scholar] [CrossRef]
- Li, Z.; Peng, Y.; Zhang, X.-Q.; Ma, X.; Huang, L.-K.; Yan, Y.-H. Exogenous Spermidine Improves Seed Germination of White Clover under Water Stress via Involvement in Starch Metabolism, Antioxidant Defenses and Relevant Gene Expression. Molecules 2014, 19, 18003–18024. [Google Scholar] [CrossRef]
- Mostofa, M.G.; Yoshida, N.; Fujita, M. Spermidine pretreatment enhances heat tolerance in rice seedlings through modulating antioxidative and glyoxalase systems. Plant Growth Regul. 2014, 73, 31–44. [Google Scholar] [CrossRef]
- Dong, N.Q.; Lin, H.X. Contribution of phenylpropanoid metabolism to plant development and plant–environment interactionsFA. J. Integr. Plant Biol. 2021, 63, 30. [Google Scholar] [CrossRef]
- Lin, D.; Xiao, M.; Zhao, J.; Li, Z.; Xing, B.; Li, X.; Kong, M.; Li, L.; Zhang, Q.; Liu, Y.; et al. An Overview of Plant Phenolic Compounds and Their Importance in Human Nutrition and Management of Type 2 Diabetes. Molecules 2016, 21, 1374. [Google Scholar] [CrossRef]
- Deng, J.; Che, X.; Gu, Y.; Qu, Y.; Liu, D. Integrated multi-omics investigation revealed the importance of phenylpropanoid metabolism in the defense response of Lilium regale Wilson to fusarium wilt. Hortic. Res. 2024, 11, uhae140. [Google Scholar] [CrossRef]
- Lv, H.-X.; Xu, H.; Yang, K.; Yan, M. Comparative metabolomic analyses reveal metabolites associated with seed deterioration in Chinese cabbage. Sci. Hortic. 2024, 331, 113170. [Google Scholar] [CrossRef]
- Liu, F.; Li, N.; Yu, Y.; Chen, W.; Yu, S.; He, H. Insights into the Regulation of Rice Seed Storability by Seed Tissue-Specific Transcriptomic and Metabolic Profiling. Plants 2022, 11, 1570. [Google Scholar] [CrossRef] [PubMed]
- Li, G.; Xie, J.; Zhang, W.; Meng, F.; Yang, M.; Fan, X.; Sun, X.; Zheng, Y.; Zhang, Y.; Wang, M.; et al. Integrated examination of the transcriptome and metabolome of the gene expression response and metabolite accumulation in soybean seeds for seed storability under aging stress. Front. Plant Sci. 2024, 15, 1437107. [Google Scholar] [CrossRef] [PubMed]
- Yang, Z.; Chen, W.; Jia, T.; Shi, H.; Sun, D. Integrated Transcriptomic and Metabolomic Analyses Identify Critical Genes and Metabolites Associated with Seed Vigor of Common Wheat. Int. J. Mol. Sci. 2024, 25, 526. [Google Scholar] [CrossRef]
- Zhou, W.; Chen, F.; Zhao, S.; Yang, C.; Meng, Y.; Shuai, H.; Luo, X.; Dai, Y.; Yin, H.; Du, J.; et al. DA-6 promotes germination and seedling establishment from aged soybean seeds by mediating fatty acid metabolism and glycometabolism. J. Exp. Bot. 2019, 70, 101–114. [Google Scholar] [CrossRef]
- Xia, F.; Wang, X.; Li, M.; Mao, P. Mitochondrial structural and antioxidant system responses to aging in oat (Avena sativa L.) seeds with different moisture contents. Plant Physiol. Biochem. 2015, 94, 122–129. [Google Scholar] [CrossRef]
- Dixon, R.A.; Paiva, N.L. Stress-Induced Phenylpropanoid Metabolism. Plant Cell 1995, 7, 1085. [Google Scholar] [CrossRef]
- Beyer, W.F.; Fridovich, I. Assaying for superoxide dismutase activity: Some large consequences of minor changes in conditions—ScienceDirect. Anal. Biochem. 1987, 161, 559–566. [Google Scholar] [CrossRef]
- Fielding, J.L.; Hall, J.L. A Biochemical and Cytochemical Study of Peroxidase Activity in Roots of Pisum sativum. J. Exp. Bot. 1978, 29, 983–991. [Google Scholar] [CrossRef]
- Chen, X.; Zhang, R.; Li, B.; Cui, T.; Liu, C.; Liu, C.; Chen, B.; Zhou, Y. Alleviation of Oxidative Damage Induced by CaCl(2) Priming Is Related to Osmotic and Ion Stress Reduction Rather Than Enhanced Antioxidant Capacity During Germination Under Salt Stress in Sorghum. Front. Plant Sci. 2022, 13, 881039. [Google Scholar] [CrossRef]
- Amako, K.; Chen, G.X.; Asada, K. Separate Assays Specific for Ascorbate Peroxidase and Guaiacol Peroxidase and for the Chloroplastic and Cytosolic Isozymes of Ascorbate Peroxidase in Plants: Environmental and Stress Responses: Proteins, Enzymes and Metabolism. Plant Cell Physiol. 1994, 35, 497–504. [Google Scholar]
- Song, H.; Yuan, W.; Jin, P.; Wang, W.; Wang, X. Effects of chitosan/nano-silica on postharvest quality and antioxidant capacity of loquat fruit during cold storage—ScienceDirect. Postharvest Biol. Technol. 2016, 119, 41–48. [Google Scholar] [CrossRef]
- Lin, Y.; Lin, H.; Fan, Z.; Wang, H.; Lin, M.; Chen, Y.; Hung, Y.; Lin, Y. Inhibitory effect of propyl gallate on pulp breakdown of longan fruit and its relationship with ROS metabolism. Postharvest Biol. Technol. 2020, 168, 111272. [Google Scholar] [CrossRef]
- Chen, S.; Zhou, Y.; Chen, Y.; Gu, J. fastp: An ultra-fast all-in-one FASTQ preprocessor. Bioinformatics 2018, 34, i884–i890. [Google Scholar] [CrossRef]
- Chen, W.; Gong, L.; Guo, Z.; Wang, W.; Zhang, H.; Liu, X.; Yu, S. A Novel Integrated Method for Large-Scale Detection, Identification, and Quantification of Widely Targeted Metabolites: Application in the Study of Rice Metabolomics. Mol. Plant 2013, 6, 1769–1780. [Google Scholar] [CrossRef]
- Zhao, C.; Liu, G.; Chen, Y.; Jiang, Y.; Shi, Y.; Zhao, L.; Liao, P.; Wang, W.; Xu, K.; Dai, Q.; et al. Excessive Nitrogen Application Leads to Lower Rice Yield and Grain Quality by Inhibiting the Grain Filling of Inferior Grains. Agriculture 2022, 12, 962. [Google Scholar] [CrossRef]
- Huang, Y.; Cai, S.; Ruan, X.; Xu, J.; Cao, D. CSN improves seed vigor of aged sunflower seeds by regulating fatty acid, glycometabolism, and abscisic acid metabolism. J. Adv. Res. 2021, 33, 1–13. [Google Scholar] [CrossRef]
- Kong, L.; Huo, H.; Mao, P. Antioxidant response and related gene expression in aged oat seed. Front. Plant Sci. 2015, 6, 158. [Google Scholar] [CrossRef]
- Lin, Y.-X.; Xu, H.-J.; Yin, G.-K.; Zhou, Y.-C.; Lu, X.-X.; Xin, X. Dynamic Changes in Membrane Lipid Metabolism and Antioxidant Defense During Soybean (Glycine max L. Merr.) Seed Aging. Front. Plant Sci. 2022, 13, 908949. [Google Scholar] [CrossRef]
- Braun, D.M. Phloem Loading and Unloading of Sucrose: What a Long, Strange Trip from Source to Sink. Annu. Rev. Plant Biol. 2022, 73, 553–584. [Google Scholar] [CrossRef]
- Hartikainen, H. Relationship between polyamines, ethylene, osmoprotectants and antioxidant enzymes activities in wheat seedlings after short-term PEG- and NaC-induced stress. Plant Growth Regul. 2013, 69, 177–189. [Google Scholar]
- Yin, L.; Wang, S.; Liu, P.; Wang, W.; Cao, D.; Deng, X.; Zhang, S. Silicon-mediated changes in polyamine and 1-aminocyclopropane-1-carboxylic acid are involved in silicon-induced drought resistance in Sorghum bicolor L. Plant Physiol. Biochem. 2014, 80, 268–277. [Google Scholar] [CrossRef]
- Xu, Y.Y.; Ma, P.A.; Niu, Z.; Li, B.; Lv, Y.; Wei, S.; Hu, Y.S. Effects of artificial aging on physiological quality and cell ultrastructure of maize (Zea mays L.). Cereal Res. Commun. 2023, 51, 615–626. [Google Scholar] [CrossRef]
- Hassanpour, H.; Yousef, H.; Jafar, H.; Mohammad, A. Antioxidant capacity and phytochemical properties of cornelian cherry (Cornus mas L.) genotypes in Iran. Sci. Hortic. 2011, 129, 459–463. [Google Scholar] [CrossRef]
- Dorion, S.; Ouellet, J.C.; Rivoal, J. Glutathione Metabolism in Plants under Stress: Beyond Reactive Oxygen Species Detoxification. Metabolites 2021, 11, 641. [Google Scholar] [CrossRef]
- Gullner, G.; Komives, T.; Király, L.; Schröder, P. Glutathione S-Transferase Enzymes in Plant-Pathogen Interactions. Front. Plant Sci. 2018, 9, 1836. [Google Scholar] [CrossRef]
- Aloke, C.; Onisuru, O.O.; Achilonu, I. Glutathione S-transferase: A versatile and dynamic enzyme. Biochem. Biophys. Res. Commun. 2024, 734, 150774. [Google Scholar] [CrossRef]
- Sharma, A.; Shahzad, B.; Rehman, A.; Bhardwaj, R.; Zheng, B. Response of Phenylpropanoid Pathway and the Role of Polyphenols in Plants under Abiotic Stress. Molecules 2019, 24, 2452. [Google Scholar] [CrossRef]
- Qiao, Z.; Shi, Y.; Yi, J.; Zhu, J.; Kang, Q.; Qu, L.; Yang, R.; Lu, J.; Zhao, C. Low frequency ultrasound enhanced the antioxidant activity and isoflavones accumulation of soybean sprouts by inducing oxidant stress. Food Biosci. 2024, 60, 104360. [Google Scholar] [CrossRef]
- Jia, C.; Guo, B.; Wang, B.; Li, X.; Yang, T.; Li, N.; Wang, J.; Yu, Q. Integrated metabolomic and transcriptomic analysis reveals the role of phenylpropanoid biosynthesis pathway in tomato roots during salt stress. Front. Plant Sci. 2022, 13, 1023696. [Google Scholar] [CrossRef]
- Yin, R.; Ulm, R. How plants cope with UV-B: From perception to response. Curr. Opin. Plant Biol. 2017, 37, 42–48. [Google Scholar] [CrossRef]
- Zhang, X.; Abrahan, C.; Colquhoun, T.A.; Liu, C.J. A Proteolytic Regulator Controlling Chalcone Synthase Stability and Flavonoid Biosynthesis in Arabidopsis. Plant Cell 2017, 29, 1157. [Google Scholar] [CrossRef]
- Sharma, R.; Yang, Y.; Sharma, A.; Awasthi, S.; Awasthi, Y.C. Antioxidant role of glutathione S-transferases: Protection against oxidant toxicity and regulation of stress-mediated apoptosis. Antioxid. Redox Signal. 2004, 6, 289–300. [Google Scholar] [CrossRef] [PubMed]
- He, X.; Wang, C.; Wang, H.; Li, L.; Wang, C. The Function of MAPK Cascades in Response to Various Stresses in Horticultural Plants. Front. Plant Sci. 2020, 11, 952. [Google Scholar] [CrossRef] [PubMed]
- Wang, Z.; Wang, W.; Wu, W.; Wang, H.; Zhang, S.; Ye, C.; Guo, L.; Wei, Z.; Huang, H.; Liu, Y. Integrated analysis of transcriptome, metabolome, and histochemistry reveals the response mechanisms of different ages Panax notoginseng to root-knot nematode infection. Front. Plant Sci. 2023, 14, 1258316. [Google Scholar] [CrossRef] [PubMed]
- Huang, Y.; Wang, H.; Zhang, Y.; Zhang, P.; Xiang, Y.; Zhang, Y.; Fu, R. SCPL acyltransferases catalyze the metabolism of chlorogenic acid during purple coneflower seed germination. New Phytol. 2024, 243, 229–239. [Google Scholar] [CrossRef]
- Winkel-Shirley, B. Biosynthesis of flavonoids and effects of stress. Curr. Opin. Plant Biol. 2002, 5, 218–223. [Google Scholar] [CrossRef]
- Kusano, T.; Berberich, T.; Tateda, C.; Takahashi, Y. Polyamines: Essential factors for growth and survival. Planta 2008, 228, 367–381. [Google Scholar] [CrossRef]
- Takahashi, T.; Kakehi, J.-I. Polyamines: Ubiquitous polycations with unique roles in growth and stress responses. Ann. Bot. 2010, 105, 1–6. [Google Scholar] [CrossRef]
- Li, X.; Zhang, Y.; Zhao, S.; Li, B.; Cai, L.; Pang, X. Omics analyses indicate the routes of lignin related metabolites regulated by trypsin during storage of pitaya (Hylocereus undatus). Genomics 2021, 113, 3681–3695. [Google Scholar] [CrossRef]
- Park, H.L.; Lee, S.-W.; Jung, K.-H.; Hahn, T.-r.; Cho, M.-H. Transcriptomic analysis of UV-treated rice leaves reveals UV-induced phytoalexin biosynthetic pathways and their regulatory networks in rice. Phytochemistry 2013, 96, 57–71. [Google Scholar] [CrossRef] [PubMed]
- Liu, Y.; Liu, J.; Wang, R.; Sun, H.; Li, M.; Strappe, P.; Zhou, Z. Analysis of secondary metabolites induced by yellowing process for understanding rice yellowing mechanism. Food Chem. 2021, 342, 128204. [Google Scholar] [CrossRef] [PubMed]
- Wu, J.; Lv, S.; Zhao, L.; Gao, T.; Yu, C.; Hu, J.; Ma, F. Advances in the study of the function and mechanism of the action of flavonoids in plants under environmental stresses. Planta 2023, 257, 108. [Google Scholar] [CrossRef]
- Zhang, M.; Li, B.; Wan, Z.; Chen, X.; Liu, C.; Liu, C.; Zhou, Y. Exogenous Spermidine Promotes Germination of Aged Sorghum Seeds by Mediating Sugar Metabolism. Plants 2022, 11, 2853. [Google Scholar] [CrossRef] [PubMed]
- Duan, H.; Yu, Q.; Ni, Y.; Li, J.; Yu, L.; Yan, X.; Fan, L. Synergistic anti-aging effect of Dendrobium officinale polysaccharide and spermidine: A metabolomics analysis focusing on the regulation of lipid, nucleotide and energy metabolism. Int. J. Biol. Macromol. 2024, 278, 135098. [Google Scholar] [CrossRef]
- Raza, A.; Su, W.; Hussain, M.A.; Mehmood, S.S.; Zhang, X.; Cheng, Y.; Zou, X.; Lv, Y. Integrated Analysis of Metabolome and Transcriptome Reveals Insights for Cold Tolerance in Rapeseed (Brassica napus L.). Front. Plant Sci. 2021, 12, 721681. [Google Scholar] [CrossRef]
- Wang, F.; Ge, S.; Xu, X.; Xing, Y.; Du, X.; Zhang, X.; Lv, M.; Liu, J.; Zhu, Z.; Jiang, Y. Multiomics Analysis Reveals New Insights into the Apple Fruit Quality Decline under High Nitrogen Conditions. J. Agric. Food Chem. 2021, 69, 5559–5572. [Google Scholar] [CrossRef]
- Afzal, I.; Munir, F.; Ayub, C.M.; Basra, S.M.A.; Hameed, A.; Nawaz, A. Changes in antioxidant enzymes, germination capacity and vigour of tomato seeds in response of priming with polyamines. Seed Sci. Technol. 2009, 37, 765–770. [Google Scholar] [CrossRef]
- Tian, C.; Liu, X.; Chang, Y.; Wang, R.; Lv, T.; Cui, C.; Liu, M. Investigation of the anti-inflammatory and antioxidant activities of luteolin, kaempferol, apigenin and quercetin. S. Afr. J. Bot. 2021, 137, 257–264. [Google Scholar] [CrossRef]
- Park, H.-J.; Kim, H.-N.; Kim, C.Y.; Seo, M.-D.; Baek, S.-H. Synergistic Protection by Isoquercitrin and Quercetin against Glutamate-Induced Oxidative Cell Death in HT22 Cells via Activating Nrf2 and HO-1 Signaling Pathway: Neuroprotective Principles and Mechanisms of Dendropanax morbifera Leaves. Antioxidants 2021, 10, 554. [Google Scholar] [CrossRef]








| Gene Name/Gene ID | Forward Primer | Reverse Primer | bp |
|---|---|---|---|
| Actin | CATTCACGAGACTACCTAC | GACGATGTTGCCATATAGA | 180 |
| GST4/Sobic.003G164800 | CTGCCACTTCGGTTTCA | CGGCCATCACCTTCTGC | 128 |
| GSTU6/Sobic.003G187000 | CGGCATGATGGTGAAGGC | GTCCAGGTACCCGGGCTC | 157 |
| ODC/Sobic.002G282900 | GCCTCTACGGCTCGCTC | GTCGCCCACGCTCATCT | 176 |
| POD50/Sobic.001G080300 | AGCTGCTGGCGGTCTTCA | ACTGCGCGTACTTGGGGT | 168 |
| PODN/Sobic.001G235800 | TCGACAACAACTACTACAAGAAC | GGACCAGACGAAGTCACAGA | 158 |
| POD57/Sobic.001G293200 | GGTCGCCTACTACGCCA | TCGGACACACCCACTTCT | 194 |
| POD2/Sobic.001G360500 | CCGTTTTAGCCGCACTT | CAGCCTGGGGACACTTG | 105 |
| PODA2/Sobic.001G444500 | ACGCTGGACAGGGGGTA | TCGACGTTGGTGTAGTAGTTG | 128 |
| POD1/Sobic.002G003500 | TGGGCGCGTACAACAAGA | AGCAGTCCACGGAGAAGA | 123 |
| FOMT/Sobic.007G099400 | TCAACTCAACATCCCCACT | AATACCTGATACAACAAGAAACC | 139 |
| HCT/Sobic.006G209000 | GTGCCCAAGAAGAAAGCC | CAAGCGACGAGGAACATA | 131 |
| CHS1/Sobic.004G107800 | ACGTCTTCCGTGGTCTGA | TGGCGATAACCTGTGGG | 126 |
| HCT4/Sobic.003G069200 | TTGCCACAAACCGACCT | CTCCGCCAGCGACATCA | 99 |
| OMTs/Sobic.005G045600 | AGAGAGATGAGCAAGAATGGA | CGAACACCTAAAACTGGTATGA | 82 |
Disclaimer/Publisher’s Note: The statements, opinions and data contained in all publications are solely those of the individual author(s) and contributor(s) and not of MDPI and/or the editor(s). MDPI and/or the editor(s) disclaim responsibility for any injury to people or property resulting from any ideas, methods, instructions or products referred to in the content. |
© 2025 by the authors. Licensee MDPI, Basel, Switzerland. This article is an open access article distributed under the terms and conditions of the Creative Commons Attribution (CC BY) license (https://creativecommons.org/licenses/by/4.0/).
Share and Cite
Xing, Y.; Zhang, H.; Liu, C.; Liu, C.; Zhou, Y. Spermidine Revives Aged Sorghum Seed Germination by Boosting Antioxidant Defense. Antioxidants 2025, 14, 349. https://doi.org/10.3390/antiox14030349
Xing Y, Zhang H, Liu C, Liu C, Zhou Y. Spermidine Revives Aged Sorghum Seed Germination by Boosting Antioxidant Defense. Antioxidants. 2025; 14(3):349. https://doi.org/10.3390/antiox14030349
Chicago/Turabian StyleXing, Yifan, Huan Zhang, Chunjuan Liu, Chang Liu, and Yufei Zhou. 2025. "Spermidine Revives Aged Sorghum Seed Germination by Boosting Antioxidant Defense" Antioxidants 14, no. 3: 349. https://doi.org/10.3390/antiox14030349
APA StyleXing, Y., Zhang, H., Liu, C., Liu, C., & Zhou, Y. (2025). Spermidine Revives Aged Sorghum Seed Germination by Boosting Antioxidant Defense. Antioxidants, 14(3), 349. https://doi.org/10.3390/antiox14030349

