Abstract
Ferroptosis is a recently discovered type of programmed cell death that is mechanistically different from other types of programmed cell death such as apoptosis, necroptosis, and autophagy. It is characterized by the accumulation of intracellular iron, overproduction of reactive oxygen species, depletion of glutathione, and extensive lipid peroxidation of lipids in the cell membrane. It was discovered that ferroptosis is interconnected with many diseases, such as neurodegenerative diseases, ischemia/reperfusion injury, cancer, and chronic kidney disease. Polyphenols, plant secondary metabolites known for many bioactivities, are being extensively researched in the context of their influence on ferroptosis which resulted in a great number of publications showing the need for a systematic review. In this review, an extensive literature search was performed. Databases (Scopus, Web of Science, PubMed, ScienceDirect, Springer) were searched in the time span from 2017 to November 2023, using the keyword “ferroptosis” alone and in combination with “flavonoid”, “phenolic acid”, “stilbene”, “coumarin”, “anthraquinone”, and “chalcone”; after the selection of studies, we had 311 papers and 143 phenolic compounds. In total, 53 compounds showed the ability to induce ferroptosis, and 110 compounds were able to inhibit ferroptosis, and out of those compounds, 20 showed both abilities depending on the model system. The most researched compounds are shikonin, curcumin, quercetin, resveratrol, and baicalin. The most common modes of action are in the modulation of the Nrf2/GPX4 and Nrf2/HO-1 axis and the modulation of iron metabolism.
1. Introduction
Cell death is a fundamental process present in all living organisms, executed through various mechanisms. For a long time, cells were thought to be removed in two ways—regulated cell death, called apoptosis, and unregulated cell death, called necrosis [1]. Recently, many processes of controlled cell death have been discovered, such as intrinsic apoptosis, extrinsic apoptosis, anoikis, autophagy-dependent cell death, programmed cell death (physiological cell death), entotic cell death, necrosis, necroptosis, oxytosis/ferroptosis, pyroptosis, paraptosis, parthanatos, oxeiptosis, and NETosis. These processes of cell death are characterized by different methods of induction and the involvement of specific signaling pathways [2].
Apoptosis, often referred to as controlled or programmed cell death, is a highly regulated process that plays a crucial role in various physiological and pathological situations. It can be triggered by different factors, including significant cellular damage or the activation of specific receptors on the cell membrane, all characterized by the activation of caspases [3]. Ferroptosis, on the other hand, is a mechanism of cell death that occurs due to significant oxidative damage to cells. It is characterized by the depletion of glutathione, increased levels of free intracellular iron, and elevated lipid peroxidation in the cell membrane [4,5]. Ferroptosis is believed to play a role in various pathological conditions, including neurodegenerative diseases, chronic kidney disease, cardiovascular diseases, as well as ischemia/reperfusion injury [6,7,8]. Conversely, inducing ferroptosis is considered a potential therapeutic approach for addressing liver fibrosis and cancer—conditions characterized by disrupted normal cell activity leading to pathology [9,10].
Plants generate a countless number of compounds through secondary metabolism, exhibiting protective and hormonal functions within the plant itself. Interestingly, these compounds also possess high bioactivity in animals and humans. These characteristics have made plants integral to traditional medicinal practices spanning centuries. In contemporary times, the advancement of scientific knowledge has given rise to new disciplines like rational phytotherapy. The primary objective of such fields is to formulate safe and scientifically substantiated medicines derived from plants. Consequently, there is a substantial and growing interest in the research of medicinal plants and their bioactive compounds [11].
1.1. Apoptosis
The term apoptosis was proposed in 1972, in a paper written by Kerr, Wyllie, and Currie. They described apoptosis as programmed cell death that is complementary to mitosis. Apoptosis is defined by two phases: the first phase is characterized by the formation of spheroid apoptotic bodies and the second by their phagocytosis and finally degradation by other cells [12]. There are two distinct apoptotic pathways—intrinsic and extrinsic. Both pathways culminate with the activation of caspases, which are proteases responsible for cleaving numerous vital proteins within the cell. This process leads to the manifestation of apoptotic cell morphology and eventual cell death, typically occurring within a time span of minutes to hours.
The intrinsic pathway is activated when there is significant damage caused by different types of stress inside the cell, such as DNA damage, endoplasmic stress, and lack of growth factors. Signaling pathways activated under stress can disturb the equilibrium between the BCL2 family of proteins with anti-apoptotic functions and proapoptotic proteins from family BH3-only. Equilibrium can be pushed towards the proapoptotic side by overexpression of BH3-only proteins, while simultaneously posttranslational modifications and proteolytic processing of BCL2 proteins occurs, and excess of BH3-only proteins leads to the initiation of apoptosis. BH3-only proteins bind to BCL2 proteins, as well as to BAK and BAX proteins which are necessary for apoptosis. Following the activation of BAX and BAK, pores in the outer mitochondrial membrane are formed. That process is termed mitochondrial outer membrane permeabilization, and it results in the outflow of many molecules from the mitochondrial intermembrane space, among which is cytochrome c (Cyt-c). Cyt-c is necessary for the activation of the apoptotic protease-activating factor 1 (APAF1). APAF1 contains the CARD (caspase recruitment domain) which interacts with the CARD of pro-caspase 9 (pro-CASP9) forming apoptosome. Inside this complex, apoptosis initiator caspase 9 (CASP9) is formed from pro-caspase 9, and subsequently, it leads to the activation of caspases 3 and 7 (CASP3 and CASP7) (Figure 1) [1,13].
Figure 1.
Mechanism of apoptosis initiation. The activation of the intrinsic pathway triggers the release of Cyt-c from the mitochondrial lumen into the cytosol, facilitated by a pore formed by the proteins BAK and BAX. This event induces the formation of a protein complex involving APAF1 and pro-CASP9, ultimately leading to the release of active CASP9. Subsequently, CASP9 activates CASP3. On the other hand, the extrinsic pathway is initiated by the binding of a ligand to its receptor, as illustrated in the scheme depicting the binding of Fasl to Fas. This binding activates a cascade that culminates in the activation of CASP8, which in turn activates CASP3. The activation of CASP3 serves as a pivotal point of no return, leading to the exposure of PS on the outer layer of the cell membrane, membrane blebbing, and the fragmentation of DNA in the nucleus.
The initiation of the extrinsic pathway occurs external to the cell, triggered by environmental conditions that signify the necessity for the cell to undergo apoptosis. The extrinsic pathway is activated by the binding of particular ligands to cell surface death receptors and consists of three signaling pathways: tumor necrosis factor receptor (TNFR), TNF-related apoptosis-inducing ligand (TRAIL), and factor-associated suicide (Fas)/Fas ligand (FasL) pathways [14]. When FasL binds to the Fas receptor, it leads to activation of the signaling pathway. The Fas-associated death domain (FADD) activates pro-caspase 8 (pro-CASP8), after which, active caspase 8 (CASP8) activates CASP3 and CASP7 (Figure 1) [15].
Activation of CASP3 and CASP7, by both intrinsic and/or extrinsic pathways, marks a point of no return and the cell has no choice but to undergo suicide (Figure 1). These caspases are involved in processes that define apoptosis, such as the fragmentation of DNA, exposure of phosphatidylserine (PS) on the outer lipid bilayer, blebbing of the cell membrane, and formation of apoptotic bodies. CASP3 promotes DNA fragmentation through the proteolytic inactivation of DNA fragmentation factor subunit alpha (DFFA or ICAD), which results in the release of active DFFB (also known as CAD). CASP3 is also involved in the externalization of PS through the activation of enzymes called phospholipid scramblases. Additionally, CASP3 inhibits enzymes—flippases—involved in PS internalization [3]. The mechanism of apoptosis initiation is shown in Figure 1.
1.2. Ferroptosis
Ferroptosis, initially proposed by Dr. Brent R. Stockwell and collaborators in 2012, represents a pivotal advancement in cell biology. Its discovery emerged from a comprehensive investigation spanning several years. Between 2001 and 2003, Dr. Stockwell’s laboratory delved into the exploration of small molecules exhibiting HRASV12-selective lethality. This intensive research culminated in the identification of a compound named erastin, characterized by its capacity to induce cell death via a non-apoptotic mechanism. Subsequent investigations further elucidated the properties of erastin and led to the discovery of RAS-selective lethal-3 (RSL3). Both compounds demonstrated the ability to trigger cell death, not through apoptosis, but rather via an iron-oxidative stress-dependent pathway.
These groundbreaking findings, along with complementary discoveries by other research groups, collectively defined ferroptosis as a novel form of regulated cell death. Ferroptosis is distinguished by its dependence on intracellular iron accumulation and the production of reactive oxygen species (ROS). Moreover, they identified it as a cell death mechanism that is morphologically, biochemically, and genetically distinct from previously known cell death mechanisms [4,5]. This paradigm shift in our understanding of cellular demise underscores the intricate interplay between iron metabolism, oxidative stress, and cell fate regulation. The elucidation of ferroptosis mechanisms holds profound implications for various fields, including cancer biology, neurodegenerative diseases, and therapeutic development.
1.2.1. Lipid Metabolism and Ferroptosis
Ferroptosis is characterized by the accumulation of free iron in cells which leads to high production of ROS and the subsequent lipid peroxidation of plasma membrane lipids. In the following text, mechanisms of ferroptosis induction are explained in detail. In ferroptosis, oxidized polyunsaturated fatty acids (PUFAs), from membrane phospholipids, play an important role. ACSL4 (acyl-CoA synthetase long-chain family member 4) is an enzyme that catalyzes the biosynthesis of PUFA-CoA, among others also from arachidonic acid (AA) and adrenic acid (AdA). PUFA-CoA are then used for the synthesis of phosphatidylethanolamines (PE) containing AA (PE-AA) and AdA (PE-AdA), catalyzed by LPCAT3 (lysophosphatidylcholine acyltransferase 3). These PEs are substrates for ALOX (arachidonic acid lipoxygenases) enzymes (ALOX15 and ALOX12), which catalyze peroxidation reactions in which PE-peroxides are formed (PE-OOH, Figure 2). PE-OOH are very unstable and can initiate lipid peroxidation which can damage the lipid bilayer (Figure 3) [16].
Figure 2.
Structure of PE-peroxide containing AA—it is a product of ALOX12/15 enzymes, is very unstable, and can initiate a lipid peroxidation chain reaction leading to damage of cell membrane.
Figure 3.
Mechanism of initiation of ferroptosis. The Xct- system is vital for preventing ferroptosis by supplying cystine for GSH synthesis, used by GPX4 to neutralize lipid radicals, as marled with red line. Under intense oxidative stress, depleted GSH and blocked Xct- system hinders sufficient GSH production, leaving the cell vulnerable to oxidative damage. ACSL4 synthesizes phospholipids with unsaturated fatty acids, like AA, prone to oxidation by ALOX12/15 enzymes, inducing lipid peroxidation in the cell membrane. Accumulated free iron in the cytosol generates reactive hydroxyl radicals through the Fenton reaction, triggering highly reactive lipid peroxides and initiating lipid peroxidation in the cell membrane. Iron levels are tightly regulated; in the blood, Fe3+ is transported bound to Tf. Cells with TfR receptors internalize the Tf-iron complex, releasing iron through DMT1. Ferritin stores iron inside cells, shielding them from pro-oxidant free iron. Ferritinophagy releases iron into the cytosol. Excess iron exits cells through FPN1, oxidizes to Fe3+, and binds to Tf. Processes inhibiting Xct-, GPX4, or causing free iron accumulation, along with increased synthesis of unsaturated fatty acid phospholipids and activation of ALOX12/15, can promote ferroptosis.
1.2.2. Iron Metabolism and Ferroptosis
Iron uptake by cells (apart from intestinal cells) occurs via transferrin receptors (TfR) which are positioned on the cell membrane. These receptors bind transferrin (Tf), the iron transporter in plasma, after which they are internalized as endosomes. In endosomes, under acidic conditions, Fe3+ is released from the Tf-TfR complex. After release, Fe3+ is reduced to Fe2+ by the STEAP3 (six-transmembrane epithelial antigen of prostate 3), and exported in the cytosol by DMT1 (divalent metal transporter 1). In the cytosol, free Fe2+ can initiate the Fenton reaction, which is prevented by binding to ferritin. Ferritin is a protein that stores excess iron in the form of Fe3+. PCBP1 and PCBP2 (poly rC-binding protein) are cytoplasmic proteins that are involved in the transportation of iron to ferritin. NCOA4 (nuclear receptor coactivator 4) mediates ferritinophagy, the autophagy degradation of ferritin in lysosomes, resulting in the release of iron into the cytosol (Figure 3) [17]. It has been shown that, in the first phases of ferroptosis, ferritinophagy plays a crucial role and that inhibitors of ferritinophagy can slow down the ferroptosis. However, in later stages, this inhibition does not exhibit a significant effect [18].
Iron can be exported from the cell, such as in enterocytes, hepatocytes, and macrophages, into the bloodstream by ferroportin-1 (FPN1). FPN1 exports iron as Fe2+, which is immediately oxidized to Fe3+ by hephaestin (HEPH) or ceruloplasmin. Hephaestin is expressed in enterocytes, while ceruloplasmin is expressed in macrophages and hepatocytes [19]. Once oxidized to Fe3+, iron can be bound to Tf (Figure 3). Hepcidin is a peptide hormone secreted by the liver that plays a key role in the systemic regulation of iron metabolism. Hepcidin binds to FPN1, and the complex is internalized in the cell and degraded. Higher levels of hepcidin will lead to the inhibition of iron export and subsequent iron accumulation [20].
1.2.3. Role of Xct-/GPX4 Axis
The Xct- transportation system is responsible for the supply of cystine inside the cell, which is necessary for the synthesis of glutathione (GSH). This system consists of a regulatory unit (SLC3A2) and a transportation unit (SLC7A11). The availability of cystine determines the rate of GSH synthesis. GSH is a substrate for glutathione peroxidase 4 (GPX4), the enzyme that is responsible for the reduction of lipid peroxides, such as PE-OOH, to lipid alcohol, PE-OH. Xct-/GSH/GPX4 is the axis that is responsible for the inhibition of ferroptosis. Inhibition of the Xct- system and/or GPX4 results in the initiation of ferroptosis, and vice versa (Figure 3) [21]. Blocking the Xct- system also results in elevated intracellular free iron levels, heightening the cell’s vulnerability to ferroptosis. Specifically, labile iron forms a complex with GSH and binds to PCBP1. Depletion of GSH inhibits iron binding to PCBP1, leading to the accumulation of free iron, which can generate ROS through the Fenton reaction [4,22].
1.2.4. GCH1/DHFR/BH4 Axis
Likewise, GCH1 (GTP cyclohydrolase-1) is the rate-limiting enzyme for the synthesis of tetrahydrobiopterin (BH4). Lower levels of BH4 indicate higher sensitivity to ferroptosis (Figure 4). BH4 is not only a reducing agent in cells but also serves as a cofactor of many enzymes. BH4 is necessary for the conversion of phenylalanine into tyrosine, which is necessary for the production of 4-OH-benzoate—a precursor of CoQ10 [23]. DHFR (dihydrofolate reductase) is the enzyme responsible for the regeneration of BH4. Inhibition of this enzyme, along with inhibitors of GPX4 can cause ferroptosis. The GCH1/DHFR/BH4 axis can neutralize lipid peroxides and lipid radicals, protecting cells from ferroptosis (Figure 4) [20].
Figure 4.
DHFR/BH4, FSP1/NAD(P)H/CoQ10, and Nrf2 pathways. CoQ10 and BH4 antioxidants help to neutralize harmful lipid radicals and prevent lipid peroxidation. The red line indicates the neutralization of reactive species, which consequently inhibits lipid peroxidation. FSP1 is an enzyme that turns inactive CoQ10 into its active form, ubiquinol. DHFR is another enzyme that converts dihydrobiopterine (BH2) to BH4, acting as an antioxidant and aiding in CoQ10 synthesis. Keap1 inhibits the release of Nrf2. During oxidative stress, Nrf2 is freed from Keap1, moves to the nucleus, and boosts the expression of proteins that inhibit ferroptosis, as marked with red line.
1.2.5. FSP1/NAD(P)H/CoQ10 Axis
FSP1/NAD(P)H/CoQ10 is a GPX4-independent system for cell protection against ferroptosis (Figure 4). Namely, FSP1 (ferroptosis suppressor protein 1) belongs to the quinone oxidoreductase NDH-2 family and is associated with the plasma membrane. It reduces ubiquinone to ubiquinol via NAD(P)H and is included in the synthesis of CoQ10-ubiquinol. Namely, CoQ10 is located in membranes where it serves as an antioxidant. It can neutralize lipid radicals and protect cells from ferroptosis. Moreover, FSP1 can also regenerate α-tocopherol (vitamin E), another potent antioxidant in the plasma membrane [20].
1.2.6. Keap1/Nrf2 Axis
Nuclear factor erythroid 2-related factor 2 (Nrf2, Figure 4) is a transcriptional factor that under normal conditions is bound to Kelch-like ECH-associated protein 1 (Keap1) and degraded through the ubiquitin-proteasomal pathway. Inhibition of Keap1 leads to the release and activation of Nrf2 [24]. Nrf2 translocates to the nucleus, interacts with antioxidant-responsive elements (AREs) and promotes the expression of many proteins. Some targets of Nrf2 are responsible for the prevention of ferroptosis, such as GPX4, ferritin light and heavy chains (FTL, FTH1), and FPN1. On the other hand, Nrf2 promotes the expression of proteins that can enhance ferroptosis such as heme-oxygenase 1 (HO-1), which is responsible for the degradation of heme from hemoglobin, products of this reaction are biliverdin, CO, and Fe2+ [25].
1.2.7. Role of p53 in Ferroptosis
Tumor suppressor protein p53 plays an important role in the suppression of tumor formation and growth by regulating the cell division and response of the cell to different types of stress. p53 can inhibit the expression of SLC7A11, making cells more susceptible to ferroptosis. p53 P47S polymorphism leads to increased levels of GSH and the inhibition of ferroptosis, probably due to the inability to suppress the expression of SLC7A11. p53 can activate the expression of SAT1 (Spermidine/spermine N1-acetyltransferase 1), which leads to the induction of the expression of ALOX15 which can lead to ferroptosis and tumor suppression. The exact mechanism of activation of this p53/SAT1/ALOX15 metabolic pathway, and the induction of ferroptosis through it, is still not fully elucidated. Additionally, p53 can translocate in mitochondria in hepatic stellate cells and cause the accumulation of redox-active iron and induction of ferroptosis. On the other hand, p53 can also act as a ferroptosis suppressor. Namely, p53 regulates the localization of DPP4 (dipeptidyl peptidase 4). The proposed mechanism is that depletion of p53 leads to decreased levels of DPP4 in the nucleus, which in turn leads to membrane-associated DPP4- binding to NOX1 (NADPH oxidase 1), lipid peroxidation, and ferroptosis. Another pro-survival effect of p53 is through p21 also known as CDKN1A (cyclin-dependent kinase inhibitor 1A). It has been shown that the p53-dependent expression of p21 and the production of GSH can delay ferroptosis, but this mechanism is not fully elucidated. All this highlights the importance of p53 in tumor progression and shows that p53 can be an important ferroptosis modulator in cancer cells and the loss of function of p53 can make cancer cells more resistant to ferroptosis, thus promoting cancer growth [26,27].
1.3. Plant Secondary Metabolites
Numerous plants have been historically employed in traditional medicinal practices over the centuries. Presently, there exists a substantial interest in the utilization of medicinal plants and harnessing plant secondary metabolites for medicinal purposes. This has led to the development of fields such as rational phytotherapy and pharmacognosy, as well as the design and approval of several methods of phytotherapeutics by national health regulatory bodies [11].
Plants produce a wide range of secondary metabolites. Their concentration is higher when plants are under stress, suggesting that they have a protective role. They are divided into three big groups, alkaloids, phenolics (PC), and terpenoids, and show many bioactivities that can be beneficial for humans and animals, such as antioxidant, anti-inflammatory, antihypertensive, anti-aging, and insulin-sensitizing properties [28,29].
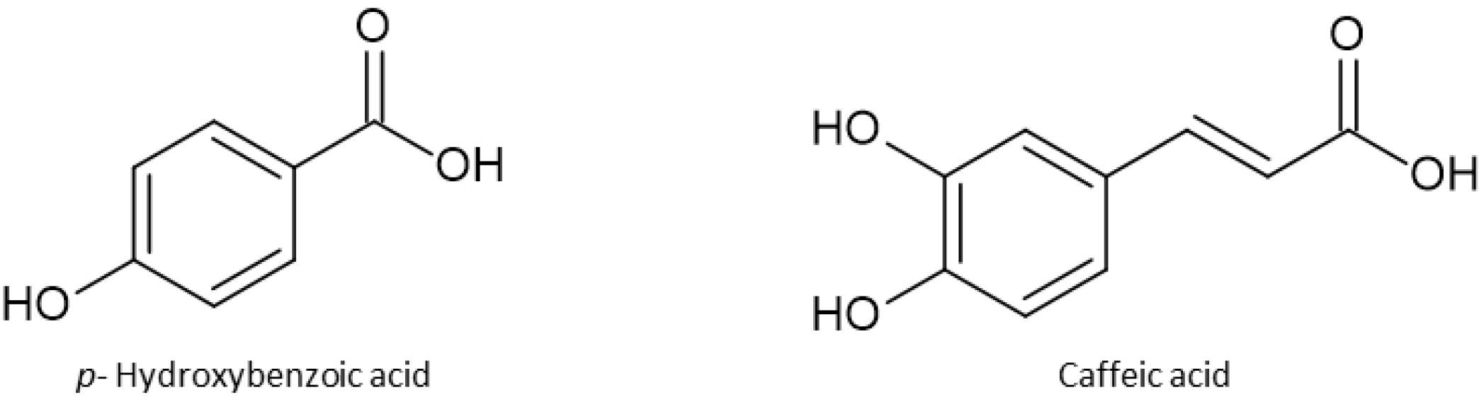
Phenolics or polyphenols represent a class of numerous compounds that possess one or more phenolic group in their structure. They can be divided into subclasses such as phenolic acids, flavonoids, tannins, coumarins, stilbenes, and lignans. Phenolic acids are polyphenols that are derived from hydroxybenzoic and hydroxycinnamic acids, and they differ by the number and position of hydroxy and methoxy groups. The most common benzoic acids are p-hydroxybenzoic, vanillic, and protocatechuic, while the most common hydroxycinnamic acids are caffeic, ferulic, and p-coumaric (Figure 5). Hydroxycinnamic acids are often found in esters with quinic acid called chlorogenic acids, while the most common are esters with caffeic acid. They possess antioxidant, anti-inflammatory, and antitumor activities [30].
Figure 5.
Structures of most common phenolic acids.
Flavonoids are one of the biggest classes of plant polyphenols. They have a C6-C3-C6 skeleton made of the three rings denoted as A, B, and C (Figure 6). They are divided into seven subclasses: flavanones, flavanols, anthocyanidins, flavones, flavonols, and chalcones. Flavonols have a 2-phenyl-chromen-4-one backbone and hydroxyl group bound at position C3, and representatives of this subclass are quercetin, rutin, and kaempferol. Flavones differ from flavonols due to their lack of hydroxyl group at position C3; apigenin and luteolin are the most common members of this subclass. Flavanones are also termed dihydroflavones because they do not have double bonds between C2 and C3. They are present in citrus fruits, with hesperidin, naringin, and eriodyctiol as representatives. Flavanols, known as flavan-3-ols, do not have double bond between C2 and C3 and a keto group at C4 but possess a hydroxyl group at C3. They are present as monomers or as polymers making proanthocyanidins. They are present in different fruits with (+)-catechin and (−)-epicatechin as the most common ones. Isoflavones are characterized by a 3-phenyl-chromen-4-on backbone, and thanks to this structural characteristic they are similar to animal estrogens and show affinity for estrogen receptors. They are known as phytoestrogens, and daidzein and genistein are members of this flavonoid subclass. Anthocyanidins are characterized by having flavylium cation as their backbone which makes them unstable and present as anthocyanins. In plants, they are pigmented with red, purple, and blue colors in flowers and fruits. The most common anthocyanidins are cyanidin, malvidin, delfinidin, and pelargonidin. Chalcones are a specific subclass of flavonoids because they have an open C-ring. They are precursors for the biosynthesis of flavonoids and isoflavonoids. Flavonoids have strong antioxidant activity and other beneficial properties for human health such as anti-hypertensive, cardioprotective, anti-inflammatory, anti-cancer, and neuroprotective properties [31].
Figure 6.
Structures of seven flavonoid subclasses’ skeletons and some of their representatives.
Coumarins are a class of polyphenols that, at the core of their structure, have a 2H-chromene-2-on structure. They are divided into several classes: simple coumarins (including hydroxycoumarins—scopoletin, esculetin), furanocoumarins (methoxsalen), pyranocoumarins (samidin, braylin), benzocoumarins (urolithin A and B), phenylcoumarins, and biscoumarins (Figure 7). They possess numerous biological properties such as anticoagulant, antioxidant, antiangiogenic, anticancer, and antibacterial properties [32].
Figure 7.
Structures of simple coumarin representatives.
Stilbenes are polyphenols with a diphenylethylene (C6-C2-C6) structure. In plants, they are produced as a defense mechanism against infections and UV radiation [33]. A representative of stilbenes is resveratrol (Figure 8). It is a polyphenolic stilbene with a double bond connecting two phenolic rings. Under UV radiation, it can undergo geometric isomerization. The trans-isomer is more abundant than the cis-isomer, and also more bioactive. Resveratrol possesses many activities that can be beneficial for humans such as cardioprotective, antioxidant, anti-inflammatory, anti-fungal, anti-viral, and other activities [34].
Figure 8.
Structure of stilbene representative—resveratrol.
Tannins are polymers, and they are divided into hydrolyzable and non-hydrolyzable condensed tannins. Hydrolysable tannins are composed of ellagic and gallic acids with a sugar core. On the other hand, condensed tannins are composed of flavonoids (flavan-3-ol and flavan-3,4-diol). Tannins have anticancerogenic, antiviral, anticancer, and antioxidant activities [35].
As can be seen from the above text, plants produce a plethora of polyphenolic compounds with many positive impacts on human health. In recent years, many papers have been published with evidence that plant secondary metabolites can modulate ferroptosis. In this paper, we will try to give some overview of those results and insights for future research in this field.
2. Methodology
This review work was undertaken under the guidance of the Preferred Reporting Items for Systematic Review and Meta-analysis (PRISMA) [36].
2.1. Search Strategy
A comprehensive search of multiple databases was performed. The searched databases were Web of Science, PubMed, ScienceDirect, Scopus, and Springer in the time span from 2017 to November 2023. The search was limited to research articles written in English and the keyword used was “ferroptosis”, in combination with “polyphenol”, “flavonoid”, “phenolic acid”, “coumarin”, “stilbene”, “chalcone”, “anthraquinone”.
2.2. Inclusion Criteria
Studies investigating the influence of pure, naturally occurring plant polyphenols on ferroptosis in any type of cells, tissue, or organism were considered. From each paper, the following information was extracted: investigated compound, study design, proposed mechanism of action, first author, and year of publication.
2.3. Exclusion Criteria
Studies investigating the influence of semi-synthetic or synthetic compounds not naturally occurring in plants; studies investigating extracts; and studies with in silico investigation without experimental confirmation of activity toward ferroptosis were excluded.
3. Results and Discussion
The selection process according to PRISMA guidelines is shown in Figure 9 and the PRISMA checklists are given in the Supplementary Materials (Tables S1 and S2) The research protocol for this study has been registered at INPLASY (registration number INPLASY202410104, https://doi.org/10.37766/inplasy2024.1.0104, accessed on 7 March 2024). A comprehensive search of databases resulted in the identification of 508 papers. After removing 134 duplicates and 58 studies that did not meet the inclusion criteria or that were not relevant, 4 papers were not retrieved and 312 studies were fully read. In total, one paper, previously included, was removed because of a retraction notice. In the end, 311 papers were included in this review. From the included papers, data were extracted and summarized in tables. Data extraction was performed by two independent researchers (N.Z. and M.L.).
Figure 9.
Prisma flow diagram. Illustrates search strategy and selection process. Selected databases were searched using keywords which resulted in a collection of 508 papers. After the removal of duplicates, papers outside of scope and not retrieved papers, 311 papers were included in this review.
3.1. Studying Influence on Ferroptosis
Research on the ferroptosis influence on cells can be carried out in vitro and in vivo. In vitro research is carried out on many different cell lines, mostly cancer cells [37,38,39,40]. In vivo studies are carried out on animals, most commonly mice and rats, but other species can also be used like gerbils and zebrafish, as shown in Table 1 and Table 2 [41,42,43,44,45].
3.1.1. Studies on Ferroptosis Inhibition
According to this review, research into the inhibition of ferroptosis is conducted both at the cellular and animal levels. In cell studies, ferroptosis is initiated, followed by the analysis of the inhibitory potential of the tested compounds. Ferroptosis initiation is induced by incubating cells with substances like erastin (Xct- system inhibitor), RSL3 (GPX4 inhibitor), hemin, or others [46,47]. Standard ferroptosis inhibitors, such as liproxstatin-1 (Lip-1) and ferrostatin-1 (Fer-1), are employed for comparison with the treatments under examination [47]. In animal studies, chemicals or surgical procedures are employed to induce ferroptosis, followed by the administration of phytochemicals to assess their anti-ferroptosis activity. Parameters examined include GSH, oxidized GSH, malondialdehyde (MDA), free cellular iron levels, and the expression of genes and proteins involved in the regulation of ferroptosis, such as GPX4, HO-1, Nrf2, FTH1 [7,48,49,50].
3.1.2. Studies on Ferroptosis Induction
For ferroptosis initiation/promotion studies, similarly to inhibition studies, cells are grown under the usual conditions until treatment with examined compounds. Parameters that are being examined are the same as for inhibition studies, levels of GSH, MDA, free iron, ROS, expression of GPX4, HO-1, FTH-1, Nrf2, among others. The inclusion of standard ferroptosis inhibitors in the treatment serves as an additional validation of ferroptosis initiation. Ferroptosis initiators (erastin and RSL3) can be used as a standard for evaluating the potency of the examined compound as a ferroptosis initiator. In ferroptosis initiation studies, animals are often inoculated with cancer cells in order to induce tumor formation, in which ferroptosis induction can be a potential treatment. Animals are usually divided into groups that receive treatment with the examined compound and control which receives saline or buffer solution. In addition to the standard parameters examined in tissues, these studies also track changes in tumor size [41,51,52,53,54].
3.2. Polyphenols as Potential Therapeutic Agents in Diverse Diseases via Ferroptosis Modulation
The involvement of ferroptosis in diverse diseases positions it as a promising target for therapeutic intervention. Plant secondary metabolites, particularly polyphenols, exhibit significant promise in the potential development of novel treatments centered on the modulation of ferroptosis.
3.2.1. Ferroptosis as Potential Target for Cancer Treatment
Cancer stands out as a major concern in contemporary society and medicine research. Existing therapies lack the desired selectivity, causing significant harm to healthy tissues and organs, thereby posing substantial challenges for patients. The emerging concept of ferroptosis presents a novel and promising path in cancer treatment. Considerable research has been dedicated to exploring plant secondary metabolites, especially polyphenols, as inducers of ferroptosis, thereby serving as potential anticancer drugs. Numerous cancer cell lines undergo scrutiny in this research, complemented by a substantial body of in vivo studies utilizing tumor xenograft models [54,55,56,57].
Specifically, a variety of polyphenols have been verified as potential anti-cancer agents, and notably, curcumin, whose potency to promote ferroptosis consequently demonstrated significant anti-cancer effects across various cancer cell types. It has the ability to reduce the expression of GPX4, SLC7A11, and FPN1, while simultaneously increasing the expression of ACSL4. This modulation resulted in the accumulation of iron, overproduction of ROS, and cell death through ferroptosis [10,51,58,59,60,61]. Furthermore, amentoflavone [62,63,64], baicalin [54,55,65], erianin [37,41,57,66,67], gambogenic acid [68], auriculasin [69], wogonin [70], quercetin [71,72], shikonin [73,74], scoparone [75], osthole [76], also have shown to be able to inhibit cancer growth though the induction of ferroptosis. All of this suggests the potential for developing novel cancer treatments grounded in natural products acting as ferroptosis inducers.
3.2.2. Ferroptosis as Potential Target for Diabetes Treatment
Diabetes is a significant burden of contemporary society as another prevalent disease. It is defined by the body’s incapacity to regulate normal blood sugar levels, stemming from either insulin resistance or insufficient insulin production. Additionally, diabetes can contribute to the development of other conditions, such as diabetic nephropathy, cardiomyopathy, and neuropathies [77,78,79]. Interestingly, polyphenols quercetin, rhein, and glabridin have been shown to attenuate diabetic nephropathy through inhibition of ferroptosis. Quercetin acted through the activation of the Nrf2/HO-1 pathway, rhein acted via the Rac1/NOX1/β-catenin pathway, while glabridin acted on the VEGF/Act/Erk pathway [78,80,81]. Furthermore, curcumin showed the ability to ameliorate diabetic cardiomyopathy by inhibiting ferroptosis. It was able to activate the Nrf2 pathway, raising levels of GPX4 and HO-1 and finally inhibiting ferroptosis caused by high glucose levels [82]. It is crucial to underscore that certain polyphenols exhibit a dual effect on ferroptosis, acting as both inhibitors and enhancers of this process. For instance, curcumin exemplifies this phenomenon. In cancer research, curcumin has demonstrated the ability to promote ferroptosis in cancer cells, thereby inducing cell death. Conversely, in diabetes, curcumin has been shown to inhibit ferroptosis, leading to cell revival. It is conceivable that curcumin operates through cell-specific mechanisms concerning ferroptosis. While these findings may be confusing, ongoing research endeavors aim to elucidate these phenomena further. Dihydromyricetin, ferulic acid, and naringin protected neurons from death and prevented cognitive impairment associated with diabetes and a high-fat diet. Dihydromyricetin acted as an inhibitor of the JNK-inflammatory pathway, oxidative stress, and lipid peroxidation, and caused downregulation of ACSL4 and upregulation of GPX4 expression [83]. On the other side, ferulic acid and naringin are proven to activate the Nrf2/GPX4 axis which leads to the inhibition of ferroptosis and neuroprotection [77,84].
3.2.3. Ferroptosis as Potential Target in Treatment of Neurodegenerative Diseases
Neurodegenerative diseases such as Parkinson’s and Alzheimer’s are caused by neuronal degeneration, accompanied by synaptic dysfunction, inflammation, oxidative stress, and the accumulation of proteins such as synuclein, Aβ, and tau proteins. Studies have shown that neuron death in these diseases is at least partially caused by iron metabolism imbalance and ferroptosis. Polyphenols have shown potential to at least partially improve and alleviate these conditions [85,86,87]. Specifically, it was shown that chrysophanol protected neurons from ferroptosis in Alzheimer’s disease by decreasing ROS levels, inhibiting lipid peroxidation, and increasing GPX4 expression [86]. Eriodictyol showed potential in the prevention and treatment of neurodegenerative disease thanks to its ability to guard neurons from oxidative stress and ferroptosis through activation of the Nrf2 pathway [88,89]. Echinatin [90], gastrodin [47,91,92] icariin [93], isoforthiaside [85], quercetin [94,95], salidroside [96,97], sennoside A [87], and tetrahydroxy stilbene glycoside [98] have been shown to prevent neurodegeneration and ameliorate neurodegenerative diseases, such as Alzheimer’s, through activation of the Nrf2 signalling pathway, which protects against oxidative stress and ferroptosis. Unlike them, silibinin protects against Alzheimer’s disease and neurodegeneration by inhibiting ferroptosis and inflammation through modulation of the STING pathway [99].
3.2.4. Ferroptosis as Potential Target in Traumatic Brain Injury Treatment
A traumatic brain injury can cause damage to blood vessels and brain tissues leading to haemorrhage and neuron death. Similar to an intracranial haemorrhage after a traumatic brain injury, a subarachnoid haemorrhage, which can be caused by a ruptured aneurism, leads to damage of surrounding brain tissues. The neuronal damage is at least partially caused by the degradation of released haemoglobin by HO-1, which leads to the accumulation of free iron, oxidative stress, lipid peroxidation, and neuronal death by different mechanisms, including ferroptosis [46,100,101,102]. There is no treatment for these conditions, but some polyphenols show promising results in this regard. Baicalein and baicalin have been shown to also alleviate brain injury through the inhibition of ferroptosis. They were able to increase the expression of GPX4 and SLC7A11 which led to protection against oxidative damage [46,103,104]. Puerarin is another compound that showed potential in the treatment of a brain injury caused by an intracerebral haemorrhage. It activated the AMPK/PGC1α/Nrf2 pathway, which was followed by the alleviation of iron accumulation, lipid peroxidation inhibition, an increase in the expression of GPX4, and a decrease in the expression of ACSL4 [101].
3.2.5. Ischemia/Reperfusion Injury Treatment by Targeting Ferroptosis
Ischemia/reperfusion injury arises when blood flow is interrupted, leading to hypoxia, followed by the restoration of blood flow and reoxygenation. This phenomenon can be manifested in the myocardium, brain, and various other organs. It is common for this to occur during major surgeries, myocardial infarction, stroke, and organ transplantations [105]. It is marked by elevated production of ROS, diminished levels of antioxidants, inflammation, and cell death. New discoveries suggest that ferroptosis plays a role in ischemia/reperfusion injury, offering a fresh approach to treating this condition. Plant secondary metabolites, especially polyphenols, have exhibited encouraging outcomes as potential therapeutic agents in this context. In vivo studies revealed that isorhamnetin and apigenin-7-O-(6″-p-coumaroyl)-glucoside can attenuate ischemia/reperfusion injury by inhibiting ferroptosis [106,107]. Galangin was able to attenuate ischemia/reperfusion injury through inhibition of ferroptosis by activating Nrf2/GPX4, SLC7A11/GPX4, and PI3K/AKT/CREB signaling pathways [44,108,109]. Resveratrol also showed potential to attenuate ischemia/reperfusion injury through anti-ferroptotic activity [110,111,112]. Some other compounds that displayed promising results for treatment of ischemia/reperfusion injuries were rhein [113], vitexin [114], naringenin [115], loureirin C [116], caffeic acid [117], baicalein [118,119], luteolin [119], kaempferol [120], and others. The predominant mechanism underlying this phenomenon involves the upregulation of GPX4 and SLC7A11 expression, along with the modulation of iron metabolism.
3.2.6. Ferroptosis as Potential Target in Treatment of Liver Diseases
The liver serves as a central hub in the body’s defense system, playing a crucial role in metabolizing and detoxifying various chemicals and drugs. Some substances, such as acrylamide and acetaminophen, have been identified as potential contributors to liver injury [121,122,123,124]. Nevertheless, certain polyphenols have demonstrated significant potential in mitigating liver injury. For instance, salidroside has been shown to alleviate acetaminophen-induced acute liver injury. Its mechanism involves inhibiting endoplasmic reticulum stress-dependent ferroptosis through the activation of AMPK/SIRT1 and the inhibition of the ATF4/CHAC1 axis [124]. Similarly, kaempferol was proven effective in ameliorating acetaminophen-induced liver injury. It achieved this by activating the Nrf2 pathway, leading to the upregulation of GPX4 and SOD2 expression, the reduction of ACSL4 expression, alleviation of intracellular iron accumulation, and ultimately the inhibition of ferroptosis [125]. Additionally, epigallocatechin-gallate has demonstrated its ability to alleviate liver injury induced by a high-fat diet. The accumulation of triglycerides in the liver due to a high-fat diet renders the organ susceptible to damage from oxidative stress, inflammation-induced lipid peroxidation, and ferroptosis. Epigallocatechin-gallate protects the liver by mitigating iron accumulation, increasing the expression of GPX4, decreasing the expression of ACSL4 and COX2, and ultimately inhibiting ferroptosis [126].
Liver fibrosis is a prevalent condition associated with numerous chronic liver diseases, marked by the excessive production and build up of extracellular matrix proteins, including α-smooth muscle actin and collagens. Hepatic stellate cells play a pivotal role in this process, as they undergo activation and contribute to the synthesis of matrix proteins. Research has indicated that specifically targeting and inducing the death of these cells can mitigate fibrosis, with ferroptosis emerging as a potential targeted mechanism for this purpose [127,128]. Chrysophanol has expressed some potential to attenuate liver fibrosis by removing activated hepatic stellate cells through the induction of ferroptosis through the downregulation of GPX4 and SLC7A11 expression [128]. Danshensu, isoliquiritigenin, and wogonoside are phenolic compounds with the proven potential to alleviate liver fibrosis through induction of ferroptosis in hepatic stellate cells. They downregulated the expression of GPX4 and SLC7A11, and promoted ROS production and lipid peroxidation which leads to cell death through ferroptosis [9,127,129].
3.2.7. Acute Lung Injury Treatment through Ferroptosis Modulation
Acute lung injury can be caused by different mechanisms such as infections, non-chest traumas, massive blood transfusions, acute pancreatitis, and prolonged oxygen supplementation during hospitalization. It is characterized by the production of inflammatory mediators, increased permeability of the barrier between the capillary endothelium and alveolar epithelial cells and pulmonary oedema. It has been shown that non-apoptotic cell death mechanisms, such as ferroptosis, are implicated in acute lung injury. The most common treatments for acute lung injury are glucocorticoids, which come with serious side effects. Ferroptosis inhibition is seen as a new potential target for the development of new therapeutics [130,131,132]. Chicoric acid was able to alleviate LPS-induced lung injury in mice thanks to its anti-inflammatory and anti-oxidative activities. It reduced the production of inflammatory cytokines and ROS, inhibited lipid peroxidation, increased levels of GSH and activated the Nrf2/HO-1 pathway [133]. Ferulic acid and Naringenin are other polyphenolics with a proven ability to alleviate acute lung injury through activation of the Nrf2/HO-1 signaling pathway and subsequent inhibition of ferroptosis [134,135]. Also, quercetin alleviated lung injury through ferroptosis inhibition by activating the Sirt1/Nrf2/GPX4 pathway [130].
Significantly, as described before, both the induction and inhibition of ferroptosis by polyphenols have demonstrated therapeutic benefits in different pathological states. As this review aims to provide the latest data on the potential use of polyphenols in the context of ferroptosis, it endeavors to contribute to the exploration of these compounds as potential therapeutics for the future. By presenting up-to-date information, this review seeks to elucidate the nuanced role of polyphenols in modulating ferroptosis and their potential applications in addressing various pathological conditions. The multifaceted effects of polyphenols on ferroptosis pave the way for a comprehensive understanding of their therapeutic potential, marking them as promising candidates for future medical interventions. Specifically, Table 1 presents a compilation of polyphenols capable of inducing ferroptosis, accompanied by their verified mechanisms of action, the model systems in which these effects were examined, and corresponding references. Additionally, Table 2 provides parallel information on polyphenols identified as inhibitors of ferroptosis. These tables serve as comprehensive up-to-date references, offering valuable insights into the diverse actions of polyphenols in modulating ferroptosis.
Table 1.
List of polyphenols as inducers and enhancers of ferroptosis, verified mechanisms of their action, the model systems in which these effects were examined, and corresponding references.
Table 1.
List of polyphenols as inducers and enhancers of ferroptosis, verified mechanisms of their action, the model systems in which these effects were examined, and corresponding references.
| Phenolics | Proposed Mechanism | Model System in Which Effect Was Examined | Reference | |
|---|---|---|---|---|
| In Vitro | In Vivo | |||
| Agrimonolide | Increases ROS and Fe2+ levels and downregulates GPX4 and SLC7A11 | A2780 and SKOV-3 cells | SKOV-3 cells xenograft model in BALB/c mice | [136] |
| Alloimperatorin | Accumulation of Fe, ROS, and MDA, decreased expression of SLC7A11 and GPX4 with increased expression of Keap1 | Breast cancer cells | / | [137] |
| Amentoflavone | Induces ferroptosis through miR-496/ATF2 axis | GSE-1, AGS and HGC-27 cells | AGS cells xenograft model in BALB/c nude mice | [62] |
| Promotes ferroptosis by activation of ROS/AMPK/mTOR pathway | ESC and KLE cell lines | / | [63] | |
| Increased levels of iron, lipid ROS, and MDA, depletion of GSH | U251 and U373 cells | U251 cells xenograft model in BALB/c nude mice | [64] | |
| Apigenin | Causes iron accumulation, lipid peroxidation, GSH depletion, downregulates expression of SLC7A11 and GPX4, upregulates expression of p62, HO-1, and ferritin | Human Ishikawa cells | Ishikawa cells xenograft model in BALB/c nude mice | [52] |
| Nanocomposites Fe2O3/Fe3O4@mSiO2 loaded with apigenin induce ferroptosis by increasing ROS production and downregulation of expression of GPX4, FTH1 and upregulation of expression of COX2 and p53 | A549 and HUVECs | / | [138] | |
| Auriculasin | Increases levels of Fe2+ and MDA, and induces generation of ROS, promotion of expression of Keap1 and AIFM | HCT116 and SW480 cells | / | [69] |
| Baicalin | Promotes Fe2+ accumulation, ROS production, lipid peroxidation, depletes GSH, decreases expression of GPX4 and Xct- through upregulated degradation of Nrf2 | MG63, 143B, hBMSC | MG63 xenograft model in BALB/c nude mice | [54] |
| Promotes ROS production, enhances mRNA expression of TfR1, NOX1 and COX2, suppresses mRNA expression of GPX4, FTH1, and FTL | AGS and SGC-7901 cells | / | [55] | |
| Induces ferroptosis through downregulation of FTH1 | Bladder cancer cells 5637 and KU-19-19 cells | KU-19-19 cells xenograft model in mice | [65] | |
| Bavachin | Increases Fe2+ through increased DMT1 and TfR and decreased FTH and FTL expression, depletes GSH and enhances ROS production and MDA, modulates STAT3/p53/SLC7A11 axis | MG63 and HOS cell lines | / | [139] |
| Bilobetin | Promotes iron accumulation, ROS production and upregulates p53 expression | HCT116, HT29, RKO and LOVO cells | HCT116 xenograft model in BALB/c mice | [140] |
| Chrysin | Induces ferritinophagy-dependent ferroptosis | PANC-1, Capan-2, BxPC-3, AsPC-1 and HPDE6-C7 cells | PANC-1 xenograft model in BALB/c nude mice | [141] |
| Chrysophanol | Accumulation of ROS, downregulation of GPX4 and SLC7A11 | HSC-T6 cell line | / | [128] |
| Curcumin | Induces ferroptosis through GSH/GPX4 and FSP1/CoQ10-NADH pathways | A549 cells | A549 cells xenograft model in NOD/SCID mice | [10] |
| Promotes iron accumulation and lipid peroxidation, upregulates expression of HO-1, and downregulates expression of GPX4 | Nthy-ori-3-1, FTC-133 and FTC-238 cells | / | [58] | |
| Induces ROS production and downregulates expression of GPX4 and FSP1 | SW480 and HCT116 cells | / | [56] | |
| Induces ferroptosis through upregulation of SLC1A5 | MDA-MB-453 and MCF-7 | MCF-7 cells xenograft model in BALB/c nude mice | [61] | |
| Promotes iron accumulation and lipid peroxidation, downregulates GSH, GPX4, and SLC7A11, activates PI3K/Akt/mTOR pathway | HCT-8 cells | / | [59] | |
| Depletion of GSH, accumulation of iron and ROS, lipid peroxidation | A549 and H1299 cells | Lewis lung carcinoma model in C57BL/6 mice | [51] | |
| Induces ferroptosis through ADAMTS18 | Sunitinib-resistant A498 and 786-O cells | / | [60] | |
| Accumulation of intracellular iron, ROS, LOOH, MDA, and upregulation of HO-1 | MCF-7 cells | / | [142] | |
| Danshensu | Promotes ROS production and downregulates expression of GPX4 and SLC7A11 | LX-2 and T6 cells | / | [129] |
| 3,5-dicaffeoylquinic acid | Induces ferroptosis and mitochondrial dysfunction through ROS/AMPK/mTOR pathway | HCT116 and SW480 cells | / | [143] |
| 4,4′-dimethoxychalcone | Promotes iron accumulation, lipid peroxidation, and activates Keap1/Nrf2/HO-1 pathway | A549 cells and 786-O cells | / | [144] |
| Diplacone | Promotes lipid peroxidation ATF3 expression | A549, NK-92 and K562 cells | / | [145] |
| Emodin | Downregulates Notch1/Nrf2/GPX4 pathway | NRK-52E cells | Emodin high-dose induced nephrotoxicity in mice | [146] |
| Erianin | Ferrostatin-1 inhibits cytotoxicity of erianin suggesting activation of ferroptosis | A549 and H1299 cells | A549 cells xenograft model in nude mice | [66] |
| Promotes accumulation of iron and ROS production, induces lipid peroxidation and downregulates expression of GPX4, FTH1, and ferritin | LoVo, HCT116, DLD1, HCT8, SW480, SW620, HT29, Caco2, MC38 cells | HCT116-luc cells subcutaneous and liver metastasis models in BALB/c nude mice | [37] | |
| Promotes iron accumulation and lipid peroxidation and downregulates expression of GPX4, upregulates expression of ALOX12, p53, and METTL3 | CD44+/CD105+ HuRCSCs | Xenograft model in BALB/Cnu/nu mice | [57] | |
| ROS accumulation, GSH depletion, lipid peroxidation, and downregulation of FTH1, GPX4, HO-1, Xct-/SLC7A11, and Nrf2 | RT4 and KU-19-19 cells | KU-19-19 cells xenograft model in BALB/c nude mice | [41] | |
| Induces ferroptosis through activation of Ca2+/CaM signaling pathway | H460 and H1299 cells | H460 cells xenograft model in BALB/c nude mice | [67] | |
| Eriocitrin | Downregulates Nrf2/SLC7A11/GPX4 axis | A549 and H1299 cells | / | [147] |
| Eriodictyol | Downregulates expression of SLC7A11 and GPX4, downregulates Nrf2/HO-1/NQO1 pathway | A2780 and CaoV3 cells | CaoV3 cell xenograft model in BALB/c mice | [148] |
| Esculetin | Promotes iron accumulation and lipid peroxidation through NCOA4 mediated ferritinophagy | HUH7 and HCCLM3 cells | HUH7 cells xenograft model in BALB/c mice | [149] |
| Ferulic acid | Upregulates ACSL4 and HO-1 and downregulates SLC7A11 and GPX4 | TE-4 and EC-1 cells | / | [150] |
| Gallic acid | Downregulates expression of GPX4 and SLC7A11 by inhibiting Wnt/β-catenin pathway | HepG2 cells | / | [151] |
| Potential ferroptosis inducer, and increased ROS and MDA production, reduced activity of GPX. | MDA-MB-231, MCF10A, and A375 cells | / | [152] | |
| Cell death triggered by gallic acid can be prevented by ferroptosis inhibitor DFO | HeLa, SH-SY5Y, and H446 cells | / | [153] | |
| Gambogenic acid | Activates p53/SLC7A11/GPX4 axis | HOS and 143B cells | 143B cells xenograft model in athymic nude mice | [154] |
| Activates AMPKα/SLC7A11/GPX4 pathway | FHC, HCT116, HT29, DLD-1, HCT115 and COLO320DM cells | HCT116 cells xenograft model in BALB/c mice | [40] | |
| Downregulates NEAT1 and induces ferroptosis through SLC7A11/GPX4 axis | A375, B16, B16F10 and A2058 cells | B16F10 xenograft model in C57BL/6 mice | [68] | |
| Induces ferroptosis through p53/SLC7A11/GPX4 axis | A375 and A2058 cells | / | [155] | |
| 6-gingerol | Enhanced production of ROS, depletion of GSH, downregulated expression of Nrf2 and GPX4 | LNCaP, DU145, and PC3 cells | / | [156] |
| Upregulates expression of NCOA4 and TfR1, and downregulates expression of GPX4 and FTH1 | A549 cells | A549 cells xenograft model in BALB/c mice | [157] | |
| Ginkgetin | Promotes iron accumulation, ROS production, and upregulates p53 expression | HCT116, HT29, RKO and LOVO cells | HCT116 xenograft model in BALB/c mice | [140] |
| Enhances cytotoxicity of DDP through induction of ferroptosis, increases levels of free iron, production of ROS, and lipid peroxidation, lowers GSH/GSSG ratio, reduces protein levels of SLC7A11 and GPX4, inhibits Nrf2/HO-1 axis | A549, NCI-H460, SPC-A-1 cells | NSCLC xenograft model in nude mouse | [158] | |
| Honokiol | Promotes lipid peroxidation and upregulates expression of HO-1 | THP-1, U-937, and SMK-1 cells | / | [159] |
| Increases levels of iron and ROS, and downregulates expression of GPX4 | SW48, HT29, LS174T, HCT116, HCT8, RKO, and SW480 cells | RKO cells xenograft model in BALB/c mice | [160] | |
| Icariin | Induces autophagy and ferroptosis through modulation of miR-7/mTOR/SREBP1 pathway | RWPE-1, DU145, and PC-3 cells | / | [161] |
| Icariside II | Upregulates miR-324-3p which downregulates GPX4 | ACHN, A498, 786-O, Caki-1, and 293T cells | Caki-1 cells xenograft model in BALB/c mice | [162] |
| Isoginkgetin | Promotes iron accumulation, ROS production, and upregulates p53 expression | HCT116, HT29, RKO, and LOVO cells | HCT116 xenograft model in BALB/c mice | [140] |
| Isoliquiritigenin | Upregulates expression of HO-1, and downregulates expression of GPX4 | SGC996, NOZ, and L-2F7 cells | NOZ cells xenograft model in BALB/c mice | [163] |
| Downregulates GPX4, and upregulates TfR and DMT1 expression | HSC-T6 cells | CCl4-induced liver-fibrosis model in C57BL/6 mice and 0.06% TA-induced liver fibrosis model in zebrafish | [9] | |
| Isoliquiritin | Promotes iron accumulation and downregulates expression of GPX4 and SLC7A11 | MDA-MB-231 and MCF-7 cells | BALB/c mice | [164] |
| Isoorientin | Inhibits SIRT6/Nrf2/GPX4 signaling pathway | A549 cells | A549 cells xenograft model in BALB/c mice | [165] |
| Isoquercitrin | Downregulates expression of GPX4, HO-1 and SLC7A11 | CNE1 and HNE1 cells | CNE1 cells xenograft model in BALB/c mice | [166] |
| Luteolin | Promotes expression of ACSL4, and downregulates expression of GPX4, SLC7A11, FTH1, and FTL1 | RWPE-1, DU145, PC-3, and LNcaP cells | PC-3 cells xenograft model in BALB/c mice | [167] |
| Acts synergistically with erastin, and upregulates expression of HIC1 which results in downregulated expression of GPX4 | HCT116, SW480, and NCM460 cells | HCT116 cells xenograft model in BALB/c mice | [168] | |
| Lysionotin | Promotes degradation of Nrf2 | HCT116, SW480, HIEC, and NCM460 cells | HCT116 cells xenograft model in athymic nude mice | [169] |
| Nobiletin | Increases levels of iron, MDA, and ROS, decreases levels of GSH and GPX4, enhances the expression of Keap1, and inhibits the expression of Nrf2 and HO-1 | SK-MEL-28 | / | [170] |
| Osthole | Downregulates expression of GPX4 and SLC7A11, and upregulates expression of HO-1 and NCOA4 | HCT116, SW480, and MC38 cells | HCT116 cells xenograft model in C57BL/6J mice | [76] |
| Puerarin | Promotes autophagy-dependent ferroptosis through upregulation of NCOA4 | HT-29 cells | / | [171] |
| Plumbagin | Promotes ROS production and GPX4 degradation | HepG2 and Hep3B cells | / | [172] |
| Quercetin | Downregulates expression of GPX4, and upregulates expression of SLC7A11 and TfR1 | HEC-1-A cells | / | [173] |
| Triggers the release of iron through degradation of ferritin, enhances the production of ROS and lipid peroxidation, increases expression of SLC27A4 and decreases expression of GPX1 | HepG2, Hep3B, MDA-MB-231, HCT116 cell lines | / | [71] | |
| Resveratrol | Promotes ferroptosis through Hsa-miR-335-5p/NFS1/GPX4 pathway | AML-193 and OCI-AML-3 cells | / | [174] |
| Upregulates expression of ACSL4, and downregulates expression of GPX4 and SLC7A11 | Human plasma and lung tissues, PBMCs and H520 cells | / | [175] | |
| Rhamnazin | Downregulates expression of GPX4 | HCC Huh7 and SMMC-7721 cell | / | [176] |
| Robustaflavone A | Accumulation of ROS, downregulation of Nedd4, and upregulation of VDAC2 | MCF-7 cells | / | [177] |
| Rotenone | Promotes iron accumulation, promotes expression of ACSL4, COX2, GPX4 and SLC7A11 | Primary neuron culture | Intracerebral hemorrhage model in ICR mice | [178] |
| Upregulates expression of Keap1, p53, and COX2, and downregulates expression of GPX4, SLC7A11, and FTH1 | NE-4C cells | / | [179] | |
| Inhibits Keap1/Nrf2/SLC7A11/GPX4 axis | BV-2 cells | / | [180] | |
| S-3′-hydroxy-7′, 2′, 4′-trimethoxyisoxane | Inhibits Nrf2/HO-1 signaling pathway | SGC-7901, A549, H460, SW480, BEL-7402, HeLa, HBE, and MCF-7 cells | A549 cells xenograft model in nude mice | [181] |
| Scoparone | Activaties the ROS/JNK/SP1/ACSL4 axis | NHBE, A549, H1299, and PC-9 cells | / | [75] |
| Shikonin | Inhibits Nrf2 signaling pathway | HTR-8/SVneo cells and villous tissue of women suffering from TP and from women with normal pregnancies | / | [182] |
| Downregulates expression of GPX4, and upregulates expression of TfR1, NCOA4, HO-1, and shows synergism with cisplatin | A2780, SKOV3, OVCAR4, A2780/DDP, SKOV3/DDP, and OVCAR4/DDP cells | A2780/DPP cells xenograft model in BALB/c nude mice | [73] | |
| Downregulates expression of GPX4 and promotes expression of ATF3 | SBC-2 and H69 cells | SBC-2 cells xenograft model in nude mice | [74] | |
| Induces GOT1-dependent ferritinophagy | RPMI 8226 and U266 cells | RPMI 8226 cells xenograft model in Nod-SCID mice | [183] | |
| Shikonin-Fe(III) nanoparticles induce iron accumulation, GSH depletion, production of ROS, increase lipid peroxidation and downregulate GPX4 expression | 4T1 and L929 cells | 4T1 xenograft model in BALB/c mice | [184] | |
| Theaflavin-3,3′-Digallate | Induces iron accumulation and lipid peroxidation, downregulates expression of GPX4 and FTH1 | HOS, MG63, and hFOB1.19 cells | HOS cells xenograft model in BALB/c mice | [185] |
| 2,3,5,4′-tetrahydroxystilbene | Upregulates expression of ACSL4 and downregulates expression of GPX4 | DLD-1, HT-29, HCT-116 | HT-29 xenograft model in severe combined immunodeficient (SCID) mice | [53] |
| Tiliroside | Downregulates expression of GPX4 and SLC7A11 and upregulates expression of HO-1 | BT-549, MDA-MB-468, SK-BR-3, MCF-7, and MCF-10A cells | BT-549 cells xenograft model in BALB/c mice | [186] |
| Promotes ubiquitination of Nrf2, and downregulates expression of GPX4 and FTH1 | HepG2, Hep3B SMMC-7721, and L02 cells | HepG2 xenograft model in BALB/c mice | [187] | |
| Typhaneoside | Increases ROS production, and lipid peroxidation and reduces GSH and GPX. Promotes autophagy and autophagic degradation of ferritin | Kas-1, HL60, NB4, K562 cells | HL60 cells xenograft model in BALB/c mice | [38] |
| Wogonin | Inhibits Nrf2/GPX4 pathway | AsPC-1, PANC-1, and HPDE6-C7 cells | PANC-1 cells xenograft model in BALB/c mice | [70] |
| Wogonoside | Modulates SOCS1/p53/SLC7A11 pathway to induce ferroptosis | HSC-t6, AML12, and RAW 264.7 cells | CCl4-induced liver fibrosis model in C57BL/6 mice | [127] |
Table 2.
List of polyphenols with inhibitory activity on ferroptosis, verified mechanisms of their action, the model systems in which these effects were examined, and corresponding references.
Table 2.
List of polyphenols with inhibitory activity on ferroptosis, verified mechanisms of their action, the model systems in which these effects were examined, and corresponding references.
| Phenolics | Proposed Mechanism | Model System in Which Effect Was Examined | Reference | |
|---|---|---|---|---|
| In Vitro | In Vivo | |||
| Acacetin | Upregulates expression of GPX4 and downregulates expression of ACSL4 | HepG2 cells | High-fat-diet-induced lipid accumulation in liver in C57BL/6 mice | [188] |
| Acetyl zingerone | Activates Nrf2/HO-1 signaling pathway | Primary chondrocytes | Knee osteoarthritis model in C57BL/6J mice | [189] |
| Aloe-emodin | Complexes Fe2+, modulates intracellular iron metabolism, increases expression of Nrf2, GPX4, and SLC7A11 | H9c2 cells | / | [190] |
| Anacardic acid | Downregulates expression of TfR1, and upregulates expression of GPX4 | / | Freeney free-fall impact model-induced traumatic brain injury in ICR mice | [102] |
| Anhydroxysafflor yellow B | Reduces ROS, 4-HNE, and MDA production, reduces Fe2+ levels, increases GSH/GSSG ratio, and upregulates expression of GPX4 and SLC7A11 | PC12 cells | / | [191] |
| Apigenin | Decreases production of ROS and MDA, upregulates activity of SOD, and improves GSH/GSSG ratio, lowers level of Fe2+ | AML12 cells | / | [192] |
| Apigenin-7-O-(-6″-p-coumaroyl)-glucoside | Reduces the level of ROS and Fe2+, inhibits HO-1 and MAO-B | Human umbilical vein endothelial cell line (HUVECs) | Model of intestinal ischemia/reperfusion injury in CL57BL/6J mice | [107] |
| Astringin | Antioxidant activity | bmMSCs | / | [193] |
| Avicularin | Activates Nrf2/HO-1/GPX4 pathway | RAW 246.7 and HepG2 cells | LPS/D-GalN-induced acute liver failure model in C57BL/6 mice | [194] |
| Baicalein | Decreases iron accumulation and lipid peroxidation, upregulates expression of GPX4 and SLC7A11, downregulates expression of ALOX15 | IEC-6 cells | CPT-11-induced gastrointestinal dysfunction in Wistar rats | [195] |
| Decreases levels of ROS and ALOX15 | / | Cardiac arrest model in SD rats | [196] | |
| Inhibits ferroptosis through a decrease in p53 acetylation level by elevating SIRT1 | HK2 cells | Polymyxin B-induced acute kidney injury model in C57BL/6 mice | [197] | |
| Alleviates ferroptosis through AMPK/Nrf2/HO-1 axis | Primary human and mouse chondrocyte | Surgery-induced osteoarthritis model in C57BL/6J mice | [198] | |
| Decreases levels of ROS, MDA, and iron, and restores protein levels of GPX4 | H9c2 cells and primary cardiomyocytes from neonatal SD rats | Langerdorff perfusion system for ischemia/reperfusion model on isolated hearts from SD rats | [119] | |
| Modulates GPX4/ACSL4/ACSL3 axis | HT22 cells | tMCAO-induced cerebral ischemia/reperfusion injury model in C57BL/6 mice | [118] | |
| Decreases iron and MDA levels, and suppresses expression of HMOX1 and FPN1, and increases expression of GPX4 and SLC7A11 | THP1 cells and human macrophages isolated from endometrium peritoneal fluid | / | [199] | |
| Inhibits NF-κB pathway, and activates Nrf2/HO-1 pathway | HepG2 cells | CCl4-induced acute liver injury in C57BL/6 mice | [121] | |
| Upregulates GPX4, and downregulates TFR1. | HEM-1 cells | / | [200] | |
| Suppression of lipid peroxidation, lover levels of 4-HNE, upregulation of GPX4, and downregulation of LOX12/15 | HT22 cells | FeCl3-induced post-traumatic epilepsy disorder in C57/BL6 mice | [103] | |
| Baicalin | Enhanced expression of GPX4 and SLC7A11, decreased expression of DMT1 | PC12 cells and primary cortical neurons | Type IV collagenase-induced intracerebral hemorrhage model in C57BL/6 mice | [46] |
| Reduces ROS production, and promotes SOD activity and expression of GPX4, lowers iron levels through modulation of iron uptake, storage, and ferritinophagy | H9C2 cells | Myocardial ischemia/reperfusion injury model in male Sprague-Dawley rats | [201] | |
| Decreased levels of Fe2+, MDA and ROS, increased level of GSH and upregulation of GPX4 | Primary rat neurons | Subarachnoid hemorrhage model in Sprague-Dawley rats | [104] | |
| Biochanin A | Downregulates TfR1, upregulates FPN1, and activates Nrf2/system xc-/GPX4 pathway | Primary chondrocytes isolated from C57BL/6 mice | Iron-dextran-induced iron overload and surgery-induced knee osteoarthritis in C57BL/6 mice | [202] |
| Caffeic acid | Downregulates expression of ACSL4 and TfR1 and activates Nrf2 pathway | SK-N-SH cells | pMCAO-induced cerebral ischemia/reperfusion injury | [117] |
| Cannabinol | Inhibits ROS production and lipid peroxidation, increases expression of Nrf2, HO-1, SOD2, GPX4 | HT22, SH-SY5Y, BV2 cells | / | [203] |
| Calycosin | Downregulates expression of ACSL4 and TfR1, and upregulates expression of FTH1 and GPX4 | PC12 cells | tMCAO/R model in SD rats | [204] |
| Upregulates expression of GPX4, and downregulates expression of NCOA4 | HK-2 cells | Db/db mice and db/m mice | [205] | |
| Cardamonin | Increases expression of SLC7A11, GPX4, p53, and decreases expression of iNOS and COX2 | Primary chondrocytes isolated from SD rats | Osteoarthritis model in SD rats | [48] |
| Carthamin yellow | Downregulates expression of ACSL4 and TfR1, and upregulates expression of GPX4 and FTH1 | / | MCAO-induced cerebral ischemia/reperfusion model in SD rats | [206] |
| Chebulagic acid | Inhibits ferroptosis through ROS scavenging and iron chelation | Bone marrow-derived mesenchymal stem cells isolated from SD rats | / | [207] |
| Chebulinic acid | Inhibits ferroptosis through ROS scavenging and iron chelation | Bone marrow-derived mesenchymal stem cells isolated from SD rats | / | [207] |
| Chicoric acid | Activates Nrf2/HO-1 signaling pathway | / | LPS-induced endometriosis in C57BL/6 mice | [208] |
| Possible ferroptosis inhibitor thanks to ability to protect against oxidative damage, reduces ROS and MDA production, increases levels of GSH and SOD, and promotes expression of Nrf2 and HO-1 | / | Acute lung injury model in male BALB/c mice induced by LPS | [133] | |
| Chlorogenic acid | Upregulates expression of GPX4, SLC7A11, and SLC3A2 | Primary cortical neurons isolated from mice | Hypoxic-ischemic brain injury model in neonatal C57BL/6J mice | [209] |
| Decreases Fe 2+ and MDA accumulation and increased GSH, GPX, GST, and CAT | / | Triptolide-induced multi-organ injury in Kunming mice | [210] | |
| Upregulates GPX4, GSH, and NADPH; the proposed mechanism is the activation of the IL6/JAK2/STAT3 pathway which leads to reduced production of hepcidin and enhanced expression of FPN1 in the duodenum | / | Chronic stress-induced duodenal ferroptosis model in Wistar rats | [211] | |
| Chrysin | Upregulates expression of SLC7A11 and GPX4, and downregulates expression of ACSL4, TfR1 and COX2 | / | tMCAO-induced cerebral ischemia/reperfusion model in SD rats | [212] |
| Chrysophanol | Inhibits ferroptosis through upregulated expression of GPX4 | PC12 cells | Alzheimer’s disease model in SD rats | [84] |
| Corilagin | Downregulates expression of ACSL4, upregulates expression of GPX4, and inhibits NCOA4-mediated ferritinophagy | / | Intestinal ischemia/reperfusion injury model in C57BL/6J mice | [213] |
| Curculigoside | Ferroptosis was characterized by iron accumulation, depletion of GSH, ROS, and MDA production with decreased expression of SOD and GPX4, which were attenuated by curculigoside | IEC-6 cells | Model of ulcerative colitis in C57BL/6J mice | [214] |
| Curcumin | Curcumin-OM-MSCs upregulates expression of GPX4, SLC7A11 and FTH1, and downregulates expression ACSL4 | Primary cortical neurons isolated from SD rats | Collagenase IV-induced intracerebral hemorrhage model in SD rats | [50] |
| Downregulates ACSL4 and upregulates GPX4 | / | Ischemia/reperfusion injury model in Wistar rats | [215] | |
| Inhibits ferritinophagy through the NCOA4 pathway and activates the Nrf2 pathway | / | AFB1-induced kidney nephrotoxicity in ducks | [45] | |
| Promotes expression of Nrf2, GPX4, and HO-1 | BRL-3A cells | Hepatocellular degeneration model in TX mice | [216] | |
| Increases expression of SLC7A11 and GPX4 and reduces expression of ACSL4 and TfR1 | / | Ligature wire-induced periodontitis model in C57/BL mice | [217] | |
| Upregulates expression of Nrf2, GPX4, SLC7A11, HO-1, NQO-1, CAT, SOD, FPN1, FTH1, downregulates expression of Keap1, NCOA4, ACSL4, PTG2, TfR1, p53 | / | NH4Cl-inuced ammonia stress in Gibel carp | [218] | |
| Increases expression of SLC7A11, GPX4 and FTH1 through activation of Nrf2 pathway | Primary chondrocytes isolated from BALB/C mice | Erastin-induced knee ferroptosis in BALB/C mice | [219] | |
| Can inhibit multiple cell death mechanisms induced by antimalarial drug mefloquine, including ferroptosis by inhibition of lipid peroxidation | / | Swiss-strain mice infected with Plasmodium berghei | [220] | |
| Enhances nuclear translocation of Nrf2 and enhances expression of GPX4 and HO-1 | H9c2 cells | Streptozotocin-induced diabetes model in New Zealand rabbits | [82] | |
| Mitigated production of ROS, depletion of GSH, increased levels of iron and MDA, downregulation of SLC7A11, GPX, FTH1, and upregulation of TfR induced by cigarette smoke | BEAS-2B cells | Lung injury model induced by cigarette smoke in Sprague-Dawley rats | [221] | |
| Inhibition of generation of ROS and upregulation of Nrf2/HO-1 pathway | HT22 cells | Intracerebral hemorrhage model in C57BL/6 mice | [222] | |
| Upregulation of expression of HO-1 | Proximal murine tubular epithelial cells (MCTs) | Rhabdomyolysis in C57BL/6 mice | [223] | |
| Iron chelation, prevention of GSH depletion, lipid peroxidation, and GPX4 inactivation | MIN6 cells | / | [224] | |
| Potential ferroptosis inhibitor, reduces lipid peroxidation and preserves the activity of CAT, SOD, and GPX | Primary cardiomyocytes from neonatal Sprague-Dawley rats | Doxorubicin-induced cardiotoxicity in Kun-Ming mice | [225] | |
| Cyanidine-3-glucoside | Decreases levels of Fe2+, 4-HNE, MDA, decreases expression of ACSL4, and increases expression of GPX4. AMPK pathway is essential for anti-ferroptosis activity | HK-2 and NRK-52E cells | Renal ischemia/reperfusion injury model in C57BL/6 mice | [226] |
| Downregulation of NCOA4 and TfR, and upregulation of GPX4 and FTH1 | H9c2 cells | Ischemia/reperfusion injury model in Sprague-Dawley rats | [7] | |
| Cynarin | Alleviates iron accumulation and inhibits ROS production and lipid peroxidation, and upregulates expression of GPX4 and Nrf2 | Primary rat nucleus pulpous cells | Caudal intervertebral disc puncture model in SD rats | [227] |
| Daidzein | Activates Nrf2/SLC7A11/GPX4 pathway | Primary hepatocytes | APAP-induced hepatotoxicity in C57BL/6 mice | [228] |
| Dihydromyricetin | Inhibits ferroptosis through LCN2/Xct- axis | / | Collagenase-induced intracerebral hemorrhage model in C57BL/6 mice | [229] |
| Alleviates iron accumulation, inhibits ROS production, decreases expression of ACSL4, increases expression of GPX4, and inhibits p-JNK inflammatory cytokine pathway | / | High-fat-diet- and streptozotocin-induced diabetes in SD rats | [83] | |
| Activates Nrf2 pathway, and upregulates expression of SOD, CAT, GCLC, GCLM, GPX4 | HK-2 cells | Cisplatin-induced acute kidney injury in C57BL/6 mice | [230] | |
| Inhibits lipid peroxidation, upregulates expression of GPX4, and downregulates ACSL4 | HT22 cells | MCAO-induced cerebral ischemia/reperfusion injury model in SD rats | [231] | |
| Possible ferroptosis inhibitor, reduces the production of MDA, increases levels of GSH and SOD, and activates Nrf2/HO-1 pathway | HT-22 cells | / | [232] | |
| Dihydroquercetin | Lowers levels of MDA and ROS, increases RNA and protein levels of SLC7A11 and GPX4, and increases levels of Nrf2 in a dose-dependent manner | HBE cells | Cigarette smoke-induced chronic obstructive pulmonary disease in BALB/c mice | [233] |
| Upregulates expression of GPX4, FTH1 and NCOA4, downregulates LC3, and inhibits ferritinophagy | HBE and MRC-5 cells | Silica-induced lung fibrosis in C57BL/6 mice | [234] | |
| 3,4-dihydroxyphenyletyl alcohol glycoside | Decreases levels of ROS and MDA, increases the level of GSH, restores the activity of CAT and SOD, promotes expression of GPX4, and inhibits expression of HO-1, ERK, NLRP3, Caspase1, and Gasdermine-D | AML12 cells | APAP-induced acute liver failure model in C57BL/6 mice | [235] |
| Diosmetin | Activates SIRT1/Nrf2 pathway | / | S. aureus-induced mastitis in BALB/c mice | [236] |
| Echinatin | Increases expression of GPX4, SLC7A11, SLC3A2, FTH1, FTL, GCLC ang GCMC, activates Nrf2 pathway | Primary human umbilical artery smooth muscle cells | Vascular stiffening, 5/6 nephrectomy, and atherosclerotic mouse models in C57BL/6 mice | [237] |
| Activates Nrf2 pathway | Primary rat hippocampal neurons | Sevoflurane-induced neurotoxicity in SD rats | [90] | |
| Eleutheroside B | Upregulates expression of GPX4, SLC7A11, FTH1, HO-1, and downregulates expression of TfR1 and COX2, activates Nrf2 pathway | / | SD rats exposed to hypobaric hypoxia | [238] |
| Emodin | Activates Nrf2/SLC7A11/GPX4 axis | HK-2 cells | Streptozotocin-induced diabetes in SD rats | [239] |
| Engeletin | Activates Keap1/Nrf2 pathway | Primary BMSCs from SD rats | / | [240] |
| (-)-epigalocatechin-3-gallate | Upregulates expression of GPX4, and downregulates expression of ACSL4 and COX2 | L-02 cells | High-fat-diet-induced hepatic lipotoxicity in C57BL/6 mice | [126] |
| Acts on STAT1/SLC7A11 pathway | A549 and RAW 264.7 cells | Urethane-induced lung cancer in C57BL/6 mice | [241] | |
| Upregulates Nrf2/GPX4 axis | Primary mouse hepatocytes | High-iron-diet-induced iron overload in C57BL/6 mice | [242] | |
| Acts on miR-450b-5p/ACSL4 axis | HL-1 cells | Acute myocardial infarction model in C57BL/6 mice | [243] | |
| Activates Nrf2/HO-1 pathway | NRK-52E, HK-2, mTEC and AML-12 cells | Gentamicin-induced nephrotoxicity in SD rats | [39] | |
| Reduces iron accumulation, oxidative stress, and abnormal lipid metabolism | H9c2 cells and neonatal rat cardiomyocytes | Doxorubicin-induced cardiotoxicity in C57BL/6 mice | [244] | |
| Upregulates expression of GPX4 and FTH1, downregulates expression of ACSL4 and COX2 | Primary cerebellar granule | Spinal cord injury model in rats | [245] | |
| Reduces production of ROS, and increases expression of GPX4 and SLC7A11, these effects are Nrf2 dependent, and Nrf2 inhibitors abolish EGCG protective effect against ferroptosis | HIEC line | Radiation-induced intestinal injury model in C57BL/6J mice | [246] | |
| Iron chelation, prevention of GSH depletion, lipid peroxidation, and GPX4 inactivation | MIN6 cells | / | [224] | |
| Eriodictyol | Inhibits ferroptosis through VDR-mediated activation of the Nrf2/HO-1 pathway | HT-22 hippocampal cells | Alzheimer’s disease model in APPswe/PS1E9 transgenic mice | [89] |
| Possible ferroptosis inhibitor, reduces the production of ROS and MDA, restores activity of SOD and CAT, increases levels of GSH, activates Nrf2/HO-1 pathway | BV-2 cells | LPS triggered oxidative stress in C57BL/6 mice | [88] | |
| Possible inhibitor of ferroptosis, upregulates SOD, CAT, and GPX, and activates Nrf2/HO-1 axis | RGC-5 cells | / | [247] | |
| Farrerol | Upregulates expression of Nrf2, GPX4, SLC7A11 and HO-1 | / | Hypoxic-ischemic encephalopathy in SD rats | [248] |
| Balances iron metabolism and promotes expression of GPX4 and SLC7A11 | Primary tenocytes isolated from rats | Collagenase-induced tendinopathy in SD rats | [249] | |
| Ferulic acid | Activates Nrf2/GPX4 pathway | HT-22 cells | High-fat-diet-induced cognitive impairment in C57BL/6 mice | [84] |
| Activates Nrf2/HO-1 pathway | MLE-12 cells | Acute lung injury model in BALB/c mice | [134] | |
| Activates Nrf2 signaling pathway | MIN6 cells | / | [250] | |
| Upregulates expression of GPX4 and AMPKα2 | / | Myocardial ischemia/reperfusion injury model in SD rats | [251] | |
| Fisetin | Downregulates expression of ACSL4 and COX2, and upregulates expression of GPX4 | TCMK-1 cells | Chronic kidney disease model in mice | [252] |
| Reduces levels of ROS and MDA, and increases the level of GSH, upregulates SIRT1, Nrf2, GPX4, HO-1, and FTH1 | H9c2 cells | Doxorubicin-induced cardiomyopathy in Waster rats | [253] | |
| Formononetin | Enhances expression of SLC7A11 and GPX4, promotes nuclear translocation of Nrf2, and blocks nuclear translocation of Smad3 and ATF3 | Primary mouse renal tubular epithelial cells | Chronic kidney disease model in C57BL/6 mice | [254] |
| Fraxetin | Promotes expression of GPX4 and SLC7A11, and inhibits expression of NCOA4 | MLE-12 cells | Bleomycin-induced pulmonary fibrosis in C57BL/6 mice | [255] |
| Activates AKT/Nrf2/HO-1 pathway | H9c2 cells | Myocardial infarction model in Wistar rats | [256] | |
| Galangin | Upregulates expression of GPX4, FTH1, and SLC7A11 through activation of Nrf2 pathway | Primary rat cardio-myocytes | Myocardial ischemia/reperfusion injury model in C57BL/6 mice | [108] |
| Activates PI3K/AKT/CREB pathway | HT1080 cells | Ischemia/reperfusion injury model in C57BL/6 mice | [109] | |
| Upregulates expression of SLC7A11 and GPX4 | Hippocampal neurons culture | Cerebral ischemia-reperfusion injury model in gerbils | [44] | |
| Gallic acid | Inhibits ferroptosis through modulation of the P2X7-ROS signaling pathway | Primary microglial culture isolated from neonatal SD rats | Chronic comorbid injury and chronic unpredictable mild stimulation model in Sprague-Dawley rats | [257] |
| Gastrodin | Acts on SIRT1/FOXO3A/GPX4 pathway | HK-2 cells | Cisplatin-induced nephrotoxicity in C57BL/6 mice | [258] |
| Activates Nrf2/GPX4 signaling pathway | HT22 cells | BCCAO-induced vascular dementia model in SD rats | [91] | |
| Upregulation of oxidative defense system through Nrf2/HO-1 axis | HT22 cells | / | [92] | |
| Decreases levels of MDA and ROS, raises the level of GSH, and increases GPX activity, upregulates expression of Nrf2, GPX, HO-1, and FPN1 | C6 cell line | / | [47] | |
| Potential ferroptosis inhibitor, upregulates expression of Nrf2 and HO-1 | Liver sinusoidal endothelial cells isolated from C57BL/6 mouses | / | [259] | |
| Geraniin | Iron chelator and ROS scavenger | bmMSC isolated from rat femur and tibia | / | [260] |
| Gingerenone A | Activates Nrf2/GPX4 signaling pathway | HepG2 cells | Dextran sodium sulphate-induced secondary liver injury in C57 mice | [261] |
| 6-Gingerol | Decreases iron and MDA levels, increases the activity of SOD, inhibits expression of FACL4, promotes expression of GPX4, and activates Nrf2/HO-1 axis | H9c2 cells | Streptozotocin and high-fat-diet-induced diabetes mellitus model in C57BL/6 mice | [262] |
| 8-Gingerol | Upregulates expression of GPX4 and downregulates expression of LOX15 | HT22 cells | Spinal cord injury model in SD rats | [263] |
| Glabridin | Upregulates expression of GPX4, SLC7A11, SLC3A2 and downregulates expression of TfR1 | NRK-52E cells | High-fat-diet- and streptozotocin-induced diabetes in SD rats | [81] |
| Gossypol acetic acid | Decreases levels of Fe2+ and ROS, inhibits lipid peroxidation, upregulates GPX4 | H9c2 cells | Cardiac ischemia/reperfusion injury model in Sprague-Dawley rats | [264] |
| Hesperidin | Activates Nrf2 signaling pathway | Primary human nucleus pulposus cells | Disc degeneration model in mice | [265] |
| Honokiol | Upregulates expression of GPX4 and SLC7A11 by activating Nrf2 pathway | RSC96 cells | Streptozotocin-induced diabetes in SD rats | [266] |
| Hydroxysafflor yellow A | Activates HIF-1α/SLC7A11/GPX4 Signaling pathway | H9c2 cells | Myocardial ischemia/reperfusion injury model in C57BL/6 mice | [267] |
| Upregulates expression of SLC7A11 and GPX4, downregulates expression of ACSL4, downregulates expression of miR-429 which additionally upregulates expression of SLC7A11 | HUVECs | High-fat-diet- and streptozotocin-induced diabetes in ApoE−/− C57BL/6 mice | [268] | |
| Reduces ROS, 4-HNE, and MDA production, reduces Fe2+ levels, increases GSH/GSSG ratio, and upregulates expression of GPX4 and SLC7A1 | PC12 cells | / | [191] | |
| Hyperjaponol J | Suppresses RSL-3-induced ferroptosis | HT22 cells | / | [269] |
| Hyperjaponol K | Suppresses RSL-3-induced ferroptosis | HT22 cells | / | [269] |
| Icariin | Activates Nrf2/SLC7A11/GPX4 pathway | / | Methionine choline-deficient-diet-induced nonalcoholic steatohepatitis in C57BL/6J mice | [270] |
| Activates SIRT1/Nrf2/HO-1 signaling pathway | HL-1 cells | Excessive-ethanol-treated C57BL/6 mice | [271] | |
| Upregulates expression of GPX4 and FTH1 | HUVECs | Atherosclerosis model in ApoE−/− C57BL/6 mice | [272] | |
| Alleviates iron accumulation and lipid peroxidation | / | Alzheimer’s disease model in C57BL/6J mice | [93] | |
| Activates Nrf2/HO-1 signaling pathway | Primary endplate chondrocytes | Intervertebral disc degeneration model in C57BL/6 mice | [273] | |
| Decreases level of Fe2+, upregulates Nrf2, GPX4, HO-1, and downregulates ACSL4 | H9c2 cells | / | [274] | |
| Lowers levels of MDA and iron by increasing expression of GPX4, SLC7A11, SLC3A12L, and Nrf2 and decreasing expression of TfR1 and NCOA4 | HUM-CELL-0060 cells | / | [275] | |
| Icariside II | Activates Nrf2 signaling pathway | primary astrocytes | MCAO-induced cerebral ischemia/reperfusion injury in mice | [276] |
| Isoforsythiaside | Activates Nrf2 signaling pathway | HT22 and BV2 cells | Alzheimer’s disease model in mice | [85] |
| Isoliquiritigenin | Reduces MDA, Fe2+, and NO levels, increases expression of GPX4 and Xct- system, and reduces expression of NCOA4 | HK2 cells | LPS-induced acute kidney injury model in C57BL/6 mice | [277] |
| Isoliquiritin apioside | Inhibits HIF-1α signaling pathway | MLE-2 cells | Intestinal ischemia/reperfusion-induced acute lung injury in C57BL/6 mice | [278] |
| Isoquercetin | Decreases the production of ROS and MDA, increases the activity of SOD and CAT, and inhibits the NOX4/ROS/NF-κB pathway by induction of Nrf2 nuclear translocation | Primary rat hippocampal neuron cell culture | Cerebral ischemia/reperfusion injury model in Sprague-Dawley rats induced by MCAO/R surgery | [279] |
| Isorhamnetin | Possible ferroptosis inhibitor, activates Akt/SIRT1/Nrf2/HO-1 signaling pathway | HT22 cells | / | [280] |
| Upregulates SIRT1, Nrf2, and HO-1, and downregulates NOX2/4 | H9c2 cells | Hypoxia/reoxygenation-induced myocardial injury | [106] | |
| Isorhapontigenin | Inhibits PRDX2/MFN2/ACSL4 signaling pathway | CMECS | Diabetes model in db/db mice | [281] |
| Kaempferol | Activates Nrf2 signaling pathway | L02 cells | Acetaminophen-induced liver injury in BALB/c mice | [125] |
| Activates Nrf2/SLC7A11/GPX4 axis | Primary mouse cortical culture prepared from E16 mouse embryos | / | [120] | |
| Kumatakenin | Prevents iron accumulation through Eno3/IRP1 and inhibits lipid peroxidation | MODE-K cells | DSS-induced acute colitis in C57BL/6 mice | [282] |
| Licochalcone A | Upregulates expression of GPX4, downregulates expression of ACSL4, inhibits Nrf2/HO-1 axis | H9c2 cells | Ischemia/reperfusion model in SD rats | [283] |
| Luteolin | Decreases levels of ROS, MDA, and iron, and restores protein levels of GPX4 | H9c2 cells and primary cardiomyocytes from neonatal SD rats | Langerdorff perfusion system for ischemia/reperfusion model on isolated hearts from SD rats | [119] |
| Loureirin C | Activates Nrf2 signaling pathway | Primary cortical neurons and 5H-SY5Y cells | MCAO/R-induced cerebral ischemia/reperfusion injury in C57BL/6 mice | [116] |
| Methyl ferulic acid | Downregulates expression of ACSL4 and upregulates expression of GPX4 in a NOX4 dependent manner | / | SNI-induced neuropathic pain model in SD rats | [284] |
| Moracin N | Upregulates expression of GPX4, SLC7A11, CAT, SOD2, NFE2L2, HMOX1, GCLC, and GCLM, and downregulates expression of ACSL4, PTGS2, and FTH1 | HT22 cells | / | [285] |
| Naringenin | Activates Nrf2/HO-1 signaling pathway | BEAS-2B cells | AgNPs-induced lung injury in ICR mice | [135] |
| Decreases expression of NOX1, increases expression of GPX4, SLC7A11, FTH, and FPN1 | H9C2 cells | Myocardial ischemia/reperfusion injury model in Sprague-Dawley rats | [115] | |
| Naringin | Targeting of P2Y14 receptors, upregulation of Nrf2/GPX4 pathway | / | Streptozotocin-induced diabetic cardiac autonomic neuropathy model in Sprague-Dawley rats | [77] |
| Nobiletin | Modulates p53/SLC7A11 axis | MLE-12 cells | Heatstroke-induced acute lung injury model in C57BL/6 mice | [286] |
| Downregulates expression of ACSL4 and NCOA4 | H9c2 cells | High-fat-diet- and streptozotocin-induced diabetes model in SD rats | [287] | |
| Activates Nrf2/HO-1 signaling pathway | / | Sepsis-associated acute liver injury in C57BL/6 mice | [122] | |
| Ameliorates oxidative stress and ferroptosis through modulation of GPX4 and FTH1 | / | Renal injury model in C57BL/6J mice | [288] | |
| Phlorizin | Alleviates iron overload and lipid peroxidation, promotes expression of GPX4, and decreases expression of FTH1 and FTL1 | Primary mouse colonic lamina propria cells | Dextran sulphate sodium-induced colitis in C57BL/6J mice | [289] |
| Piceatannol | Antioxidant activity | bmMSCs | / | [193] |
| Pinocembrin | Inhibits ferroptosis through activation of Nrf2 pathway | Primary chondrocytes isolated from C57BL/6 mice | Surgery-induced intervertebral disc degeneration model in C57BL/6 mice | [290] |
| Polydatin | Reduces levels of iron, ROS, and MDA, increases the level of GSH, and GPX4 activity | HK-2 cells | Cisplatin-induced acute kidney injury model in C57BL/6 mice | [291] |
| Increase in GPX4 activity and decreased level of MDA | Neuro2A cells | Traumatic brain injury in male C57BL/6 mice | [100] | |
| Proanthocyanidins | Activates Nrf2/HO-1 signaling pathway | / | MCAO-induced cerebral ischemia/reperfusion injury in ICR mice | [292] |
| Downregulates expression of ACSL4, and upregulates expression of GPX4 and SLC7A11 | / | Virus infection model in mice | [293] | |
| Decreased levels of iron, TBARS, downregulation of ACSL4 and ALOX15B, upregulation of GPX4, Nrf2, and HO-1, and increased level of GSH | / | Spinal cord injury in C57BL/6 mice | [294] | |
| Protocatechualdehyde | Possible inhibitor of ferroptosis thanks to the ability to decrease the production of ROS, 4-HNE, and 8-OHdG, and activate the PKCε/Nrf2/HO-1 signaling pathway | SH-SY5Y cells | Focal cerebral ischemia model in Sprague-Dawley rats induced by MCAO | [295] |
| Protocatechuic acid | Alleviates iron accumulation and lipid peroxidation and promotes expression of GPX4 | Caco-2 cells | Ulcerative colitis model in C57BL/6 mice | [296] |
| Pterostilbene | Activates Nrf2 signaling pathway | / | Diquat-induced intestinal damage in broiler chicks | [297] |
| Promotes expression of Nrf2, GPX4, and HO-1 | COV434 and KGN cells | / | [298] | |
| Puerarin | Inhibits lipid peroxidation and upregulates expression of GPX4 and FTH1 | H9c2 cells | Ischemia/reperfusion injury model in C57BL/6 mice | [49] |
| Downregulates expression of ACSL4, and upregulates expression of GPX4 and FSP1 | HK-2 cells | Ischemia/reperfusion injury model in SD rats | [299] | |
| Upregulates expression of Nrf2, GPX4, SOD, HO-, pAMPK, and PGC1α, and downregulates expression of ACSL4 | / | Subarachnoid hemorrhage model in SD rats | [101] | |
| Upregulates expression of GPX4 and FTH1, and downregulates ACSL4 and TfR1 | / | LPS-induced myocardial injury in SD rats | [300] | |
| Reduces levels of ROS, MDA, and iron, increases level of GSH, increases expression of ACSL7A11, GPX4, FTH1, and decreases expression of NOX1 | A549 cells | / | [132] | |
| Decreases levels of free iron and inhibits lipid peroxidation | H9c2 cells | Heart failure model in Sprague-Dawley rats | [301] | |
| Punicalagin | Potential ferroptosis inhibitor; activates Nrf2/HO-1 signaling pathway | Primary BMSCs | Bone defect model in SD rats | [302] |
| Quercetin | Activates SIRT1/Nrf2/GPX4 pathway | AT2 cells | LPS-induced lung injury in C57BL/6 mice | [130] |
| Activates Nrf2/HO-1 signaling pathway | HK-2 cells | Diabetes model in db/db C57BL/KsJ mice | [78] | |
| Prevents FTH1 degradation by direct interaction with NCOA4 | HepG2 cells | Acrylamide-induced liver injury in C57BL/6J mice | [123] | |
| Activates SIRT1/p53/SLC7A11 pathway | H9c2 cells | Sepsis-induced cardiomyopathy model in SD rats | [303] | |
| Inhibits lipid peroxidation, and upregulates expression of GPX4 and SLC7A11 | RAW 246.7 cells | LPS/ovalbumin-induced neutrophilic asthma in C57BL/6 mice | [304] | |
| Upregulates expression of GPX4 and PGS2, and downregulates expression of Tf and Id2 | Primary oligodendrocyte progenitor cells | Spinal cord injury model in C57BL/6 mice | [305] | |
| Decreases Fe2+ and MDA accumulation, and increases GSH, GPX, GST, and CAT | / | Triptolide-induced multi-organ injury in Kunming mice | [210] | |
| Upregulates expression of GPX4, SLC7A11, FTH1, FPN1, FSP1, and downregulates expression of ACSL4 and TfR1 | / | Deoxynivalenol-induced intestinal damage in BALB/c mice | [306] | |
| Activates Nrf2/HO-1 pathway | HT22 cells | / | [307] | |
| Activates Nrf2 signaling pathway | M17, PC12 and SH-SY5Y cells | MPTP-induced neurotoxicity in C57BL/6 mice | [95] | |
| Activates SIRT1/Nrf2/GPX4/SLC7A11 signaling pathway | HT22 cells | Kainic acid-induced seizures in C57BL/6J mice | [94] | |
| Promotes TFEB-dependent degradation of ferritin | MCF-7 and MDA-MB-231 cells | / | [72] | |
| Activates Nrf2 signaling pathway | Primary BMSCs | / | [308] | |
| Decreases levels of MDA, and increases the level of GSH and GPX4, inhibits ferroptosis through repression of activation transcription factor 3 (ATF3) and repression of HO-1 | NRK-52E and HK-2 cells | Acute kidney injury model in C57BL/6J mice induced by renal ischemia/reperfusion or folic acid | [309] | |
| Lowers levels of ROS and MDA, increases the level of GSH, restores the activity of SOD, and normalizes protein levels of Xct-, GPX4, and VDAC2 | INS-1 cells | Type 2 diabetes mellitus model in C57BL/6J mice induced by high-fat diet and streptozotocin | [310] | |
| Resveratrol | Upregulates expression of Nrf2, GPX4, FTH1, and NQO1, and downregulates expression of TfR1 and p53 | H9c2 cells | 5-FU-induced cardiotoxicity in C57BL/6J mice | [311] |
| Activates SLC7A11/GPX4 axis | MLOY4 cells | Diabetes periodontitis model in C57BL/6 mice | [79] | |
| Upregulates expression of Nrf2, GPX4, SLC7A11, and FTH1 | / | High-intensity-exercise-training-induced intestinal damage in Kunming mice | [312] | |
| Activates SIRT1/p53 signaling pathway | HiPSCs | Heart failure model in C57BL/6J mice | [313] | |
| Activates SIRT3/FoxO3a pathway, promotes expression of GPX4 and FTH1, downregulates expression of ACSL4 | Caco-2 cells | Intestinal ischemia/reperfusion injury model in C57BL/6 mice | [112] | |
| Activates Nrf2/Keap1 signaling pathway | BEAS-2B cells | / | [314] | |
| Activates Nrf2/HO-1 pathway | HT22 cells | / | [307] | |
| Activates SLC7A11/GPX4 pathway | HepG2 cells | / | [315] | |
| Upregulates expression of GPX4 and FTH1, and downregulates expression of TfR1 | H9c2 cells | Myocardial ischemia/reperfusion injury model in SD rats | [111] | |
| Upregulates expression of GPX4 and SLC7A11 | H9c2 cells | Myocardial infarction model in SD rats | [316] | |
| Alleviates iron accumulation, inhibits lipid peroxidation, and raises GSH levels | Primary cardiomyocytes | LPS-induced endotoxemia model in C57BL/6 mice | [317] | |
| Upregulates SIRT1/Nrf2 signaling pathway | H9c2 cells | Sepsis-induced cardiomyopathy model in SD rats | [318] | |
| Decreased levels of iron and ROS, and increased levels of GSH, decreased expression of ACSL4, increased expression of GPX4 and Ferritin | Primary cortical neurons | Focal ischemic brain damage model in SD rats induced by middle cerebral artery occlusion/reperfusion | [110] | |
| Decreases level of MDA, increases level of GSH, downregulates expression of ACSL4 and COX2, and upregulates expression of GPX4 | MIN6 cells | / | [319] | |
| Decreases levels of iron, ROS and MDA, increases GSH, increases expression of GPX4, FPN1, Nrf2 and SLC7A11, and downregulates STAT1 and Keap1 | BV2 cells | / | [180] | |
| Rhein | Activates Nrf2/SLC7A11/GPX4 pathway | HT22 cells | MCAO-induced cerebral ischemia/reperfusion injury in SD rats | [113] |
| Downregulates expression of ACSL4 and TfR1, and upregulates expression of GPX4 and SLC7A11 through modulation of Rac1/NOX1/β-Catenin Axis | MPC5 cells | Diabetic nephropathy in C57BL/6J mice | [80] | |
| Rutin | Decreases Fe 2+ and MDA accumulation and increased GSH, GPX, GST, and CAT | / | Triptolide-induced multi-organ injury in Kunming mice | [210] |
| Activates Nrf2/HO-1 signaling pathway | Hen ovary follicle tissue culture | / | [320] | |
| Salidroside | Promotes expression of GPX4, SOD1 and SOD2, and downregulates expression of ACSL4 by modulating PI3K/AKT signaling pathway | NRK cells | Renal ischemia/reperfusion injury model in SD rats | [321] |
| Inhibits endoplasmic reticulum oxidative stress-related ferroptosis through activation of AMPK/SIRT1 pathway | AML12 cells | APAP-induced acute liver injury in C57BL/6J mice | [124] | |
| Activates Nrf2/GPX4 pathway | / | Alzheimer’s disease model in SAMP8 mice | [96] | |
| Inhibits lipid peroxidation and promotes expression of GPX4 | C2C12 cells, HUVECs and MOVAS cells | Diabetic hindlimb ischemia model in C57BL/6 mice | [322] | |
| Activates Nrf2/SLC7A11/GPX4 pathway | MLE-12 and RAW 264.7 cells | Lung ischemia/reperfusion injury in C57BL/6 mice | [323] | |
| Decreased iron concentration, inhibition of lipid peroxidation and production of 4-HNE, and increased expression of GPX4 | H9c2 cells | Doxorubicin-induced cardiomyopathy in C57BL/6 mice | [324] | |
| Inhibits IL-17A mediated ferroptosis through modulation of Act1/TRAF6/p38 MAPK pathway | / | Hyperoxia-induced acute lung injury in KM mice | [131] | |
| Promotes expression of GPX4, SLC7A11, FPN1 and FTH1, downregulates expression of ACSL4 and TfR1 | / | Aging-related renal fibrosis in SAMP8 mice | [325] | |
| Activates Nrf2/HO-1 signaling pathway | HT22 cells | Alzheimer’s disease model in mice | [97] | |
| Salvianolate | Possible ferroptosis inhibitor, activates Keap1/Nrf2/HO-1 signaling pathway | Primary renal tubular epithelial cells | Renal ischemia/reperfusion injury in C57BL/6J mice | [326] |
| Salvianolic acid A | Modulates HIF-2α/DUOX1/GPX4 pathway | HK-2 cells | NaAsO2-induced kidney injury in C57BL/6J mice | [327] |
| Downregulates expression of ACSL4 and upregulates expression of GPX4 and SLC7A11 and modulates iron metabolism | 661W cells | Iron overload model in Kunming mice | [328] | |
| Salvianolic acid B | Upregulates expression of GPX4 and FTH1, downregulates expression of TfR1 | H9c2 cells | Myocardial ischemia/reperfusion injury model in SD rats | [329] |
| Activates Nrf2 signaling pathway | / | Myocardial infarction model in SD rats | [330] | |
| Potential ferroptosis inhibitor, reduces MDA and H2O2 production, increases the level of GSH, increases the activity of GPX and SOD, and increases expression of Nrf2, HO-1, and NQO-1 | Primary cortical neurons | Subarachnoid hemorrhage model in Sprague-Dawley rats and C57BL/6 mice | [331] | |
| Scutellarein | Promotes expression of GPX4, and prevents overexpression of HO-1 | BEAS-2B cells | LPS/cigarette smoke-induced chronic obstructive pulmonary disease model in C57BL/6 mice | [332] |
| Sennoside A | Alleviates iron accumulation, inhibits lipid peroxidation, and raises GSH levels | BV2 cells | Alzheimer’s disease model in mice | [87] |
| Sesamin | Reduces production of MDA and iron concentration, increases the level of GSH, and activity of SOD, GPX4, increases expression of FPN1 and TfR1, and inhibits expression of FTH1 and FTL | / | PM2.5 induced cardiovascular injury in Sprague-Dawley rats | [333] |
| Silibinin | Downregulates expression of p53 and upregulates expression of SLC7A11 and GPX4 | HT22 cells | Streptozotocin-induced neurotoxicity in SD rats | [99] |
| Upregulates expression of GPX4 and FSP1, downregulates expression COX2, activates PINK1-dependent mitophagy | INS-1 cells | / | [334] | |
| Suberosin | Downregulates expression of ACSL4, LOX, LPCAT3, and upregulates expression of GPX4 | / | Streptozotocin-induced diabetes in SD rats | [335] |
| Syringic acid | Activates Nrf2/HO-1/SLC7A11 pathway | C2C12 cells | Femoral artery ischemia/reperfusion injury in C57BL/6 mice | [336] |
| Tannic acid | Upregulates expression of GPX4, SLC7A11 and ferritin, downregulates expression of ACSL4, TfR1, COX2, LOX, and p53 | / | T2-toxin treated C57BL/6J mice | [337] |
| Tectorigenin | Downregulates expression of ACSL4 and upregulates expression of GPX4 | / | LPS-treated C57BL/6 mice | [338] |
| Upregulates expression of SLC7A11, GPX4, and downregulates expression of NOX4 and activation of Smad3 | Mouse primary renal tubular epithelia cells | Unilateral ureteral obstruction model in C57BL/6 mice | [339] | |
| Tetrahydroxy stilbene glycoside | Activates GSH/GPX4/ROS and Keap1/Nrf2/ARE pathways | / | Alzheimer’s disease model in APP/PS1 mice | [98] |
| Theaflavin-3,3′-Digallate | Upregulates expression of Nrf2, GPX4, FTH1 and HO-1 | Primary culture of human chondrocytes | Osteoarthritis model in SD rats | [340] |
| Thonningianin A | Activates Nrf2/HO-1 signaling pathway | SH-SY5Y cells | 6-hydroxydopamine treated zebrafish | [43] |
| Trilobatin | Activates Nrf2/HO-1/GPX4 pathway | / | Exhaustive exercise-induced fatigue in C57BL/6 mice | [341] |
| Umbelliferone | Downregulation of ACLS4 and upregulation of GPX4, Nrf2 and HO-1 expression | HK-2 cells | Diabetic nephropathy model in C57BLKS/J db/db and C57BLKS/J db/m mice | [342] |
| Vitexin | Downregulates expression of Keap1 and TfR1 and upregulates expression of GPX4, SLC7A11, and HO-1 | Primary cortical neuron cells | MCAO-induced cerebral ischemia/reperfusion injury in SD rats | [114] |
| Activates Keap1/Nrf2/HO-1 pathway | HK2 and NRK-49 F cells | Chronic kidney disease model in C57BL/6J mice | [343] | |
| Upregulates GPX4/SLC7A11 axis | HK-2 cells | High-fat-diet- and streptozotocin-induced diabetic nephropathy in SD rats | [344] | |
| Wedelolactone | Upregulation of GPX4 | Pancreatic acinar cell line AR42J | Tauro-cholate induced acute pancreatitis in Sprague-Dawley rats | [345] |
| Xanthohumol | Decreased lipid peroxidation, ROS neutralization, iron chelation, reduced levels of ACSL4 and Nrf2, and modulation of GPX4 | H9c2 cells | Langendorff hearth perfusion system in rats | [42] |
4. Summary
Ferroptosis is a new mechanism of regulated cell death which is characterized by the accumulation of ferrous iron, depletion of GSH, and overproduction of ROS through the Fenton reaction. This leads to lipid peroxidation in the cell membrane and eventually to cell death. Ferroptosis has been connected with many diseases and pathologies such as neurodegenerative diseases, ischemia/reperfusion injury, and liver fibrosis. In some of these conditions, the selective initiation of ferroptosis can be beneficial, for example in tumors and liver fibrosis. On the other side, the inhibition of ferroptosis can be beneficial in cases of neurodegenerative diseases for the prevention of loss of neurons and in case of ischemia/reperfusion injury.
Plants have been used in traditional medicine for centuries, and with the development of science, new disciplines have emerged such as rational phytotherapy. Plants produce an abundance of secondary metabolites, such as polyphenols, which have numerous bioactivities such as antioxidant, anti-inflammatory, anti-cancer, neuroprotective, cardioprotective, immunomodulatory, and other properties. The multitude of bioactivities exhibited by polyphenols presents significant potential for the exploration and development of novel medications and therapeutic approaches.
According to the systematic review carried out within this study, it is evident that the exploration of the connection between ferroptosis and polyphenols, both in vitro and in vivo, is a vibrant ongoing direction for research. It has been confirmed that many polyphenols can modulate ferroptosis, whether through initiation and promotion, or inhibition, which both could have practical implications for health and disease. Yet, as per the review, there is 2.5 times more research on the inhibitory effects of polyphenols on ferroptosis compared to their potential to induce it. This study encompasses the results of research on 143 phenolic compounds. In total, 53 compounds showed an ability to induce ferroptosis, and 110 compounds were able to inhibit ferroptosis, and out of those compounds, 20 showed both abilities depending on the model system. In terms of the inhibition and activation of ferroptosis, the greatest number of papers are on the influence of flavonoids (quercetin, baicalein, baicalin, erianin, puerarin), followed by diarylheptanoids (curcumin) and stilbens (resveratrol). Out of 53 compounds with the ability to induce or promote ferroptosis that were included in this review, 63% belong to flavonoids (the most abundant subclasses are flavones—17%, flavonols—13%, bioflavonoids—9%, and flavanones—8%), followed by coumarins (9%). The frequency of compounds with pro-ferroptotic activity across polyphenol subclasses is shown in Figure 10. A similar trend can be seen for phenolic compounds with anti-ferroptotic activity (Figure 10). Out of the 110 examined compounds that were included in this review, 55% were accounted for by flavonoids (chalcones—12%, flavones—10%, flavonols—10%, flavanones—5%, and isoflavones—5%), followed by stilbenes and hydroxycinnamic acids with 7% each, and tannins (6%). From this, it can be seen that flavonoids were the most studied class of polyphenols especially in subclasses that are not so common in plants such as isoflavones and chalcones. Biflavonoids are present among pro-ferroptotic compounds but are absent from anti-ferroptotic compounds which can be of interest for further research of their mechanisms, especially for diseases where ferroptosis induction would be favorable. Additionally, quercetin and rutin are one of the most studied compounds in this review. When it comes to ferroptosis inhibitions, many stilbenes, cinnamic acids and their derivatives, and tannins have shown promising results. This highlights the importance of research on other classes not just flavonoids (probably highly researched due to their wide-ranging activities and long-lasting use in traditional medicines).
Figure 10.
The distribution of polyphenols with pro-ferroptotic (A) and anti-ferroptotic (B) activity across subclasses.
The most extensively studied compounds as inducers of ferroptosis include curcumin, erianin, and shikonin. On the flip side, the most extensively studied inhibitors of ferroptosis include baicalein, curcumin, quercetin, and resveratrol. All the compounds listed are already recognized in natural product research for their beneficial pharmacological properties, and the plants that naturally produce them have been extensively documented in traditional medicine for centuries [37,46,50,60,78,184,316].
Curcumin is a polyphenolic compound derived from the rhizomes of the turmeric plant (Curcuma longa L.). It is a natural phenolic pigment that imparts the characteristic yellow color to turmeric. In scientific terms, curcumin is a diarylheptanoid, belonging to the curcuminoid class. It is not surprising that curcumin is so widely investigated regarding its potential to modulate ferroptosis, since it has significant attention in scientific research due to its diverse pharmacological properties, including antioxidant, anti-inflammatory, anti-cancer, and neuroprotective effects. Its versatile biological activities make it a subject of interest in various fields, including pharmacology, medicine, and nutrition. Researchers frequently investigate curcumin’s bioavailability, metabolism, and safety profile to enhance its therapeutic potential. It is essential to note that despite its promising attributes, challenges related to curcumin’s low bioavailability have prompted ongoing efforts to develop formulations that improve its absorption and effectiveness in biological systems, what would also be an issue for ferroptosis modulation in rational therapy [45,50,56,222,225].
Eranin, is a biphenyl compound, which has a historical application as an antipyretic and analgesic agent. It is a constituent of plants from the Dendrobium genus, recognized among the 50 foundational herbs in traditional Chinese medicine. Researchers are particularly interested in eranin due to its demonstrated potential for treating conditions such as inflammation, diabetic nephropathy, retinopathy, psoriasis, and various cancers. Given that ferroptosis is implicated in the development of listed conditions, it come as no surprise that eranin demonstrated potential as a modulator of ferroptosis [37,41,57,66,67].
Furthermore, shikonin is a naphthoquinone derivative obtained from the roots of plants, particularly Lithospermum erythrorhizon Siebold & Zucc. 1846. The compound’s distinctive red color makes it easily identifiable. Shikonin and its enantiomeric analogue, alkannin, are prevailing natural lead compounds in the drug discovery and development of anticancer agents. Despite having numerous biological effects, the most important activity reported for shikonin derivatives is their antitumor effect which is exerted through various mechanisms such as the induction of apoptosis and autophagy. The listed body of evidence in this review supports adding ferroptosis to this list [73,74,182,184].
Moreover, both baicalein and quercetin are classified within the flavonoid group of polyphenols, and they are abundantly present in a variety of fruits and vegetables. Numerous studies have substantiated their positive impact on human health, underscoring their potent antioxidant, anti-inflammatory, and anticancer properties. Consequently, it is unsurprising that researchers have shown considerable interest in these compounds, as they demonstrate substantial potential in inhibiting ferroptosis [95,118,197,306].
Wine and grape juice, particularly leaves and skins, are rich sources of resveratrol, a stilbenoid polyphenolic compound. Additionally, resveratrol can be derived from various foods, including peanuts, pistachios, blueberries, strawberries, etc. Research has demonstrated that resveratrol possesses antitumor, antioxidant, anti-inflammatory, and anti-apoptotic effects. This anti-apoptotic effect can be partially explained by its great potential to inhibit ferroptosis [111,175,180,307,319].
Even though polyphenols show promising results for the development of drugs and therapeutics for many diseases, their application can be difficult. Namely, many polyphenols have low bioavailability which can make drug delivery difficult. Curcumin and flavonoid aglycones have high hydrophobicity and are poorly absorbed in the intestine, this can be enhanced through newly developed drug delivery strategies such as the formulation of liposomes or nanoparticles. The next problem with the application is the extensive metabolic transformation that polyphenols can go through in an organism. Hydrophobic compounds such as flavonoid aglycons can be glucuronidated and sulfated which enhances their solubility in body fluids, but at the same time results in their fast excretion through the kidneys. This not only makes it difficult to predict in which state the compounds would be delivered to the target and in which concentration but also poses a question of whether the metabolites will have the same activity as pure compounds. Sometimes metabolites are completely inactive while in other cases metabolites can show greater or different activities. This is a big flaw of in vitro assays on cells, because absorption, bioavailability, and metabolic changes that happen in the body are not encompassed by these experiments. Animal studies, being performed on living organisms, give a better idea about the efficacy of examined compounds and their pharmacokinetics and can be a great stepping stone for the design of new compounds with more desirable properties [6,346,347,348]. Another thing that needs to be taken into consideration when considering the application of polyphenolics as medicines is their potential interaction with other drugs. Polyphenols can bind iron in complexes from which it is not bioavailable or influence the systemic metabolism of iron which needs to be taken into consideration when iron supplementation is being used for the treatment of iron-deficiency anaemia [349]. Another thing that needs to be taken into consideration is the ability to influence the P450 enzyme. P450 is a group of liver enzymes that play a crucial role in the detoxication, metabolism, and removal of different molecules, including drugs. The rate of their activity is crucial for the metabolism and pharmacokinetics of drugs. Polyphenols can lower the activity or inhibit the activity of P450 enzymes, which can result in the accumulation and prolonged activity of drugs, as well as increase the risk of side effects or toxic effects due to higher doses of drugs in the body. On the other hand, some polyphenols can induce P450 activity, which leads to faster metabolism and removal of drugs and can result in low drug efficacy [350]. All this highlights the importance of studying not just bioavailability but also the metabolism and metabolic effects of polyphenolics before their clinical application.
The use of artificial intelligence (AI) and machine learning in different areas has become a hot topic, and interest is still growing. This is due to the various possibilities of applications such as searching for potential targets for therapeutics or design and the development of new drugs. If trained well through machine learning, AI can make this process much easier, faster, and economically affordable because then only the most promising compounds would be synthesized and tested. Recently, there have been some promising results for the use of machine learning to train AI to discern whether the mechanism of cell death was through apoptosis or ferroptosis. This was completed through the synthesis of a database of results obtained in the lab and the use of certain biomarkers for each cell death mechanism [351,352]. Deep learning was also applied to identify new potential targets for treatment of lung cancer through the modulation of ferroptosis [353]. These studies are just stepping stones for future research and showcase the potential and power that AI and machine learning have to offer.
5. Conclusions
From the data gathered within this review, it can be summed up that the parameters examined during the evaluation of the potential of polyphenols to promote or inhibit ferroptosis in most cases include the evaluation of levels of GSH, oxidized GSH, MDA, free cellular iron levels, ROS, and the expression of genes and proteins involved in the regulation of ferroptosis, such as GPX4, HO-1, Nrf2, FTH1, and others.
Although there’s been a lot of research on the potential of polyphenols to modulate ferroptosis, very little is known about the influence of plant extracts that contain numerous polyphenols, with some of them possibly possessing antagonistic activities. Additionally, the effects of polyphenols on ferroptosis can vary depending on factors such as concentration and bioavailability. It would be of interest to construct structure–activity relation studies to gain insight into what structural elements of polyphenols are responsible for their desired activities toward ferroptosis, which can open the door to the development of new drugs based on naturally occurring phytochemicals. Also, there is a need for further study of the role that ferroptosis plays in some diseases which would provide additional targets for potential treatments.
According to the author’s opinion, the emerging field of ferroptosis and its modulation by natural compounds like polyphenols presents a fascinating and promising area of research with profound implications for human health and disease, notably for cancer, cardiology, neurology, and transplantation. The intricate interplay between ferroptosis and various physiological processes underscores the complexity of cellular regulation and underscores the potential for innovative therapeutic interventions. Furthermore, the duality of polyphenols in either promoting or inhibiting ferroptosis, as exemplified by compounds like curcumin, highlights the complicated nature and wide range of natural product pharmacology. This complexity underscores the importance of comprehensive research efforts to unravel the precise mechanisms underlying these effects and their potential applications in different disease contexts. As we delve deeper into understanding ferroptosis and its modulation, it becomes increasingly clear that exploring not only the molecular pathways involved but also the practical aspects of delivering these compounds into specific cells is essential for translating research findings into effective clinical interventions. Overall, the study of ferroptosis and its interaction with natural compounds like polyphenols represents an exciting frontier in biomedical research, offering new insights and opportunities for improving human health and combating various diseases.
Supplementary Materials
The following supporting information can be downloaded at https://www.mdpi.com/article/10.3390/antiox13030334/s1, Table S1: PRISMA 2020 for Abstracts Checklist; Table S2: PRISMA 2020 Checklist.
Author Contributions
Conceptualization, M.L. and S.K.S.S.; methodology, N.S. and S.K.S.S.; formal analysis, N.Ž. and M.L.; investigation, N.Ž. and M.L.; resources, S.K.S.S.; data curation, N.Ž. and M.L.; writing—original draft preparation, N.Ž. and M.L.; writing—review and editing, N.S. and S.K.S.S.; visualization, N.Ž.; supervision, M.L.; project administration, S.K.S.S.; funding acquisition, N.S. and S.K.S.S. All authors have read and agreed to the published version of the manuscript.
Funding
This study was financially supported by the Ministry of Science, Technological Development and Innovation of the Republic of Serbia (Grant No. 451-03-47/2023-01/200125). This study was also financially supported by the UCL discretionary fund (Grant No. 506809, task 100, award 156782).
Data Availability Statement
No new data were created or analyzed in this study. Data sharing is not applicable to this article.
Conflicts of Interest
The authors declare no conflicts of interest.
References
- Ketelut-Carneiro, N.; Fitzgerald, K.A. Apoptosis, Pyroptosis, and Necroptosis-Oh My! The Many Ways a Cell Can Die. J. Mol. Biol. 2022, 434, 167378. [Google Scholar] [CrossRef]
- Debruyne, A.C.; Okkelman, I.A.; Dmitriev, R.I. Balance between the Cell Viability and Death in 3D. Semin. Cell Dev. Biol. 2023, 144, 55–66. [Google Scholar] [CrossRef]
- Galluzzi, L.; Vitale, I.; Aaronson, S.A.; Abrams, J.M.; Adam, D.; Agostinis, P.; Alnemri, E.S.; Altucci, L.; Amelio, I.; Andrews, D.W.; et al. Molecular Mechanisms of Cell Death: Recommendations of the Nomenclature Committee on Cell Death 2018. Cell Death Differ. 2018, 25, 486–541. [Google Scholar] [CrossRef]
- Stockwell, B.R. Ferroptosis Turns 10: Emerging Mechanisms, Physiological Functions, and Therapeutic Applications. Cell 2022, 185, 2401–2421. [Google Scholar] [CrossRef]
- Dixon, S.J.; Lemberg, K.M.; Lamprecht, M.R.; Skouta, R.; Zaitsev, E.M.; Gleason, C.E.; Patel, D.N.; Bauer, A.J.; Cantley, A.M.; Yang, W.S.; et al. Ferroptosis: An Iron-Dependent Form of Non-Apoptotic Cell Death. Cell 2012, 149, 1060–1072. [Google Scholar] [CrossRef]
- Lesjak, M.; Simin, N.; Srai, S.K.S. Can Polyphenols Inhibit Ferroptosis? Antioxidants 2022, 11, 150. [Google Scholar] [CrossRef]
- Shan, X.; Lv, Z.-Y.; Yin, M.-J.; Chen, J.; Wang, J.; Wu, Q.-N. The Protective Effect of Cyanidin-3-Glucoside on Myocardial Ischemia-Reperfusion Injury through Ferroptosis. Oxidative Med. Cell. Longev. 2021, 2021, 8880141. [Google Scholar] [CrossRef]
- Zhou, Y.; Zhang, J.; Guan, Q.; Tao, X.; Wang, J.; Li, W. The Role of Ferroptosis in the Development of Acute and Chronic Kidney Diseases. J. Cell Physiol. 2022, 237, 4412–4427. [Google Scholar] [CrossRef]
- Huang, S.; Wang, Y.; Xie, S.; Lai, Y.; Mo, C.; Zeng, T.; Kuang, S.; Zhou, C.; Zeng, Z.; Chen, Y.; et al. Isoliquiritigenin Alleviates Liver Fibrosis through Caveolin-1-Mediated Hepatic Stellate Cells Ferroptosis in Zebrafish and Mice. Phytomedicine 2022, 101, 154117. [Google Scholar] [CrossRef]
- Zhou, J.; Zhang, L.; Yan, J.; Hou, A.; Sui, W.; Sun, M. Curcumin Induces Ferroptosis in A549 CD133+ Cells through the GSH-GPX4 and FSP1-CoQ10-NAPH Pathways. Discov. Med. 2023, 35, 251–263. [Google Scholar] [CrossRef]
- Efferth, T.; Oesch, F. Repurposing of Plant Alkaloids for Cancer Therapy: Pharmacology and Toxicology. Semin. Cancer Biol. 2021, 68, 143–163. [Google Scholar] [CrossRef]
- Kerr, J.; Wyllie, A.; Currie, A. Apoptosis: A Basic Biological Phenomenon with Wide-Ranging Implications in Tissue Kinetics. Br. J. Cancer 1972, 26, 239–257. [Google Scholar] [CrossRef]
- Riley, J.S.; Bock, F.J. Voices from beyond the Grave: The Impact of Apoptosis on the Microenvironment. Biochim. Biophys. Acta Mol. Cell Res. 2022, 1869, 119341. [Google Scholar] [CrossRef]
- Wang, P.-P.; Huang, X.; Yang, M.-W.; Fang, S.-Y.; Hong, F.-F.; Yang, S.-L. Effects of Non-Drug Treatment on Liver Cells Apoptosis during Hepatic Ischemia-Reperfusion Injury. Life Sci. 2021, 275, 119321. [Google Scholar] [CrossRef]
- Dong, Y.; Chen, H.; Gao, J.; Liu, Y.; Li, J.; Wang, J. Molecular Machinery and Interplay of Apoptosis and Autophagy in Coronary Heart Disease. J. Mol. Cell. Cardiol. 2019, 136, 27–41. [Google Scholar] [CrossRef]
- Li, D.; Pi, W.; Sun, Z.; Liu, X.; Jiang, J. Ferroptosis and Its Role in Cardiomyopathy. Biomed. Pharmacother. 2022, 153, 113279. [Google Scholar] [CrossRef]
- Ou, M.; Jiang, Y.; Ji, Y.; Zhou, Q.; Du, Z.; Zhu, H.; Zhou, Z. Role and Mechanism of Ferroptosis in Neurological Diseases. Mol. Metab. 2022, 61, 101502. [Google Scholar] [CrossRef]
- Gao, M.; Monian, P.; Pan, Q.; Zhang, W.; Xiang, J.; Jiang, X. Ferroptosis Is an Autophagic Cell Death Process. Cell Res. 2016, 26, 1021–1032. [Google Scholar] [CrossRef] [PubMed]
- Yiannikourides, A.; Latunde-Dada, G.O. A Short Review of Iron Metabolism and Pathophysiology of Iron Disorders. Medicines 2019, 6, 85. [Google Scholar] [CrossRef] [PubMed]
- Gao, Z.; Chen, Z.; Xiong, Z.; Liu, X. Ferroptosis—A New Target of Osteoporosis. Exp. Gerontol. 2022, 165, 111836. [Google Scholar] [CrossRef] [PubMed]
- Gao, M.; Fan, K.; Chen, Y.; Zhang, G.; Chen, J.; Zhang, Y. Understanding the Mechanistic Regulation of Ferroptosis in Cancer: The Gene Matters. J. Genet. Genom. 2022, 49, 913–926. [Google Scholar] [CrossRef] [PubMed]
- Patel, S.J.; Frey, A.G.; Palenchar, D.J.; Achar, S.; Bullough, K.Z.; Vashisht, A.; Wohlschlegel, J.A.; Philpott, C.C. A PCBP1-BolA2 Chaperone Complex Delivers Iron for Cytosolic [2Fe-2S] Cluster Assembly. Nat. Chem. Biol. 2019, 15, 872–881. [Google Scholar] [CrossRef] [PubMed]
- Kraft, V.A.N.; Bezjian, C.T.; Pfeiffer, S.; Ringelstetter, L.; Müller, C.; Zandkarimi, F.; Merl-Pham, J.; Bao, X.; Anastasov, N.; Kössl, J.; et al. GTP Cyclohydrolase 1/Tetrahydrobiopterin Counteract Ferroptosis through Lipid Remodeling. ACS Cent. Sci. 2020, 6, 41–53. [Google Scholar] [CrossRef] [PubMed]
- Lee, J.; Roh, J.-L. Induction of Ferroptosis in Head and Neck Cancer: A Novel Bridgehead for Fighting Cancer Resilience. Cancer Lett. 2022, 546, 215854. [Google Scholar] [CrossRef]
- Anandhan, A.; Dodson, M.; Schmidlin, C.J.; Liu, P.; Zhang, D.D. Breakdown of an Ironclad Defense System: The Critical Role of NRF2 in Mediating Ferroptosis. Cell Chem. Biol. 2020, 27, 436–447. [Google Scholar] [CrossRef]
- Kang, R.; Kroemer, G.; Tang, D. The Tumor Suppressor Protein P53 and the Ferroptosis Network. Free Radic. Biol. Med. 2019, 133, 162–168. [Google Scholar] [CrossRef]
- Liu, Y.; Gu, W. P53 in Ferroptosis Regulation: The New Weapon for the Old Guardian. Cell Death Differ. 2022, 29, 895–910. [Google Scholar] [CrossRef]
- Anjitha, K.S.; Sameena, P.P.; Puthur, J.T. Functional Aspects of Plant Secondary Metabolites in Metal Stress Tolerance and Their Importance in Pharmacology. Plant Stress 2021, 2, 100038. [Google Scholar] [CrossRef]
- Sreenivasulu, N.; Fernie, A.R. Diversity: Current and Prospective Secondary Metabolites for Nutrition and Medicine. Curr. Opin. Biotechnol. 2022, 74, 164–170. [Google Scholar] [CrossRef]
- Shahidi, F.; Ambigaipalan, P. Phenolics and Polyphenolics in Foods, Beverages and Spices: Antioxidant Activity and Health Effects—A Review. J. Funct. Foods 2015, 18, 820–897. [Google Scholar] [CrossRef]
- Shen, N.; Wang, T.; Gan, Q.; Liu, S.; Wang, L.; Jin, B. Plant Flavonoids: Classification, Distribution, Biosynthesis, and Antioxidant Activity. Food Chem. 2022, 383, 132531. [Google Scholar] [CrossRef]
- Rostom, B.; Karaky, R.; Kassab, I.; Sylla-Iyarreta Veitía, M. Coumarins Derivatives and Inflammation: Review of Their Effects on the Inflammatory Signaling Pathways. Eur. J. Pharmacol. 2022, 922, 174867. [Google Scholar] [CrossRef]
- Teka, T.; Zhang, L.; Ge, X.; Li, Y.; Han, L.; Yan, X. Stilbenes: Source Plants, Chemistry, Biosynthesis, Pharmacology, Application and Problems Related to Their Clinical Application-A Comprehensive Review. Phytochemistry 2022, 197, 113128. [Google Scholar] [CrossRef] [PubMed]
- Robertson, I.; Wai Hau, T.; Sami, F.; Sajid Ali, M.; Badgujar, V.; Murtuja, S.; Saquib Hasnain, M.; Khan, A.; Majeed, S.; Tahir Ansari, M. The Science of Resveratrol, Formulation, Pharmacokinetic Barriers and Its Chemotherapeutic Potential. Int. J. Pharm. 2022, 618, 121605. [Google Scholar] [CrossRef] [PubMed]
- Das, A.K.; Islam, M.N.; Faruk, M.O.; Ashaduzzaman, M.; Dungani, R. Review on Tannins: Extraction Processes, Applications and Possibilities. S. Afr. J. Bot. 2020, 135, 58–70. [Google Scholar] [CrossRef]
- Page, M.J.; McKenzie, J.E.; Bossuyt, P.M.; Boutron, I.; Hoffmann, T.C.; Mulrow, C.D.; Shamseer, L.; Tetzlaff, J.M.; Akl, E.A.; Brennan, S.E.; et al. The PRISMA 2020 Statement: An Updated Guideline for Reporting Systematic Reviews. BMJ 2021, 372, n71. [Google Scholar] [CrossRef]
- Miao, Q.; Deng, W.; Lyu, W.; Sun, Z.; Fan, S.; Qi, M.; Qiu, S.; Zhu, Y.; Lin, J.; Chen, M.; et al. Erianin Inhibits the Growth and Metastasis through Autophagy-Dependent Ferroptosis in KRASG13D Colorectal Cancer. Free Radic. Biol. Med. 2023, 204, 301–312. [Google Scholar] [CrossRef] [PubMed]
- Zhu, H.-Y.; Huang, Z.-X.; Chen, G.-Q.; Sheng, F.; Zheng, Y.-S. Typhaneoside Prevents Acute Myeloid Leukemia (AML) through Suppressing Proliferation and Inducing Ferroptosis Associated with Autophagy. Biochem. Biophys. Res. Commun. 2019, 516, 1265–1271. [Google Scholar] [CrossRef] [PubMed]
- Yue, L.; Yang, Y.-R.; Ma, W.-X.; Wang, H.-Y.; Fan, Q.-W.; Wang, Y.-Y.; Li, C.; Wang, J.; Hu, Z.-M.; Wang, X.-F.; et al. Epigallocatechin Gallate Attenuates Gentamicin-Induced Nephrotoxicity by Suppressing Apoptosis and Ferroptosis. Molecules 2022, 27, 8564. [Google Scholar] [CrossRef] [PubMed]
- Ma, X.; Xu, M.; Zhang, X.; Wang, X.; Su, K.; Xu, Z.; Wang, X.; Yang, Y. Gambogenic Acid Inhibits Proliferation and Ferroptosis by Targeting the miR-1291/FOXA2 and AMPKα/SLC7A11/GPX4 Axis in Colorectal Cancer. Cell Biol. Int. 2023, 47, 1813–1824. [Google Scholar] [CrossRef]
- Xiang, Y.; Chen, X.; Wang, W.; Zhai, L.; Sun, X.; Feng, J.; Duan, T.; Zhang, M.; Pan, T.; Yan, L.; et al. Natural Product Erianin Inhibits Bladder Cancer Cell Growth by Inducing Ferroptosis via NRF2 Inactivation. Front. Pharmacol. 2021, 12, 775506. [Google Scholar] [CrossRef]
- Lin, J.-H.; Yang, K.-T.; Lee, W.-S.; Ting, P.-C.; Luo, Y.-P.; Lin, D.-J.; Wang, Y.-S.; Chang, J.-C. Xanthohumol Protects the Rat Myocardium against Ischemia/Reperfusion Injury-Induced Ferroptosis. Oxidative Med. Cell. Longev. 2022, 2022, 9523491. [Google Scholar] [CrossRef]
- Sun, Y.; He, L.; Wang, W.; Xie, Z.; Zhang, X.; Wang, P.; Wang, L.; Yan, C.; Liu, Z.; Zhao, J.; et al. Activation of Atg7-Dependent Autophagy by a Novel Inhibitor of the Keap1-Nrf2 Protein-Protein Interaction from Penthorum Chinense Pursh. Attenuates 6-Hydroxydopamine-Induced Ferroptosis in Zebrafish and Dopaminergic Neurons. Food Funct. 2022, 13, 7885–7900. [Google Scholar] [CrossRef]
- Guan, X.; Li, Z.; Zhu, S.; Cheng, M.; Ju, Y.; Ren, L.; Yang, G.; Min, D. Galangin Attenuated Cerebral Ischemia-Reperfusion Injury by Inhibition of Ferroptosis through Activating the SLC7A11/GPX4 Axis in Gerbils. Life Sci. 2021, 264, 118660. [Google Scholar] [CrossRef]
- Liu, H.; He, Y.; Gao, X.; Li, T.; Qiao, B.; Tang, L.; Lan, J.; Su, Q.; Ruan, Z.; Tang, Z.; et al. Curcumin Alleviates AFB1-Induced Nephrotoxicity in Ducks: Regulating Mitochondrial Oxidative Stress, Ferritinophagy, and Ferroptosis. Mycotoxin Res. 2023, 39, 437–451. [Google Scholar] [CrossRef]
- Duan, L.; Zhang, Y.; Yang, Y.; Su, S.; Zhou, L.; Lo, P.-C.; Cai, J.; Qiao, Y.; Li, M.; Huang, S.; et al. Baicalin Inhibits Ferroptosis in Intracerebral Hemorrhage. Front. Pharmacol. 2021, 12, 629379. [Google Scholar] [CrossRef]
- Jiang, T.; Chu, J.; Chen, H.; Cheng, H.; Su, J.; Wang, X.; Cao, Y.; Tian, S.; Li, Q. Gastrodin Inhibits H2O2-Induced Ferroptosis through Its Antioxidative Effect in Rat Glioma Cell Line C6. Biol. Pharm. Bull. 2020, 43, 480–487. [Google Scholar] [CrossRef] [PubMed]
- Gong, Z.; Wang, Y.; Li, L.; Li, X.; Qiu, B.; Hu, Y. Cardamonin Alleviates Chondrocytes Inflammation and Cartilage Degradation of Osteoarthritis by Inhibiting Ferroptosis via P53 Pathway. Food Chem. Toxicol. 2023, 174, 113644. [Google Scholar] [CrossRef]
- Ding, Y.; Li, W.; Peng, S.; Zhou, G.; Chen, S.; Wei, Y.; Xu, J.; Gu, H.; Li, J.; Liu, S.; et al. Puerarin Protects against Myocardial Ischemia/Reperfusion Injury by Inhibiting Ferroptosis. Biol. Pharm. Bull. 2023, 46, 524–532. [Google Scholar] [CrossRef] [PubMed]
- Huang, Y.; Liu, J.; He, J.; Tan, F.; Lu, M.; Yuan, F.; Zhu, X.; Kong, L. Curcumin Preconditioning Enhances the Neuroprotective Effects of Olfactory Mucosa-Derived Mesenchymal Stem Cells on Experimental Intracerebral Hemorrhage. Heliyon 2023, 9, e17874. [Google Scholar] [CrossRef] [PubMed]
- Tang, X.; Ding, H.; Liang, M.; Chen, X.; Yan, Y.; Wan, N.; Chen, Q.; Zhang, J.; Cao, J. Curcumin Induces Ferroptosis in Non-Small-Cell Lung Cancer via Activating Autophagy. Thorac. Cancer 2021, 12, 1219–1230. [Google Scholar] [CrossRef]
- Liang, Y.; Zhong, Q.; Ma, R.; Ni, Z.; Thakur, K.; Zhang, J.; Wei, Z. Apigenin, a Natural Flavonoid, Promotes Autophagy and Ferroptosis in Human Endometrial Carcinoma Ishikawa Cells in Vitro and in Vivo. Food Sci. Hum. Wellness 2023, 12, 2242–2251. [Google Scholar] [CrossRef]
- Tsai, K.-Y.; Wei, P.-L.; Lee, C.-C.; Makondi, P.T.; Chen, H.-A.; Chang, Y.-Y.; Liu, D.-Z.; Huang, C.-Y.; Chang, Y.-J. 2,3,5,4′-Tetrahydroxystilbene (TG1), a Novel Compound Derived from 2,3,5,4′-Tetrahydroxystilbene-2-O-β-D-Glucoside (THSG), Inhibits Colorectal Cancer Progression by Inducing Ferroptosis, Apoptosis, and Autophagy. Biomedicines 2023, 11, 1798. [Google Scholar] [CrossRef]
- Wen, R.; Dong, X.; Zhuang, H.; Pang, F.; Ding, S.; Li, N.; Mai, Y.; Zhou, S.; Wang, J.; Zhang, J. Baicalin Induces Ferroptosis in Osteosarcomas through a Novel Nrf2/xCT/GPX4 Regulatory Axis. Phytomedicine 2023, 116, 154881. [Google Scholar] [CrossRef]
- Yuan, J.; Khan, S.U.; Yan, J.; Lu, J.; Yang, C.; Tong, Q. Baicalin Enhances the Efficacy of 5-Fluorouracil in Gastric Cancer by Promoting ROS-Mediated Ferroptosis. Biomed. Pharmacother. 2023, 164, 114986. [Google Scholar] [CrossRef]
- Miyazaki, K.; Xu, C.; Shimada, M.; Goel, A. Curcumin and Andrographis Exhibit Anti-Tumor Effects in Colorectal Cancer via Activation of Ferroptosis and Dual Suppression of Glutathione Peroxidase-4 and Ferroptosis Suppressor Protein-1. Pharmaceuticals 2023, 16, 383. [Google Scholar] [CrossRef]
- Shen, H.; Geng, Z.; Nie, X.; Liu, T. Erianin Induces Ferroptosis of Renal Cancer Stem Cells via Promoting ALOX12/P53 mRNA N6-Methyladenosine Modification. J. Cancer 2023, 14, 367–378. [Google Scholar] [CrossRef] [PubMed]
- Chen, H.; Li, Z.; Xu, J.; Zhang, N.; Chen, J.; Wang, G.; Zhao, Y. Curcumin Induces Ferroptosis in Follicular Thyroid Cancer by Upregulating HO-1 Expression. Oxidative Med. Cell. Longev. 2023, 2023, 6896790. [Google Scholar] [CrossRef] [PubMed]
- Chen, M.; Tan, A.-H.; Li, J. Curcumin Represses Colorectal Cancer Cell Proliferation by Triggering Ferroptosis via PI3K/Akt/mTOR Signaling. Nutr. Cancer 2023, 75, 726–733. [Google Scholar] [CrossRef]
- Xu, B.; Zhu, W.-J.; Peng, Y.-J.; Cheng, S.-D. Curcumin Reverses the Sunitinib Resistance in Clear Cell Renal Cell Carcinoma (ccRCC) through the Induction of Ferroptosis via the ADAMTS18 Gene. Transl. Cancer Res. 2021, 10, 3158–3167. [Google Scholar] [CrossRef] [PubMed]
- Cao, X.; Li, Y.; Wang, Y.; Yu, T.; Zhu, C.; Zhang, X.; Guan, J. Curcumin Suppresses Tumorigenesis by Ferroptosis in Breast Cancer. PLoS ONE 2022, 17, e0261370. [Google Scholar] [CrossRef] [PubMed]
- Tang, F.; Xu, Y.; Gao, E.; Zhang, W.; Zhang, F.; Xiang, Y.; Xu, L.; Dong, F. Amentoflavone Attenuates Cell Proliferation and Induces Ferroptosis in Human Gastric Cancer by miR-496/ATF2 Axis. Chem. Biol. Drug Des. 2023, 102, 782–792. [Google Scholar] [CrossRef] [PubMed]
- Sun, Q.; Zhen, P.; Li, D.; Liu, X.; Ding, X.; Liu, H. Amentoflavone Promotes Ferroptosis by Regulating Reactive Oxygen Species (ROS)/5′AMP-Activated Protein Kinase (AMPK)/Mammalian Target of Rapamycin (mTOR) to Inhibit the Malignant Progression of Endometrial Carcinoma Cells. Bioengineered 2022, 13, 13269–13279. [Google Scholar] [CrossRef] [PubMed]
- Chen, Y.; Li, N.; Wang, H.; Wang, N.; Peng, H.; Wang, J.; Li, Y.; Liu, M.; Li, H.; Zhang, Y.; et al. Amentoflavone Suppresses Cell Proliferation and Induces Cell Death through Triggering Autophagy-Dependent Ferroptosis in Human Glioma. Life Sci. 2020, 247, 117425. [Google Scholar] [CrossRef]
- Kong, N.; Chen, X.; Feng, J.; Duan, T.; Liu, S.; Sun, X.; Chen, P.; Pan, T.; Yan, L.; Jin, T.; et al. Baicalin Induces Ferroptosis in Bladder Cancer Cells by Downregulating FTH1. Acta Pharm. Sin. B 2021, 11, 4045–4054. [Google Scholar] [CrossRef]
- Lv, J.; Wang, Z.; Liu, H. Erianin Suppressed Lung Cancer Stemness and Chemotherapeutic Sensitivity via Triggering Ferroptosis. Environ. Toxicol. 2023, 39, 479–486. [Google Scholar] [CrossRef]
- Chen, P.; Wu, Q.; Feng, J.; Yan, L.; Sun, Y.; Liu, S.; Xiang, Y.; Zhang, M.; Pan, T.; Chen, X.; et al. Erianin, a Novel Dibenzyl Compound in Dendrobium Extract, Inhibits Lung Cancer Cell Growth and Migration via Calcium/Calmodulin-Dependent Ferroptosis. Signal Transduct. Target. Ther. 2020, 5, 51. [Google Scholar] [CrossRef]
- Wang, M.; Cheng, H.; Wu, H.; Liu, C.; Li, S.; Li, B.; Su, J.; Luo, S.; Li, Q. Gambogenic Acid Antagonizes the Expression and Effects of Long Non-Coding RNA NEAT1 and Triggers Autophagy and Ferroptosis in Melanoma. Biomed. Pharmacother. 2022, 154, 113636. [Google Scholar] [CrossRef]
- Wang, C.-X.; Chen, L.-H.; Zhuang, H.-B.; Shi, Z.-S.; Chen, Z.C.; Pan, J.-P.; Hong, Z.-S. Auriculasin Enhances ROS Generation to Regulate Colorectal Cancer Cell Apoptosis, Ferroptosis, Oxeiptosis, Invasion and Colony Formation. Biochem. Biophys. Res. Commun. 2022, 587, 99–106. [Google Scholar] [CrossRef]
- Liu, X.; Peng, X.; Cen, S.; Yang, C.; Ma, Z.; Shi, X. Wogonin Induces Ferroptosis in Pancreatic Cancer Cells by Inhibiting the Nrf2/GPX4 Axis. Front. Pharmacol. 2023, 14, 1129662. [Google Scholar] [CrossRef]
- Wang, Z.-X.; Ma, J.; Li, X.-Y.; Wu, Y.; Shi, H.; Chen, Y.; Lu, G.; Shen, H.-M.; Lu, G.-D.; Zhou, J. Quercetin Induces P53-Independent Cancer Cell Death through Lysosome Activation by the Transcription Factor EB and Reactive Oxygen Species-Dependent Ferroptosis. Br. J. Pharmacol. 2021, 178, 1133–1148. [Google Scholar] [CrossRef]
- An, S.; Hu, M. Quercetin Promotes TFEB Nuclear Translocation and Activates Lysosomal Degradation of Ferritin to Induce Ferroptosis in Breast Cancer Cells. Comput. Intell. Neurosci. 2022, 2022, 5299218. [Google Scholar] [CrossRef] [PubMed]
- Ni, M.; Zhou, J.; Zhu, Z.; Xu, Q.; Yin, Z.; Wang, Y.; Zheng, Z.; Zhao, H. Shikonin and Cisplatin Synergistically Overcome Cisplatin Resistance of Ovarian Cancer by Inducing Ferroptosis via Upregulation of HMOX1 to Promote Fe2+ Accumulation. Phytomedicine 2023, 112, 154701. [Google Scholar] [CrossRef]
- Qian, X.; Zhu, L.; Xu, M.; Liu, H.; Yu, X.; Shao, Q.; Qin, J. Shikonin Suppresses Small Cell Lung Cancer Growth via Inducing ATF3-Mediated Ferroptosis to Promote ROS Accumulation. Chem. Biol. Interact. 2023, 382, 110588. [Google Scholar] [CrossRef] [PubMed]
- Shen, H.; Wei, Y.; Yang, Q.; Cai, Y.; Zhu, K.; Chen, X. Scoparone Induces Both Apoptosis and Ferroptosis via Multiple Mechanisms in Non-Small-Cell Lung Cancer Cells. Toxicol In Vitro 2023, 91, 105627. [Google Scholar] [CrossRef]
- Zhou, X.; Kang, J.; Zhang, L.; Cheng, Y. Osthole Inhibits Malignant Phenotypes and Induces Ferroptosis in KRAS-Mutant Colorectal Cancer Cells via Suppressing AMPK/Akt Signaling. Cancer Chemother. Pharmacol. 2023, 92, 119–134. [Google Scholar] [CrossRef] [PubMed]
- Tang, G.; Pi, L.; Guo, H.; Hu, Z.; Zhou, C.; Hu, Q.; Peng, H.; Xiao, Z.; Zhang, Z.; Wang, M.; et al. Naringin Relieves Diabetic Cardiac Autonomic Neuropathy Mediated by P2Y14 Receptor in Superior Cervical Ganglion. Front. Pharmacol. 2022, 13, 873090. [Google Scholar] [CrossRef]
- Feng, Q.; Yang, Y.; Qiao, Y.; Zheng, Y.; Yu, X.; Liu, F.; Wang, H.; Zheng, B.; Pan, S.; Ren, K.; et al. Quercetin Ameliorates Diabetic Kidney Injury by Inhibiting Ferroptosis via Activating Nrf2/HO-1 Signaling Pathway. Am. J. Chin. Med. 2023, 51, 997–1018. [Google Scholar] [CrossRef]
- Li, Y.; Huang, Z.; Pan, S.; Feng, Y.; He, H.; Cheng, S.; Wang, L.; Wang, L.; Pathak, J.L. Resveratrol Alleviates Diabetic Periodontitis-Induced Alveolar Osteocyte Ferroptosis Possibly via Regulation of SLC7A11/GPX4. Nutrients 2023, 15, 2115. [Google Scholar] [CrossRef]
- Xiong, D.; Hu, W.; Han, X.; Cai, Y. Rhein Inhibited Ferroptosis and EMT to Attenuate Diabetic Nephropathy by Regulating the Rac1/NOX1/β-Catenin Axis. Front. Biosci. 2023, 28, 100. [Google Scholar] [CrossRef]
- Tan, H.; Chen, J.; Li, Y.; Li, Y.; Zhong, Y.; Li, G.; Liu, L.; Li, Y. Glabridin, a Bioactive Component of Licorice, Ameliorates Diabetic Nephropathy by Regulating Ferroptosis and the VEGF/Akt/ERK Pathways. Mol. Med. 2022, 28, 58. [Google Scholar] [CrossRef] [PubMed]
- Wei, Z.; Shaohuan, Q.; Pinfang, K.; Chao, S. Curcumin Attenuates Ferroptosis-Induced Myocardial Injury in Diabetic Cardiomyopathy through the Nrf2 Pathway. Cardiovasc. Ther. 2022, 2022, 3159717. [Google Scholar] [CrossRef]
- Wang, Z.; Feng, S.; Li, Q.; Song, Z.; He, J.; Yang, S.; Yan, C.; Ling, H. Dihydromyricetin Alleviates Hippocampal Ferroptosis in Type 2 Diabetic Cognitive Impairment Rats via Inhibiting the JNK-Inflammatory Factor Pathway. Neurosci. Lett. 2023, 812, 137404. [Google Scholar] [CrossRef]
- Mei, Z.; Hong, Y.; Yang, H.; Cai, S.; Hu, Y.; Chen, Q.; Yuan, Z.; Liu, X. Ferulic Acid Alleviates High Fat Diet-Induced Cognitive Impairment by Inhibiting Oxidative Stress and Apoptosis. Eur. J. Pharmacol. 2023, 946, 175642. [Google Scholar] [CrossRef] [PubMed]
- Wang, C.; Jiang, H.; Liu, H.; Chen, S.; Guo, H.; Ma, S.; Han, W.; Li, Y.; Wang, D. Isoforsythiaside Confers Neuroprotection against Alzheimer’s Disease by Attenuating Ferroptosis and Neuroinflammation in Vivo and in Vitro. Food Sci. Hum. Wellness 2023, 12, 1730–1742. [Google Scholar] [CrossRef]
- Luo, J.; Lu, Q.; Sun, B.; Shao, N.; Huang, W.; Hu, G.; Cai, B.; Si, W. Chrysophanol Improves Memory Impairment and Cell Injury by Reducing the Level of Ferroptosis in Aβ25–35 Treated Rat and PC12 Cells. 3 Biotech 2023, 13, 348. [Google Scholar] [CrossRef]
- Li, X.; Wang, X.; Huang, B.; Huang, R. Sennoside A Restrains TRAF6 Level to Modulate Ferroptosis, Inflammation and Cognitive Impairment in Aging Mice with Alzheimer’s Disease. Int. Immunopharmacol. 2023, 120, 110290. [Google Scholar] [CrossRef]
- He, P.; Yan, S.; Wen, X.; Zhang, S.; Liu, Z.; Liu, X.; Xiao, C. Eriodictyol Alleviates Lipopolysaccharide-Triggered Oxidative Stress and Synaptic Dysfunctions in BV-2 Microglial Cells and Mouse Brain. J. Cell. Biochem. 2019, 120, 14756–14770. [Google Scholar] [CrossRef]
- Li, L.; Li, W.-J.; Zheng, X.-R.; Liu, Q.-L.; Du, Q.; Lai, Y.-J.; Liu, S.-Q. Eriodictyol Ameliorates Cognitive Dysfunction in APP/PS1 Mice by Inhibiting Ferroptosis via Vitamin D Receptor-Mediated Nrf2 Activation. Mol. Med. 2022, 28, 11. [Google Scholar] [CrossRef]
- Xu, Z.; You, Y.; Tang, Q.; Zeng, H.; Zhao, T.; Wang, J.; Li, F. Echinatin Mitigates Sevoflurane-Induced Hippocampal Neurotoxicity and Cognitive Deficits through Mitigation of Iron Overload and Oxidative Stress. Pharm. Biol. 2022, 60, 1915–1924. [Google Scholar] [CrossRef] [PubMed]
- Li, Y.; Zhang, E.; Yang, H.; Chen, Y.; Tao, L.; Xu, Y.; Chen, T.; Shen, X. Gastrodin Ameliorates Cognitive Dysfunction in Vascular Dementia Rats by Suppressing Ferroptosis via the Regulation of the Nrf2/Keap1-GPx4 Signaling Pathway. Molecules 2022, 27, 6311. [Google Scholar] [CrossRef] [PubMed]
- Jiang, T.; Cheng, H.; Su, J.; Wang, X.; Wang, Q.; Chu, J.; Li, Q. Gastrodin Protects against Glutamate-Induced Ferroptosis in HT-22 Cells through Nrf2/HO-1 Signaling Pathway. Toxicol In Vitro 2020, 62, 104715. [Google Scholar] [CrossRef] [PubMed]
- Yang, Y.; Fu, Y.; Qin, Z.; Pei, H.; Zhai, L.; Guan, Q.; Wu, S.; Shen, H. Icariin Improves Cognitive Impairment by Inhibiting Ferroptosis of Nerve Cells. Aging 2023, 15, 11546–11553. [Google Scholar] [CrossRef] [PubMed]
- Xie, R.; Zhao, W.; Lowe, S.; Bentley, R.; Hu, G.; Mei, H.; Jiang, X.; Sun, C.; Wu, Y.; Liu, Y. Quercetin Alleviates Kainic Acid-Induced Seizure by Inhibiting the Nrf2-Mediated Ferroptosis Pathway. Free Radic. Biol. Med. 2022, 191, 212–226, Corrigendum in Free Radic. Biol. Med. 2022, 193, 80. [Google Scholar] [CrossRef]
- Lin, Z.-H.; Liu, Y.; Xue, N.-J.; Zheng, R.; Yan, Y.-Q.; Wang, Z.-X.; Li, Y.-L.; Ying, C.-Z.; Song, Z.; Tian, J.; et al. Quercetin Protects against MPP+/MPTP-Induced Dopaminergic Neuron Death in Parkinson’s Disease by Inhibiting Ferroptosis. Oxidative Med. Cell. Longev. 2022, 2022, 7769355. [Google Scholar] [CrossRef] [PubMed]
- Yang, S.; Wang, L.; Zeng, Y.; Wang, Y.; Pei, T.; Xie, Z.; Xiong, Q.; Wei, H.; Li, W.; Li, J.; et al. Salidroside Alleviates Cognitive Impairment by Inhibiting Ferroptosis via Activation of the Nrf2/GPX4 Axis in SAMP8 Mice. Phytomedicine 2023, 114, 154762. [Google Scholar] [CrossRef]
- Yang, S.; Xie, Z.; Pei, T.; Zeng, Y.; Xiong, Q.; Wei, H.; Wang, Y.; Cheng, W. Salidroside Attenuates Neuronal Ferroptosis by Activating the Nrf2/HO1 Signaling Pathway in Aβ1-42-Induced Alzheimer’s Disease Mice and Glutamate-Injured HT22 Cells. Chin. Med. 2022, 17, 82. [Google Scholar] [CrossRef]
- Gao, Y.; Li, J.; Wu, Q.; Wang, S.; Yang, S.; Li, X.; Chen, N.; Li, L.; Zhang, L. Tetrahydroxy Stilbene Glycoside Ameliorates Alzheimer’s Disease in APP/PS1 Mice via Glutathione Peroxidase Related Ferroptosis. Int. Immunopharmacol. 2021, 99, 108002. [Google Scholar] [CrossRef]
- Liu, P.; Chen, W.; Kang, Y.; Wang, C.; Wang, X.; Liu, W.; Hayashi, T.; Qiu, Z.; Mizuno, K.; Hattori, S.; et al. Silibinin Ameliorates STING-Mediated Neuroinflammation via Downregulation of Ferroptotic Damage in a Sporadic Alzheimer’s Disease Model. Arch. Biochem. Biophys. 2023, 744, 109691. [Google Scholar] [CrossRef]
- Huang, L.; He, S.; Cai, Q.; Li, F.; Wang, S.; Tao, K.; Xi, Y.; Qin, H.; Gao, G.; Feng, D. Polydatin Alleviates Traumatic Brain Injury: Role of Inhibiting Ferroptosis. Biochem. Biophys. Res. Commun. 2021, 556, 149–155. [Google Scholar] [CrossRef] [PubMed]
- Huang, Y.; Wu, H.; Hu, Y.; Zhou, C.; Wu, J.; Wu, Y.; Wang, H.; Lenahan, C.; Huang, L.; Nie, S.; et al. Puerarin Attenuates Oxidative Stress and Ferroptosis via AMPK/PGC1α/Nrf2 Pathway after Subarachnoid Hemorrhage in Rats. Antioxidants 2022, 11, 1259. [Google Scholar] [CrossRef]
- Liu, Y.; Zhao, Z.; Guo, J.; Ma, Y.; Li, J.; Ji, H.; Chen, Z.; Zheng, J. Anacardic Acid Improves Neurological Deficits in Traumatic Brain Injury by Anti-Ferroptosis and Anti-Inflammation. Exp. Neurol. 2023, 370, 114568. [Google Scholar] [CrossRef]
- Li, Q.; Li, Q.-Q.; Jia, J.-N.; Sun, Q.-Y.; Zhou, H.-H.; Jin, W.-L.; Mao, X.-Y. Baicalein Exerts Neuroprotective Effects in FeCl3-Induced Posttraumatic Epileptic Seizures via Suppressing Ferroptosis. Front. Pharmacol. 2019, 10, 638. [Google Scholar] [CrossRef]
- Zheng, B.; Zhou, X.; Pang, L.; Che, Y.; Qi, X. Baicalin Suppresses Autophagy-Dependent Ferroptosis in Early Brain Injury after Subarachnoid Hemorrhage. Bioengineered 2021, 12, 7794–7804. [Google Scholar] [CrossRef]
- Salvadori, M.; Rosso, G.; Bertoni, E. Update on Ischemia-Reperfusion Injury in Kidney Transplantation: Pathogenesis and Treatment. World J. Transplant. 2015, 5, 52–67. [Google Scholar] [CrossRef]
- Zhao, T.-T.; Yang, T.-L.; Gong, L.; Wu, P. Isorhamnetin Protects against Hypoxia/Reoxygenation-Induced Injure by Attenuating Apoptosis and Oxidative Stress in H9c2 Cardiomyocytes. Gene 2018, 666, 92–99. [Google Scholar] [CrossRef] [PubMed]
- Feng, Y.-D.; Ye, W.; Tian, W.; Meng, J.-R.; Zhang, M.; Sun, Y.; Zhang, H.-N.; Wang, S.-J.; Wu, K.-H.; Liu, C.-X.; et al. Old Targets, New Strategy: Apigenin-7-O-β-d-(-6″-p-Coumaroyl)-Glucopyranoside Prevents Endothelial Ferroptosis and Alleviates Intestinal Ischemia-Reperfusion Injury through HO-1 and MAO-B Inhibition. Free Radic. Biol. Med. 2022, 184, 74–88. [Google Scholar] [CrossRef] [PubMed]
- Yang, T.; Liu, H.; Yang, C.; Mo, H.; Wang, X.; Song, X.; Jiang, L.; Deng, P.; Chen, R.; Wu, P.; et al. Galangin Attenuates Myocardial Ischemic Reperfusion-Induced Ferroptosis by Targeting Nrf2/Gpx4 Signaling Pathway. Drug Des. Dev. Ther. 2023, 17, 2495–2511. [Google Scholar] [CrossRef] [PubMed]
- Chen, K.; Xue, R.; Geng, Y.; Zhang, S. Galangin Inhibited Ferroptosis through Activation of the PI3K/AKT Pathway in Vitro and in Vivo. FASEB J. 2022, 36, e22569. [Google Scholar] [CrossRef] [PubMed]
- Zhu, H.; Huang, J.; Chen, Y.; Li, X.; Wen, J.; Tian, M.; Ren, J.; Zhou, L.; Yang, Q. Resveratrol Pretreatment Protects Neurons from Oxygen-Glucose Deprivation/Reoxygenation and Ischemic Injury through Inhibiting Ferroptosis. Biosci. Biotechnol. Biochem. 2022, 86, 704–716. [Google Scholar] [CrossRef] [PubMed]
- Li, T.; Tan, Y.; Ouyang, S.; He, J.; Liu, L. Resveratrol Protects against Myocardial Ischemia-Reperfusion Injury via Attenuating Ferroptosis. Gene 2022, 808, 145968. [Google Scholar] [CrossRef]
- Wang, X.; Shen, T.; Lian, J.; Deng, K.; Qu, C.; Li, E.; Li, G.; Ren, Y.; Wang, Z.; Jiang, Z.; et al. Resveratrol Reduces ROS-Induced Ferroptosis by Activating SIRT3 and Compensating the GSH/GPX4 Pathway. Mol. Med. 2023, 29, 137. [Google Scholar] [CrossRef] [PubMed]
- Liu, H.; Zhang, T.; Zhang, W.-Y.; Huang, S.-R.; Hu, Y.; Sun, J. Rhein Attenuates Cerebral Ischemia-Reperfusion Injury via Inhibition of Ferroptosis through NRF2/SLC7A11/GPX4 Pathway. Exp. Neurol. 2023, 369, 114541. [Google Scholar] [CrossRef]
- Guo, L.; Shi, L. Vitexin Improves Cerebral Ischemia-reperfusion Injury by Attenuating Oxidative Injury and Ferroptosis via Keap1/Nrf2/HO-1signaling. Neurochem. Res. 2023, 48, 980–995. [Google Scholar] [CrossRef]
- Xu, S.; Wu, B.; Zhong, B.; Lin, L.; Ding, Y.; Jin, X.; Huang, Z.; Lin, M.; Wu, H.; Xu, D. Naringenin Alleviates Myocardial Ischemia/Reperfusion Injury by Regulating the Nuclear Factor-Erythroid Factor 2-Related Factor 2 (Nrf2)/System Xc-/Glutathione Peroxidase 4 (GPX4) Axis to Inhibit Ferroptosis. Bioengineered 2021, 12, 10924–10934. [Google Scholar] [CrossRef] [PubMed]
- Liu, Y.; Mi, Y.; Wang, Y.; Meng, Q.; Xu, L.; Liu, Y.; Zhou, D.; Wang, Y.; Liang, D.; Li, W.; et al. Loureirin C Inhibits Ferroptosis after Cerebral Ischemia Reperfusion through Regulation of the Nrf2 Pathway in Mice. Phytomedicine 2023, 113, 154729. [Google Scholar] [CrossRef]
- Li, X.-N.; Shang, N.-Y.; Kang, Y.-Y.; Sheng, N.; Lan, J.-Q.; Tang, J.-S.; Wu, L.; Zhang, J.-L.; Peng, Y. Caffeic Acid Alleviates Cerebral Ischemic Injury in Rats by Resisting Ferroptosis via Nrf2 Signaling Pathway. Acta Pharmacol. Sin. 2023, 45, 248–267. [Google Scholar] [CrossRef]
- Li, M.; Meng, Z.; Yu, S.; Li, J.; Wang, Y.; Yang, W.; Wu, H. Baicalein Ameliorates Cerebral Ischemia-Reperfusion Injury by Inhibiting Ferroptosis via Regulating GPX4/ACSL4/ACSL3 Axis. Chem. Biol. Interact. 2022, 366, 110137. [Google Scholar] [CrossRef] [PubMed]
- Wang, I.-C.; Lin, J.-H.; Lee, W.-S.; Liu, C.-H.; Lin, T.-Y.; Yang, K.-T. Baicalein and Luteolin Inhibit Ischemia/Reperfusion-Induced Ferroptosis in Rat Cardiomyocytes. Int. J. Cardiol. 2023, 375, 74–86. [Google Scholar] [CrossRef]
- Yuan, Y.; Zhai, Y.; Chen, J.; Xu, X.; Wang, H. Kaempferol Ameliorates Oxygen-Glucose Deprivation/Reoxygenation-Induced Neuronal Ferroptosis by Activating Nrf2/SLC7A11/GPX4 Axis. Biomolecules 2021, 11, 923. [Google Scholar] [CrossRef]
- Dai, C.; Li, H.; Wang, Y.; Tang, S.; Velkov, T.; Shen, J. Inhibition of Oxidative Stress and ALOX12 and NF-κB Pathways Contribute to the Protective Effect of Baicalein on Carbon Tetrachloride-Induced Acute Liver Injury. Antioxidants 2021, 10, 976. [Google Scholar] [CrossRef]
- Huang, W.; Chen, H.; He, Q.; Xie, W.; Peng, Z.; Ma, Q.; Huang, Q.; Chen, Z.; Liu, Y. Nobiletin Protects against Ferroptosis to Alleviate Sepsis-Associated Acute Liver Injury by Modulating the Gut Microbiota. Food Funct. 2023, 14, 7692–7704. [Google Scholar] [CrossRef]
- Huang, T.; Zhang, K.; Wang, J.; He, K.; Zhou, X.; Nie, S. Quercetin Alleviates Acrylamide-Induced Liver Injury by Inhibiting Autophagy-Dependent Ferroptosis. J. Agric. Food Chem. 2023, 71, 7427–7439. [Google Scholar] [CrossRef]
- Xu, J.; Zhao, L.; Zhang, X.; Ying, K.; Zhou, R.; Cai, W.; Wu, X.; Jiang, H.; Xu, Q.; Miao, D.; et al. Salidroside Ameliorates Acetaminophen-Induced Acute Liver Injury through the Inhibition of Endoplasmic Reticulum Stress-Mediated Ferroptosis by Activating the AMPK/SIRT1 Pathway. Ecotoxicol. Environ. Saf. 2023, 262, 115331. [Google Scholar] [CrossRef]
- Li, H.; Weng, Q.; Gong, S.; Zhang, W.; Wang, J.; Huang, Y.; Li, Y.; Guo, J.; Lan, T. Kaempferol Prevents Acetaminophen-Induced Liver Injury by Suppressing Hepatocyte Ferroptosis via Nrf2 Pathway Activation. Food Funct. 2023, 14, 1884–1896. [Google Scholar] [CrossRef] [PubMed]
- Ding, S.-B.; Chu, X.-L.; Jin, Y.-X.; Jiang, J.-J.; Zhao, X.; Yu, M. Epigallocatechin Gallate Alleviates High-Fat Diet-Induced Hepatic Lipotoxicity by Targeting Mitochondrial ROS-Mediated Ferroptosis. Front. Pharmacol. 2023, 14, 1148814. [Google Scholar] [CrossRef]
- Liu, G.; Wei, C.; Yuan, S.; Zhang, Z.; Li, J.; Zhang, L.; Wang, G.; Fang, L. Wogonoside Attenuates Liver Fibrosis by Triggering Hepatic Stellate Cell Ferroptosis through SOCS1/P53/SLC7A11 Pathway. Phytother. Res. 2022, 36, 4230–4243. [Google Scholar] [CrossRef] [PubMed]
- Kuo, C.-Y.; Chiu, V.; Hsieh, P.-C.; Huang, C.-Y.; Huang, S.J.; Tzeng, I.-S.; Tsai, F.-M.; Chen, M.-L.; Liu, C.-T.; Chen, Y.-R. Chrysophanol Attenuates Hepatitis B Virus X Protein-Induced Hepatic Stellate Cell Fibrosis by Regulating Endoplasmic Reticulum Stress and Ferroptosis. J. Pharmacol. Sci. 2020, 144, 172–182. [Google Scholar] [CrossRef] [PubMed]
- Wang, C.; Su, Z.; Xu, J.-H.; Ko, C.-Y. Danshensu Attenuated Lipopolysaccharide-Induced LX-2 and T6 Cells Activation through Regulation of Ferroptosis. Food Sci. Nutr. 2023, 11, 344–349. [Google Scholar] [CrossRef]
- Deng, S.; Li, J.; Li, L.; Lin, S.; Yang, Y.; Liu, T.; Zhang, T.; Xie, G.; Wu, D.; Xu, Y. Quercetin Alleviates Lipopolysaccharide-induced Acute Lung Injury by Inhibiting Ferroptosis via the Sirt1/Nrf2/Gpx4 Pathway. Int. J. Mol. Med. 2023, 52, 118. [Google Scholar] [CrossRef] [PubMed]
- Guo, B.; Zuo, Z.; Di, X.; Huang, Y.; Gong, G.; Xu, B.; Wang, L.; Zhang, X.; Liang, Z.; Hou, Y.; et al. Salidroside Attenuates HALI via IL-17A-Mediated Ferroptosis of Alveolar Epithelial Cells by Regulating Act1-TRAF6-P38 MAPK Pathway. Cell Commun. Signal. 2022, 20, 183. [Google Scholar] [CrossRef] [PubMed]
- Xu, B.; Wang, H.; Chen, Z. Puerarin Inhibits Ferroptosis and Inflammation of Lung Injury Caused by Sepsis in LPS Induced Lung Epithelial Cells. Front. Pediatr. 2021, 9, 706327. [Google Scholar] [CrossRef] [PubMed]
- Ding, H.; Ci, X.; Cheng, H.; Yu, Q.; Li, D. Chicoric Acid Alleviates Lipopolysaccharide-Induced Acute Lung Injury in Mice through Anti-Inflammatory and Anti-Oxidant Activities. Int. Immunopharmacol. 2019, 66, 169–176. [Google Scholar] [CrossRef] [PubMed]
- Tang, X.; Liu, J.; Yao, S.; Zheng, J.; Gong, X.; Xiao, B. Ferulic Acid Alleviates Alveolar Epithelial Barrier Dysfunction in Sepsis-Induced Acute Lung Injury by Activating the Nrf2/HO-1 Pathway and Inhibiting Ferroptosis. Pharm. Biol. 2022, 60, 2286–2294. [Google Scholar] [CrossRef] [PubMed]
- Zhang, X.; Li, M.; Wu, H.; Fan, W.; Zhang, J.; Su, W.; Wang, Y.; Li, P. Naringenin Attenuates Inflammation, Apoptosis, and Ferroptosis in Silver Nanoparticle-Induced Lung Injury through a Mechanism Associated with Nrf2/HO-1 Axis: In Vitro and in Vivo Studies. Life Sci. 2022, 311, 121127. [Google Scholar] [CrossRef] [PubMed]
- Liu, Y.; Liu, X.; Wang, H.; Ding, P.; Wang, C. Agrimonolide Inhibits Cancer Progression and Induces Ferroptosis and Apoptosis by Targeting SCD1 in Ovarian Cancer Cells. Phytomedicine 2022, 101, 154102. [Google Scholar] [CrossRef]
- Zhang, J.; Gao, R.-F.; Li, J.; Yu, K.; Bi, K.-X. Alloimperatorin Activates Apoptosis, Ferroptosis, and Oxeiptosis to Inhibit the Growth and Invasion of Breast Cancer Cells in Vitro. Biochem. Cell Biol. 2022, 100, 213–222. [Google Scholar] [CrossRef]
- Liu, R.; Rong, G.; Liu, Y.; Huang, W.; He, D.; Lu, R. Delivery of Apigenin-Loaded Magnetic Fe2O3/Fe3O4@mSiO2 Nanocomposites to A549 Cells and Their Antitumor Mechanism. Mater. Sci. Eng. C Mater. Biol. Appl. 2021, 120, 111719. [Google Scholar] [CrossRef]
- Luo, Y.; Gao, X.; Zou, L.; Lei, M.; Feng, J.; Hu, Z. Bavachin Induces Ferroptosis through the STAT3/P53/SLC7A11 Axis in Osteosarcoma Cells. Oxidative Med. Cell. Longev. 2021, 2021, 1783485. [Google Scholar] [CrossRef]
- Zhang, S.; Sun, Y.; Yao, F.; Li, H.; Yang, Y.; Li, X.; Bai, Z.; Hu, Y.; Wang, P.; Xu, X. Ginkgo Biflavones Cause P53 Wild-Type Dependent Cell Death in a Transcription-Independent Manner of P53. J. Nat. Prod. 2023, 86, 346–356. [Google Scholar] [CrossRef]
- Zhou, L.; Yang, C.; Zhong, W.; Wang, Q.; Zhang, D.; Zhang, J.; Xie, S.; Xu, M. Chrysin Induces Autophagy-Dependent Ferroptosis to Increase Chemosensitivity to Gemcitabine by Targeting CBR1 in Pancreatic Cancer Cells. Biochem. Pharmacol. 2021, 193, 114813. [Google Scholar] [CrossRef] [PubMed]
- Li, R.; Zhang, J.; Zhou, Y.; Gao, Q.; Wang, R.; Fu, Y.; Zheng, L.; Yu, H. Transcriptome Investigation and In Vitro Verification of Curcumin-Induced HO-1 as a Feature of Ferroptosis in Breast Cancer Cells. Oxidative Med. Cell. Longev. 2020, 2020, 3469840. [Google Scholar] [CrossRef] [PubMed]
- Wang, W.; Xu, X.; Zhao, L.; Ye, K.; Wang, S.; Lin, C. 3,5-diCQA Suppresses Colorectal Cancer Cell Growth through ROS/AMPK/mTOR Mediated Mitochondrial Dysfunction and Ferroptosis. Cell Cycle 2023, 22, 1951–1968. [Google Scholar] [CrossRef] [PubMed]
- Yang, C.; Wang, T.; Zhao, Y.; Meng, X.; Ding, W.; Wang, Q.; Liu, C.; Deng, H. Flavonoid 4,4′-Dimethoxychalcone Induced Ferroptosis in Cancer Cells by Synergistically Activating Keap1/Nrf2/HMOX1 Pathway and Inhibiting FECH. Free Radic. Biol. Med. 2022, 188, 14–23. [Google Scholar] [CrossRef] [PubMed]
- Oh, E.S.; Ryu, H.W.; Song, Y.N.; Kang, M.-J.; Huh, Y.H.; Park, J.-Y.; Oh, S.M.; Lee, S.-Y.; Park, Y.J.; Kim, D.-Y.; et al. Diplacone Isolated from Paulownia Tomentosa Mature Fruit Induces Ferroptosis-Mediated Cell Death through Mitochondrial Ca2+ Influx and Mitochondrial Permeability Transition. Int. J. Mol. Sci. 2023, 24, 7057. [Google Scholar] [CrossRef]
- Xing, M.; Ma, X.; Wang, X.; Wang, H.; Xie, M.; Zhang, Z.; Zhou, J. Emodin Disrupts the Notch1/Nrf2/GPX4 Antioxidant System and Promotes Renal Cell Ferroptosis. J. Appl. Toxicol. 2023, 43, 1702–1718. [Google Scholar] [CrossRef] [PubMed]
- Gao, M.; Lai, K.; Deng, Y.; Lu, Z.; Song, C.; Wang, W.; Xu, C.; Li, N.; Geng, Q. Eriocitrin Inhibits Epithelial-Mesenchymal Transformation (EMT) in Lung Adenocarcinoma Cells via Triggering Ferroptosis. Aging 2023, 15, 10089–10104. [Google Scholar] [CrossRef] [PubMed]
- Wang, X.; Chen, J.; Tie, H.; Tian, W.; Zhao, Y.; Qin, L.; Guo, S.; Li, Q.; Bao, C. Eriodictyol Regulated Ferroptosis, Mitochondrial Dysfunction, and Cell Viability via Nrf2/HO-1/NQO1 Signaling Pathway in Ovarian Cancer Cells. J. Biochem. Mol. Toxicol. 2023, 37, e23368. [Google Scholar] [CrossRef]
- Xiu, Z.; Li, Y.; Fang, J.; Han, J.; Li, S.; Li, Y.; Yang, X.; Song, G.; Li, Y.; Jin, N.; et al. Inhibitory Effects of Esculetin on Liver Cancer Through Triggering NCOA4 Pathway-Mediation Ferritinophagy in Vivo and in Vitro. J. Hepatocell. Carcinoma 2023, 10, 611–629. [Google Scholar] [CrossRef]
- Cao, Y.; Zhang, H.; Tang, J.; Wang, R. Ferulic Acid Mitigates Growth and Invasion of Esophageal Squamous Cell Carcinoma through Inducing Ferroptotic Cell Death. Dis. Markers 2022, 2022, 4607966. [Google Scholar] [CrossRef]
- Xie, J.; Wang, H.; Xie, W.; Liu, Y.; Chen, Y. Gallic Acid Promotes Ferroptosis in Hepatocellular Carcinoma via Inactivating Wnt/β-Catenin Signaling Pathway. Naunyn Schmiedebergs Arch. Pharmacol. 2023, in press. [Google Scholar] [CrossRef]
- Khorsandi, K.; Kianmehr, Z.; Hosseinmardi, Z.; Hosseinzadeh, R. Anti-Cancer Effect of Gallic Acid in Presence of Low Level Laser Irradiation: ROS Production and Induction of Apoptosis and Ferroptosis. Cancer Cell Int. 2020, 20, 18. [Google Scholar] [CrossRef]
- Tang, H.M.; Cheung, P.C.K. Gallic Acid Triggers Iron-Dependent Cell Death with Apoptotic, Ferroptotic, and Necroptotic Features. Toxins 2019, 11, 492. [Google Scholar] [CrossRef]
- Liu, Z.; Wang, X.; Li, J.; Yang, X.; Huang, J.; Ji, C.; Li, X.; Li, L.; Zhou, J.; Hu, Y. Gambogenic Acid Induces Cell Death in Human Osteosarcoma through Altering Iron Metabolism, Disturbing the Redox Balance, and Activating the P53 Signaling Pathway. Chem. Biol. Interact. 2023, 382, 110602. [Google Scholar] [CrossRef]
- Wang, M.; Li, S.; Wang, Y.; Cheng, H.; Su, J.; Li, Q. Gambogenic Acid Induces Ferroptosis in Melanoma Cells Undergoing Epithelial-to-Mesenchymal Transition. Toxicol. Appl. Pharmacol. 2020, 401, 115110. [Google Scholar] [CrossRef]
- Liu, C.-M.; An, L.; Wu, Z.; Ouyang, A.-J.; Su, M.; Shao, Z.; Lin, Y.; Liu, X.; Jiang, Y. 6-Gingerol Suppresses Cell Viability, Migration and Invasion via Inhibiting EMT, and Inducing Autophagy and Ferroptosis in LPS-Stimulated and LPS-Unstimulated Prostate Cancer Cells. Oncol. Lett. 2022, 23, 187. [Google Scholar] [CrossRef]
- Tsai, Y.; Xia, C.; Sun, Z. The Inhibitory Effect of 6-Gingerol on Ubiquitin-Specific Peptidase 14 Enhances Autophagy-Dependent Ferroptosis and Anti-Tumor in Vivo and in Vitro. Front. Pharmacol. 2020, 11, 598555. [Google Scholar] [CrossRef]
- Lou, J.-S.; Zhao, L.-P.; Huang, Z.-H.; Chen, X.-Y.; Xu, J.-T.; Tai, W.C.-S.; Tsim, K.W.K.; Chen, Y.-T.; Xie, T. Ginkgetin Derived from Ginkgo Biloba Leaves Enhances the Therapeutic Effect of Cisplatin via Ferroptosis-Mediated Disruption of the Nrf2/HO-1 Axis in EGFR Wild-Type Non-Small-Cell Lung Cancer. Phytomedicine 2021, 80, 153370. [Google Scholar] [CrossRef]
- Lai, X.; Sun, Y.; Zhang, X.; Wang, D.; Wang, J.; Wang, H.; Zhao, Y.; Liu, X.; Xu, X.; Song, H.; et al. Honokiol Induces Ferroptosis by Upregulating HMOX1 in Acute Myeloid Leukemia Cells. Front. Pharmacol. 2022, 13, 897791. [Google Scholar] [CrossRef]
- Guo, C.; Liu, P.; Deng, G.; Han, Y.; Chen, Y.; Cai, C.; Shen, H.; Deng, G.; Zeng, S. Honokiol Induces Ferroptosis in Colon Cancer Cells by Regulating GPX4 Activity. Am. J. Cancer Res. 2021, 11, 3039–3054. [Google Scholar]
- Xu, W.; Ding, J.; Li, B.; Sun, T.; You, X.; He, Q.; Sheng, W. Effects of Icariin and Curcumol on Autophagy, Ferroptosis, and Lipid Metabolism Based on miR-7/m-TOR/SREBP1 Pathway on Prostate Cancer. Biofactors 2023, 49, 438–456. [Google Scholar] [CrossRef]
- Yu, R.; Zhou, Y.; Shi, S.; Wang, X.; Huang, S.; Ren, Y. Icariside II Induces Ferroptosis in Renal Cell Carcinoma Cells by Regulating the miR-324-3p/GPX4 Axis. Phytomedicine 2022, 102, 154182. [Google Scholar] [CrossRef]
- Wang, Z.; Li, W.; Wang, X.; Zhu, Q.; Liu, L.; Qiu, S.; Zou, L.; Liu, K.; Li, G.; Miao, H.; et al. Isoliquiritigenin Induces HMOX1 and GPX4-Mediated Ferroptosis in Gallbladder Cancer Cells. Chin. Med. J. 2023, 136, 2210–2220. [Google Scholar] [CrossRef]
- Wang, J.; Li, Y.; Zhang, J.; Luo, C. Isoliquiritin Modulates Ferroptosis via NF-κB Signaling Inhibition and Alleviates Doxorubicin Resistance in Breast Cancer. Immunopharmacol. Immunotoxicol. 2023, 45, 443–454. [Google Scholar] [CrossRef]
- Feng, S.; Li, Y.; Huang, H.; Huang, H.; Duan, Y.; Yuan, Z.; Zhu, W.; Mei, Z.; Luo, L.; Yan, P. Isoorientin Reverses Lung Cancer Drug Resistance by Promoting Ferroptosis via the SIRT6/Nrf2/GPX4 Signaling Pathway. Eur. J. Pharmacol. 2023, 954, 175853. [Google Scholar] [CrossRef]
- Luo, X.; Gong, Y.; Jiang, Q.; Wang, Q.; Li, S.; Liu, L. Isoquercitrin Promotes Ferroptosis and Oxidative Stress in Nasopharyngeal Carcinoma via the AMPK/NF-κB Pathway. J. Biochem. Mol. Toxicol. 2023, 38, e23542. [Google Scholar] [CrossRef]
- Fu, W.; Xu, L.; Chen, Y.; Zhang, Z.; Chen, S.; Li, Q.; You, X. Luteolin Induces Ferroptosis in Prostate Cancer Cells by Promoting TFEB Nuclear Translocation and Increasing Ferritinophagy. Prostate 2023, 84, 223–236. [Google Scholar] [CrossRef]
- Zheng, Y.; Li, L.; Chen, H.; Zheng, Y.; Tan, X.; Zhang, G.; Jiang, R.; Yu, H.; Lin, S.; Wei, Y.; et al. Luteolin Exhibits Synergistic Therapeutic Efficacy with Erastin to Induce Ferroptosis in Colon Cancer Cells through the HIC1-Mediated Inhibition of GPX4 Expression. Free Radic. Biol. Med. 2023, 208, 530–544. [Google Scholar] [CrossRef]
- Gao, Z.; Jiang, J.; Hou, L.; Ji, F. Lysionotin Induces Ferroptosis to Suppress Development of Colorectal Cancer via Promoting Nrf2 Degradation. Oxidative Med. Cell. Longev. 2022, 2022, 1366957. [Google Scholar] [CrossRef]
- Feng, S.; Zhou, Y.; Huang, H.; Lin, Y.; Zeng, Y.; Han, S.; Huang, K.; Liu, Q.; Zhu, W.; Yuan, Z.; et al. Nobiletin Induces Ferroptosis in Human Skin Melanoma Cells Through the GSK3β-Mediated Keap1/Nrf2/HO-1 Signalling Pathway. Front. Genet. 2022, 13, 865073. [Google Scholar] [CrossRef]
- Lian, G.; Huang, X.-X.; Zeng, Y. Puerarin Induces Ferroptosis in Colorectal Cancer Cells via Triggering NCOA4 Upregulation. Nutr. Cancer 2023, 75, 1571–1578. [Google Scholar] [CrossRef] [PubMed]
- Yao, L.; Yan, D.; Jiang, B.; Xue, Q.; Chen, X.; Huang, Q.; Qi, L.; Tang, D.; Chen, X.; Liu, J. Plumbagin Is a Novel GPX4 Protein Degrader That Induces Apoptosis in Hepatocellular Carcinoma Cells. Free Radic. Biol. Med. 2023, 203, 1–10. [Google Scholar] [CrossRef] [PubMed]
- Li, X.; Zhu, Q.; Ma, M.; Guo, H. Quercetin Inhibits the Progression of Endometrial HEC-1-A Cells by Regulating Ferroptosis-a Preliminary Study. Eur. J. Med. Res. 2022, 27, 292. [Google Scholar] [CrossRef] [PubMed]
- Liu, J.; Gao, W.; Sheng, Y.; Sun, J.; Wen, D. Resveratrol Drives Ferroptosis of Acute Myeloid Leukemia Cells through Hsa-miR-335-5p/NFS1/GPX4 Pathway in a ROS-Dependent Manner. Cell. Mol. Biol. 2023, 69, 131–137. [Google Scholar] [CrossRef] [PubMed]
- Shan, G.; Minchao, K.; Jizhao, W.; Rui, Z.; Guangjian, Z.; Jin, Z.; Meihe, L. Resveratrol Improves the Cytotoxic Effect of CD8 +T Cells in the Tumor Microenvironment by Regulating HMMR/Ferroptosis in Lung Squamous Cell Carcinoma. J. Pharm. Biomed. Anal. 2023, 229, 115346. [Google Scholar] [CrossRef] [PubMed]
- Mei, F.; Liu, Y.; Zheng, S. Rhamnazin Inhibits Hepatocellular Carcinoma Cell Aggressiveness in Vitro via Glutathione Peroxidase 4-Dependent Ferroptosis. Tohoku J. Exp. Med. 2022, 258, 111–120. [Google Scholar] [CrossRef] [PubMed]
- Xie, Y.; Zhou, X.; Li, J.; Yao, X.-C.; Liu, W.-L.; Kang, F.-H.; Zou, Z.-X.; Xu, K.-P.; Xu, P.-S.; Tan, G.-S. Identification of a New Natural Biflavonoids against Breast Cancer Cells Induced Ferroptosis via the Mitochondrial Pathway. Bioorganic Chem. 2021, 109, 104744. [Google Scholar] [CrossRef]
- Cheng, Y.; Zhang, Z.; Tang, H.; Chen, B.; Cai, Y.; Wei, Y.; Zhao, W.; Wu, Z.B.; Shang, H. Mitochondrial Inhibitor Rotenone Triggers and Enhances Neuronal Ferroptosis Following Intracerebral Hemorrhage. ACS Chem. Neurosci. 2023, 14, 1071–1079. [Google Scholar] [CrossRef]
- Huang, Y.; Liu, X.; Feng, Y.; Nie, X.; Liu, Q.; Du, X.; Wu, Y.; Liu, T.; Zhu, X. Rotenone, an Environmental Toxin, Causes Abnormal Methylation of the Mouse Brain Organoid’s Genome and Ferroptosis. Int. J. Med. Sci. 2022, 19, 1184–1197. [Google Scholar] [CrossRef]
- Sun, W.; Li, H.; Shen, Y.; Xiao, H. Resveratrol Attenuates Rotenone-Induced Inflammation and Oxidative Stress via STAT1 and Nrf2/Keap1/SLC7A11 Pathway in a Microglia Cell Line. Pathol. Res. Pract. 2021, 225, 153576. [Google Scholar] [CrossRef]
- Chen, J.; Zhou, S.; Zhang, X.; Zhao, H. S-3′-Hydroxy-7′, 2′, 4′-Trimethoxyisoxane, a Novel Ferroptosis Inducer, Promotes NSCLC Cell Death through Inhibiting Nrf2/HO-1 Signaling Pathway. Front. Pharmacol. 2022, 13, 973611. [Google Scholar] [CrossRef]
- Lai, Y.; Zeng, F.; Chen, Z.; Feng, M.; Huang, Y.; Qiu, P.; Zeng, L.; Ke, Y.; Deng, G.; Gao, J. Shikonin Could Be Used to Treat Tubal Pregnancy via Enhancing Ferroptosis Sensitivity. Drug Des. Dev. Ther. 2022, 16, 2083–2099. [Google Scholar] [CrossRef] [PubMed]
- Li, W.; Fu, H.; Fang, L.; Chai, H.; Gao, T.; Chen, Z.; Qian, S. Shikonin Induces Ferroptosis in Multiple Myeloma via GOT1-Mediated Ferritinophagy. Front. Oncol. 2022, 12, 1025067. [Google Scholar] [CrossRef] [PubMed]
- Feng, W.; Shi, W.; Liu, S.; Liu, H.; Liu, Y.; Ge, P.; Zhang, H. Fe(III)-Shikonin Supramolecular Nanomedicine for Combined Therapy of Tumor via Ferroptosis and Necroptosis. Adv. Healthc. Mater. 2022, 11, e2101926. [Google Scholar] [CrossRef] [PubMed]
- He, T.; Lin, X.; Yang, C.; Chen, Z.; Wang, L.; Li, Q.; Ma, J.; Zhan, F.; Wang, Y.; Yan, J.; et al. Theaflavin-3,3′-Digallate Plays a ROS-Mediated Dual Role in Ferroptosis and Apoptosis via the MAPK Pathway in Human Osteosarcoma Cell Lines and Xenografts. Oxidative Med. Cell. Longev. 2022, 2022, 8966368. [Google Scholar] [CrossRef] [PubMed]
- Hu, C.; Zhao, J.-F.; Wang, Y.-M.; Wu, X.; Ye, L. Tiliroside Induces Ferroptosis to Repress the Development of Triple-Negative Breast Cancer Cells. Tissue Cell 2023, 83, 102116. [Google Scholar] [CrossRef]
- Yang, C.; Lu, T.; Liu, M.; Yuan, X.; Li, D.; Zhang, J.; Zhou, L.; Xu, M. Tiliroside Targets TBK1 to Induce Ferroptosis and Sensitize Hepatocellular Carcinoma to Sorafenib. Phytomedicine 2023, 111, 154668. [Google Scholar] [CrossRef]
- Jiang, Z.; Sun, H.; Miao, J.; Sheng, Q.; Xu, J.; Gao, Z.; Zhang, X.; Song, Y.; Chen, K. The Natural Flavone Acacetin Protects against High-Fat Diet-Induced Lipid Accumulation in the Liver via the Endoplasmic Reticulum Stress/Ferroptosis Pathway. Biochem. Biophys. Res. Commun. 2023, 640, 183–191. [Google Scholar] [CrossRef]
- Chen, X.; Chen, J.; Miao, C.; Yin, G.; Zhang, Z.; Sun, R.; Ni, S. Acetyl Zingerone Ameliorates Osteoarthritis by Inhibiting Chondrocyte Programmed Cell Death. Mol. Med. Rep. 2023, 28, 202. [Google Scholar] [CrossRef]
- He, Y.; Xi, J.; Fang, J.; Zhang, B.; Cai, W. Aloe-Emodin Alleviates Doxorubicin-Induced Cardiotoxicity via Inhibition of Ferroptosis. Free Radic. Biol. Med. 2023, 206, 13–21. [Google Scholar] [CrossRef]
- Chen, G.; Li, C.; Zhang, L.; Yang, J.; Meng, H.; Wan, H.; He, Y. Hydroxysafflor Yellow A and Anhydrosafflor Yellow B Alleviate Ferroptosis and Parthanatos in PC12 Cells Injured by OGD/R. Free Radic. Biol. Med. 2022, 179, 1–10. [Google Scholar] [CrossRef]
- Han, D.; Yao, Y.; Chen, L.; Miao, Z.; Xu, S. Apigenin Ameliorates Di(2-Ethylhexyl) Phthalate-Induced Ferroptosis: The Activation of Glutathione Peroxidase 4 and Suppression of Iron Intake. Food Chem. Toxicol. 2022, 164, 113089. [Google Scholar] [CrossRef]
- Chen, B.; Li, X.; Ouyang, X.; Liu, J.; Liu, Y.; Chen, D. Comparison of Ferroptosis-Inhibitory Mechanisms between Ferrostatin-1 and Dietary Stilbenes (Piceatannol and Astringin). Molecules 2021, 26, 1092. [Google Scholar] [CrossRef] [PubMed]
- Shi, P.; Zhu, W.; Fu, J.; Liang, A.; Zheng, T.; Wen, Z.; Wu, X.; Peng, Y.; Yuan, S.; Wu, X. Avicularin Alleviates Acute Liver Failure by Regulation of the TLR4/MyD88/NF-κB and Nrf2/HO-1/GPX4 Pathways to Reduce Inflammation and Ferroptosis. J. Cell. Mol. Med. 2023, 27, 3326–3338. [Google Scholar] [CrossRef] [PubMed]
- Pei, J.; Zou, Y.; Zhou, W.; Wang, Y. Baicalein, a Component of Banxia Xiexin Decoction, Alleviates CPT-11-Induced Gastrointestinal Dysfunction by Inhibiting ALOX15-Mediated Ferroptosis. Chem. Biol. Drug Des. 2023, 102, 1568–1577. [Google Scholar] [CrossRef]
- Ye, Z.; Zhang, F.; Wang, P.; Ran, Y.; Liu, C.; Lu, J.; Zhang, M.; Yao, L. Baicalein Relieves Brain Injury via Inhibiting Ferroptosis and Endoplasmic Reticulum Stress in a Rat Model of Cardiac Arrest. Shock 2023, 59, 434–441. [Google Scholar] [CrossRef]
- Yu, M.; Li, H.; Wang, B.; Wu, Z.; Wu, S.; Jiang, G.; Wang, H.; Huang, Y. Baicalein Ameliorates Polymyxin B-Induced Acute Renal Injury by Inhibiting Ferroptosis via Regulation of SIRT1/P53 Acetylation. Chem. Biol. Interact. 2023, 382, 110607. [Google Scholar] [CrossRef] [PubMed]
- Wan, Y.; Shen, K.; Yu, H.; Fan, W. Baicalein Limits Osteoarthritis Development by Inhibiting Chondrocyte Ferroptosis. Free Radic. Biol. Med. 2023, 196, 108–120. [Google Scholar] [CrossRef] [PubMed]
- Yi, Z.-H.; Li, S.-Q.; Ke, J.-Y.; Wang, Y.; Zhao, M.-Z.; Li, J.; Li, M.-Q.; Zhu, Z.-L. Baicalein Relieves Ferroptosis-Mediated Phagocytosis Inhibition of Macrophages in Ovarian Endometriosis. Curr. Issues Mol. Biol. 2022, 44, 6189–6204. [Google Scholar] [CrossRef]
- Yang, M.; Li, X.; Li, H.; Zhang, X.; Liu, X.; Song, Y. Baicalein Inhibits RLS3-Induced Ferroptosis in Melanocytes. Biochem. Biophys. Res. Commun. 2021, 561, 65–72. [Google Scholar] [CrossRef]
- Fan, Z.; Cai, L.; Wang, S.; Wang, J.; Chen, B. Baicalin Prevents Myocardial Ischemia/Reperfusion Injury Through Inhibiting ACSL4 Mediated Ferroptosis. Front. Pharmacol. 2021, 12, 628988. [Google Scholar] [CrossRef] [PubMed]
- He, Q.; Yang, J.; Pan, Z.; Zhang, G.; Chen, B.; Li, S.; Xiao, J.; Tan, F.; Wang, Z.; Chen, P.; et al. Biochanin A Protects against Iron Overload Associated Knee Osteoarthritis via Regulating Iron Levels and NRF2/System Xc-/GPX4 Axis. Biomed. Pharmacothery 2023, 157, 113915. [Google Scholar] [CrossRef] [PubMed]
- Liang, Z.; Soriano-Castell, D.; Kepchia, D.; Duggan, B.M.; Currais, A.; Schubert, D.; Maher, P. Cannabinol Inhibits Oxytosis/Ferroptosis by Directly Targeting Mitochondria Independently of Cannabinoid Receptors. Free Radic. Biol. Med. 2022, 180, 33–51, Corrigendum in Free Radic. Biol. Med. 2022, 184, 16. [Google Scholar] [CrossRef] [PubMed]
- Liu, H.; Zhao, Z.; Yan, M.; Zhang, Q.; Jiang, T.; Xue, J. Calycosin Decreases Cerebral Ischemia/Reperfusion Injury by Suppressing ACSL4-Dependent Ferroptosis. Arch. Biochem. Biophys. 2023, 734, 109488. [Google Scholar] [CrossRef] [PubMed]
- Huang, D.; Shen, P.; Wang, C.; Gao, J.; Ye, C.; Wu, F. Calycosin Plays a Protective Role in Diabetic Kidney Disease through the Regulation of Ferroptosis. Pharm. Biol. 2022, 60, 990–996. [Google Scholar] [CrossRef]
- Guo, H.; Zhu, L.; Tang, P.; Chen, D.; Li, Y.; Li, J.; Bao, C. Carthamin Yellow Improves Cerebral Ischemia-reperfusion Injury by Attenuating Inflammation and Ferroptosis in Rats. Int. J. Mol. Med. 2021, 47, 52. [Google Scholar] [CrossRef] [PubMed]
- Yang, L.; Liu, Y.; Zhang, W.; Hua, Y.; Chen, B.; Wu, Q.; Chen, D.; Liu, S.; Li, X. Ferroptosis-Inhibitory Difference between Chebulagic Acid and Chebulinic Acid Indicates Beneficial Role of HHDP. Molecules 2021, 26, 4300. [Google Scholar] [CrossRef]
- Wang, K.; Gao, S.; Wang, J.; Yu, F.; Ye, C. Protective Effects of Chicoric Acid on LPS-Induced Endometritis in Mice via Inhibiting Ferroptosis by Nrf2/HO-1 Signal Axis. Int. Immunopharmacol. 2022, 113, 109435. [Google Scholar] [CrossRef]
- Li, L.-Y.; Wang, Q.; Deng, L.; Lin, Z.; Lin, J.-J.; Wang, X.-Y.; Shen, T.-Y.; Zheng, Y.-H.; Lin, W.; Li, P.-J.; et al. Chlorogenic Acid Alleviates Hypoxic-Ischemic Brain Injury in Neonatal Mice. Neural Regen. Res. 2023, 18, 568–576. [Google Scholar] [CrossRef]
- Wu, X.; Wang, J.; Li, B.; Gong, M.; Cao, C.; Song, L.; Qin, L.; Wang, Y.; Zhang, Y.; Li, Y. Chlorogenic Acid, Rutin, and Quercetin from Lysimachia Christinae Alleviate Triptolide-Induced Multi-Organ Injury in Vivo by Modulating Immunity and AKT/mTOR Signal Pathway to Inhibit Ferroptosis and Apoptosis. Toxicol. Appl. Pharmacol. 2023, 467, 116479. [Google Scholar] [CrossRef]
- Zhao, Y.; Wang, C.; Yang, T.; Wang, H.; Zhao, S.; Sun, N.; Chen, Y.; Zhang, H.; Fan, H. Chlorogenic Acid Alleviates Chronic Stress-Induced Duodenal Ferroptosis via the Inhibition of the IL-6/JAK2/STAT3 Signaling Pathway in Rats. J. Agric. Food Chem. 2022, 70, 4353–4361. [Google Scholar] [CrossRef] [PubMed]
- Shang, J.; Jiao, J.; Yan, M.; Wang, J.; Li, Q.; Shabuerjiang, L.; Lu, Y.; Song, Q.; Bi, L.; Huang, G.; et al. Chrysin Protects against Cerebral Ischemia-Reperfusion Injury in Hippocampus via Restraining Oxidative Stress and Transition Elements. Biomed. Pharmacother. 2023, 161, 114534. [Google Scholar] [CrossRef] [PubMed]
- Wang, Y.; Li, B.; Liu, G.; Han, Q.; Diao, Y.; Liu, J. Corilagin Attenuates Intestinal Ischemia/Reperfusion Injury in Mice by Inhibiting Ferritinophagy-Mediated Ferroptosis through Disrupting NCOA4-Ferritin Interaction. Life Sci. 2023, 334, 122176. [Google Scholar] [CrossRef] [PubMed]
- Wang, S.; Liu, W.; Wang, J.; Bai, X. Curculigoside Inhibits Ferroptosis in Ulcerative Colitis through the Induction of GPX4. Life Sci. 2020, 259, 118356. [Google Scholar] [CrossRef]
- Kar, F.; Yıldız, F.; Hacioglu, C.; Kar, E.; Donmez, D.B.; Senturk, H.; Kanbak, G. LoxBlock-1 or Curcumin Attenuates Liver, Pancreas and Cardiac Ferroptosis, Oxidative Stress and Injury in Ischemia/Reperfusion-Damaged Rats by Facilitating ACSL/GPx4 Signaling. Tissue Cell 2023, 82, 102114. [Google Scholar] [CrossRef]
- Sun, X.; Zhang, X.; Yan, H.; Wu, H.; Cao, S.; Zhao, W.; Dong, T.; Zhou, A. Protective Effect of Curcumin on Hepatolenticular Degeneration through Copper Excretion and Inhibition of Ferroptosis. Phytomedicine 2023, 113, 154539. [Google Scholar] [CrossRef]
- Wang, Y.; Lin, H.; Huang, W.; Liu, Z.; Chen, Z.; Zhao, X.; Ding, T.; Qin, W.; Shen, Y. Curcumin Attenuates Periodontal Injury via Inhibiting Ferroptosis of Ligature-Induced Periodontitis in Mice. Int. J. Mol. Sci. 2023, 24, 9835. [Google Scholar] [CrossRef]
- Wu, L.; Dong, B.; Chen, Q.; Wang, Y.; Han, D.; Zhu, X.; Liu, H.; Zhang, Z.; Yang, Y.; Xie, S.; et al. Effects of Curcumin on Oxidative Stress and Ferroptosis in Acute Ammonia Stress-Induced Liver Injury in Gibel Carp (Carassius Gibelio). Int. J. Mol. Sci. 2023, 24, 6441. [Google Scholar] [CrossRef]
- Zhou, Y.; Jia, Z.; Wang, J.; Huang, S.; Yang, S.; Xiao, S.; Xia, D.; Zhou, Y. Curcumin Reverses Erastin-Induced Chondrocyte Ferroptosis by Upregulating Nrf2. Heliyon 2023, 9, e20163. [Google Scholar] [CrossRef]
- Olanlokun, J.O.; Abiodun, W.O.; Ebenezer, O.; Koorbanally, N.A.; Olorunsogo, O.O. Curcumin Modulates Multiple Cell Death, Matrix Metalloproteinase Activation and Cardiac Protein Release in Susceptible and Resistant Plasmodium Berghei-Infected Mice. Biomed. Pharmacother. 2022, 146, 112454. [Google Scholar] [CrossRef]
- Tang, X.; Li, Z.; Yu, Z.; Li, J.; Zhang, J.; Wan, N.; Zhang, J.; Cao, J. Effect of Curcumin on Lung Epithelial Injury and Ferroptosis Induced by Cigarette Smoke. Hum. Exp. Toxicol. 2021, 40, S753–S762. [Google Scholar] [CrossRef] [PubMed]
- Yang, C.; Han, M.; Li, R.; Zhou, L.; Zhang, Y.; Duan, L.; Su, S.; Li, M.; Wang, Q.; Chen, T.; et al. Curcumin Nanoparticles Inhibiting Ferroptosis for the Enhanced Treatment of Intracerebral Hemorrhage. Int. J. Nanomed. 2021, 16, 8049–8065. [Google Scholar] [CrossRef] [PubMed]
- Guerrero-Hue, M.; García-Caballero, C.; Palomino-Antolín, A.; Rubio-Navarro, A.; Vázquez-Carballo, C.; Herencia, C.; Martín-Sanchez, D.; Farré-Alins, V.; Egea, J.; Cannata, P.; et al. Curcumin Reduces Renal Damage Associated with Rhabdomyolysis by Decreasing Ferroptosis-Mediated Cell Death. FASEB J. 2019, 33, 8961–8975. [Google Scholar] [CrossRef]
- Kose, T.; Vera-Aviles, M.; Sharp, P.A.; Latunde-Dada, G.O. Curcumin and (−)- Epigallocatechin-3-Gallate Protect Murine MIN6 Pancreatic Beta-Cells against Iron Toxicity and Erastin-Induced Ferroptosis. Pharmaceuticals 2019, 12, 26. [Google Scholar] [CrossRef]
- He, H.; Luo, Y.; Qiao, Y.; Zhang, Z.; Yin, D.; Yao, J.; You, J.; He, M. Curcumin Attenuates Doxorubicin-Induced Cardiotoxicity via Suppressing Oxidative Stress and Preventing Mitochondrial Dysfunction Mediated by 14-3-3γ. Food Funct. 2018, 9, 4404–4418. [Google Scholar] [CrossRef]
- Du, Y.-W.; Li, X.-K.; Wang, T.-T.; Zhou, L.; Li, H.-R.; Feng, L.; Ma, H.; Liu, H.-B. Cyanidin-3-Glucoside Inhibits Ferroptosis in Renal Tubular Cells after Ischemia/Reperfusion Injury via the AMPK Pathway. Mol. Med. 2023, 29, 42. [Google Scholar] [CrossRef]
- Zhang, P.; Rong, K.; Guo, J.; Cui, L.; Kong, K.; Zhao, C.; Yang, H.; Xu, H.; Qin, A.; Ma, P.; et al. Cynarin Alleviates Intervertebral Disc Degeneration via Protecting Nucleus Pulposus Cells from Ferroptosis. Biomed. Pharmacother. 2023, 165, 115252. [Google Scholar] [CrossRef] [PubMed]
- Zeng, Y.; Wu, R.; Wang, F.; Li, S.; Li, L.; Li, Y.; Qin, P.; Wei, M.; Yang, J.; Wu, J.; et al. Liberation of Daidzein by Gut Microbial β-Galactosidase Suppresses Acetaminophen-Induced Hepatotoxicity in Mice. Cell Host Microbe 2023, 31, 766–780.e7. [Google Scholar] [CrossRef]
- Liu, X.; Li, Y.; Chen, S.; Yang, J.; Jing, J.; Li, J.; Wu, X.; Wang, J.; Wang, J.; Zhang, G.; et al. Dihydromyricetin Attenuates Intracerebral Hemorrhage by Reversing the Effect of LCN2 via the System Xc- Pathway. Phytomedicine 2023, 115, 154756. [Google Scholar] [CrossRef]
- Xu, Z.; Zhang, M.; Wang, W.; Zhou, S.; Yu, M.; Qiu, X.; Jiang, S.; Wang, X.; Tang, C.; Li, S.; et al. Dihydromyricetin Attenuates Cisplatin-Induced Acute Kidney Injury by Reducing Oxidative Stress, Inflammation and Ferroptosis. Toxicol. Appl. Pharmacol. 2023, 473, 116595. [Google Scholar] [CrossRef]
- Xie, J.; Zhang, T.; Li, P.; Wang, D.; Liu, T.; Xu, S. Dihydromyricetin Attenuates Cerebral Ischemia Reperfusion Injury by Inhibiting SPHK1/mTOR Signaling and Targeting Ferroptosis. Drug Des. Dev. Ther. 2022, 16, 3071–3085. [Google Scholar] [CrossRef] [PubMed]
- Zhang, Q.; Wang, J.; Zhang, H.; Zeng, T. Dihydromyricetin Inhibits Oxidative Stress and Apoptosis in Oxygen and Glucose Deprivation/Reoxygenation-induced HT22 Cells by Activating the Nrf2/HO-1 Pathway. Mol. Med. Rep. 2021, 23, 397. [Google Scholar] [CrossRef] [PubMed]
- Liu, X.; Ma, Y.; Luo, L.; Zong, D.; Li, H.; Zeng, Z.; Cui, Y.; Meng, W.; Chen, Y. Dihydroquercetin Suppresses Cigarette Smoke Induced Ferroptosis in the Pathogenesis of Chronic Obstructive Pulmonary Disease by Activating Nrf2-Mediated Pathway. Phytomedicine 2022, 96, 153894. [Google Scholar] [CrossRef] [PubMed]
- Yuan, L.; Sun, Y.; Zhou, N.; Wu, W.; Zheng, W.; Wang, Y. Dihydroquercetin Attenuates Silica-Induced Pulmonary Fibrosis by Inhibiting Ferroptosis Signaling Pathway. Front. Pharmacol. 2022, 13, 845600. [Google Scholar] [CrossRef]
- Liu, T.; Yang, L.; Gao, H.; Zhuo, Y.; Tu, Z.; Wang, Y.; Xun, J.; Zhang, Q.; Zhang, L.; Wang, X. 3,4-Dihydroxyphenylethyl Alcohol Glycoside Reduces Acetaminophen-Induced Acute Liver Failure in Mice by Inhibiting Hepatocyte Ferroptosis and Pyroptosis. PeerJ 2022, 10, e13082. [Google Scholar] [CrossRef] [PubMed]
- Zhao, L.; Jin, L.; Yang, B. Diosmetin Alleviates S. aureus-Induced Mastitis by Inhibiting SIRT1/GPX4 Mediated Ferroptosis. Life Sci. 2023, 331, 122060. [Google Scholar] [CrossRef]
- Zhang, J.; Xie, S.; Wang, J.; Liu, J.; Liu, Y.; Zhou, S.; Li, X.; Han, L.; Pang, W.; Yao, W.; et al. Echinatin Maintains Glutathione Homeostasis in Vascular Smooth Muscle Cells to Protect against Matrix Remodeling and Arterial Stiffening. Matrix Biol. 2023, 119, 1–18. [Google Scholar] [CrossRef]
- Wang, Y.; Shen, Z.; Pei, C.; Zhao, S.; Jia, N.; Huang, D.; Wang, X.; Wu, Y.; Shi, S.; He, Y.; et al. Eleutheroside B Ameliorated High Altitude Pulmonary Edema by Attenuating Ferroptosis and Necroptosis through Nrf2-Antioxidant Response Signaling. Biomed. Pharmacother. 2022, 156, 113982. [Google Scholar] [CrossRef]
- Ji, J.; Tao, P.; Wang, Q.; Cui, M.; Cao, M.; Xu, Y. Emodin Attenuates Diabetic Kidney Disease by Inhibiting Ferroptosis via Upregulating Nrf2 Expression. Aging 2023, 15, 7673–7688. [Google Scholar] [CrossRef]
- Huang, L.; Bian, M.; Lu, S.; Wang, J.; Yu, J.; Jiang, L.; Zhang, J. Engeletin Alleviates Erastin-Induced Oxidative Stress and Protects against Ferroptosis via Nrf2/Keap1 Pathway in Bone Marrow Mesenchymal Stem Cells. Tissue Cell 2023, 82, 102040. [Google Scholar] [CrossRef]
- Li, F.; Hao, S.; Gao, J.; Jiang, P. EGCG Alleviates Obesity-Exacerbated Lung Cancer Progression by STAT1/SLC7A11 Pathway and Gut Microbiota. J. Nutr. Biochem. 2023, 120, 109416. [Google Scholar] [CrossRef] [PubMed]
- Yang, C.; Wu, A.; Tan, L.; Tang, D.; Chen, W.; Lai, X.; Gu, K.; Chen, J.; Chen, D.; Tang, Q. Epigallocatechin-3-Gallate Alleviates Liver Oxidative Damage Caused by Iron Overload in Mice through Inhibiting Ferroptosis. Nutrients 2023, 15, 1993. [Google Scholar] [CrossRef] [PubMed]
- Yu, Q.; Zhang, N.; Gan, X.; Chen, L.; Wang, R.; Liang, R.; Jian, J. EGCG Attenuated Acute Myocardial Infarction by Inhibiting Ferroptosis via miR-450b-5p/ACSL4 Axis. Phytomedicine 2023, 119, 154999. [Google Scholar] [CrossRef] [PubMed]
- He, H.; Wang, L.; Qiao, Y.; Yang, B.; Yin, D.; He, M. Epigallocatechin-3-Gallate Pretreatment Alleviates Doxorubicin-Induced Ferroptosis and Cardiotoxicity by Upregulating AMPKα2 and Activating Adaptive Autophagy. Redox Biol. 2021, 48, 102185. [Google Scholar] [CrossRef]
- Wang, J.; Chen, Y.; Chen, L.; Duan, Y.; Kuang, X.; Peng, Z.; Li, C.; Li, Y.; Xiao, Y.; Jin, H.; et al. EGCG Modulates PKD1 and Ferroptosis to Promote Recovery in ST Rats. Transl. Neurosci. 2020, 11, 173–181. [Google Scholar] [CrossRef]
- Xie, L.-W.; Cai, S.; Zhao, T.-S.; Li, M.; Tian, Y. Green Tea Derivative (-)-Epigallocatechin-3-Gallate (EGCG) Confers Protection against Ionizing Radiation-Induced Intestinal Epithelial Cell Death Both in Vitro and in Vivo. Free Radic. Biol. Med. 2020, 161, 175–186. [Google Scholar] [CrossRef]
- Lv, P.; Yu, J.; Xu, X.; Lu, T.; Xu, F. Eriodictyol Inhibits High Glucose-Induced Oxidative Stress and Inflammation in Retinal Ganglial Cells. J. Cell. Biochem. 2019, 120, 5644–5651. [Google Scholar] [CrossRef]
- Li, Y.; Wang, T.; Sun, P.; Zhu, W.; Chen, Y.; Chen, M.; Yang, X.; Du, X.; Zhao, Y. Farrerol Alleviates Hypoxic-Ischemic Encephalopathy by Inhibiting Ferroptosis in Neonatal Rats via the Nrf2 Pathway. Physiol. Res. 2023, 72, 511–520. [Google Scholar] [CrossRef]
- Wu, Y.; Qian, J.; Li, K.; Li, W.; Yin, W.; Jiang, H. Farrerol Alleviates Collagenase-Induced Tendinopathy by Inhibiting Ferroptosis in Rats. J. Cell. Mol. Med. 2022, 26, 3483–3494. [Google Scholar] [CrossRef]
- Kose, T.; Sharp, P.A.; Latunde-Dada, G.O. Upregulation of Nrf2 Signalling and the Inhibition of Erastin-Induced Ferroptosis by Ferulic Acid in MIN6 Cells. Int. J. Mol. Sci. 2022, 23, 15886. [Google Scholar] [CrossRef]
- Liu, X.; Qi, K.; Gong, Y.; Long, X.; Zhu, S.; Lu, F.; Lin, K.; Xu, J. Ferulic Acid Alleviates Myocardial Ischemia Reperfusion Injury Via Upregulating AMPKα2 Expression-Mediated Ferroptosis Depression. J. Cardiovasc. Pharmacol. 2021, 79, 489–500. [Google Scholar] [CrossRef]
- Wang, B.; Yang, L.-N.; Yang, L.-T.; Liang, Y.; Guo, F.; Fu, P.; Ma, L. Fisetin Ameliorates Fibrotic Kidney Disease in Mice via Inhibiting ACSL4-Mediated Tubular Ferroptosis. Acta Pharmacol. Sin. 2023, 45, 150–165. [Google Scholar] [CrossRef] [PubMed]
- Li, D.; Liu, X.; Pi, W.; Zhang, Y.; Yu, L.; Xu, C.; Sun, Z.; Jiang, J. Fisetin Attenuates Doxorubicin-Induced Cardiomyopathy In Vivo and In Vitro by Inhibiting Ferroptosis Through SIRT1/Nrf2 Signaling Pathway Activation. Front. Pharmacol. 2021, 12, 808480. [Google Scholar] [CrossRef] [PubMed]
- Zhu, B.; Ni, Y.; Gong, Y.; Kang, X.; Guo, H.; Liu, X.; Li, J.; Wang, L. Formononetin Ameliorates Ferroptosis-Associated Fibrosis in Renal Tubular Epithelial Cells and in Mice with Chronic Kidney Disease by Suppressing the Smad3/ATF3/SLC7A11 Signaling. Life Sci. 2023, 315, 121331. [Google Scholar] [CrossRef]
- Zhai, X.; Zhu, J.; Li, J.; Wang, Z.; Zhang, G.; Nie, Y. Fraxetin Alleviates BLM-Induced Idiopathic Pulmonary Fibrosis by Inhibiting NCOA4-Mediated Epithelial Cell Ferroptosis. Inflamm. Res. 2023, 72, 1999–2012. [Google Scholar] [CrossRef] [PubMed]
- Xu, Y.; Lin, H.; Wang, H.; Pang, J.; Zhou, Y. Fraxetin Attenuates Ferroptosis in Myocardial Infarction via AKT/Nrf2/HO-1 Signaling. Am. J. Transl. Res. 2021, 13, 10315–10327. [Google Scholar] [PubMed]
- Yang, R.; Shi, L.; Si, H.; Hu, Z.; Zou, L.; Li, L.; Xu, X.; Schmalzing, G.; Nie, H.; Li, G.; et al. Gallic Acid Improves Comorbid Chronic Pain and Depression Behaviors by Inhibiting P2X7 Receptor-Mediated Ferroptosis in the Spinal Cord of Rats. ACS Chem. Neurosci. 2023, 14, 667–676. [Google Scholar] [CrossRef]
- Qiu, C.-W.; Chen, B.; Zhu, H.-F.; Liang, Y.-L.; Mao, L.-S. Gastrodin Alleviates Cisplatin Nephrotoxicity by Inhibiting Ferroptosis via the SIRT1/FOXO3A/GPX4 Signaling Pathway. J. Ethnopharmacol. 2023, 319, 117282. [Google Scholar] [CrossRef]
- Zhang, H.; Yuan, B.; Huang, H.; Qu, S.; Yang, S.; Zeng, Z. Gastrodin Induced HO-1 and Nrf2 up-Regulation to Alleviate H2O2-Induced Oxidative Stress in Mouse Liver Sinusoidal Endothelial Cells through P38 MAPK Phosphorylation. Braz. J. Med. Biol. Res. 2018, 51, e7439, Erratum in Braz. J. Med. Biol. Res. 2019, 52, e7439erratum. [Google Scholar] [CrossRef]
- Chen, B.; Li, X.; Liu, J.; Li, Y.; Dai, W.; Chen, Y.; Chen, D. Ferroptosis-Inhibitory Effect and Possible Mechanisms of Ellagitannin Geraniin. ChemistryOpen 2021, 10, 737–739. [Google Scholar] [CrossRef]
- Chen, Y.; Zhu, S.; Chen, Z.; Liu, Y.; Pei, C.; Huang, H.; Hou, S.; Ning, W.; Liang, J. Gingerenone A Alleviates Ferroptosis in Secondary Liver Injury in Colitis Mice via Activating Nrf2-Gpx4 Signaling Pathway. J. Agric. Food Chem. 2022, 70, 12525–12534. [Google Scholar] [CrossRef] [PubMed]
- Wu, S.; Zhu, J.; Wu, G.; Hu, Z.; Ying, P.; Bao, Z.; Ding, Z.; Tan, X. 6-Gingerol Alleviates Ferroptosis and Inflammation of Diabetic Cardiomyopathy via the Nrf2/HO-1 Pathway. Oxidative Med. Cell. Longev. 2022, 2022, 3027514. [Google Scholar] [CrossRef] [PubMed]
- Yang, J.; Wang, M.; Zheng, S.; Huang, R.; Wen, G.; Zhou, P.; Wang, W.; Zhou, S.; Jiang, X.; Liu, S.; et al. Mesoporous Polydopamine Delivering 8-Gingerol for the Target and Synergistic Treatment to the Spinal Cord Injury. J. Nanobiotechnology 2023, 21, 192. [Google Scholar] [CrossRef] [PubMed]
- Lin, J.-H.; Yang, K.-T.; Ting, P.-C.; Luo, Y.-P.; Lin, D.-J.; Wang, Y.-S.; Chang, J.-C. Gossypol Acetic Acid Attenuates Cardiac Ischemia/Reperfusion Injury in Rats via an Antiferroptotic Mechanism. Biomolecules 2021, 11, 1667. [Google Scholar] [CrossRef] [PubMed]
- Zhu, J.; Sun, R.; Yan, C.; Sun, K.; Gao, L.; Zheng, B.; Shi, J. Hesperidin Mitigates Oxidative Stress-Induced Ferroptosis in Nucleus Pulposus Cells via Nrf2/NF-κB Axis to Protect Intervertebral Disc from Degeneration. Cell Cycle 2023, 22, 1196–1214. [Google Scholar] [CrossRef] [PubMed]
- Hu, M.; Jiang, W.; Ye, C.; Hu, T.; Yu, Q.; Meng, M.; Sun, L.; Liang, J.; Chen, Y. Honokiol Attenuates High Glucose-Induced Peripheral Neuropathy via Inhibiting Ferroptosis and Activating AMPK/SIRT1/PGC-1α Pathway in Schwann Cells. Phytother. Res. 2023, 37, 5787–5802. [Google Scholar] [CrossRef] [PubMed]
- Ge, C.; Peng, Y.; Li, J.; Wang, L.; Zhu, X.; Wang, N.; Yang, D.; Zhou, X.; Chang, D. Hydroxysafflor Yellow A Alleviates Acute Myocardial Ischemia/Reperfusion Injury in Mice by Inhibiting Ferroptosis via the Activation of the HIF-1α/SLC7A11/GPX4 Signaling Pathway. Nutrients 2023, 15, 3411. [Google Scholar] [CrossRef]
- Rong, J.; Li, C.; Zhang, Q.; Zheng, G.; Fan, W.; Pan, Z.; Shi, S. Hydroxysafflor Yellow A Inhibits Endothelial Cell Ferroptosis in Diabetic Atherosclerosis Mice by Regulating miR-429/SLC7A11. Pharm. Biol. 2023, 61, 404–415. [Google Scholar] [CrossRef]
- Peng, X.; Tan, Q.; Zhou, H.; Xu, J.; Gu, Q. Discovery of Phloroglucinols from Hypericum Japonicum as Ferroptosis Inhibitors. Fitoterapia 2021, 153, 104984. [Google Scholar] [CrossRef]
- Choi, J.; Choi, H.; Chung, J. Icariin Supplementation Suppresses the Markers of Ferroptosis and Attenuates the Progression of Nonalcoholic Steatohepatitis in Mice Fed a Methionine Choline-Deficient Diet. Int. J. Mol. Sci. 2023, 24, 12510. [Google Scholar] [CrossRef]
- Yu, L.-M.; Dong, X.; Huang, T.; Zhao, J.-K.; Zhou, Z.-J.; Huang, Y.-T.; Xu, Y.-L.; Zhao, Q.-S.; Wang, Z.-S.; Jiang, H.; et al. Inhibition of Ferroptosis by Icariin Treatment Attenuates Excessive Ethanol Consumption-Induced Atrial Remodeling and Susceptibility to Atrial Fibrillation, Role of SIRT1. Apoptosis 2023, 28, 607–626. [Google Scholar] [CrossRef] [PubMed]
- Wang, X.; Zhang, M.; Mao, C.; Zhang, C.; Ma, W.; Tang, J.; Xiang, D.; Qi, X. Icariin Alleviates Ferroptosis-Related Atherosclerosis by Promoting Autophagy in Xo-LDL-Induced Vascular Endothelial Cell Injury and Atherosclerotic Mice. Phytother. Res. 2023, 37, 3951–3963. [Google Scholar] [CrossRef] [PubMed]
- Shao, Y.; Sun, L.; Yang, G.; Wang, W.; Liu, X.; Du, T.; Chen, F.; Jing, X.; Cui, X. Icariin Protects Vertebral Endplate Chondrocytes against Apoptosis and Degeneration via Activating Nrf-2/HO-1 Pathway. Front. Pharmacol. 2022, 13, 937502. [Google Scholar] [CrossRef]
- Liu, X.-J.; Lv, Y.-F.; Cui, W.-Z.; Li, Y.; Liu, Y.; Xue, Y.-T.; Dong, F. Icariin Inhibits Hypoxia/Reoxygenation-Induced Ferroptosis of Cardiomyocytes via Regulation of the Nrf2/HO-1 Signaling Pathway. FEBS Open Bio 2021, 11, 2966–2976. [Google Scholar] [CrossRef] [PubMed]
- Luo, H.; Zhang, R. Icariin Enhances Cell Survival in Lipopolysaccharide-Induced Synoviocytes by Suppressing Ferroptosis via the Xc-/GPX4 Axis. Exp. Ther. Med. 2021, 21, 72. [Google Scholar] [CrossRef]
- Gao, J.; Ma, C.; Xia, D.; Chen, N.; Zhang, J.; Xu, F.; Li, F.; He, Y.; Gong, Q. Icariside II Preconditioning Evokes Robust Neuroprotection against Ischaemic Stroke, by Targeting Nrf2 and the OXPHOS/NF-κB/Ferroptosis Pathway. Br. J. Pharmacol. 2023, 180, 308–329. [Google Scholar] [CrossRef]
- Tang, Y.; Luo, H.; Xiao, Q.; Li, L.; Zhong, X.; Zhang, J.; Wang, F.; Li, G.; Wang, L.; Li, Y. Isoliquiritigenin Attenuates Septic Acute Kidney Injury by Regulating Ferritinophagy-Mediated Ferroptosis. Ren. Fail. 2021, 43, 1551–1560. [Google Scholar] [CrossRef]
- Zhongyin, Z.; Wei, W.; Juan, X.; Guohua, F. Isoliquiritin Apioside Relieves Intestinal Ischemia/Reperfusion-Induced Acute Lung Injury by Blocking Hif-1α-Mediated Ferroptosis. Int. Immunopharmacol. 2022, 108, 108852. [Google Scholar] [CrossRef]
- Dai, Y.; Zhang, H.; Zhang, J.; Yan, M. Isoquercetin Attenuates Oxidative Stress and Neuronal Apoptosis after Ischemia/Reperfusion Injury via Nrf2-Mediated Inhibition of the NOX4/ROS/NF-κB Pathway. Chem. Biol. Interact. 2018, 284, 32–40. [Google Scholar] [CrossRef]
- Wu, Y.; Fan, L.; Wang, Y.; Ding, J.; Wang, R. Isorhamnetin Alleviates High Glucose-Aggravated Inflammatory Response and Apoptosis in Oxygen-Glucose Deprivation and Reoxygenation-Induced HT22 Hippocampal Neurons Through Akt/SIRT1/Nrf2/HO-1 Signaling Pathway. Inflammation 2021, 44, 1993–2005. [Google Scholar] [CrossRef]
- Chen, Y.; Li, S.; Yin, M.; Li, Y.; Chen, C.; Zhang, J.; Sun, K.; Kong, X.; Chen, Z.; Qian, J. Isorhapontigenin Attenuates Cardiac Microvascular Injury in Diabetes via the Inhibition of Mitochondria-Associated Ferroptosis Through PRDX2-MFN2-ACSL4 Pathways. Diabetes 2023, 72, 389–404. [Google Scholar] [CrossRef]
- Arenbaoligao; Guo, X.; Xiong, J.; Zhang, S.; Yang, Y.; Chen, D.; Xie, Y. Kumatakenin Inhibited Iron-Ferroptosis in Epithelial Cells from Colitis Mice by Regulating the Eno3-IRP1-Axis. Front. Pharmacol. 2023, 14, 1127931. [Google Scholar] [CrossRef]
- Lin, J.-H.; Yang, K.-T.; Ting, P.-C.; Lee, W.-S.; Lin, D.-J.; Chang, J.-C. Licochalcone a Improves Cardiac Functions after Ischemia-Reperfusion via Reduction of Ferroptosis in Rats. Eur. J. Pharmacol. 2023, 957, 176031. [Google Scholar] [CrossRef] [PubMed]
- Liu, T.; Wang, R.; Qi, W.; Jia, L.; Ma, K.; Si, J.; Yin, J.; Zhao, Y.; Dai, Z.; Yin, J. Methyl Ferulic Acid Alleviates Neuropathic Pain by Inhibiting Nox4-Induced Ferroptosis in Dorsal Root Ganglia Neurons in Rats. Mol. Neurobiol. 2023, 60, 3175–3189. [Google Scholar] [CrossRef]
- Wen, L.; Zhou, T.; Jiang, Y.; Gong, L.; Yang, B. Identification of Prenylated Phenolics in Mulberry Leaf and Their Neuroprotective Activity. Phytomedicine 2021, 90, 153641. [Google Scholar] [CrossRef] [PubMed]
- Chen, H.; Xie, W.; Peng, Z.; Liu, Y.; Li, H.; Huang, W. Nobiletin Ameliorates Heatstroke-Induced Acute Lung Injury by Inhibiting Ferroptosis via P53/SLC7A11 Pathway. Shock 2023, 61, 105–111. [Google Scholar] [CrossRef] [PubMed]
- Huang, Q.; Tian, L.; Zhang, Y.; Qiu, Z.; Lei, S.; Xia, Z.-Y. Nobiletin Alleviates Myocardial Ischemia-Reperfusion Injury via Ferroptosis in Rats with Type-2 Diabetes Mellitus. Biomed. Pharmacother. 2023, 163, 114795. [Google Scholar] [CrossRef] [PubMed]
- Lo, Y.-H.; Yang, S.-F.; Cheng, C.-C.; Hsu, K.-C.; Chen, Y.-S.; Chen, Y.-Y.; Wang, C.-W.; Guan, S.-S.; Wu, C.-T. Nobiletin Alleviates Ferroptosis-Associated Renal Injury, Inflammation, and Fibrosis in a Unilateral Ureteral Obstruction Mouse Model. Biomedicines 2022, 10, 595. [Google Scholar] [CrossRef] [PubMed]
- Cheng, J.; Liu, D.; Huang, Y.; Chen, L.; Li, Y.; Yang, Z.; Fu, S.; Hu, G. Phlorizin Mitigates Dextran Sulfate Sodium-Induced Colitis in Mice by Modulating Gut Microbiota and Inhibiting Ferroptosis. J. Agric. Food Chem. 2023, 71, 16043–16056. [Google Scholar] [CrossRef]
- Wang, H.; Liu, X.; Yang, H.; Jing, X.; Wang, W.; Liu, X.; Zhang, B.; Liu, X.; Shao, Y.; Cui, X. Activation of the Nrf-2 Pathway by Pinocembrin Safeguards Vertebral Endplate Chondrocytes against Apoptosis and Degeneration Caused by Oxidative Stress. Life Sci. 2023, 333, 122162. [Google Scholar] [CrossRef] [PubMed]
- Zhou, L.; Yu, P.; Wang, T.-T.; Du, Y.-W.; Chen, Y.; Li, Z.; He, M.-L.; Feng, L.; Li, H.-R.; Han, X.; et al. Polydatin Attenuates Cisplatin-Induced Acute Kidney Injury by Inhibiting Ferroptosis. Oxidative Med. Cell. Longev. 2022, 2022, 9947191. [Google Scholar] [CrossRef] [PubMed]
- Chen, L.; Huang, J.; Yao, Z.-M.; Sun, X.-R.; Tong, X.-H.; Hu, M.; Zhang, Y.; Dong, S.-Y. Procyanidins Alleviated Cerebral Ischemia/Reperfusion Injury by Inhibiting Ferroptosis via the Nrf2/HO-1 Signaling Pathway. Molecules 2023, 28, 3582. [Google Scholar] [CrossRef] [PubMed]
- Lv, Y.-W.; Du, Y.; Ma, S.-S.; Shi, Y.-C.; Xu, H.-C.; Deng, L.; Chen, X.-Y. Proanthocyanidins Attenuates Ferroptosis against Influenza-Induced Acute Lung Injury in Mice by Reducing IFN-γ. Life Sci. 2023, 314, 121279. [Google Scholar] [CrossRef] [PubMed]
- Zhou, H.; Yin, C.; Zhang, Z.; Tang, H.; Shen, W.; Zha, X.; Gao, M.; Sun, J.; Xu, X.; Chen, Q. Proanthocyanidin Promotes Functional Recovery of Spinal Cord Injury via Inhibiting Ferroptosis. J. Chem. Neuroanat. 2020, 107, 101807. [Google Scholar] [CrossRef]
- Guo, C.; Wang, S.; Duan, J.; Jia, N.; Zhu, Y.; Ding, Y.; Guan, Y.; Wei, G.; Yin, Y.; Xi, M.; et al. Protocatechualdehyde Protects Against Cerebral Ischemia-Reperfusion-Induced Oxidative Injury Via Protein Kinase Cε/Nrf2/HO-1 Pathway. Mol. Neurobiol. 2017, 54, 833–845. [Google Scholar] [CrossRef] [PubMed]
- Yang, X.; Sun, X.; Zhou, F.; Xiao, S.; Zhong, L.; Hu, S.; Zhou, Z.; Li, L.; Tan, Y. Protocatechuic Acid Alleviates Dextran-Sulfate-Sodium-Induced Ulcerative Colitis in Mice via the Regulation of Intestinal Flora and Ferroptosis. Molecules 2023, 28, 3775. [Google Scholar] [CrossRef] [PubMed]
- Chen, Y.; Zhang, H.; Li, Y.; Wang, T. Pterostilbene Confers Protection against Diquat-Induced Intestinal Damage with Potential Regulation of Redox Status and Ferroptosis in Broiler Chickens. Oxidative Med. Cell. Longev. 2023, 2023, 8258354. [Google Scholar] [CrossRef] [PubMed]
- Chen, X.; Song, Q.L.; Li, Z.H.; Ji, R.; Wang, J.Y.; Cao, M.L.; Mu, X.F.; Zhang, Y.; Guo, D.Y.; Yang, J. Pterostilbene Ameliorates Oxidative Damage and Ferroptosis in Human Ovarian Granulosa Cells by Regulating the Nrf2/HO-1 Pathway. Arch. Biochemy Biophys. 2023, 738, 109561. [Google Scholar] [CrossRef]
- Jian, J.; Wang, D.; Xiong, Y.; Wang, J.; Zheng, Q.; Jiang, Z.; Zhong, J.; Yang, S.; Wang, L. Puerarin Alleviated Oxidative Stress and Ferroptosis during Renal Fibrosis Induced by Ischemia/Reperfusion Injury via TLR4/Nox4 Pathway in Rats. Acta Cir. Bras. 2023, 38, e382523. [Google Scholar] [CrossRef]
- Zhou, B.; Zhang, J.; Chen, Y.; Liu, Y.; Tang, X.; Xia, P.; Yu, P.; Yu, S. Puerarin Protects against Sepsis-Induced Myocardial Injury through AMPK-Mediated Ferroptosis Signaling. Aging 2022, 14, 3617–3632. [Google Scholar] [CrossRef]
- Liu, B.; Zhao, C.; Li, H.; Chen, X.; Ding, Y.; Xu, S. Puerarin Protects against Heart Failure Induced by Pressure Overload through Mitigation of Ferroptosis. Biochem. Biophys. Res. Commun. 2018, 497, 233–240. [Google Scholar] [CrossRef]
- Huang, L.; Lu, S.; Bian, M.; Wang, J.; Yu, J.; Ge, J.; Zhang, J.; Xu, Q. Punicalagin Attenuates TNF-α-Induced Oxidative Damage and Promotes Osteogenic Differentiation of Bone Mesenchymal Stem Cells by Activating the Nrf2/HO-1 Pathway. Exp. Cell Res. 2023, 430, 113717. [Google Scholar] [CrossRef] [PubMed]
- Lin, X.; Zhao, X.; Chen, Q.; Wang, X.; Wu, Y.; Zhao, H. Quercetin Ameliorates Ferroptosis of Rat Cardiomyocytes via Activation of the SIRT1/P53/SLC7A11 Signaling Pathway to Alleviate Sepsis-induced Cardiomyopathy. Int. J. Mol. Med. 2023, 52, 116. [Google Scholar] [CrossRef] [PubMed]
- Wang, Y.; Wan, R.; Peng, W.; Zhao, X.; Bai, W.; Hu, C. Quercetin Alleviates Ferroptosis Accompanied by Reducing M1 Macrophage Polarization during Neutrophilic Airway Inflammation. Eur. J. Pharmacol. 2023, 938, 175407. [Google Scholar] [CrossRef]
- Wang, Y.; Li, W.; Wang, M.; Chen, H.; Li, Y.; Wei, W.; Liu, X.; Wu, Y.; Luo, S.; Liu, X.; et al. Quercetin Prevents the Ferroptosis of OPCs by Inhibiting the Id2/Transferrin Pathway. Chem. Biol. Interact. 2023, 381, 110556. [Google Scholar] [CrossRef] [PubMed]
- Ye, Y.; Jiang, M.; Hong, X.; Fu, Y.; Chen, Y.; Wu, H.; Sun, Y.; Wang, X.; Zhou, E.; Wang, J.; et al. Quercetin Alleviates Deoxynivalenol-Induced Intestinal Damage by Suppressing Inflammation and Ferroptosis in Mice. J. Agric. Food Chem. 2023, 71, 10761–10772. [Google Scholar] [CrossRef]
- Kato, K.; Takahashi, M.; Oh-hashi, K.; Ando, K.; Hirata, Y. Quercetin and Resveratrol Inhibit Ferroptosis Independently of Nrf2–ARE Activation in Mouse Hippocampal HT22 Cells. Food Chem. Toxicol. 2023, 172, 113586. [Google Scholar] [CrossRef]
- Lan, D.; Qi, S.; Yao, C.; Li, X.; Liu, H.; Wang, D.; Wang, Y. Quercetin Protects Rat BMSCs from Oxidative Stress via Ferroptosis. J. Mol. Endocrinol. 2022, 69, 401–413. [Google Scholar] [CrossRef]
- Wang, Y.; Quan, F.; Cao, Q.; Lin, Y.; Yue, C.; Bi, R.; Cui, X.; Yang, H.; Yang, Y.; Birnbaumer, L.; et al. Quercetin Alleviates Acute Kidney Injury by Inhibiting Ferroptosis. J. Adv. Res. 2021, 28, 231–243. [Google Scholar] [CrossRef]
- Li, D.; Jiang, C.; Mei, G.; Zhao, Y.; Chen, L.; Liu, J.; Tang, Y.; Gao, C.; Yao, P. Quercetin Alleviates Ferroptosis of Pancreatic β Cells in Type 2 Diabetes. Nutrients 2020, 12, 2954. [Google Scholar] [CrossRef]
- Li, D.; Song, C.; Zhang, J.; Zhao, X. Resveratrol Alleviated 5-FU-Induced Cardiotoxicity by Attenuating GPX4 Dependent Ferroptosis. J. Nutr. Biochem. 2023, 112, 109241. [Google Scholar] [CrossRef]
- Xu, Z.; Sun, X.; Ding, B.; Zi, M.; Ma, Y. Resveratrol Attenuated High Intensity Exercise Training-Induced Inflammation and Ferroptosis via Nrf2/FTH1/GPX4 Pathway in Intestine of Mice. Turk. J. Med. Sci. 2023, 53, 446–454. [Google Scholar] [CrossRef]
- Zhang, W.; Qian, S.; Tang, B.; Kang, P.; Zhang, H.; Shi, C. Resveratrol Inhibits Ferroptosis and Decelerates Heart Failure Progression via Sirt1/P53 Pathway Activation. J. Cell. Mol. Med. 2023, 27, 3075–3089. [Google Scholar] [CrossRef]
- Huang, W.; Yu, L.; Cai, W.; Ma, C. Resveratrol Protects BEAS-2B Cells against Erastin-Induced Ferroptosis through the Nrf2/Keap1 Pathway. Planta Med. 2023, 89, 408–415. [Google Scholar] [CrossRef]
- Wang, P.; Yao, Q.; Zhu, D.; Yang, X.; Chen, Q.; Lu, Q.; Liu, A. Resveratrol Protects against Deoxynivalenol-Induced Ferroptosis in HepG2 Cells. Toxicology 2023, 494, 153589. [Google Scholar] [CrossRef]
- Liu, J.; Zhang, M.; Qin, C.; Wang, Z.; Chen, J.; Wang, R.; Hu, J.; Zou, Q.; Niu, X. Resveratrol Attenuate Myocardial Injury by Inhibiting Ferroptosis Via Inducing KAT5/GPX4 in Myocardial Infarction. Front. Pharmacol. 2022, 13, 906073. [Google Scholar] [CrossRef]
- Wang, X.; Simayi, A.; Fu, J.; Zhao, X.; Xu, G. Resveratrol Mediates the miR-149/HMGB1 Axis and Regulates the Ferroptosis Pathway to Protect Myocardium in Endotoxemia Mice. Am. J. Physiol. Endocrinol. Metab. 2022, 323, E21–E32. [Google Scholar] [CrossRef] [PubMed]
- Zeng, Y.; Cao, G.; Lin, L.; Zhang, Y.; Luo, X.; Ma, X.; Aiyisake, A.; Cheng, Q. Resveratrol Attenuates Sepsis-Induced Cardiomyopathy in Rats through Anti-Ferroptosis via the Sirt1/Nrf2 Pathway. J. Investig. Surg. 2023, 36, 2157521. [Google Scholar] [CrossRef]
- Zhang, X.; Jiang, L.; Chen, H.; Wei, S.; Yao, K.; Sun, X.; Yang, G.; Jiang, L.; Zhang, C.; Wang, N.; et al. Resveratrol Protected Acrolein-Induced Ferroptosis and Insulin Secretion Dysfunction via ER-Stress- Related PERK Pathway in MIN6 Cells. Toxicology 2022, 465, 153048. [Google Scholar] [CrossRef] [PubMed]
- Wu, Y.; Zhou, S.; Zhao, A.; Mi, Y.; Zhang, C. Protective Effect of Rutin on Ferroptosis-Induced Oxidative Stress in Aging Laying Hens through Nrf2/HO-1 Signaling. Cell Biol. Int. 2023, 47, 598–611. [Google Scholar] [CrossRef] [PubMed]
- Tang, Z.; Wang, Y.; Liu, Y.; Li, C. Salidroside Inhibits Renal Ischemia/Reperfusion Injury-induced Ferroptosis by the PI3K/AKT Signaling Pathway. Exp. Ther. Med. 2023, 26, 507. [Google Scholar] [CrossRef]
- Wang, Y.; Han, J.; Luo, L.; Kasim, V.; Wu, S. Salidroside Facilitates Therapeutic Angiogenesis in Diabetic Hindlimb Ischemia by Inhibiting Ferroptosis. Biomed. Pharmacother. 2023, 159, 114245. [Google Scholar] [CrossRef]
- Wang, Y.; Chen, Z.; Luo, J.; Zhang, J.; Sang, A.; Cheng, Z.; Li, X. Salidroside Postconditioning Attenuates Ferroptosis-Mediated Lung Ischemia-Reperfusion Injury by Activating the Nrf2/SLC7A11 Signaling Axis. Int. Immunopharmacol. 2023, 115, 109731, Corrigendum in Int. Immunopharmacol. 2023, 117, 110002. [Google Scholar] [CrossRef]
- Chen, H.; Zhu, J.; Le, Y.; Pan, J.; Liu, Y.; Liu, Z.; Wang, C.; Dou, X.; Lu, D. Salidroside Inhibits Doxorubicin-Induced Cardiomyopathy by Modulating a Ferroptosis-Dependent Pathway. Phytomedicine 2022, 99, 153964. [Google Scholar] [CrossRef]
- Yang, S.; Pei, T.; Wang, L.; Zeng, Y.; Li, W.; Yan, S.; Xiao, W.; Cheng, W. Salidroside Alleviates Renal Fibrosis in SAMP8 Mice by Inhibiting Ferroptosis. Molecules 2022, 27, 8039. [Google Scholar] [CrossRef] [PubMed]
- Sun, D.; Cui, S.; Ma, H.; Zhu, P.; Li, N.; Zhang, X.; Zhang, L.; Xuan, L.; Li, J. Salvianolate Ameliorates Renal Tubular Injury through the Keap1/Nrf2/ARE Pathway in Mouse Kidney Ischemia-Reperfusion Injury. J. Ethnopharmacol. 2022, 293, 115331. [Google Scholar] [CrossRef]
- Yang, D.; Xia, X.; Xi, S. Salvianolic Acid A Attenuates Arsenic-Induced Ferroptosis and Kidney Injury via HIF-2α/DUOX1/GPX4 and Iron Homeostasis. Sci. Total Environ. 2023, 907, 168073. [Google Scholar] [CrossRef] [PubMed]
- Zhao, Y.; Li, Q.; Jian, W.; Han, X.; Zhang, Y.; Zeng, Y.; Liu, R.; Wang, Q.; Song, Q. Protective Benefits of Salvianic Acid A against Retinal Iron Overload by Inhibition of Ferroptosis. Biomed. Pharmacother. 2023, 165, 115140. [Google Scholar] [CrossRef] [PubMed]
- Xu, X.; Mao, C.; Zhang, C.; Zhang, M.; Gong, J.; Wang, X. Salvianolic Acid B Inhibits Ferroptosis and Apoptosis during Myocardial Ischemia/Reperfusion Injury via Decreasing the Ubiquitin-Proteasome Degradation of GPX4 and the ROS-JNK/MAPK Pathways. Molecules 2023, 28, 4117. [Google Scholar] [CrossRef] [PubMed]
- Shen, Y.; Shen, X.; Wang, S.; Zhang, Y.; Wang, Y.; Ding, Y.; Shen, J.; Zhao, J.; Qin, H.; Xu, Y.; et al. Protective Effects of Salvianolic Acid B on Rat Ferroptosis in Myocardial Infarction through Upregulating the Nrf2 Signaling Pathway. Int. Immunopharmacol. 2022, 112, 109257. [Google Scholar] [CrossRef] [PubMed]
- Zhang, X.; Wu, Q.; Lu, Y.; Wan, J.; Dai, H.; Zhou, X.; Lv, S.; Chen, X.; Zhang, X.; Hang, C.; et al. Cerebroprotection by Salvianolic Acid B after Experimental Subarachnoid Hemorrhage Occurs via Nrf2- and SIRT1-Dependent Pathways. Free Radic. Biol. Med. 2018, 124, 504–516. [Google Scholar] [CrossRef]
- Liu, L.; Zhang, Y.; Wang, L.; Liu, Y.; Chen, H.; Hu, Q.; Xie, C.; Meng, X.; Shen, X. Scutellarein Alleviates Chronic Obstructive Pulmonary Disease through Inhibition of Ferroptosis by Chelating Iron and Interacting with Arachidonate 15-Lipoxygenase. Phytother. Res. 2023, 37, 4587–4606. [Google Scholar] [CrossRef]
- Ren, J.; Yin, B.; Li, X.; Zhu, S.; Deng, J.; Sun, Y.; Zhang, Z.; Guo, Z.; Pei, H.; Zhang, F.; et al. Sesamin Attenuates PM2.5-Induced Cardiovascular Injury by Inhibiting Ferroptosis in Rats. Food Funct. 2021, 12, 12671–12682. [Google Scholar] [CrossRef]
- Du, Q.; Wu, X.; Ma, K.; Liu, W.; Liu, P.; Hayashi, T.; Mizuno, K.; Hattori, S.; Fujisaki, H.; Ikejima, T. Silibinin Alleviates Ferroptosis of Rat Islet β Cell INS-1 Induced by the Treatment with Palmitic Acid and High Glucose through Enhancing PINK1/Parkin-Mediated Mitophagy. Arch. Biochem. Biophys. 2023, 743, 109644. [Google Scholar] [CrossRef]
- Iqbal, S.; Jabeen, F.; Kahwa, I.; Omara, T. Suberosin Alleviates Thiazolidinedione-Induced Cardiomyopathy in Diabetic Rats by Inhibiting Ferroptosis via Modulation of ACSL4-LPCAT3 and PI3K-AKT Signaling Pathways. Cardiovasc. Toxicol. 2023, 23, 295–304. [Google Scholar] [CrossRef]
- Wang, F.; Qi, Y.; Gao, Y.; Wang, Z.; Shen, X.; Wu, H. Syringic Acid Suppresses Ferroptosis of Skeletal Muscle Cells to Alleviate Lower Limb Ischemia/Reperfusion Injury in Mice via the HMGB1 Pathway. Chem. Biol. Drug Des. 2023, 102, 1387–1398. [Google Scholar] [CrossRef]
- Wang, J.; Qu, J.; Liu, S.; Xu, Q.; Li, X.; Zhu, Y.; Liu, X.; Yi, J.; Yuan, Z.; Huang, P.; et al. Tannic Acid Ameliorates Systemic Glucose and Lipid Metabolic Impairment Induced by Low-Dose T-2 Toxin Exposure. J. Agric. Food Chem. 2023, 71, 12574–12586. [Google Scholar] [CrossRef]
- Fang, X.; Fu, W.; Zou, B.; Zhang, F. Tectorigenin Relieved Sepsis-Induced Myocardial Ferroptosis by Inhibiting the Expression of Smad3. Toxicol. Res. 2023, 12, 520–526. [Google Scholar] [CrossRef] [PubMed]
- Li, J.; Yang, J.; Zhu, B.; Fan, J.; Hu, Q.; Wang, L. Tectorigenin Protects against Unilateral Ureteral Obstruction by Inhibiting Smad3-Mediated Ferroptosis and Fibrosis. Phytother. Res. 2022, 36, 475–487. [Google Scholar] [CrossRef] [PubMed]
- Xu, C.; Ni, S.; Xu, N.; Yin, G.; Yu, Y.; Zhou, B.; Zhao, G.; Wang, L.; Zhu, R.; Jiang, S.; et al. Theaflavin-3,3′-Digallate Inhibits Erastin-Induced Chondrocytes Ferroptosis via the Nrf2/GPX4 Signaling Pathway in Osteoarthritis. Oxidative Med. Cell. Longev. 2022, 2022, 3531995. [Google Scholar] [CrossRef] [PubMed]
- Xiao, R.; Wei, Y.; Zhang, Y.; Xu, F.; Ma, C.; Gong, Q.; Gao, J.; Xu, Y. Trilobatin, a Naturally Occurring Food Additive, Ameliorates Exhaustive Exercise-Induced Fatigue in Mice: Involvement of Nrf2/ARE/Ferroptosis Signaling Pathway. Front. Pharmacol. 2022, 13, 913367. [Google Scholar] [CrossRef]
- Jin, T.; Chen, C. Umbelliferone Delays the Progression of Diabetic Nephropathy by Inhibiting Ferroptosis through Activation of the Nrf-2/HO-1 Pathway. Food Chem. Toxicol. 2022, 163, 112892. [Google Scholar] [CrossRef]
- Song, J.; Wang, H.; Sheng, J.; Zhang, W.; Lei, J.; Gan, W.; Cai, F.; Yang, Y. Vitexin Attenuates Chronic Kidney Disease by Inhibiting Renal Tubular Epithelial Cell Ferroptosis via NRF2 Activation. Mol. Med. 2023, 29, 147. [Google Scholar] [CrossRef]
- Zhang, S.; Zhang, S.; Wang, H.; Chen, Y. Vitexin Ameliorated Diabetic Nephropathy via Suppressing GPX4-Mediated Ferroptosis. Eur. J. Pharmacol. 2023, 951, 175787. [Google Scholar] [CrossRef] [PubMed]
- Fan, R.; Sui, J.; Dong, X.; Jing, B.; Gao, Z. Wedelolactone Alleviates Acute Pancreatitis and Associated Lung Injury via GPX4 Mediated Suppression of Pyroptosis and Ferroptosis. Free Radic. Biol. Med. 2021, 173, 29–40. [Google Scholar] [CrossRef] [PubMed]
- Di Lorenzo, C.; Colombo, F.; Biella, S.; Stockley, C.; Restani, P. Polyphenols and Human Health: The Role of Bioavailability. Nutrients 2021, 13, 273. [Google Scholar] [CrossRef] [PubMed]
- Bertelli, A.; Biagi, M.; Corsini, M.; Baini, G.; Cappellucci, G.; Miraldi, E. Polyphenols: From Theory to Practice. Foods 2021, 10, 2595. [Google Scholar] [CrossRef] [PubMed]
- Pimentel-Moral, S.; Verardo, V.; Robert, P.; Segura-Carretero, A.; Martínez-Férez, A. 13—Nanoencapsulation Strategies Applied to Maximize Target Delivery of Intact Polyphenols. In Encapsulations; Grumezescu, A.M., Ed.; Nanotechnology in the Agri-Food Industry; Academic Press: Cambridge, MA, USA, 2016; pp. 559–595. ISBN 978-0-12-804307-3. [Google Scholar]
- Lesjak, M.; Srai, K.S.S. Role of Dietary Flavonoids in Iron Homeostasis. Pharmaceuticals 2019, 12, 119. [Google Scholar] [CrossRef] [PubMed]
- Duda-Chodak, A.; Tarko, T. Possible Side Effects of Polyphenols and Their Interactions with Medicines. Molecules 2023, 28, 2536. [Google Scholar] [CrossRef] [PubMed]
- Jin, J.; Schorpp, K.; Samaga, D.; Unger, K.; Hadian, K.; Stockwell, B.R. Machine Learning Classifies Ferroptosis and Apoptosis Cell Death Modalities with TfR1 Immunostaining. ACS Chem. Biol. 2022, 17, 654–660. [Google Scholar] [CrossRef]
- Schorpp, K.; Bessadok, A.; Biibosunov, A.; Rothenaigner, I.; Strasser, S.; Peng, T.; Hadian, K. CellDeathPred: A Deep Learning Framework for Ferroptosis and Apoptosis Prediction Based on Cell Painting. Cell Death Discov. 2023, 9, 1–11. [Google Scholar] [CrossRef] [PubMed]
- Luo, L.; Chen, X.; Huang, F. Machine Learning Revealed Ferroptosis Features and Ferroptosis-Related Gene-Based Immune Microenvironment in Lung Adenocarcinoma. Chem. Biol. Interact. 2023, 378, 110471. [Google Scholar] [CrossRef] [PubMed]
Disclaimer/Publisher’s Note: The statements, opinions and data contained in all publications are solely those of the individual author(s) and contributor(s) and not of MDPI and/or the editor(s). MDPI and/or the editor(s) disclaim responsibility for any injury to people or property resulting from any ideas, methods, instructions or products referred to in the content. |
© 2024 by the authors. Licensee MDPI, Basel, Switzerland. This article is an open access article distributed under the terms and conditions of the Creative Commons Attribution (CC BY) license (https://creativecommons.org/licenses/by/4.0/).









