Dietary Chitosan Oligosaccharide Supplementation Improves Meat Quality by Improving Antioxidant Capacity and Fiber Characteristics in the Thigh Muscle of Broilers
Abstract
1. Introduction
2. Materials and Methods
2.1. Experimental Design, Housing, and Diets
2.2. Sample Collections
2.3. Meat Quality and Nutrient Composition
2.4. Fatty Acid Composition and Nutritional Value
2.5. Antioxidant Status
2.6. Myofiber Morphological Characteristics
2.7. Real-Time Quantitative PCR
2.8. Statistical Analysis
3. Results
3.1. Meat Quality and Nutrient Composition
3.2. Lipid Metabolism-Related Gene Expression
3.3. Fatty Acid Composition and Nutritional Indicators
3.4. Muscle Antioxidant Status
3.5. Morphological Characteristics
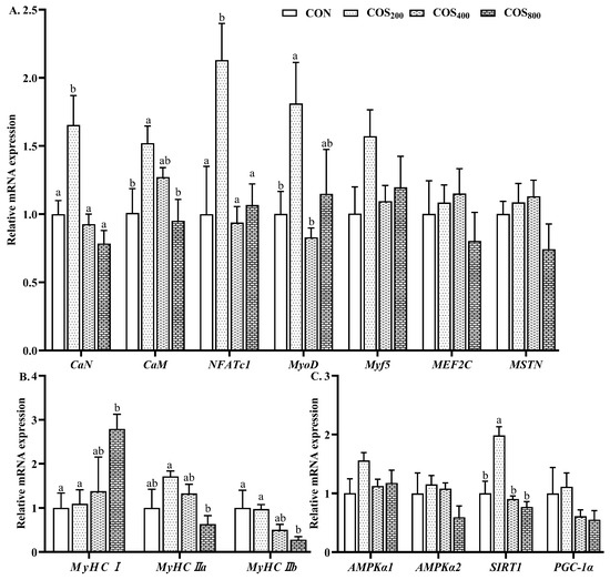
3.6. Myogenic Regulatory Factors, Myofiber Transformation-Related Gene Expression
4. Discussion
5. Conclusions
Supplementary Materials
Author Contributions
Funding
Institutional Review Board Statement
Informed Consent Statement
Data Availability Statement
Acknowledgments
Conflicts of Interest
References
- Cheng, Z.; Jia, Y.; Bai, Y.; Zhang, T.; Ren, K.; Zhou, X.; Zhai, Y.; Shen, X.; Hong, J. Intensifying the environmental performance of chicken meat production in China: From perspective of life cycle assessment. J. Clean. Prod. 2023, 384, 135603. [Google Scholar] [CrossRef]
- Chen, G.; Qi, L.; Zhang, S.; Peng, H.; Lin, Z.; Zhang, X.; Nie, Q.; Luo, W. Metabolomic, lipidomic, and proteomic profiles provide insights on meat quality differences between Shitou and Wuzong geese. Food. Chem. 2024, 438, 137967. [Google Scholar] [CrossRef] [PubMed]
- Pouta, E.; Heikkilä, J.; Forsman-Hugg, S.; Isoniemi, M.; Mäkelä, J. Consumer choice of broiler meat: The effects of country of origin and production methods. Food. Qual. Perfer. 2010, 21, 539–546. [Google Scholar] [CrossRef]
- Puvača, N.; Tufarelli, V.; Giannenas, I. Essential oils in broiler chicken production, immunity and meat quality: Review of Thymus vulgaris, Origanum vulgare, and Rosmarinus officinalis. Agriculture 2022, 12, 874. [Google Scholar] [CrossRef]
- Ayman, U.; Akter, L.; Islam, R.; Bhakta, S.; Rahman, M.A.; Islam, M.R.; Sultana, N.; Sharif, A.; Jahan, M.R.; Rahman, M.S. Dietary chitosan oligosaccharides improves health status in broilers for safe poultry meat production. Ann. Agric. Sci. 2022, 67, 90–98. [Google Scholar] [CrossRef]
- Naveed, M.; Phil, L.; Sohail, M.; Hasnat, M.; Baig, M.M.F.A.; Ihsan, A.U.; Shumzaid, M.; Kakar, M.U.; Khan, T.M.; Akabar, M. Chitosan oligosaccharide (COS): An overview. Int. J. Biol. Macromol. 2019, 129, 827–843. [Google Scholar] [CrossRef]
- Uyanga, V.A.; Ejeromedoghene, O.; Lambo, M.T.; Alowakennu, M.; Alli, Y.A.; Ere-Richard, A.A.; Min, L.; Zhao, J.; Wang, X.; Jiao, H. Chitosan and chitosan-based composites as beneficial compounds for animal health: Impact on gastrointestinal functions and biocarrier application. J. Funct. Foods 2023, 104, 105520. [Google Scholar] [CrossRef]
- Chang, Q.; Cai, H.; Wei, L.; Lan, R. Chitosan oligosaccharides alleviate acute heat stress-induced oxidative damage by activating ERK1/2-mediated HO-1 and GSH-Px gene expression in breast muscle of broilers. Poult. Sci. 2022, 101, 101515. [Google Scholar] [CrossRef] [PubMed]
- Cong, J.; Zhang, L.; Li, J.; Wang, S.; Gao, F.; Zhou, G. Effects of dietary supplementation with carnosine on growth performance, meat quality, antioxidant capacity and muscle fiber characteristics in broiler chickens. J. Sci. Food. Agric. 2017, 97, 3733–3741. [Google Scholar] [CrossRef]
- Wang, Y.H.; Lin, J.; Wang, J.; Wu, S.G.; Qiu, K.; Zhang, H.J.; Qi, G.H. The role of incubation conditions on the regulation of muscle development and meat quality in poultry. Front. Physiol. 2022, 13, 883134. [Google Scholar] [CrossRef]
- Estévez, M. Oxidative damage to poultry: From farm to fork. Poult. Sci. 2015, 94, 1368–1378. [Google Scholar] [CrossRef]
- Lan, R.; Chen, X.; Zhang, Y.; Luo, H. Effects of dietary chitosan oligosaccharides supplementation on meat quality, chemical composition and anti-oxidant capacity in frizzled chickens. Ital. J. Anim. Sci. 2023, 22, 639–650. [Google Scholar] [CrossRef]
- Miao, Z.; Guo, L.; Liu, Y.; Zhao, W.; Zhang, J. Effects of dietary supplementation of chitosan on carcass composition and meat quality in growing Huoyan geese. Poult. Sci. 2020, 99, 3079–3085. [Google Scholar] [CrossRef]
- Yu, M.; Ding, Y.; Du, Q.; Liao, Y.; Miao, W.; Deng, S.; Cullen, P.J.; Zhou, R. Efficacy of Chitosan Oligosaccharide Combined with Cold Atmospheric Plasma for Controlling Quality Deterioration and Spoilage Bacterial Growth of Chilled Pacific White Shrimp (Litopenaeus vannamei). Foods 2023, 12, 1763. [Google Scholar] [CrossRef] [PubMed]
- Pereira, T.; Fernandes, A.; Oliveira, E.; Cônsolo, N.; Marques, O.; Maciel, T.; Pordeus, N.; Barbosa, L.; Buarque, V.; Padilla, A. Serum metabolomic fingerprints of lambs fed chitosan and its association with performance and meat quality traits. Animal 2020, 14, 1987–1998. [Google Scholar] [CrossRef]
- Long, S.; Liu, S.; Wu, D.; Mahfuz, S.; Piao, X. Effects of dietary fatty acids from different sources on growth performance, meat quality, muscle fatty acid deposition, and antioxidant capacity in broilers. Animals 2020, 10, 508. [Google Scholar] [CrossRef] [PubMed]
- Wang, W.; Wen, C.; Guo, Q.; Li, J.; He, S.; Yin, Y. Dietary supplementation with chlorogenic acid derived from Lonicera macranthoides Hand-Mazz improves meat quality and muscle fiber characteristics of finishing pigs via enhancement of antioxidant capacity. Front. Physiol. 2021, 12, 650084. [Google Scholar] [CrossRef] [PubMed]
- Wen, W.; Chen, X.; Huang, Z.; Chen, D.; Yu, B.; He, J.; Luo, Y.; Yan, H.; Chen, H.; Zheng, P. Dietary lycopene supplementation improves meat quality, antioxidant capacity and skeletal muscle fiber type transformation in finishing pigs. Anim. Nutr. 2022, 8, 256–264. [Google Scholar] [CrossRef]
- Weng, K.; Huo, W.; Li, Y.; Zhang, Y.; Zhang, Y.; Chen, G.; Xu, Q. Fiber characteristics and meat quality of different muscular tissues from slow-and fast-growing broilers. Poult. Sci. 2022, 101, 101537. [Google Scholar] [CrossRef]
- Zhang, Y.; Li, C.; Zhou, X.; Jiang, W.; Wu, P.; Liu, Y.; Ren, H.; Zhang, L.; Mi, H.; Tang, J. Implications of vitamin D for flesh quality of grass carp (Ctenopharyngodon idella): Antioxidant ability, nutritional value, sensory quality, and myofiber characteristics. J. Anim. Sci. Biotechnol. 2023, 14, 134. [Google Scholar] [CrossRef]
- Horwitz, W. Official Methods of Analysis of AOAC International. Volume I, Agricultural Chemicals, Contaminants, Drugs; Horwitz, W., Ed.; AOAC International: Gaithersburg, MD, USA, 1997. [Google Scholar]
- Wassie, T.; Duan, X.; Xie, C.; Wang, R.; Wu, X. Dietary Enteromorpha polysaccharide-Zn supplementation regulates amino acid and fatty acid metabolism by improving the antioxidant activity in chicken. J. Anim. Sci. Biotechnol. 2022, 13, 18. [Google Scholar] [CrossRef] [PubMed]
- Guo, L.; Chang, Y.; Sun, Z.; Deng, J.; Jin, Y.; Shi, M.; Zhang, J.; Miao, Z. Effects of Chinese Yam Polysaccharide on Intramuscular Fat and Fatty Acid Composition in Breast and Thigh Muscles of Broilers. Foods 2023, 12, 1479. [Google Scholar] [CrossRef] [PubMed]
- Lan, R.; Liu, F.; He, Z.; Chen, C.; Liu, S.; Shi, Y.; Liu, Y.; Yoshimura, Y.; Zhang, M. Immunolocalization of GnRHRI, gonadotropin receptors, PGR, and PGRMCI during follicular development in the rabbit ovary. Theriogenology 2014, 81, 1139–1147. [Google Scholar] [CrossRef] [PubMed]
- Livak, K.J.; Schmittgen, T.D. Analysis of relative gene expression data using real-time quantitative PCR and the 2−ΔΔCT method. Methods 2001, 25, 402–408. [Google Scholar] [CrossRef] [PubMed]
- Mir, N.A.; Rafiq, A.; Kumar, F.; Singh, V.; Shukla, V. Determinants of broiler chicken meat quality and factors affecting them: A review. J. Food. Sci. Technol. 2017, 54, 2997–3009. [Google Scholar] [CrossRef]
- Cama-Moncunill, R.; Cafferky, J.; Augier, C.; Sweeney, T.; Allen, P.; Ferragina, A.; Sullivan, C.; Cromie, A.; Hamill, R.M. Prediction of Warner-Bratzler shear force, intramuscular fat, drip-loss and cook-loss in beef via Raman spectroscopy and chemometrics. Meat. Sci. 2020, 167, 108157. [Google Scholar] [CrossRef]
- Zhang, L.; Yin, M.; Wang, X. Meat texture, muscle histochemistry and protein composition of Eriocheir sinensis with different size traits. Food. Chem. 2021, 338, 127632. [Google Scholar] [CrossRef]
- Wen, Y.; Liu, H.; Liu, K.; Cao, H.; Mao, H.; Dong, X.; Yin, Z. Analysis of the physical meat quality in partridge (Alectoris chukar) and its relationship with intramuscular fat. Poult. Sci. 2020, 99, 1225–1231. [Google Scholar] [CrossRef]
- Tunim, S.; Phasuk, Y.; Aggrey, S.E.; Duangjinda, M. Increasing fat deposition via upregulates the transcription of peroxisome proliferator-activated receptor gamma in native crossbred chickens. Animals 2021, 11, 90. [Google Scholar] [CrossRef]
- Tian, Z.; Cui, Y.; Lu, H.; Wang, G.; Ma, X. Effect of long-term dietary probiotic Lactobacillus reuteri 1 or antibiotics on meat quality, muscular amino acids and fatty acids in pigs. Meat. Sci. 2021, 171, 108234. [Google Scholar] [CrossRef]
- Perna, M.; Hewlings, S. Saturated fatty acid chain length and risk of cardiovascular disease: A systematic review. Nutrients 2022, 15, 30. [Google Scholar] [CrossRef]
- Wei, Y.; Meng, Y.; Li, N.; Wang, Q.; Chen, L. The effects of low-ratio n-6/n-3 PUFA on biomarkers of inflammation: A systematic review and meta-analysis. Food. Funct. 2021, 12, 30–40. [Google Scholar] [CrossRef] [PubMed]
- Montecillo Aguado, M.; Tirado Rodriguez, B.; Antonio Andres, G.; Morales Martinez, M.; Tong, Z.; Yang, J.; Hammock, B.D.; Hernandez Pando, R.; Huerta Yepez, S. Omega-6 polyunsaturated fatty acids enhance tumor aggressiveness in experimental lung cancer model: Important role of oxylipins. Int. J. Mol. Sci. 2022, 23, 6179. [Google Scholar] [CrossRef] [PubMed]
- Ulbricht, T.; Southgate, D. Coronary heart disease: Seven dietary factors. Lancet 1991, 338, 985–992. [Google Scholar] [CrossRef] [PubMed]
- Zhou, T.; Chen, Y.; Yoo, J.; Huang, Y.; Lee, J.; Jang, H.; Shin, S.; Kim, H.; Cho, J.; Kim, I. Effects of chitooligosaccharide supplementation on performance, blood characteristics, relative organ weight, and meat quality in broiler chickens. Poult. Sci. 2009, 88, 593–600. [Google Scholar] [CrossRef] [PubMed]
- Nawaz, A.H.; Zhang, L. Oxidative stress in broiler chicken and its consequences on meat quality. Int. J. Life Sci. 2021, 1, 45–54. [Google Scholar]
- Zhou, J.; Wen, B.; Xie, H.; Zhang, C.; Bai, Y.; Cao, H.; Che, Q.; Guo, J.; Su, Z. Advances in the preparation and assessment of the biological activities of chitosan oligosaccharides with different structural characteristics. Food. Funct. 2021, 12, 926–951. [Google Scholar] [CrossRef]
- Kim, G.D.; Yang, H.S.; Jeong, J.Y. Intramuscular variations of proteome and muscle fiber type distribution in semimembranosus and semitendinosus muscles associated with pork quality. Food. Chem. 2018, 244, 143–152. [Google Scholar] [CrossRef]
- Listrat, A.; Lebret, B.; Louveau, I.; Astruc, T.; Bonnet, M.; Lefaucheur, L.; Picard, B.; Bugeon, J. How muscle structure and composition influence meat and flesh quality. Sci. World. J. 2016, 3182746. [Google Scholar] [CrossRef]
- Jeong, D.; Choi, Y.; Lee, S.; Choe, J.; Hong, K.; Park, H.; Kim, B. Correlations of trained panel sensory values of cooked pork with fatty acid composition, muscle fiber type, and pork quality characteristics in Berkshire pigs. Meat. Sci. 2010, 86, 607–615. [Google Scholar] [CrossRef]
- Tůmová, E.; Teimouri, A. Chicken muscle fibres characteristics and meat quality: A review. Sci. Agric. Bohem. 2009, 40, 253–258. [Google Scholar]
- Ismail, I.; Joo, S.T. Poultry meat quality in relation to muscle growth and muscle fiber characteristics. Korean J. Food. Sci. Anim. Resour. 2017, 37, 873. [Google Scholar]
- Huo, W.; Weng, K.; Gu, T.; Zhang, Y.; Zhang, Y.; Chen, G.; Xu, Q. Effect of muscle fiber characteristics on meat quality in fast-and slow-growing ducks. Poult. Sci. 2021, 100, 101264. [Google Scholar] [CrossRef] [PubMed]
- Lee, S.; Joo, S.; Ryu, Y. Skeletal muscle fiber type and myofibrillar proteins in relation to meat quality. Meat. Sci. 2010, 86, 166–170. [Google Scholar] [CrossRef] [PubMed]
- Pette, D.; Staron, R.S. Myosin isoforms, muscle fiber types, and transitions. Microsc. Res. Tech. 2000, 50, 500–509. [Google Scholar] [CrossRef]
- Talmadge, R.J.; Otis, J.S.; Rittler, M.R.; Garcia, N.D.; Spencer, S.R.; Lees, S.J.; Naya, F.J. Calcineurin activation influences muscle phenotype in a muscle-specific fashion. BMC. Cell. Biol. 2004, 5, 28–39. [Google Scholar] [CrossRef]
- Chin, E.R.; Olson, E.N.; Richardson, J.A.; Yang, Q.; Humphries, C.; Shelton, J.M.; Wu, H.; Zhu, W.; Bassel-Duby, R.; Williams, R.S. A calcineurin-dependent transcriptional pathway controls skeletal muscle fiber type. Genes Dev. 1998, 12, 2499–2509. [Google Scholar] [CrossRef]
- Long, Y.C.; Glund, S.; Garcia-Roves, P.M.; Zierath, J.R. Calcineurin regulates skeletal muscle metabolism via coordinated changes in gene expression. J. Biol. Chem. 2007, 282, 1607–1614. [Google Scholar] [CrossRef] [PubMed]







| Items 1 | CON | COS200 | COS400 | COS800 | SEM 2 | p-Value |
|---|---|---|---|---|---|---|
| pH45min | 6.46 ± 0.05 | 6.48 ± 0.06 | 6.45 ± 0.06 | 6.45 ± 0.08 | 0.06 | 0.9880 |
| pH24h | 6.24 ± 0.04 | 6.29 ± 0.06 | 6.17 ± 0.03 | 6.14 ± 0.23 | 0.12 | 0.8075 |
| Lightness, L* | 53.63 ± 1.54 | 54.05 ± 0.98 | 54.35 ± 0.91 | 54.58 ± 1.60 | 1.30 | 0.9595 |
| Redness, a* | 4.49 ± 0.11 | 4.56 ± 0.13 | 4.86 ± 0.11 | 4.85 ± 0.20 | 0.14 | 0.1692 |
| Yellowness, b* | 6.88 ± 0.08 | 6.76 ± 0.15 | 6.81 ± 0.20 | 6.75 ± 0.18 | 0.16 | 0.9382 |
| Drip loss, % | 6.60 ± 0.44 ab | 6.24 ± 0.25 b | 6.16 ± 0.24 b | 7.42 ± 0.41 a | 0.35 | 0.0472 |
| Cooking loss, % | 25.23 ± 1.76 | 23.74 ± 1.46 | 25.52 ± 2.16 | 27.19 ± 1.90 | 1.847 | 0.6277 |
| Shear force, N | 25.20 ± 1.43 a | 19.35 ± 0.79 bc | 16.83 ± 1.19 c | 22.03 ± 0.98 ab | 1.12 | 0.0003 |
| Dry matter, % | 80.90 ± 0.13 a | 79.84 ± 0.09 b | 80.72 ± 0.12 a | 79.80 ± 0.06 b | 0.10 | <0.0001 |
| Crude protein, % | 23.91 ± 0.59 b | 21.81 ± 1.37 b | 28.64 ± 2.23 a | 21.63 ± 1.21 b | 1.47 | 0.0102 |
| Crude lipid, % | 2.17 ± 0.15 | 2.18 ± 0.17 | 2.13 ± 0.09 | 2.31 ± 0.09 | 0.12 | 0.7508 |
Disclaimer/Publisher’s Note: The statements, opinions and data contained in all publications are solely those of the individual author(s) and contributor(s) and not of MDPI and/or the editor(s). MDPI and/or the editor(s) disclaim responsibility for any injury to people or property resulting from any ideas, methods, instructions or products referred to in the content. |
© 2024 by the authors. Licensee MDPI, Basel, Switzerland. This article is an open access article distributed under the terms and conditions of the Creative Commons Attribution (CC BY) license (https://creativecommons.org/licenses/by/4.0/).
Share and Cite
Lan, R.; Wang, Y.; Wang, H.; Zhang, J. Dietary Chitosan Oligosaccharide Supplementation Improves Meat Quality by Improving Antioxidant Capacity and Fiber Characteristics in the Thigh Muscle of Broilers. Antioxidants 2024, 13, 366. https://doi.org/10.3390/antiox13030366
Lan R, Wang Y, Wang H, Zhang J. Dietary Chitosan Oligosaccharide Supplementation Improves Meat Quality by Improving Antioxidant Capacity and Fiber Characteristics in the Thigh Muscle of Broilers. Antioxidants. 2024; 13(3):366. https://doi.org/10.3390/antiox13030366
Chicago/Turabian StyleLan, Ruixia, Yuchen Wang, Haoxuan Wang, and Jia Zhang. 2024. "Dietary Chitosan Oligosaccharide Supplementation Improves Meat Quality by Improving Antioxidant Capacity and Fiber Characteristics in the Thigh Muscle of Broilers" Antioxidants 13, no. 3: 366. https://doi.org/10.3390/antiox13030366
APA StyleLan, R., Wang, Y., Wang, H., & Zhang, J. (2024). Dietary Chitosan Oligosaccharide Supplementation Improves Meat Quality by Improving Antioxidant Capacity and Fiber Characteristics in the Thigh Muscle of Broilers. Antioxidants, 13(3), 366. https://doi.org/10.3390/antiox13030366

