Association Between Oxidative Potential of Particulate Matter Collected by Personal Samplers and Systemic Inflammation Among Asthmatic and Non-Asthmatic Adults
Abstract
1. Introduction
2. Methods
2.1. Study Design
2.2. Recruitment Scheme and PM Personal Sampling
2.3. Oxidative Potential Analysis
2.4. Cytokine Measurement
2.5. Statistical Analysis
3. Results
3.1. Description of the Sample and Distribution of Results for ILs and OP Levels
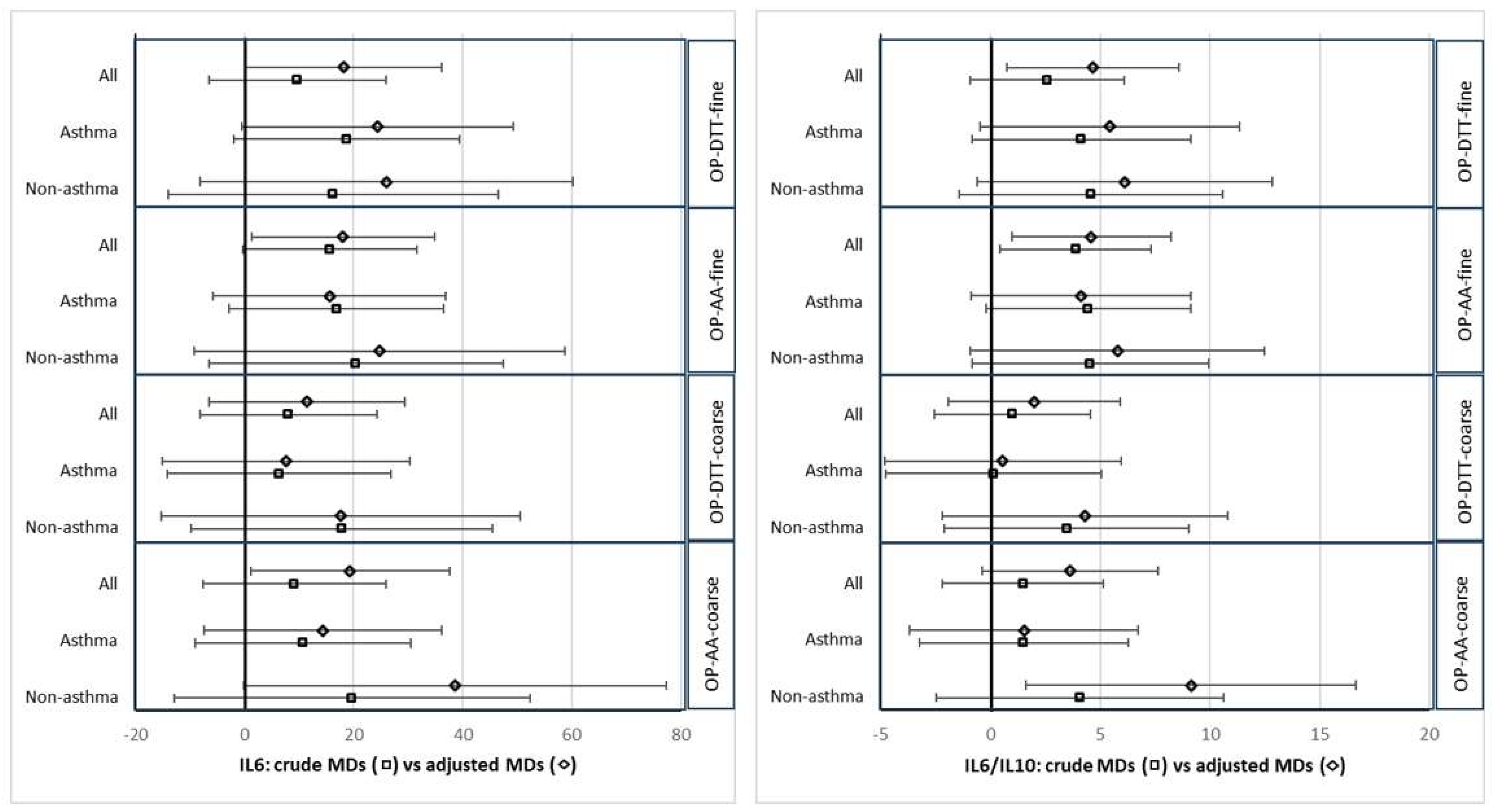
3.2. Adjusted Associations Between PM-OP, IL-6 and the IL-6/IL-10 Ratio
4. Discussion
5. Conclusions
Supplementary Materials
Author Contributions
Funding
Institutional Review Board Statement
Informed Consent Statement
Data Availability Statement
Conflicts of Interest
References
- Guo, C.; Lv, S.; Liu, Y.; Li, Y. Biomarkers for the adverse effects on respiratory system health associated with atmospheric particulate matter exposure. J. Hazard. Mater. 2022, 421, 126760. [Google Scholar] [CrossRef] [PubMed]
 - Kaufman, J.D.; Elkind, M.S.V.; Bhatnagar, A.; Koehler, K.; Balmes, J.R.; Sidney, S.; Burroughs Peña, M.S.; Dockery, D.W.; Hou, L.; Brook, R.D.; et al. Guidance to Reduce the Cardiovascular Burden of Ambient Air Pollutants: A Policy Statement From the American Heart Association. Circulation 2020, 142, e432–e447, Erratum in Circulation 2020, 142, e449. [Google Scholar] [CrossRef] [PubMed]
 - He, R.W.; Shirmohammadi, F.; Gerlofs-Nijland, M.E.; Sioutas, C.; Cassee, F.R. Pro-inflammatory responses to PM0.25 from airport and urban traffic emissions. Sci. Total Environ. 2018, 640–641, 997–1003. [Google Scholar] [CrossRef] [PubMed]
 - Weichenthal, S.; Crouse, D.L.; Pinault, L.; Godri-Pollitt, K.; Lavigne, E.; Evans, G.; van Donkelaar, A.; Martin, R.V.; Burnett, R.T. Oxidative burden of fine particulate air pollution and risk of cause-specific mortality in the Canadian Census Health and Environment Cohort (CanCHEC). Environ. Res. 2016, 146, 92–99. [Google Scholar] [CrossRef] [PubMed]
 - Bates, J.T.; Fang, T.; Verma, V.; Zeng, L.; Weber, R.J.; Tolbert, P.E.; Abrams, J.Y.; Sarnat, S.E.; Klein, M.; Mulholland, J.A.; et al. Review of Acellular Assays of Ambient Particulate Matter Oxidative Potential: Methods and Relationships with Composition, Sources, and Health Effects. Environ. Sci. Technol. 2019, 53, 4003–4019. [Google Scholar] [CrossRef]
 - Zhang, X.; Staimer, N.; Gillen, D.L.; Tjoa, T.; Schauer, J.J.; Shafer, M.M.; Hasheminassab, S.; Pakbin, P.; Vaziri, N.D.; Sioutas, C.; et al. Associations of oxidative stress and inflammatory biomarkers with chemically-characterized air pollutant exposures in an elderly cohort. Environ. Res. 2016, 150, 306–319. [Google Scholar] [CrossRef]
 - Brehmer, C.; Norris, C.; Barkjohn, K.K.; Bergin, M.H.; Zhang, J.; Cui, X.; Zhang, Y.; Black, M.; Li, Z.; Shafer, M.; et al. The impact of household air cleaners on the chemical composition and children’s exposure to PM2.5 metal sources in suburban Shanghai. Environ. Pollut. 2019, 253, 190–198. [Google Scholar] [CrossRef]
 - Brehmer, C.; Norris, C.; Barkjohn, K.K.; Bergin, M.H.; Zhang, J.; Cui, X.; Teng, Y.; Zhang, Y.; Black, M.; Li, Z.; et al. The impact of household air cleaners on the oxidative potential of PM2.5 and the role of metals and sources associated with indoor and outdoor exposure. Environ. Res. 2020, 181, 108919. [Google Scholar] [CrossRef]
 - Marsal, A.; Sauvain, J.J.; Thomas, A.; Lyon-Caen, S.; Borlaza, L.J.S.; Philippat, C.; Jaffrezo, J.L.; Boudier, A.; Darfeuil, S.; Elazzouzi, R.; et al. Effects of personal exposure to the oxidative potential of PM2.5 on oxidative stress biomarkers in pregnant women. Sci. Total Environ. 2024, 911, 168475. [Google Scholar] [CrossRef]
 - Quinn, C.; Miller-Lionberg, D.D.; Klunder, K.J.; Kwon, J.; Noth, E.M.; Mehaffy, J.; Leith, D.; Magzamen, S.; Hammond, S.K.; Henry, C.S.; et al. Personal Exposure to PM2.5 Black Carbon and Aerosol Oxidative Potential using an Automated Microenvironmental Aerosol Sampler (AMAS). Environ. Sci. Technol. 2018, 52, 11267–11275. [Google Scholar] [CrossRef]
 - Secrest, M.H.; Schauer, J.J.; Carter, E.M.; Lai, A.M.; Wang, Y.; Shan, M.; Yang, X.; Zhang, Y.; Baumgartner, J. The oxidative potential of PM2.5 exposures from indoor and outdoor sources in rural China. Sci. Total Environ. 2016, 571, 1477–1489. [Google Scholar] [CrossRef]
 - Wang, Z.; Li, Y.; Gao, Y.; Fu, Y.; Lin, J.; Lei, X.; Zheng, J.; Jiang, M. Global, regional, and national burden of asthma and its attributable risk factors from 1990 to 2019: A systematic analysis for the Global Burden of Disease Study 2019. Respir. Res. 2023, 24, 169. [Google Scholar] [CrossRef] [PubMed]
 - Jacquemin, B.; Siroux, V.; Sanchez, M.; Carsin, A.E.; Schikowski, T.; Adam, M.; Bellisario, V.; Buschka, A.; Bono, R.; Brunekreef, B.; et al. Ambient air pollution and adult asthma incidence in six European cohorts (ESCAPE). Environ. Health Perspect. 2015, 123, 613–621. [Google Scholar] [CrossRef] [PubMed]
 - Fan, J.; Li, S.; Fan, C.; Bai, Z.; Yang, K. The impact of PM2.5 on asthma emergency department visits: A systematic review and meta-analysis. Environ. Sci. Pollut. Res. 2016, 23, 843–850. [Google Scholar] [CrossRef] [PubMed]
 - Karakatsani, A.; Analitis, A.; Perifanou, D.; Ayres, J.G.; Harrison, R.M.; Kotronarou, A.; Kavouras, I.G.; Pekkanen, J.; Hämeri, K.; Kos, G.P.; et al. Particulate matter air pollution and respiratory symptoms in individuals having either asthma or chronic obstructive pulmonary disease: A European multicentre panel study. Environ. Health 2012, 11, 75. [Google Scholar] [CrossRef]
 - Park, J.; Kim, B.Y.; Park, E.J.; Shin, Y.I.; Ryu, J.H. Photobiomodulation Mitigates PM2.5-Exacerbated Pathologies in a Mouse Model of Allergic Asthma. Antioxidants 2024, 13, 1003. [Google Scholar] [CrossRef]
 - Brusselle, G.G.; Koppelman, G.H. Biologic Therapies for Severe Asthma. N. Engl. J. Med. 2022, 386, 157–171. [Google Scholar] [CrossRef]
 - Israel, E.; Reddel, H.K. Severe and Difficult-to-Treat Asthma in Adults. N. Engl. J. Med. 2017, 377, 965–976. [Google Scholar] [CrossRef]
 - Robinson, D.; Humbert, M.; Buhl, R.; Cruz, A.A.; Inoue, H.; Korom, S.; Hanania, N.A.; Nair, P. Revisiting Type 2-high and Type 2-low airway inflammation in asthma: Current knowledge and therapeutic implications. Clin. Exp. Allergy 2017, 47, 161–175. [Google Scholar] [CrossRef]
 - Canova, C.; Minelli, C.; Dunster, C.; Kelly, F.; Shah, P.L.; Caneja, C.; Tumilty, M.K.; Burney, P. PM10 oxidative properties and asthma and COPD. Epidemiology 2014, 25, 467–468. [Google Scholar] [CrossRef]
 - Hassanvand, M.S.; Naddafi, K.; Kashani, H.; Faridi, S.; Kunzli, N.; Nabizadeh, R.; Momeniha, F.; Gholampour, A.; Arhami, M.; Zare, A.; et al. Short-term effects of particle size fractions on circulating biomarkers of inflammation in a panel of elderly subjects and healthy young adults. Environ. Pollut. 2017, 223, 695–704. [Google Scholar] [CrossRef] [PubMed]
 - Jaafari, J.; Naddafi, K.; Yunesian, M.; Nabizadeh, R.; Hassanvand, M.S.; Shamsipour, M.; Ghanbari Ghozikali, M.; Nazmara, S.; Shamsollahi, H.R.; Yaghmaeian, K. Associations between short term exposure to ambient particulate matter from dust storm and anthropogenic sources and inflammatory biomarkers in healthy young adults. Sci. Total Environ. 2021, 761, 144503. [Google Scholar] [CrossRef] [PubMed]
 - Klümper, C.; Krämer, U.; Lehmann, I.; von Berg, A.; Berdel, D.; Herberth, G.; Beckmann, C.; Link, E.; Heinrich, J.; Hoffmann, B.; et al. Air pollution and cytokine responsiveness in asthmatic and non-asthmatic children. Environ. Res. 2015, 138, 381–390. [Google Scholar] [CrossRef] [PubMed]
 - Fajgenbaum, D.C.; June, C.H. Cytokine Storm. N. Engl. J. Med. 2020, 383, 2255–2273. [Google Scholar] [CrossRef]
 - Azaiz, M.B.; Jemaa, A.B.; Sellami, W.; Romdhani, C.; Ouslati, R.; Gharsallah, H.; Ghazouani, E.; Ferjani, M. Deciphering the balance of IL-6/IL-10 cytokines in severe to critical COVID-19 patients. Immunobiology 2022, 227, 152236. [Google Scholar] [CrossRef]
 - Ulhaq, Z.S.; Soraya, G.V.; Hasan, Y.T.N.; Rachma, L.N.; Rachmawati, E.; Shodry, S.; Kusuma, M.A.S. Serum IL-6/IL-10 ratio as a biomarker for the diagnosis and severity assessment of primary-open angle glaucoma. Eur. J. Ophthalmol. 2022, 32, 2259–2264. [Google Scholar] [CrossRef]
 - Global Initiative for Asthma. Global Strategy for Asthma Management and Prevention. 2020. Available online: www.ginasthma.org (accessed on 20 November 2021).
 - Hernández-Pellón, A.; Fernández-Olmo, I. Airborne concentration and deposition of trace metals and metalloids in an urban area downwind of a manganese alloy plant. Atmos. Pollut. Res. 2019, 10, 712–721. [Google Scholar] [CrossRef]
 - Expósito, A.; Maillo, J.; Uriarte, I.; Santibáñez, M.; Fernandez-Olmo, I. Kinetics of ascorbate and dithiothreitol oxidation by soluble copper, iron, and manganese, and 1,4-naphthoquinone: Influence of the species concentration and the type of fluid. Chemosphere 2024, 361, 142435. [Google Scholar] [CrossRef]
 - Weichenthal, S.; Lavigne, E.; Traub, A.; Umbrio, D.; You, H.; Pollitt, K.; Shin, T.; Kulka, R.; Stieb, D.M.; Korsiak, J.; et al. Association of sulfur, transition metals, and the oxidative potential of outdoor with acute cardiovascular events: A case-crossover study of Canadian adults. Environ. Health Perspect. 2021, 129, 107005. [Google Scholar] [CrossRef]
 - in’t Veld, M.; Pandolfi, M.; Amato, F.; Pérez, N.; Reche, C.; Dominutti, P.; Jaffrezo, J.; Alastuey, A.; Querol, X.; Uzu, G. Discovering oxidative potential (OP) drivers of atmospheric PM10, PM2.5, and PM1 simultaneously in North-Eastern Spain. Sci. Total Environ. 2023, 857, 159386. [Google Scholar] [CrossRef]
 - Delfino, R.J.; Staimer, N.; Tjoa, T.; Gillen, D.L.; Polidori, A.; Arhami, M.; Kleinman, M.T.; Vaziri, N.D.; Longhurst, J.; Sioutas, C. Air pollution exposures and circulating biomarkers of effect in a susceptible population: Clues to potential causal component mixtures and mechanisms. Environ. Health Perspect. 2009, 117, 1232–1238. [Google Scholar] [CrossRef] [PubMed]
 - Delfino, R.J.; Staimer, N.; Tjoa, T.; Arhami, M.; Polidori, A.; Gillen, D.L.; George, S.C.; Shafer, M.M.; Schauer, J.J.; Sioutas, C. Associations of primary and secondary organic aerosols with airway and systemic inflammation in an elderly panel cohort. Epidemiology 2010, 21, 892–902. [Google Scholar] [CrossRef] [PubMed]
 - Urch, B.; Speck, M.; Corey, P.; Wasserstein, D.; Manno, M.; Lukic, K.Z.; Brook, J.R.; Liu, L.; Coull, B.; Schwartz, J.; et al. Concentrated ambient fine particles and not ozone induce a systemic interleukin-6 response in humans. Inhal. Toxicol. 2010, 22, 210–218. [Google Scholar] [CrossRef] [PubMed]
 - Liu, L.; Urch, B.; Szyszkowicz, M.; Evans, G.; Speck, M.; Van Huang, A.; Leingartner, K.; Shutt, R.H.; Pelletier, G.; Gold, D.R.; et al. Metals and oxidative potential in urban particulate matter influence systemic inflammatory and neural biomarkers: A controlled exposure study. Environ. Int. 2018, 121 Pt 2, 1331–1340. [Google Scholar] [CrossRef]
 - Behbod, B.; Urch, B.; Speck, M.; Scott, J.A.; Liu, L.; Poon, R.; Coull, B.; Schwartz, J.; Koutrakis, P.; Silverman, F.; et al. Endotoxin in concentrated coarse and fine ambient particles induces acute systemic inflammation in controlled human exposures. Occup. Environ. Med. 2013, 70, 761–767. [Google Scholar] [CrossRef]
 - Bräuner, E.V.; Møller, P.; Barregard, L.; Dragsted, L.O.; Glasius, M.; Wåhlin, P.; Vinzents, P.; Raaschou-Nielsen, O.; Loft, S. Exposure to ambient concentrations of particulate air pollution does not influence vascular function or inflammatory pathways in young healthy individuals. Part. Fibre Toxicol. 2008, 5, 13. [Google Scholar] [CrossRef]
 - Brown, M.S.; Sarnat, S.E.; DeMuth, K.A.; Brown, L.A.; Whitlock, D.R.; Brown, S.W.; Tolbert, P.E.; Fitzpatrick, A.M. Residential proximity to a major roadway is associated with features of asthma control in children. PLoS ONE 2012, 7, e37044. [Google Scholar] [CrossRef]
 - Liu, L.; Ruddy, T.; Dalipaj, M.; Poon, R.; Szyszkowicz, M.; You, H.; Dales, R.E.; Wheeler, A.J. Effects of indoor, outdoor, and personal exposure to particulate air pollution on cardiovascular physiology and systemic mediators in seniors. J. Occup. Environ. Med. 2009, 51, 1088–1098. [Google Scholar] [CrossRef]
 - Steenhof, M.; Mudway, I.S.; Gosens, I.; Hoek, G.; Godri, K.J.; Kelly, F.J.; Harrison, R.M.; Pieters, R.H.; Cassee, F.R.; Lebret, E.; et al. Acute nasal pro-inflammatory response to air pollution depends on characteristics other than particle mass concentration or oxidative potential: The RAPTES project. Occup. Environ. Med. 2013, 70, 341–348. [Google Scholar] [CrossRef]
 - Shang, J.; Zhang, Y.; Schauer, J.J.; Chen, S.; Yang, S.; Han, T.; Zhang, D.; Zhang, J.; An, J. Prediction of the oxidation potential of PM2.5 exposures from pollutant composition and sources. Environ. Pollut. 2022, 293, 118492. [Google Scholar] [CrossRef]
 - Isiugo, K.; Jandarov, R.; Cox, J.; Ryan, P.; Newman, N.; Grinshpun, S.A.; Indugula, R.; Vesper, S.; Reponen, T. Indoor particulate matter and lung function in children. Sci. Total Environ. 2019, 663, 408–417. [Google Scholar] [CrossRef] [PubMed]
 - Delfino, R.J.; Staimer, N.; Gillen, D.; Tjoa, T.; Sioutas, C.; Fung, K.; George, S.C.; Kleinman, M.T. Personal and ambient air pollution is associated with increased exhaled nitric oxide in children with asthma. Environ. Health Perspect. 2006, 114, 1736–1743. [Google Scholar] [CrossRef] [PubMed]
 - Hawkins, G.A.; Robinson, M.B.; Hastie, A.T.; Li, X.; Li, H.; Moore, W.C.; Howard, T.D.; Busse, W.W.; Erzurum, S.C.; Wenzel, S.E.; et al. The IL6R variation Asp(358)Ala is a potential modifier of lung function in subjects with asthma. J. Allergy Clin. Immunol. 2012, 130, 510–515.e1. [Google Scholar] [CrossRef] [PubMed]
 - Jevnikar, Z.; Östling, J.; Ax, E.; Calvén, J.; Thörn, K.; Israelsson, E.; Öberg, L.; Singhania, A.; Lau, L.C.K.; Wilson, S.J.; et al. Epithelial IL-6 trans-signaling defines a new asthma phenotype with increased airway inflammation. J. Allergy Clin. Immunol. 2019, 143, 577–590. [Google Scholar] [CrossRef]
 - Rincon, M.; Irvin, C.G. Role of IL-6 in asthma and other inflammatory pulmonary diseases. Int. J. Biol. Sci. 2012, 8, 1281–1290. [Google Scholar] [CrossRef]
 - El-Husseini, Z.W.; Khalenkow, D.; Lan, A.; van der Molen, T.; Brightling, C.; Papi, A.; Rabe, K.F.; Siddiqui, S.; Singh, D.; Kraft, M.; et al. An epithelial gene signature of trans-IL-6 signaling defines a subgroup of type 2-low asthma. Respir. Res. 2023, 24, 308. [Google Scholar] [CrossRef]
 


| Asthma | Non-Asthma | All | |||||
|---|---|---|---|---|---|---|---|
| N = 44 | N = 37 | N = 81 | p Value | ||||
| Systemic inflammation | |||||||
| IL-6 pg/mL. Mean [SD] | 18.08 | 32.57 | 30.33 | 40.45 | 23.68 | 36.66 | 0.135 | 
| IL-6 pg/mL. Median [IQR] | 5.84 | 2.06–15.25 | 10.56 | 7.86–38.9 | 9.24 | 4.08–16.70 | 0.009 | 
| IL-10 pg/mL. Mean [SD] | 10.95 | 19.22 | 5.60 | 4.15 | 8.51 | 14.61 | 0.079 | 
| IL-10 pg/mL. Median [IQR] | 6.35 | 3.73–10.18 | 4.48 | 3.80–5.32 | 4.74 | 3.73–7.40 | 0.041 | 
| IL-6/IL-10 ratio. Mean [SD] | 3.57 | 7.77 | 6.05 | 8.15 | 4.70 | 7.99 | 0.166 | 
| IL-6/IL-10 ratio. Median [IQR] | 0.95 | 0.26–2.03 | 2.44 | 1.52–8.00 | 1.52 | 0.66–3.27 | <0.001 | 
| PM-OP metrics (nmol/min/m3) | |||||||
| OP-DTT PM2.5. Mean [SD] | 0.30 | 0.29 | 0.17 | 0.25 | 0.24 | 0.27 | 0.029 | 
| OP-DTT PM2.5. Median [IQR] | 0.24 | 0.15–0.34 | 0.10 | 0.03–0.18 | 0.16 | 0.1–0.31 | <0.001 | 
| OP-AA PM2.5. Mean [SD] | 0.72 | 1.29 | 0.34 | 0.89 | 0.55 | 1.14 | 0.127 | 
| OP-AA PM2.5. Median [IQR] | 0.23 | 0.12–0.49 | 0.15 | 0.06–0.28 | 0.18 | 0.07–0.37 | 0.027 | 
| OP-DTT PM10–2.5. Mean [SD] | 0.18 | 0.11 | 0.14 | 0.11 | 0.16 | 0.11 | 0.058 | 
| OP-DTT PM10–2.5. Median [IQR] | 0.17 | 0.10–0.26 | 0.11 | 0.06–0.19 | 0.13 | 0.08–0.22 | 0.052 | 
| OP-AA PM10–2.5. Mean [SD] | 0.59 | 1.38 | 0.17 | 0.11 | 0.40 | 1.04 | 0.051 | 
| OP-AA PM10–2.5. Median [IQR] | 0.22 | 0.10–0.55 | 0.20 | 0.1–0.20 | 0.20 | 0.1–0.39 | 0.029 | 
| IL-6 pg/mL (Median) | |||||||||||
|---|---|---|---|---|---|---|---|---|---|---|---|
| n = 27 | n = 17 | ||||||||||
| PM-OPv nmol min−1 m−3 | Cut-Off Point | ≤9.24 | 9.24+ | OR Crude | 95% | CI | p Value | aOR | 95% | CI | p Value | 
| OP-DTT PM2.5 | |||||||||||
| Lower values | ≤0.161 | 12 | 2 | 1 | 1 | ||||||
| Higher values | 0.161+ | 15 | 15 | 6.00 | 1.14 | 31.53 | 0.034 | 39.70 | 2.19 | 718.60 | 0.013 | 
| OP-DTT PM2.5 (Tertiles) | |||||||||||
| Low values | ≤0.110 | 4 | 1 | 1 | 1 | ||||||
| Medium values | 0.111–0.236 | 11 | 7 | 2.55 | 0.23 | 27.71 | 0.443 | 4.52 | 0.25 | 83.26 | 0.310 | 
| High values | 0.236+ | 12 | 9 | 3.00 | 0.29 | 31.63 | 0.361 | 41.96 | 1.12 | 1566.43 | 0.043 | 
| Linear p-trend | 0.409 | 0.029 | |||||||||
| OP-AA PM2.5 | |||||||||||
| Lower values | ≤0.184 | 13 | 5 | 1 | 1 | ||||||
| Higher values | 0.184+ | 14 | 12 | 2.23 | 0.62 | 8.08 | 0.223 | 3.76 | 0.75 | 18.92 | 0.108 | 
| OP-AA PM2.5 (Tertiles) | |||||||||||
| Low values | ≤0.125 | 8 | 3 | 1 | 1 | ||||||
| Medium values | 0.126–0.260 | 13 | 3 | 0.62 | 0.10 | 3.82 | 0.602 | 0.57 | 0.06 | 5.62 | 0.632 | 
| High values | 0.260+ | 6 | 11 | 4.89 | 0.93 | 25.67 | 0.061 | 48.39 | 2.12 | 1106.24 | 0.015 | 
| Linear p-trend | 0.032 | 0.01 | |||||||||
| OP-DTT PM10–2.5 | |||||||||||
| Lower values | ≤0.129 | 11 | 6 | 1 | 1 | ||||||
| Higher values | 0.129+ | 16 | 11 | 1.26 | 0.36 | 4.43 | 0.718 | 1.82 | 0.36 | 9.26 | 0.469 | 
| OP-DTT PM10–2.5 (Tertiles) | |||||||||||
| Low values | ≤0.090 | 6 | 4 | 1 | 1 | ||||||
| Medium values | 0.091–0.200 | 9 | 6 | 1.00 | 0.20 | 5.12 | 1.000 | 1.33 | 0.20 | 9.02 | 0.769 | 
| High values | 0.200+ | 12 | 7 | 0.88 | 0.18 | 4.21 | 0.868 | 1.46 | 0.20 | 10.90 | 0.709 | 
| Linear p-trend | 0.851 | 0.713 | |||||||||
| OP-AA PM10–2.5 | |||||||||||
| Lower values | ≤0.200 | 14 | 8 | 1 | 1 | ||||||
| Higher values | 0.200+ | 13 | 9 | 1.21 | 0.36 | 4.08 | 0.757 | 5.16 | 0.78 | 34.15 | 0.089 | 
| OP-AA PM10–2.5 (Tertiles) | |||||||||||
| Low values | ≤0.100 | 7 | 4 | 1 | 1 | ||||||
| Medium values | 0.101–0.300 | 8 | 5 | 1.09 | 0.21 | 5.76 | 0.916 | 0.88 | 0.11 | 6.85 | 0.905 | 
| High values | 0.300+ | 12 | 8 | 1.17 | 0.26 | 5.33 | 0.842 | 4.53 | 0.47 | 43.47 | 0.191 | 
| Linear p-trend | 0.842 | 0.221 | |||||||||
| IL-6/IL-10 (Median) | |||||||||||
|---|---|---|---|---|---|---|---|---|---|---|---|
| n = 30 | n = 14 | ||||||||||
| PM-OPv nmol min−1 m−3 | Cut-Off Point | ≤1.52 | 1.52+ | OR Crude | 95% | CI | p Value | aOR | 95% | CI | p Value | 
| OP-DTT PM2.5 | |||||||||||
| Lower values | ≤0.161 | 13 | 1 | 1 | 1 | ||||||
| Higher values | 0.161+ | 17 | 13 | 9.94 | 1.15 | 86.06 | 0.037 | 14.65 | 1.15 | 186.87 | 0.039 | 
| OP-DTT PM2.5 (Tertiles) | |||||||||||
| Low values | ≤0.110 | 5 | 1 | 1 | 1 | ||||||
| Medium values | 0.111–0.236 | 14 | 3 | 1.07 | 0.09 | 12.83 | 0.957 | 0.51 | 0.02 | 10.52 | 0.660 | 
| High values | 0.236+ | 11 | 10 | 4.55 | 0.45 | 45.86 | 0.199 | 9.39 | 0.44 | 198.71 | 0.150 | 
| Linear p-trend | 0.063 | 0.074 | |||||||||
| OP-AA PM2.5 | |||||||||||
| Lower values | ≤0.184 | 15 | 3 | 1 | 1 | ||||||
| Higher values | 0.184+ | 15 | 11 | 3.67 | 0.85 | 15.84 | 0.082 | 5.20 | 0.78 | 34.54 | 0.088 | 
| OP-AA PM2.5 (Tertiles) | |||||||||||
| Low values | ≤0.125 | 10 | 1 | 1 | 1 | ||||||
| Medium values | 0.126–0.260 | 12 | 4 | 2.31 | 0.21 | 25.66 | 0.496 | 6.66 | 0.25 | 177.74 | 0.258 | 
| High values | 0.260+ | 8 | 9 | 11.25 | 1.17 | 108.41 | 0.036 | 33.86 | 1.08 | 1066.42 | 0.045 | 
| Linear p-trend | 0.015 | 0.018 | |||||||||
| OP-DTT PM10–2.5 | |||||||||||
| Lower values | ≤0.129 | 12 | 5 | 1 | 1 | ||||||
| Higher values | 0.129+ | 18 | 9 | 1.20 | 0.32 | 4.47 | 0.786 | 1.30 | 0.26 | 6.63 | 0.75 | 
| OP-DTT PM10–2.5 (Tertiles) | |||||||||||
| Low values | ≤0.090 | 7 | 3 | 1 | 1 | ||||||
| Medium values | 0.091–0.200 | 11 | 4 | 0.85 | 0.14 | 4.99 | 0.856 | 0.59 | 0.08 | 4.36 | 0.607 | 
| High values | 0.200+ | 12 | 7 | 1.36 | 0.26 | 7.04 | 0.713 | 1.18 | 0.17 | 8.07 | 0.867 | 
| Linear p-trend | 0.640 | 0.814 | |||||||||
| OP-AA PM10–2.5 | |||||||||||
| Lower values | ≤0.200 | 17 | 5 | 1 | 1 | ||||||
| Higher values | 0.200+ | 13 | 9 | 2.35 | 0.64 | 8.73 | 0.200 | 4.69 | 0.84 | 26.26 | 0.079 | 
| OP-AA PM10–2.5 (Tertiles) | |||||||||||
| Low values | ≤0.100 | 7 | 4 | 1 | 1 | ||||||
| Medium values | 0.101–0.300 | 11 | 2 | 0.32 | 0.05 | 2.22 | 0.248 | 0.25 | 0.03 | 2.41 | 0.232 | 
| High values | 0.300+ | 12 | 8 | 1.17 | 0.26 | 5.33 | 0.842 | 2.10 | 0.28 | 15.51 | 0.467 | 
| Linear p-trend | 0.652 | 0.430 | |||||||||
Disclaimer/Publisher’s Note: The statements, opinions and data contained in all publications are solely those of the individual author(s) and contributor(s) and not of MDPI and/or the editor(s). MDPI and/or the editor(s) disclaim responsibility for any injury to people or property resulting from any ideas, methods, instructions or products referred to in the content.  | 
© 2024 by the authors. Licensee MDPI, Basel, Switzerland. This article is an open access article distributed under the terms and conditions of the Creative Commons Attribution (CC BY) license (https://creativecommons.org/licenses/by/4.0/).
Share and Cite
Santibáñez, M.; Ruiz-Cubillán, J.J.; Expósito, A.; Agüero, J.; García-Rivero, J.L.; Abascal, B.; Amado, C.A.; Ruiz-Azcona, L.; Lopez-Hoyos, M.; Irure, J.; et al. Association Between Oxidative Potential of Particulate Matter Collected by Personal Samplers and Systemic Inflammation Among Asthmatic and Non-Asthmatic Adults. Antioxidants 2024, 13, 1464. https://doi.org/10.3390/antiox13121464
Santibáñez M, Ruiz-Cubillán JJ, Expósito A, Agüero J, García-Rivero JL, Abascal B, Amado CA, Ruiz-Azcona L, Lopez-Hoyos M, Irure J, et al. Association Between Oxidative Potential of Particulate Matter Collected by Personal Samplers and Systemic Inflammation Among Asthmatic and Non-Asthmatic Adults. Antioxidants. 2024; 13(12):1464. https://doi.org/10.3390/antiox13121464
Chicago/Turabian StyleSantibáñez, Miguel, Juan José Ruiz-Cubillán, Andrea Expósito, Juan Agüero, Juan Luis García-Rivero, Beatriz Abascal, Carlos Antonio Amado, Laura Ruiz-Azcona, Marcos Lopez-Hoyos, Juan Irure, and et al. 2024. "Association Between Oxidative Potential of Particulate Matter Collected by Personal Samplers and Systemic Inflammation Among Asthmatic and Non-Asthmatic Adults" Antioxidants 13, no. 12: 1464. https://doi.org/10.3390/antiox13121464
APA StyleSantibáñez, M., Ruiz-Cubillán, J. J., Expósito, A., Agüero, J., García-Rivero, J. L., Abascal, B., Amado, C. A., Ruiz-Azcona, L., Lopez-Hoyos, M., Irure, J., Robles, Y., Berja, A., Barreiro, E., Núñez-Robainas, A., Cifrián, J. M., & Fernandez-Olmo, I. (2024). Association Between Oxidative Potential of Particulate Matter Collected by Personal Samplers and Systemic Inflammation Among Asthmatic and Non-Asthmatic Adults. Antioxidants, 13(12), 1464. https://doi.org/10.3390/antiox13121464
        
