Abstract
As a common medicinal and edible plant, dandelion plays a crucial and significant role in the fields of traditional Chinese medicines, functional foods, healthcare products, daily chemicals, and feed additives, which are closely related to its rich chemical constituents and remarkable biological activities. Modern studies have demonstrated that dandelion contains all kinds of bioactive constituents, including flavonoids, amino acids, fatty acids, organic acids, phenolic acids, coumarins, lignans, polysaccharides, phytosterols, terpenes, glycoproteins, oligosaccharides, alkaloids, etc. Meanwhile, dandelion has been proven to possess antioxidant, antibacterial, anti-inflammatory, antitumor, antivirus, hypoglycemic, and hypolipidemic properties, as well as the ability to regulate hormone levels and protect some visceral organs. Among them, flavonoids derived from dandelion and their antioxidant activities have received considerable attention. This study reviews dandelion flavonoids and their in vitro and in vivo antioxidant activities by consulting and organizing relevant domestic and international works of literature to provide a scientific and theoretical basis for further research, development, and utilization of dandelion.
1. Introduction
Dandelion is a kind of nutritious wild vegetable, also named Taraxaci Herba by the 2020 edition of the Pharmacopoeia of the People’s Republic of China, as well as a general term used for various perennial herbaceous plants in the genus Taraxacum, family Asteraceae [1,2]. As a traditional Chinese medicine, dandelion is well known for its bitter and sweet taste, cold nature, and its ability to enter the liver and stomach meridians. It has properties of clearing heat and detoxifying, reducing swelling and dissipating nodules, promoting diuresis, and relieving stranguries. It is used to treat symptoms or diseases, such as boils, carbuncles, mastitis, scrofula, red eyes, sore throat, lung abscess, intestinal abscess, damp-heat jaundice, and stranguries with painful urination [1], earning a good reputation as the “queen of medicinal herbs [3]”. To date, modern studies have shown that dandelion contains all kinds of bioactive constituents, including flavonoids, amino acids, fatty acids, organic acids, phenolic acids, coumarins, lignans, polysaccharides, phytosterols, terpenes, glycoproteins, oligosaccharides, alkaloids, etc. Moreover, it has been proven to possess antioxidant, antibacterial, anti-inflammatory, antitumor, antivirus, hypoglycemic, and hypolipidemic properties, as well as the ability to regulate hormone levels and protect some visceral organs, like the liver, gastrointestinal tract, and prostate [4,5,6,7]. As a dual-use plant, dandelion can be processed into beverages, like tea, yogurt, functional drinks, and coffee; foods, like steamed buns, biscuits, bread, pickles, and tofu; and daily chemicals, like toothpaste, facial cleansers, and essential oils, which shows considerable promise for development [2,8,9]. Additionally, dandelion can be used as a green and safe feed additive, replacing antibiotics, incorporated into livestock and poultry feeds to promote animal growth, enhance animal immune function, and improve the quality of animal products [10,11,12]. In conclusion, as a common medicinal and edible plant, dandelion is essential in the fields of traditional Chinese medicines, functional foods, healthcare products, daily chemicals, and feed additives. What’s more, most of these applications are closely related to the antioxidant activities of dandelion [4,9,13,14,15].
Modern studies have indicated that the excessive accumulation of reactive oxygen species (ROS), such as superoxide anion radicals (O2•−), hydroxyl radicals (·OH), and hydrogen peroxide (H2O2), in the body can damage multiple tissues and organs, which are closely associated with the onset, development, and prognosis of various diseases, including cardiovascular diseases [16], chronic obstructive pulmonary disease (COPD) [17], schizophrenia [16], Alzheimer’s disease [18], Parkinson’s disease [19,20], non-alcoholic fatty liver disease [21,22], cancer and aging [16], etc. Therefore, scavenging free radicals and enhancing antioxidant activities are crucial for the treatment of these diseases and have significant biological importance for humans [16,23]. In recent years, as a special natural antioxidant, flavonoids, which possess unique advantages of safety and low toxicity, have always been a prominent focus in antioxidant research [24,25]. Dandelion is rich in natural resources, and its flavonoids possess notable antioxidant activities, warranting significant attention [26,27].
Therefore, a comprehensive review of the flavonoids derived from dandelion and their antioxidant activities is necessary, considering its numerous benefits. This study reviews the research progress on flavonoids and their antioxidant activities in dandelion, aiming to provide a reference for further research and the development of dandelion resources.
2. Materials and Methods
This review was performed by searching for literature in databases, such as Web of Science, SciFinder, PubMed, Google Scholar, Baidu Scholar, China National Knowledge Infrastructure, WanFang Med Online, and VIP Database, as well as Pharmacopoeia of the Peoples Republic of China, with keywords dandelion, Taraxacum, constituents, flavonoids, activities, antioxidant, respectively. Subsequently, this review was written by organizing and summarizing the obtained literature.
3. Flavonoids
Flavonoids are a class of natural products with a basic C6-C3-C6 skeleton, widely present in the plant kingdom. They are abundant bioactive components in dandelion, exhibiting antioxidant [28,29], antitumor [28], anti-inflammatory activities [30], etc. To date, almost 155 reported flavonoids have been reported in dandelion, mainly including flavones [26,27,29,31,32,33,34,35,36,37,38,39,40,41,42,43,44,45,46,47,48,49,50,51,52,53,54,55,56,57,58,59,60,61,62,63,64,65,66,67,68,69,70,71,72,73,74], flavonols [26,27,29,32,33,34,35,37,39,40,41,43,44,45,52,53,55,56,60,66,68,69,70,73,74,75,76,77,78,79], flavanones [26,29,31,33,43,49,52,68,69,70,80,81], flavanonols [54,60,68,73], anthocyanidins [68,77,82,83], flavan-3-ols [44,84], chalcones [68], dihydrochalcones [55,68,73], isoflavones [55,68,69,70,79], xanthones [78], and bioflavonoids [67,68]. The structures of these compounds are shown in Figure 1, Figure 2, Figure 3, Figure 4 and Figure 5, and their names, sources, and parts are shown in Table 1, Table 2, Table 3, Table 4 and Table 5.
Figure 1.
The structures of flavones in dandelion.
Figure 2.
The structures of flavonols in dandelion.
Figure 3.
The structures of flavanones and flavanonols in dandelion.
Figure 4.
The structures of anthocyanidins and flavan-3-ols in dandelion.
Figure 5.
The structures of chalcones, dihydrochalcones, isoflavones, xanthones and biflavonoids in dandelion.
3.1. Flavones
According to literature reports, 59 flavones and their glycosides were identified from dandelion (Figure 1 and Table 1), including the following: chrysin (1), 7,4′-dihydroxyflavone (2), 6,2′-dihydroxyflavone (3), luteolin (4), luteolin-7-O-glucoside (5), luteolin-7-O-β-D-glucoside (6), luteolin-7-O-β-D-glucopyranoside (7), luteolin-7-O-β-D-(6″-acetyl)-glucopyranoside (8), luteolin-7-diglucoside (9), luteolin-7-O-β-D-galactopyranoside (10), luteolin-7-O-rutinose (11), luteolin-7-O-β-D-rutinoside (12), luteolin-7-O-β-D-gentiobioside (13), luteolin-7-galacturonide (14), luteolin-7-O-rhamnoside (15), lonicerin (16), luteolin-6,8-di-C-glucoside (17), luteolin-3′-O-β-D-glucoside (18), luteolin-3′-O-β-D-glucopyranoside (19), luteolin-3′,7-O-diglucoside (20), luteolin-3′-methyl ether (21), luteolin-4′-O-glucoside (22), luteolin-4′-O-β-D-glucoside (23), luteolin-4′-O-β-D-glucopyranoside (24), apigenin (25), apigenin-6-C-glucoside-7-O-glucoside (26), apigenin-6,8-di-C-glucoside (27), apigenin-7-O-glucoside (28), apigenin-7-O-glucuronide (29), vitexin (30), isovitexin-3″-O-glucopyranoside (31), genkwanin (32), hydroxygenkwanin (33), genkwanin-4′-O-β-D-lutinoside (34), baicalein (35), 5-hydroxy-6,7-dimethoxyflavonoid (36), hispidulin (37), pedalitin (38), diosmetin (39), alquds (40), nobiletin (41), ladanein (42), 5,7,3′-trihydroxy-4′,5′-dimethoxy flavone (43), tricin (44), apometzgerin (45), eupatilin (46), jaceosidin (47), tangeretin (48), isoetin (49), isoetin-7-O-β-D-glucoside-2′-O-α-arabinoside (50), isoetin-7-O-β-D-glucopyranosyl-2′-O-α-L-arabinopyranoside (51), isoetin-7-O-β-D-glucoside-2′-O-α-glucoside (52), isoetin-7-O-β-D-glucopyranosyl-2′-O-α-D-glucopyranoside (53), isoetin-7-O-β-D-glucoside-2′-O-β-xyloside (54), isoetin-7-O-β-D-glucopyranosyl-2′-O-β-D-xylopyranoside (55), homoorientin (56), isoscutellarein (57), tetrahydroxyflavonoe-C-rhamnosyl-glucoside (58), and salcolin A/B (59).
In summary, the discovery of these compounds was primarily concentrated in whole herbs, roots, flowers, leaves, aerial parts, or vegetative parts of dandelion species, such as T. mongolicum Hand.-Mazz, T. officinale, T. officinale aggregate, T. officinale (L.) Weber ex F.H. Wigg, Neo-T. siphonanthum, T. falcilobum, T. formosanum Kitam, T. sect. Ruderalia, T. sinicum Kitag, T. extractum, T. coreanum, T. ohwianum, or T. kok-saghyz Rodin [26,27,29,31,32,33,34,35,36,37,38,39,40,41,42,43,44,45,46,47,48,49,50,51,52,53,54,55,56,57,58,59,60,61,62,63,64,65,66,67,68,69,70,71,72,73,74]. Notably, as indicated in Table 6, chrysin (1), 7,4′-dihydroxyflavone (2), 6,2′-dihydroxyflavone (3), luteolin-7-O-glucoside (5), luteolin-7-O-β-D-(6″-acetyl)-glucopyranoside (8), luteolin-7-O-rutinose (11), lonicerin (16), luteolin-6,8-di-C-glucoside (17), apigenin-6-C-glucoside-7-O-glucoside (26), apigenin-6,8-di-C-glucoside (27), apigenin-7-O-glucuronide (29), vitexin (30), isovitexin-3″-O-glucopyranoside (31), pedalitin (38), tricin (44), apometzgerin (45), eupatilin (46), jaceosidin (47), tangeretin (48), homoorientin (56), isoscutellarein (57), tetrahydroxyflavonoe-C-rhamnosyl-glucoside (58), and salcolin A/B (59). They were quickly identified from dandelion by using mass spectrometry [66,67,68,69,70,71,85].
3.2. Flavanols
According to literature reports, 47 flavonols and their glycosides were identified from dandelion (Figure 2 and Table 2), including the following: 3-hydroxyflavone (60), fisetin (61), quercetin (62), quercetin-3-O-glucoside (63), quercetin-3-O-β-D-glucopyranoside (64), quercetin-3-O-β-galactoside (65), quercetin-3-O-arabinoside (66), quercetin-3-O-α-D-arabinofuranoside (67), avicularin (68), quercetin-3-O-α-D-arabinopyranoside (69), quercetin-3-O-α-L-rhamnoside (70), quercetin-3-O-α-L-rhamnopyranoside (71), myricitrin (72), myricetin (73), quercetin-3-O-arabinose-glucoside (74), quercetin-3-(malonyl-glucoside)-glucoside (75), reynoutrin (76), quercetin-3-O-(6″-acetyl-glucoside) (77), quercetin-3-O-glucuronide (78), quercetin-3,7-O-β-D-diglucopyranoside (79), quercetin-3,4′-diglucoside (80), quercetin-7-O-β-D-glucoside (81), quercetin-7-O-[β-D-glucopyranosyl (1→6)-β-D-glucopyranoside] (82), quercetin-3′,4′,7-trimethyl ether (83), rutin (84), artemetin (85), isorhamnetin (86), isorhamnetin-3-O-β-D-glucoside (87), isorhamnetin-3-O-β-D-glucoside (88), kaempferol (89), kaempferol-3-glucoside (90), kaempferol-3-O-β-D-glucopyranoside (91), kaempferol-3-O-rutinoside (92), kaempferol-3-O-neohesperiidoside (93), kaempferol-3-O-robinobioside (94), kaempferol-3-O-rhamnoside (95), kaempferol-3-O-α-L-rhamnopyranoside-(1→6)-β-D-glucoside (96), nicotiflorin (97), kaempferol-3-O-glucoside-7-O-rhamnoside (98), kaemperfol-3,7-diglucoside (99), kaempferol-3-O-β-D-glucoside-7-O-α-L-arabinofuranoside (100), hyperseroside (101), 3,5,7,3′,4′-pentahydroxy-8-C-methylflavone (102), 2-(3,4-dihydroxy-5-methoxyphenyl)-3,5,7-trihydroxy-6-methoxy-4H-chromen-4-one (103), gossypetin (104), gossypetin-8-O-glucoside (105), and 3,5,7,3′,4′-pentahydroxy-8-C-methylflavone-7-O-β-D-xylopyranosyl-(1→4)-O-β-D-glucopyranosyl-3′-O-α-L-rhamnopyranoside (106).
Moreover, the discovery of these compounds was primarily concentrated in whole herbs, aerial parts, flowers, leaves, roots, or stems of dandelion species, such as T. mongolicum Hand.-Mazz, T. officinale, T. officinale (L.) Weber ex F.H. Wigg, Neo-T. siphonanthum, T. brevicorniculatum, T. bessarabicum, T. sinicum Kitag, T. extractum, T. coreanum, or T. kok-saghyz Rodin [26,27,29,32,33,34,35,37,39,40,41,43,44,45,52,53,55,56,60,66,68,69,70,73,74,75,76,77,78,79]. Obviously, as shown in Table 6, 3-hydroxyflavone (60), quercetin-3-O-glucoside (63), avicularin (68), quercetin-3-O-α-L-rhamnopyranoside (71), myricitrin (72), myricetin (73), reynoutrin (76), quercetin-3-O-(6″-acetyl-glucoside) (77), quercetin-3-O-glucuronide (78), rutin (84), kaempferol-3-O-β-D-glucopyranoside (91), kaempferol-3-O-rutinoside (92), kaempferol-3-O-neohesperiidoside (93), kaempferol-3-O-robinobioside (94), kaempferol-3-O-rhamnoside (95), kaempferol-3-O-glucoside-7-O-rhamnoside (98), kaemperfol-3,7-diglucoside (99), kaempferol-3-O-β-D-glucoside-7-O-α-L-arabinofuranoside (100), and gossypetin-8-O-glucoside (105). These were quickly identified from dandelion by using mass spectrometry [66,68,69,70,73].
3.3. Flavanones
According to the current literature reports, 11 flavanones and their glycosides have been identified from dandelion, including the following: 5,7-dihydroxyflavanone (107), naringenin (108), naringenin-7-O-glucoside (109), hesperetin (110), hesperidin (111), hesperetin-7-glucuronide (112), hesperetin-5′-O-β-rhamnoglucoside (113), 4′,5,7-trihydroxy-3′-methoxy-dihydroflavone (114), liquiritigenin (115), liquiritin (116), and farrerol (117) (Figure 3 and Table 3).
Obviously, the discovery of these compounds was primarily concentrated in whole herbs, leaves, or aerial parts of dandelion species, such as T. mongolicum Hand.-Mazz, T. officinale, or T. extractum [26,29,31,33,43,49,52,68,69,70,80,81]. 5,7-Dihydroxyflavanone (107), naringenin (108), hesperetin (110), hesperidin (111), hesperetin-7-glucuronide (112), and hesperetin-5′-O-β-rhamnoglucoside (113) were derived from the whole herbs of T. mongolicum Hand.-Mazz [26,29,31,33,43,49,52,54,69]. Notably, as displayed in Table 6, naringenin (108), naringenin-7-O-glucoside (109), liquiritigenin (115), liquiritin (116), and farrerol (117), as quickly identified from dandelion by using mass spectrometry [68,69,70].
3.4. Flavanonols
According to the current literature reports, six flavanonols and their glycosides have been identified from dandelion, including the following: garbanzol (118), toxifolin (119), (2R,3R)-(+)-4′-O-methyldihydro-quercetin (120), (2R,3R)-(+)-4′,7-di-O-methyldihydro-quercetin (121), dihydromyricetin (122) and silymarin (123) (Figure 3 and Table 3).
Obviously, the discovery of these compounds was primarily concentrated in whole herbs or roots of dandelion species, such as T. mongolicum Hand.-Mazz, T. officinale, Neo-T. siphonanthum, or Taraxaci Herba [54,60,68,73]. Notably, as presented in Table 6, garbanzol (118), toxifolin (119), dihydromyricetin (122) and silymarin (123) were also quickly identified from dandelion via mass spectrometry [54,68,73].
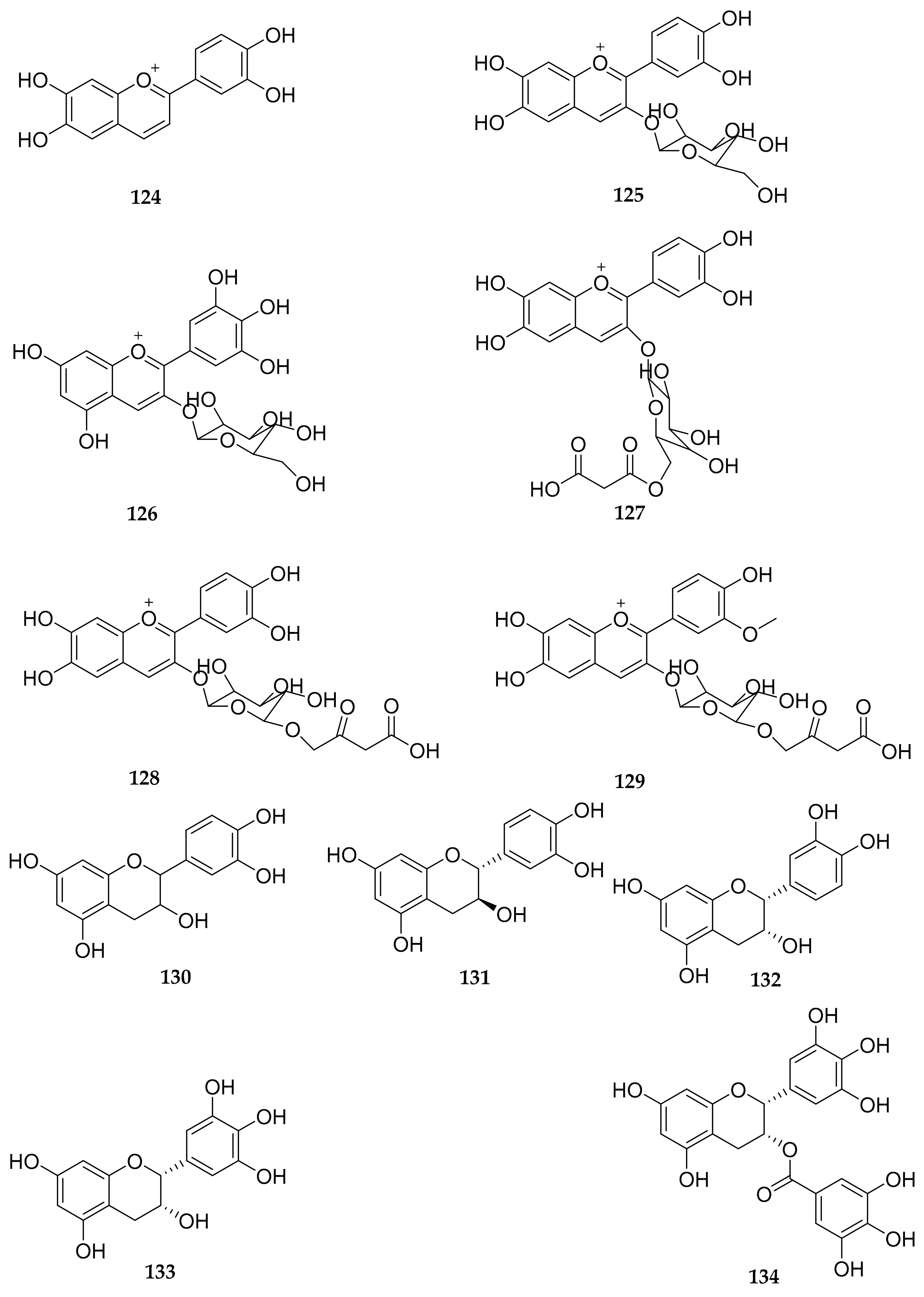
3.5. Anthocyanidins
According to the current literature reports, six anthocyanidins and their glycosides have been identified from dandelion, including the following: cyanidin (124), cyanidin-3-glucoside (125), delphinidin-3-O-glucoside (126), cyanidin-3-(6-malonyl)-glucoside (A-1) (127), cyanidin-3-(6-malonyl)-glucoside (A-2) (128), peonidin-3-(6-malonyl)-glucoside (129) (Figure 4 and Table 4). As demonstrated in Table 6, cyanidin (124) and delphinidin-3-O-glucoside (126) were identified from whole herbs of unfermented and fermented T. officinale, respectively [68]. Four anthocyanins, including cyanidin-3-glucoside (125), cyanidin-3-(6-malonyl)-glucoside (A-1) (127), cyanidin-3-(6-malonyl)-glucoside (A-2) (128) and peonidin-3-(malonyl)-glucoside (129), were identified from leaves of T. officinale through liquid chromatography electrospray ionization with high-resolution quadrupole time-of-flight mass spectrometry (LC-ESI-HR-QTOF-MS) for the first time [83].
3.6. Flavan-3-ols
The main flavan-3-ols identified from dandelion were catechin (130), (+)-catechin (131), (−)-epicatechin (132), (−)-epigallocatechin (133), and (−)-epigallocatechingallate (134) (Figure 4 and Table 4). Actually, as exhibited in Table 6, there were 10 active substances determined by using high-performance liquid chromatography (HPLC) from dandelion. The mass concentration of catechin (130) in the range of 10.0–100 µg/mL showed a good linear relationship with the peak area, with correlation coefficients not less than 0.995 and detection limits of 1.87–15.9 μg/g [44]. (+)-Catechin (131), (−)-epicatechin (132), (−)-epigallocatechin (133), and (−)-epigallocatechingallate (134) were analyzed from T. officinale and other herb teas [84].
3.7. Chalcones
There were two chalcones identified from dandelion. They were butein (135) and xanthohumol (136). As exhibited in Table 6, butein (135) and xanthohumol (136) were identified from whole herbs of fermented T. officinale by liquid chromatography electrospray ionization mass spectrometry (LC-ESI-MS/MS) [68].
3.8. Dihydrochalcones
There were three dihydrochalcones identified from dandelion. They were loureirin A (137), isoliquiritigenin (138) and phloretin (139). As illustrated in Table 6, loureirin A (137) was identified from T. kok-saghyz Rodin by ultra-high performance liquid chromatography-tandem hybrid quadrupole-electrostatic field orbitrap high resolution mass spectrometry (UHPLC-Q/Orbitrap HRMS) [55]. Isoliquiritigenin (138) was identified from whole herbs of fermented T. officinale by LC-ESI-MS/MS [68]. Phloretin (139) was isolated and characterized from fermented T. mongolicum Hand.-Mazz [73].
3.9. Isoflavones
There were 10 isoflavones identified from dandelion. They were daidzein (140), 2-hydroxyxydaidzein (141), genistein (142), glycitein (143), tectorigenin (144), iristectorigenina (145), pseudobaptigenin (146), formononetin (147), sophoricoside (148), and genistin (149). As indicated in Table 6, tectorigenin (144) and iristectorigenina (145), identified from T. kok-saghyz Rodin by UHPLC-Q/Orbitrap HRMS [55]. Daidzein (140) and 2-hydroxyxydaidzein (141) were identified from whole herbs of fermented T. officinale by LC-ESI-MS/MS [68]. Genistein (142) and glycitein (143) were identified from T. mongolicum Hand.-Mazz., produced in Gansu and Jiangsu province in China, by high performance liquid chromatography-tandem hybrid quadrupole-electrostatic field orbitrap high resolution mass spectrometry (HPLC-QTOF-MS) [69]. Genistein (142), tectorigenin (144), pseudobaptigenin (146), formononetin (147), and genistin (149) were identified from T. extractum by ultra-high performance liquid chromatography with high-resolution mass spectrometry (UHPLC-HRMS/MS) [70]. Sophoricoside (148) was identified from aerial parts of T. coreanum Nakai by ultra-liquid chromatography electrospray ionization mass spectrometry (UHPLC-ESI-MS) [79].
3.10. Xanthones
As shown in Table 6, the main xanthone mangostenone B (150) was quickly identified from dandelion extract purchased from Zeland Co., Ltd. (Nanjing, China) via ultra-high performance liquid chromatography coupled with quadrupole time of flight mass spectrometry (UPLC-QTOF MS) [78].
3.11. Biflavonoids
The main biflavonoids identified from dandelion were philonotisflavone (151), luteolin-luteolin (152), luteolin-apigenin (153), luteolin-chrysoeriol (154) and amentoflavone (155) (Figure 5 and Table 5). As manifested in Table 6, philonotisflavone (151), luteolin-luteolin (152), luteolin-apigenin (153) and luteolin-chrysoeriol (154) were quickly identified from T. officinale L. fruits by ultra-high performance liquid chromatography coupled with diode array detector, corona-charged aerosol detector, and quadrupole time of flight mass spectrometry (UHPLC-PDA-CAD-ESI-QTOF-MS/MS) [67]. Amentoflavone (155) was identified from whole herbs of T. officinale by LC-ESI-MS/MS [68].
Table 1.
Flavones identified from dandelion.
Table 1.
Flavones identified from dandelion.
| No. | Compounds | Taraxacum Species | Parts | References |
|---|---|---|---|---|
| 1 | chrysin | Taraxacum mongolicum Hand.-Mazz | whole herbs | [69] |
| 2 | 7,4′-dihydroxyflavone | fermented Taraxacum officinale | whole herbs | [68] |
| 3 | 6,2′-dihydroxyflavone | Taraxacum extractum | aerial parts | [70] |
| 4 | luteolin | Taraxacum mongolicum Hand.-Mazz | whole herbs | [26,27,33,34,43] |
| Taraxacum mongolicum Hand.-Mazz | aerial parts | [29,40] | ||
| Taraxacum mongolicum Hand.-Mazz | flowers | [45] | ||
| Taraxacum officinale aggregate | flowers and leaves | [36] | ||
| Taraxacum sinicum Kitag. | whole herbs | [38] | ||
| Neo-Taraxacum siphonathum | whole herbs | [39] | ||
| Taraxacum sect. Ruderalia | flowers and vegetative parts | [47] | ||
| Taraxacum coreanum | roots, leaves and flowers | [62] | ||
| Taraxacum ohwianum | roots, leaves and flowers | [62] | ||
| Taraxacum officinale | roots, leaves and flowers | [62] | ||
| 5 | luteolin-7-O-glucoside | Taraxacum mongolicum Hand.-Mazz | whole herbs | [26,27,35,41] |
| Taraxacum sinicum Kitag. | whole herbs | [32] | ||
| Taraxacum formosanum Kitam | whole herbs | [46] | ||
| Taraxacum officinale WEB. ex WIGG. | roots and herbs juice | [48] | ||
| Taraxacum sect. Ruderalia | flowers and vegetative parts | [47] | ||
| Taraxacum falcilobum | whole herbs | [42] | ||
| Taraxacum extractum | aerial parts | [70] | ||
| 6 | luteolin-7-O-β-D-glucoside | Taraxacum mongolicum Hand.-Mazz | whole herbs | [26,33,34,43] |
| Taraxacum mongolicum Hand.-Mazz | flowers | [45] | ||
| Taraxacum coreanum | roots, leaves and flowers | [62] | ||
| Taraxacum ohwianum | roots, leaves and flowers | [62] | ||
| Taraxacum officinale | roots, leaves and flowers | [62] | ||
| 7 | luteolin-7-O-β-D-glucopyranoside | Taraxacum mongolicum Hand.-Mazz | aerial parts | [29] |
| Neo-Taraxacum siphonathum | whole herbs | [39,59] | ||
| 8 | luteolin-7-O-β-D-(6″-acetyl)-glucopyranoside | Taraxacum officinale | leaves | [66] |
| 9 | luteolin-7-diglucoside | Taraxacum officinale aggregate | flowers and leaves | [36] |
| 10 | luteolin-7-O-β-D-galactopyranoside | Taraxacum mongolicum Hand.-Mazz | whole herbs | [26,29,31,33,43] |
| Taraxacum mongolicum Hand.-Mazz | aerial parts | [29] | ||
| 11 | luteolin-7-O-rutinoside | Taraxacum formosanum Kitam | whole herbs | [46] |
| Taraxacum officinale WEB. ex WIGG. | roots and herbs juice | [48] | ||
| Taraxacum officinale | leaves | [65] | ||
| Taraxacum sect. Ruderalia | flowers and vegetative parts | [47] | ||
| Taraxacum extractum | aerial parts | [70] | ||
| 12 | luteolin-7-O-β-D-rutinoside | Taraxacum mongolicum Hand.-Mazz | flowers | [26,45] |
| 13 | luteolin-7-O-β-D-gentiobioside | Taraxacum mongolicum Hand.-Mazz | flowers | [26,45] |
| 14 | luteolin-7-galacturonide | Taraxacum mongolicum Hand.-Mazz | whole herbs | [86] |
| 15 | luteolin-7-O-rhamnoside | Taraxacum officinale | leaves | [74] |
| 16 | lonicerin | Taraxacum mongolicum Hand.-Mazz | whole herbs | [73] |
| 17 | luteolin-6,8-di-C-glucoside | Taraxacum mongolicum Hand.-Mazz | whole herbs | [71] |
| 18 | luteolin-3′-O-β-D-glucoside | Taraxacum mongolicum Hand.-Mazz | flowers | [45] |
| 19 | luteolin-3′-O-β-D-glucopyranoside | Neo-Taraxacum siphonanthum | whole herbs | [60,61] |
| 20 | luteolin-3′,7-O-diglucoside | Taraxacum officinale | leaves | [74] |
| 21 | chrysoeriol | Taraxacum officinale aggregate | flowers and leaves | [26,36] |
| Taraxacum officinale WEB. ex WIGG. | roots and herbs juice | [48] | ||
| 22 | luteolin-4′-O-glucoside | Taraxacum officinale WEB. ex WIGG. | roots and herbs juice | [48] |
| 23 | luteolin-4′-O-β-D-glucoside | Taraxacum mongolicum Hand.-Mazz | flowers | [45] |
| 24 | luteolin-4′-O-β-D-glucopyranoside | Neo-Taraxacum siphonanthun | whole herbs | [59,60] |
| 25 | apigenin | Taraxacum sinicum Kitag. | whole herbs | [26,27,32] |
| 26 | apigenin-6-C-glucoside-7-O-glucoside | Taraxacum mongolicum Hand.-Mazz | whole herbs | [69] |
| 27 | apigenin-6,8-di-C-glucoside | Taraxacum mongolicum Hand.-Mazz | whole herbs | [69] |
| 28 | apigenin-7-O-glucoside | Taraxacum sinicum Kitag. | whole herbs | [26,27,31,32] |
| 29 | apigenin-7-O-glucuronide | Taraxacum extractum | aerial parts | [70] |
| 30 | vitexin | Taraxacum mongolicum Hand.-Mazz | whole herbs | [69] |
| Taraxacum extractum | aerial parts | [70] | ||
| 31 | isovitexin-3″-O-glucopyranoside | Taraxacum officinale | leaves | [66] |
| 32 | genkwanin | Taraxacum mongolicum Hand.-Mazz | whole herbs | [26,29,31,33,43] |
| Taraxacum mongolicum Hand.-Mazz | aerial parts | [29] | ||
| 33 | hydroxygenkwanin | Taraxacum kok-saghyz Rodin | roots and leaves | [55] |
| 34 | genkwanin-4′-O-β-D-lutinoside | Taraxacum mongolicum Hand.-Mazz | whole herbs | [26,29,31,33,43] |
| Taraxacum mongolicum Hand.-Mazz | aerial parts | [29] | ||
| Neo-Taraxacum siphonanthum | whole herbs | [60] | ||
| 35 | baicalein | Taraxacum mongolicum Hand.-Mazz | whole herbs | [52] |
| 36 | 5-hydroxy-6,7-dimethoxyflavonoid | Taraxacum kok-saghyz Rodin | aerial parts | [55] |
| 37 | hispidulin | Taraxacum kok-saghyz Rodin | aerial parts | [55] |
| Taraxacum mongolicum Hand.-Mazz | whole herbs | [73] | ||
| 38 | pedalitin | Fermented Taraxacum officinale | whole herbs | [68] |
| 39 | diosmetin | Taraxacum sinicum Kitag. | whole herbs | [26,38] |
| 40 | alquds | Taraxacum mongolicum Hand.-Mazz | aerial parts | [49] |
| 41 | nobiletin | Taraxaci Herba | roots | [54] |
| 42 | ladanein | Taraxacum officinale (L.) Weber | stems | [53] |
| 43 | 5,7,3′-trihydroxy-4′,5′-dimethoxy flavone | Taraxacum officinale F. H. Wigg | not mentioned | [64] |
| 44 | tricin | Taraxacum officinale F. H. Wigg | not mentioned | [64] |
| Taraxacum officinale L. | fruits | [67] | ||
| Taraxacum mongolicum Hand.-Mazz | whole herbs | [73] | ||
| Taraxacum extractum | aerial parts | [70] | ||
| 45 | apometzgerin | Taraxacum officinale L. | fruits | [67] |
| 46 | eupatilin | Taraxacum mongolicum | whole herbs | [71,72] |
| 47 | jaceosidin | Taraxacum mongolicum Hand.-Mazz | whole herbs | [73] |
| 48 | tangeretin | Taraxacum mongolicum Hand.-Mazz | whole herbs | [73] |
| 49 | isoetin | Taraxacum mongolicum Hand.-Mazz | whole herbs | [29,31,33,43,63] |
| aerial parts | [29] | |||
| 50 | isoetin-7-O-β-D-glucoside-2′-O-α-arabinoside | Taraxacum mongolicum Hand.-Mazz | whole herbs and aerial parts | [63] |
| 51 | isoetin-7-O-β-D-glucopyranosyl-2′-O-α-L-arabinopyranoside | Taraxacum mongolicum Hand.-Mazz | whole herbs | [31,33] |
| Taraxacum mongolicum Hand.-Mazz | aerial parts | [29,50,51] | ||
| 52 | isoetin-7-O-β-D-glucoside-2′-O-α-glucoside | Taraxacum mongolicum Hand.-Mazz | whole herbs and aerial parts | [63] |
| 53 | isoetin-7-O-β-D-glucopyranosyl-2′-O-α-D-glucopyranoside | Taraxacum mongolicum Hand.-Mazz | whole herbs | [31,33,43] |
| Taraxacum mongolicum Hand.-Mazz | aerial parts | [29,50,51] | ||
| 54 | isoetin-7-O-β-D-glucoside-2′-O-β-xyloside | Taraxacum mongolicum Hand.-Mazz | whole herbs | [63] |
| Taraxacum formosanum | aerial parts | [63] | ||
| 55 | isoetin-7-O-β-D-glucopyranosyl-2′-O-β-D-xyloypyranoside | Taraxacum mongolicum Hand.-Mazz | whole herbs | [31,33,43] |
| Taraxacum mongolicum Hand.-Mazz | aerial parts | [29,50] | ||
| 56 | homoorientin | Taraxacum mongolicum Hand.-Mazz | whole herbs | [69,73,86] |
| 57 | isoscutellarein | Taraxacum mongolicum Hand.-Mazz | whole herbs | [73] |
| 58 | tetrahydroxyflavonoe-C-rhamnosyl-glucoside | Taraxacum mongolicum Hand.-Mazz | whole herbs | [73] |
| 59 | salcolin A/B | Taraxacum officinale L. | fruits | [67] |
Note: Taraxaci Herba: The common name of dandelion in the Pharmacopoeia of the People’s Republic of China, and the accurate Latin name was not mentioned in the literature.
Table 2.
Flavonols identified from dandelion.
Table 2.
Flavonols identified from dandelion.
| No. | Compounds | Taraxacum Species | Parts | References |
|---|---|---|---|---|
| 60 | 3-hydroxyflavone | Taraxacum officinale | whole herbs | [68] |
| 61 | fisetin | Taraxacum kok-saghyz Rodin | roots and leaves | [55] |
| 62 | quercetin | Taraxacum mongolicum Hand.-Mazz | whole herbs | [26,27,29,33,34,35,41] |
| Taraxacum mongolicum Hand.-Mazz | aerial parts | [43,52] | ||
| Neo-Taraxacum siphonathum | whole herbs | [39] | ||
| Taraxacum mongolicum Hand.-Mazz | flowers | [45] | ||
| 63 | quercetin-3-O-glucoside | Taraxacum mongolicum Hand.-Mazz | whole herbs | [26,27,37] |
| Taraxacum extractum | aerial parts | [70] | ||
| 64 | quercetin-3-O-β-D-glucopyranoside | Neo-Taraxacum siphonathum | whole herbs | [39] |
| Taraxacum coreanum Nakai | aerial parts | [79] | ||
| 65 | quercetin-3-O-β-galactoside | Taraxacum mongolicum Hand.-Mazz | whole herbs | [26,27,37] |
| 66 | quercetin-3-O-arabinoside | Taraxacum officinale | leaves | [74] |
| 67 | quercetin-3-O-α-D-arabinofuranoside | Neo-Taraxacum siphonathum | whole herbs | [26,31,39] |
| Taraxacum coreanum Nakai | aerial parts | [79] | ||
| 68 | avicularin | Taraxacum mongolicum Hand.-Mazz | whole herbs | [73] |
| 69 | quercetin-3-O-α-D-arabinopyranoside | Neo-Taraxacum siphonathum | whole herbs | [26,31,39] |
| Taraxacum coreanum Nakai | aerial parts | [79] | ||
| 70 | quercetin-3-O-α-L-rhamnoside | Neo-Taraxacum siphonanthum | whole herbs | [60] |
| Taraxacum coreanum Nakai | aerial parts | [79] | ||
| 71 | quercetin-3-O-α-L-rhamnopyranoside | Taraxacum mongolicum Hand.-Mazz | whole herbs | [73] |
| 72 | myricitrin | Taraxacum officinale | whole herbs | [68] |
| 73 | myricetin | Taraxacum officinale | leaves | [66] |
| 74 | quercetin-3-O-arabinose-glucoside | Taraxacum officinale | leaves | [74] |
| Taraxacum brevicorniculatum | leaves | [77] | ||
| 75 | quercetin-3-(malonyl-glucoside)-glucoside | Taraxacum officinale | leaves | [74] |
| 76 | reynoutrin | Taraxacum mongolicum Hand.-Mazz | whole herbs | [69] |
| 77 | quercetin-3-O-(6″-acetyl-glucoside) | Taraxacum mongolicum Hand.-Mazz | whole herbs | [69] |
| 78 | quercetin-3-O-glucuronide | Taraxacum extractum | aerial parts | [70] |
| 79 | quercetin-3,7-O-β-D-diglucopyranoside | Taraxacum mongolicum Hand.-Mazz | whole herbs | [26,29,31,33,43] |
| Taraxacum mongolicum Hand.-Mazz | aerial parts | [29] | ||
| 80 | quercetin-3,4′-diglucoside | Taraxacum officinale | leaves | [74] |
| 81 | quercetin-7-O-β-D-glucoside | Taraxacum mongolicum Hand.-Mazz | flowers | [26,45] |
| 82 | quercetin-7-O-[β-D-glucopyranosyl-(1→6)-β-D-glucopyranoside] | Taraxacum mongolicum Hand.-Mazz | whole herbs | [26,29,31,33,43] |
| Taraxacum mongolicum Hand.-Mazz | aerial parts | [29] | ||
| 83 | quercetin-3′,4′,7-trimethylether | Taraxacum mongolicum Hand.-Mazz | whole herbs | [26,29,31,33,43] |
| Taraxacum mongolicum Hand.-Mazz | aerial parts | [40] | ||
| 84 | rutin | Taraxacum sinicum Kitag. | whole herbs | [26,27,31,32] |
| Taraxacum mongolicum Hand.-Mazz | whole herbs | [52] | ||
| Taraxacum extractum | aerial parts | [70] | ||
| 85 | artemetin | Taraxacum mongolicum Hand.-Mazz | whole herbs | [26,27,29,31,33,34] |
| Taraxacum mongolicum Hand.-Mazz | Aerial parts | [29] | ||
| 86 | isorhamnetin | Taraxacum mongolicum Hand.-Mazz | whole herbs | [56] |
| 87 | isorhamnetin-3-O-β-D-glucoside | Taraxacum mongolicum Hand.-Mazz | flowers | [26,45] |
| 88 | isorhamnetin-3,7-O-β-D-diglucoside | Taraxacum mongolicum Hand.-Mazz | flowers | [26,45] |
| 89 | kaempferol | Taraxaci Herba | not mentioned | [44] |
| 90 | kaempferol-3-glucoside | Taraxacum mongolicum Hand.-Mazz | whole herbs | [52] |
| 91 | kaempferol-3-O-β-D-glucopyranoside | Taraxacum officinale | leaves | [66] |
| 92 | kaempferol-3-O-rutinoside | Taraxacum mongolicum Hand.-Mazz | whole herbs | [69,73] |
| Taraxacum extractum | aerial parts | [70] | ||
| 93 | kaempferol-3-O-neohesperiidoside | Taraxacum mongolicum Hand.-Mazz | whole herbs | [73] |
| 94 | kaempferol-3-O-robinobioside | Taraxacum mongolicum Hand.-Mazz | whole herbs | [73] |
| 95 | kaempferol-3-O-rhamnoside | Taraxacum officinale | leaves | [66] |
| 96 | kaempferol-3-O-α-L-rhamnopyranoside-(1→6)-β-D-glucoside | Taraxacum mongolicum Hand.-Mazz | whole herbs | [75] |
| 97 | nicotiflorin | Taraxacum coreanum Nakai | aerial parts | [79] |
| 98 | kaempferol-3-O-glucoside-7-O-rhamnoside | Taraxacum mongolicum Hand.-Mazz | whole herbs | [73] |
| 99 | kaemperfol-3,7-diglucoside | Taraxacum officinale | leaves | [66] |
| 100 | kaempferol-3-O-β-D-glucoside-7-O-α-L-arabinofuranoside | Taraxacum officinale | leaves | [66] |
| 101 | hyperseroside | Taraxacum mongolicum Hand.-Mazz | whole herbs | [52] |
| 102 | 3,5,7,3′,4′-pentahydroxy 8-C-methyl flavone | Taraxacum officinale (L.) Weber | stems | [53] |
| 103 | 2-(3,4-dihydroxy-5-methoxyphenyl)-3,5,7-trihydroxy-6-methoxy-4H-chromen-4-one | Taraxaci Herba | not mentioned | [78] |
| 104 | gossypetin | Taraxacum bessarabicum | aerial parts | [76] |
| 105 | gossypetin-8-O-glucoside | Taraxacum mongolicum Hand.-Mazz | whole herbs | [69] |
| 106 | 3,5,7,3′,4′-pentahydroxy-8-C-methyl flavone 7-O-β-D-xylopyranosyl (1→4)-O-β-D glucopyranosyl 3′-O-α-L-rhamnopyranoside | Taraxacum officinale (L.) Weber | stems | [31,53] |
Note: Taraxaci Herba: The common name of dandelion in the Pharmacopoeia of the People’s Republic of China, and the accurate Latin name was not mentioned in the literature.
Table 3.
Flavanones and flavanonols identified from dandelion.
Table 3.
Flavanones and flavanonols identified from dandelion.
| No. | Compounds | Taraxacum Species | Parts | References |
|---|---|---|---|---|
| 107 | 5,7-dihydroxyflavanone | Taraxacum mongolicum Hand.-Mazz | whole herbs | [69] |
| 108 | naringenin | Taraxacum officinale | leaves | [81] |
| Taraxacum mongolicum | leaves | [80] | ||
| Taraxacum mongolicum Hand.-Mazz | whole herbs | [69] | ||
| Taraxacum extractum | aerial parts | [70] | ||
| 109 | naringenin-7-O-glucoside | fermented Taraxacum officinale | whole herbs | [68] |
| 110 | hesperetin | Taraxacum mongolicum Hand.-Mazz | whole herbs | [31,33,43] |
| 111 | hesperidin | Taraxacum mongolicum Hand.-Mazz | whole herbs | [26,29,31,33,43,52] |
| Taraxacum mongolicum Hand.-Mazz | aerial parts | [49] | ||
| 112 | hesperetin-7-glucuronide | Taraxacum mongolicum Hand.-Mazz | whole herbs | [52] |
| 113 | hesperetin-5′-O-β-rhamnoglucoside | Taraxacum mongolicum Hand.-Mazz | whole herbs | [52] |
| 114 | 4′,5,7-trihydroxy-3′-methoxyflavanone | Taraxacum mongolicum Hand.-Mazz | aerial parts | [29] |
| 115 | liquiritigenin | fermented Taraxacum officinale | whole herbs | [68] |
| 116 | liquiritin | fermented Taraxacum officinale | whole herbs | [68] |
| 117 | farrerol | fermented Taraxacum officinale | whole herbs | [68] |
| 118 | garbanzol | Taraxacum officinale | whole herbs | [68] |
| 119 | toxifolin | Taraxaci Herba | roots | [54] |
| Taraxacum mongolicum Hand.-Mazz | whole herbs | [73] | ||
| 120 | (2R,3R)-(+)-4′-O-methyldihydro-quercetin | Neo-Taraxacum siphonanthum | whole herbs | [60] |
| 121 | (2R,3R)-(+)-4′,7-di-O-methyldihydro-quercetin | Neo-Taraxacum siphonanthum | whole herbs | [60] |
| 122 | dihydromyricetin | Fermented Taraxacum officinale | whole herbs | [68] |
| 123 | silymarin | Taraxaci Herba | roots | [54] |
Note: Taraxaci Herba: The common name of dandelion in the Pharmacopoeia of the People’s Republic of China, and the accurate Latin name was not mentioned in the literature.
Table 4.
Anthocyanidins and flavan-3-ols identified from dandelion.
Table 4.
Anthocyanidins and flavan-3-ols identified from dandelion.
| No. | Compounds | Taraxacum Species | Parts | References |
|---|---|---|---|---|
| 124 | cyanidin | Taraxaci Herba | roots | [82] |
| fermented Taraxacum officinale | whole herbs | [68] | ||
| 125 | cyanidin-3-glucoside | Taraxacum officinale | leaves | [83] |
| Taraxacum brevicorniculatum | leaves | [77] | ||
| 126 | delphinidin-3-O-glucoside | Taraxacum officinale | whole herbs | [68] |
| 127 | cyanidin-3-(6-malonyl)-glucoside (A-1) | Taraxacum officinale | leaves | [83] |
| 128 | cyanidin-3-(6-malonyl)-glucoside (A-2) | Taraxacum officinale | leaves | [83] |
| 129 | peonidin-3-(6-malonyl)-glucoside | Taraxacum officinale | leaves | [83] |
| 130 | catechin | Taraxaci Herba | extracts | [44] |
| 131 | (+)-catechin | Taraxacum officinale | whole herbs | [84] |
| 132 | (−)-epicatechin | Taraxacum officinale | whole herbs | [84] |
| 133 | (−)-epigallocatechin | Taraxacum officinale | whole herbs | [84] |
| 134 | (−)-epigallocatechingallate | Taraxacum officinale | whole herbs | [84] |
Note: Taraxaci Herba: The common name of dandelion in the Pharmacopoeia of the People’s Republic of China, and the accurate Latin name was not mentioned in the literature.
Table 5.
Chalcones, dihydrochalcones, isoflavones, xanthones and biflavonoids identified from dandelion.
Table 5.
Chalcones, dihydrochalcones, isoflavones, xanthones and biflavonoids identified from dandelion.
| No. | Compounds | Taraxacum Species | Parts | References |
|---|---|---|---|---|
| 135 | butein | fermented Taraxacum officinale | whole herbs | [68] |
| 136 | xanthium | fermented Taraxacum officinale | whole herbs | [68] |
| 137 | loureirin A | Taraxacum kok-saghyz Rodin | roots and leaves | [55] |
| 138 | isoliquiritigenin | fermented Taraxacum officinale | whole herbs | [68] |
| 139 | phloretin | Taraxacum mongolicum Hand.-Mazz | whole herbs | [73] |
| 140 | daidzein | Taraxacum officinale | whole herbs | [68] |
| 141 | 2′-hydroxyxydaidzein | fermented Taraxacum officinale | whole herbs | [68] |
| 142 | genistein | Taraxacum mongolicum Hand.-Mazz | whole herbs | [69] |
| Taraxacum extractum | aerial parts | [70] | ||
| 143 | glycitein | Taraxacum mongolicum Hand.-Mazz | whole herbs | [69] |
| 144 | tectorigenin | Taraxacum kok-saghyz Rodin | roots and leaves | [55] |
| Taraxacum extractum | aerial parts | [70] | ||
| 145 | iristectorigenina | Taraxacum kok-saghyz Rodin | roots and leaves | [55] |
| 146 | pseudobaptigenin | Taraxacum extractum | aerial parts | [70] |
| 147 | formononetin | Taraxacum extractum | aerial parts | [70] |
| 148 | sophoricoside | Taraxacum coreanum Nakai | aerial parts | [79] |
| 149 | genistin | Taraxacum extractum | aerial parts | [70] |
| 150 | mangostenone B | Taraxaci Herba | not mentioned | [78] |
| 151 | philonotisflavone | Taraxacum officinale L. | fruits | [67] |
| 152 | luteolin-luteolin | Taraxacum officinale L. | fruits | [67] |
| 153 | luteolin-apigenin | Taraxacum officinale L. | fruits | [67] |
| 154 | luteolin-chrysoeriol | Taraxacum officinale L. | fruits | [67] |
| 155 | amentoflavone | Taraxacum officinale | whole herbs | [68] |
Note: Taraxaci Herba: The common name of dandelion in the Pharmacopoeia of the People’s Republic of China, and the accurate Latin name was not mentioned in the literature.
Table 6.
Methods used for identification or quantification of flavonoids from dandelion.
Table 6.
Methods used for identification or quantification of flavonoids from dandelion.
| No. | Compounds | Methods | Columns | Mobile Phases | Flow Rate (mL/min) | Ionization Modes | References |
|---|---|---|---|---|---|---|---|
| 1 | 62, 89, 130 | HPLC | SCION-C18 (4.6 mm × 250 mm, 0.45 μm) | A: methanol, B: 0.2% formic acid solution | 0.3~1.0 | no mass spectrometry | [44] |
| 2 | 41, 84, 119, 123 | UPLC-Q-Exactive-Orbitrap MS | Hypersil GOLD aQ (2.1 mm × 100 mm, 1.9 μm) | A: 0.1% formic acid-water, B: 0.1% formic acid-acetonitrile | 0.3 | ESI, positive and negative | [54] |
| 3 | 4, 33, 36, 37, 61, 89, 144, 145 | UHPLC-Q/Orbitrap HRMS | Waters ACQUITY BEH C18 (2.1 mm × 100 mm, 1.7 μm) | A: 0.1% formic acid-water, B: 0.1% formic acid-acetonitrile | 0.5 | APCI, positive and negative | [55] |
| 4 | 8, 31, 73, 91, 95, 99, 100 | UHPLC-QTOF-MS/MS | not mentioned | A: 0.1% formic acid water, B: 0.1% formic acid: acetonitrile | 0.8 | ESI, negative | [66] |
| 5 | 4, 5, 18, 21, 22, 25, 44, 45, 151, 152, 153, 154 | UHPLC-PDA-CAD-ESI-QTOF-MS/MS | HSS C18 (2.1 mm × 100 mm, 1.7 μm) | A: 0.1% formic acid water, B: 0.1% formic acid acetonitrile | 0.4 | ESI, positive and negative | [67] |
| 6 | 2, 35, 38, 60, 72, 84, 109, 115, 116, 117, 118, 122, 124, 126, 135, 136, 138, 140, 141, 155 | LC-ESI-MS/MS | Waters ACQUITY UPLC HSS T3 C18 (2.1 mm × 100 mm, 1.8 μm) | A: 0.04% acetic acid in water, B: 0.04% acetic acid in acetonitrile | 0.4 | ESI, positive | [68] |
| 7 | 1, 26, 27, 30, 35, 56, 76, 77, 92, 105, 107, 108, 142, 143 | HPLC-Q-TOF-MS | HPLC ODS C18 (4.6 mm × 250 mm, 5 μm) | A: acetonitrile, B: 0.1% formic acid water | 1.0 | ESI, negative | [69] |
| 8 | 3, 5, 11, 29, 30, 44, 63, 78, 84, 92, 108, 142, 144, 146, 147, 149 | UHPLC-HRMS/MS | Accucore UHPLC Column C18 (2.1 mm × 150 mm, 2.6 μm) | A: ultrapure water containing 500 µL/L formic acid (pH 2.5), B: methanol with 500 µL/L formic acid | 0.3 | ESI, negative | [70] |
| 9 | 4, 6, 13, 25, 39, 46, 62, 63, 87, 88 | HPLC-DAD-MS/MS | Agilent ZORBAX Eclipse Plus C18 (4.6 mm × 250 mm, 5 μm) | A: 0.1% formic acid water, B: methanol | 1.0 | negative | [71] |
| 10 | 16, 37, 44, 47, 48, 56, 57, 58, 68, 71, 92, 93, 94, 98, 119, 139 | UPLC-MS/MS | ACQUITY UPLC HSS T3 C18 (2.1 mm × 100 mm, 1.8 μm) | A: 0.04% acetic acid water, B: 0.04% acetic acid acetonitrile | 0.4 | not mentioned | [73] |
| 11 | 103, 150 | UPLC-QTOF MS | ACQUITY UPLC BEH C18 (2.1 mm × 100 mm, 1.7 μm) | A: 0.1% formic acid water, B: 0.1% formic acid: acetonitrile | 0.4 | ESI, positive and negative | [78] |
| 12 | 4, 6, 64, 67, 69, 70, 97, 148 | UHPLC-ESI-MS | Waters Cortex T3 (2.1 mm × 150 mm, 1.6 μm) | A: 0.1% formic acid water, B: 0.1% formic acid: acetonitrile | 0.25 | ESI, positive | [79] |
| 13 | 125, 127, 128, 129 | LC-ESI-HR-QTOF-MS | Zorbax Eclipse Plus C18 (2.1 mm × 50 mm, 1.8 μm) | A: 0.1% formic acid water, B: 0.1% formic acid acetonitrile | 0.5 | ESI, positive | [83] |
| 14 | 131, 132, 133, 134 | HPLC | Symmetry C18 (4.6 mm × 250 mm, 5 μm) | A: 50 mM ammonium phosphate monobasic (NH4H2PO4), pH 2.6; B: 80:20 (v/v) acetonitrile/50 mM pH 2.6; C: 200 mM phosphoric acid (H3PO4), pH 1.5 | 1.0 | no mass spectrometry | [84] |
| 15 | 4, 62, 64, 67, 69, 70 | HPLC-ESI-MS/MS | Zorbax SB C18 (4.6 mm × 250 mm, 5 μm) | A: methanol, B: 0.1% acetic acid solution | 1.0 | ESI, negative | [85] |
Note: HPLC: high-performance liquid chromatography; UPLC-Q-Exactive-Orbitrap MS: ultra-high-performance liquid chromatography-tandem hybrid quadrupole-electrostatic field orbitrap high resolution mass spectrometry; UHPLC-Q/Orbitrap HRMS: ultra-high-performance liquid chromatography coupled with quadrupole/Orbitrap high resolution mass spectrometry; UHPLC-QTOF-MS/MS: ultra-high-performance liquid chromatography coupled with quadrupole time of flight mass spectrometry; UHPLC-PDA-CAD-ESI-QTOF-MS/MS: ultra-high-performance liquid chromatography coupled with diode array detector, corona-charged aerosol detector, and quadrupole time of flight mass spectrometry; LC-ESI-MS/MS: liquid chromatography electrospray ionization mass spectrometry; HPLC-Q-TOF-MS: ultra-high-performance liquid chromatography coupled with quadrupole time of flight mass spectrometry; UHPLC-HRMS/MS: ultra-high-performance liquid chromatography with high-resolution mass spectrometry; HPLC-DAD-MS/MS: high-performance liquid chromatography diode array detector mass spectroscopy; UPLC-MS/MS: ultra-performance liquid chromatography-tandem mass spectrometry; UPLC-QTOF MS: ultra-high-performance liquid chromatography coupled with quadrupole time of flight mass spectrometry; UHPLC-ESI-MS: ultra-liquid chromatography electrospray ionization mass spectrometry; LC-ESI-HR-QTOF-MS: liquid chromatography electrospray ionization with high-resolution quadrupole time of flight mass spectrometry; HPLC-ESI-MS/MS: high-performance liquid chromatography electrospray ionization mass spectrometry; ESI: electrospray ionization; APCI: pressure chemical ionization source.
4. Antioxidant Activities and Mechanisms
Numerous reports show that the in vitro and in vivo antioxidant activities of flavonoids in dandelion mainly relate to flavonoid-containing dandelion extracts, and there are only a few reports on flavonoid monomer compounds [52,87,88]. As shown in Figure 6, antioxidant activities’ research primarily focused on in vitro and in vivo aspects.
Figure 6.
In vitro and in vivo antioxidant activities of flavonoids derived from dandelion. Note: DPPH: 1,1-diphenyl-2-picrylhydrazyl; ABTS: 2,2′-azinobis-(3-ethylbenzthiazoline)-6-sulfonic acid; ·OH: hydroxyl radical; O2•−: superoxide anion radical; T-AOC: total antioxidant capacity; SOD: superoxide dismutase; GSH-Px: glutathione peroxidase; CAT: catalase; GR: glutathione reductase; MDA: malondialdehyde; ASA: ascorbic acid; PC: protein carbonyl.
4.1. In Vitro Antioxidant Activities and Mechanisms
In vitro antioxidant studies are important methods for studying the antioxidant activities of dandelion flavonoids due to their low cost and ease of operation. Commonly used methods include free radical scavenging assays, ion-reducing power determinations, antioxidant assay kits, lipid peroxidation inhibition, cell experiments, and density functional theory (DFT). Free radical scavenging assays include 1,1-diphenyl-2-picrylhydrazyl (DPPH) radical scavenging assay [52], 2,2′-azinobis-(3-ethylbenzthiazoline)-6-sulfonic acid (ABTS) radical scavenging assay [15], hydroxyl radical scavenging assay and superoxide anion radical scavenging assay [89]. Ion-reducing power determinations include the reducing power assay [15] and the total ferric-reducing antioxidant power (FRAP) assay [90]. Additionally, antioxidant assay kits can be employed for the quick assessment of various antioxidant properties, including superoxide dismutase (SOD), glutathione peroxidase (GSH-Px), catalase (CAT), and total antioxidant capacity (T-AOC) [88]. In addition, lipid peroxidation inhibition capacities are also important indicators of antioxidant activities, which can prevent cells from being damaged by lipid peroxyl radicals [91]. Moreover, cell models, which more closely mimic the internal environment of organisms, are widely used to study the antioxidant activities of dandelion flavonoids [92,93]. At the same time, quantum chemical density functional theory methods can also evaluate the antioxidant activities of dandelion flavonoids and explore the structure–activity relationship between dandelion flavonoids and antioxidant activities [52]. As shown in Table 7, various in vitro antioxidant methods were typically used for comprehensively evaluating the antioxidant activities of dandelion flavonoids.
4.1.1. Free Radical Scavenging
During normal metabolism, excessive free radicals are produced due to factors, such as self-activities, emotional fluctuations, drugs, alcohol, and radiation. These free radicals can exceed the body’s scavenging capacity, leading to a dynamic imbalance between their production and elimination, causing oxidative damage, which is closely related to various diseases and aging [16,23]. Therefore, scavenging unnecessary free radicals is absolutely essential for the treatment of related diseases and anti-aging. In addition, the generation of large amounts of free radicals can cause food, feed, and cosmetics to spoil during the procedures of production, storage, transportation, and use, affecting their normal edible value and consumption function [88,94]. Hence, adding safe natural antioxidants to food, feed, or cosmetics to prevent lipid peroxidation is of great significance. Dandelion flavonoids, such as luteolin (4) and quercetin (62), can act as electron donors, effectively reducing and scavenging free radicals, demonstrating significant antioxidant activities [95].
DPPH Radical Scavenging
The DPPH radical scavenging activity is relatively extensive in the in vitro antioxidant activities of dandelion flavonoids. From stems and leaves to roots, different parts of dandelion possess various antioxidant potentials, whilst stems and leaves’ total flavonoids extracts exhibit almost 2.25-times stronger DPPH radical scavenging capacity than roots’ total flavonoids extract. In addition, it was found that their concentrations for 50% of maximal effect (EC50) values were 54.88 μg/mL and 123.50 μg/mL, respectively [96]. There is also a study showing that the DPPH scavenging rate of dandelion after solid-state fermentation with probiotics was 90.7%, which increased by 1.28-times compared with before fermentation. Simultaneously, the flavonoid content after fermentation increased by 2.74-times compared with before fermentation. Therefore, the study provided a new way to enhance the antioxidant capacity of dandelion [97]. There was a study that used the DPPH assay to study the in vitro antioxidant activities of various fractions of dandelion flower extract. It was found that dandelion flowers with different polar solvent fractions have varying degrees of antioxidant activities, with the order of effects as follows: ethyl acetate fraction > n-butanol fraction > aqueous fraction > petroleum ether fraction. The antioxidant activities were positively correlated with the contents of flavonoids [98]. A flavonoid extract of dandelion was reported to possess beneficial effects by scavenging DPPH radicals. In addition, the DPPH radical scavenging rate was 50.11% when the concentration of the flavonoid extract was 0.7 mg/mL. Meanwhile, the scavenging ability of dandelion flavonoid extract on DPPH free radicals was positively correlated with the concentration of the flavonoid extract [99]. Similarly, the total flavonoids extracted by ethanol from dandelion were reported to have good DPPH radical scavenging activity, with a concentration of 50% maximal inhibition (IC50) value of 0.8492 mg/mL [100]. According to the literature report, light intensity had an impact on the DPPH radical scavenging activities of T. mongolicum Hand.-Mazz. As the light intensity decreased, the alcohol extract of T. mongolicum Hand.-Mazz showed a trend of first increasing and then decreasing in its ability to scavenge DPPH free radicals. The DPPH scavenging ability was highest when treated with 80% light transmittance. The 20% light transmittance treatment had the lowest DPPH clearance rate, with no significant difference compared to the 40% light transmittance treatment. A correlation analysis suggested that the scavenging ability of DPPH free radicals was positively correlated with the contents of active ingredients, such as total flavonoids, total triterpenoids, total phenols, and total cholines [89]. It was also reported that 95% ethanol and subsequent water extracts of T. officinale L. Weber ex F.H. Wigg. roots collected from Northern and South Bulgaria locations possessed good antioxidant activities. In particular, subsequent water extracts from the Parvomay location demonstrated significant DPPH scavenging capacity, with a Trolox equivalent concentration 83.1 ± 3.2 mg TE/g dw (dry weight) [90]. It was found that T. Lambinonii was rich in phenolics and flavonoids, and possessed significant DPPH free radical scavenging activity, with an IC50 value of 0.083 ± 0.006 mg/mL when using the DPPH assay to study the antioxidant activities of methanol flower extracts from different species of dandelion, such as T. obovatum (Willd.) DC., T. marginellum H. Lindb., T. hispanicum H. Lindb., T. lambinonii Soest and T. lacistrum Sahlin [93]. In a certain study, it was found that the EC50 value of T. officinale (L.) Weber leaves’ extract for DPPH free radical scavenging was 207 ± 0.84 µg/mL, which showed potential in protection against sodium dichromate-induced hepatotoxicity [87]. The master’s thesis of Longfei Gao studied the effects of T. mongolicum flavonoids on the antioxidant activities of Caragana koraiensis silage by using the DPPH assay. It was found that after 60 days of C. koraiensis silage, different added amounts of T. mongolicum flavonoids significantly improved its DPPH free radical scavenging abilities. When the amount of T. mongolicum flavonoids added was 2.0%, the antioxidant activity of C. koraiensis silage was noteworthy [14]. In a study by Sun et al., total flavonoids enriched by ultrasonic-assisted extraction presented good DPPH radical scavenging capacity, with an IC50 value of 180.11 ± 7.85 μg/mL [101]. Similarly, the methanolic extract from T. officinale (IC50: 32.80 ± 9.66 μg/mL) revealed nearly 1.29- and 1.83-times higher DPPH radical scavenging activity than the acetone (IC50: 42.63 ± 5.55 μg/mL) and n-hexane extracts (IC50: 60.0 ± 8.37 μg/mL) [102]. A report indicated that the DPPH radical 50% scavenging concentrations of water extract from T. officinale and water extract formula derived from Maydis stigma, Nelumbo nucifera Gaertn and T. officinale were 0.41 ± 0.02 and 0.39 ± 0.02 mg/mL, respectively [103]. Notably, the extract of leaves from T. officinale showed nearly 3.62-times higher antioxidant potential compared to the extract of roots for DPPH radical scavenging capacity, with EC50 values of 0.37 and 1.34 mg/mL, respectively [104].
A study showed that the new type of flavonoid compound hesperetin-5′-O-β-rhamnoglucoside (113) had significant antioxidant activity, with an IC50 value of 8.72 mg/L, by using the DPPH assay to detect the antioxidant activity of flavonoids isolated from T. mongolicum Hand.-Mazz. The results showed that the DPPH radical scavenging activities’ sequence of these flavonoids was as follows: quercetin (62) (IC50 = 8.07 ± 0.67 mg/L) > hesperetin-5′-O-β-rhamnoglucoside (113) (IC50 = 8.72 ± 0.88 mg/L) > kaempferol-3-glucoside (90) (IC50 = 13.49 ± 1.02 mg/L) > baicalin (35) (IC50 = 15.5 ± 0.98 mg/L) > hesperetin-7-glucuronide (112) (IC50 = 22.1 ± 0.76 mg/L) > hyperseroside (101) IC50 = 31.39 ± 0.65 mg/L) > rutin (84) (IC50 = 31.54 ± 0.79 mg/L) [52]. Moreover, 32 compounds, including 15 flavonoids, were isolated and separated from T. mongolicum via high-performance liquid chromatography–diode array detection–radical scavenging detection–electrospray ionization mass spectrometry and nuclear magnetic resonance experiments. Among them, isoetin-7-O-β-D-glucosyranosyl-2′-O-α-D-glucopyranoside (53), isoetin-7-O-β-D-glucosyranosyl-2′-O-β-D-xyloypyranoside (55), and quercetin (62) showed strong DPPH radical scavenging activities, with IC50 values of 21.57 ± 2.53 µmol/L, 19.76 ± 2.83 µmol/L and 5.53 ± 0.76 µmol/L, respectively [29].
ABTS Radical Scavenging
From stems and leaves to roots, different parts of dandelion possess various antioxidant potentials, whilst stems and leaves’ total flavonoids extract exhibited almost 2.44-times stronger ABTS radical scavenging capacity than roots’ total flavonoids extract. In addition, it was found that their EC50 values were 229.41 μg/mL and 559.07 μg/mL, respectively [96]. Obviously, this result was consistent with the result measured by the DPPH assay. According to the literature report, light intensity had an impact on the ABTS radical scavenging activities of T. mongolicum Hand.-Mazz. As the light intensity decreased, the ability of dandelion alcohol extracts to scavenge ABTS free radicals in the natural light group was not significantly different from that of the 80% and 60% light transmittance treatments, with higher ABTS radical scavenging ability at 60% light transmittance. A correlation analysis suggested that the scavenging ability of ABTS free radicals was positively correlated with the contents of total phenols [89]. A study used the ABTS free radical scavenging rate as the detection index, with quercetin (62), luteolin (4), and rutin (84) as the research objects, to investigate the protective effects of β-lactoglobulin (β-LG) on the antioxidant activities of three flavonoids under different temperatures (25 °C, 65 °C, 75 °C, 90 °C) and natural light conditions on sunny summer days. It was found that the antioxidant activity of quercetin alone significantly decreased at 65 °C, 75 °C, and 90 °C, while the antioxidant activity of the β-LG-quercetin complex was significantly higher than that of quercetin alone at 25 °C, 65 °C, 75 °C, and 90 °C. Therefore, β-LG slowed down the decrease in the antioxidant activity of quercetin. Luteolin (4) showed no significant changes in antioxidant activity within a range of 25 °C, 65 °C, 75 °C, and 90 °C, while β-LG-luteolin showed the greatest decrease compared with luteolin (4) alone at 75 °C. The antioxidant activity of rutin (84) increased as the temperature increased, and the antioxidant activity of β-LG-rutin significantly decreased at 75 °C compared with rutin (84) alone [15]. In a study by Sun et al., total flavonoids enriched by ultrasonic-assisted extraction presented good ABTS radical scavenging capacity, with an IC50 value of 10.18 ± 1.07 μg/mL [101]. Furthermore, one report indicated that the Trolox equivalent antioxidant capacity of a water extract from T. officinale and water extract formula derived from M. stigma, N. nucifera Gaertn and T. officinale was 276.7 ± 45.8 and 454.2 ± 15.7 mM/mg, respectively [103]. Notably, the extract of leaves from T. officinale showed almost 2.38-times higher antioxidant potential compared to the extract of roots for ABTS radical scavenging capacity, with 407.5 ± 0.14 and 171.5 ± 1.01 µM TE/mg of extract, respectively [104].
Hydroxyl Radical Scavenging
The study also used the hydroxyl radical scavenging assay to study the in vitro antioxidant activities of various fractions of dandelion flower extract. It was found that dandelion flowers with different polar solvent fractions have varying degrees of antioxidant activities, with the order of effects as follows: ethyl acetate fraction > n-butanol fraction > aqueous fraction > petroleum ether fraction. The antioxidant activities were positively correlated with the contents of flavonoids [98]. Obviously, this result was consistent with the result measured by the DPPH assay. Additionally, the flavonoid extract of dandelion was reported to possess beneficial effects by scavenging hydroxyl radicals, which was similar to the effect of scavenging DPPH radicals. Namely, the hydroxyl radical scavenging rate was 59.00% when the concentration of flavonoid extract was 0.7 mg/mL. Meanwhile, the scavenging ability of dandelion flavonoid extract on hydroxyl free radicals was positively correlated with the concentration of the flavonoid extract [99]. Similarly, the total flavonoids extracted by ethanol from dandelion were reported to have good hydroxyl radical scavenging activity, with an IC50 value of 1.0717 mg/mL [100]. According to the literature report, light intensity had an impact on the hydroxyl radical scavenging activities of T. mongolicum Hand.-Mazz. The hydroxyl radical scavenging ability of dandelion alcohol extracts first increased and then decreased as the light intensity decreased, with the highest scavenging ability at a 60% light transmittance treatment, significantly higher than other treatments [89]. Moreover, a study indicated that the hydroxyl radical scavenging activity of T. mongolicum Hand.-Mazz total flavonoids was stronger than that of rutin (84), quercetin (62), and positive control vitamin E at concentrations of 1 mg/mL, 4 mg/mL, and 16 mg/mL, indicating strong reactive oxygen species (ROS) scavenging activity [92].
Superoxide Anion Radical Scavenging
The study also used the superoxide anion radical scavenging assay to study the in vitro antioxidant activities of various fractions of dandelion flower extract. It was found that dandelion flowers with different polar solvent fractions have varying degrees of antioxidant activities, with the order of effects as follows: ethyl acetate fraction > n-butanol fraction > aqueous fraction > petroleum ether fraction. The antioxidant activities were positively correlated with the contents of flavonoids [98]. Obviously, this result was consistent with the result measured by the DPPH assay and the hydroxyl radical scavenging assay. However, according to the literature report, light intensity had no impact on the superoxide anion radical scavenging activities of T. mongolicum Hand.-Mazz [89]. It was reported that T. obovatum had significant superoxide anion radical scavenging activity, with an IC50 value of 0.199 ± 0.015 mg/mL when using the superoxide anion radical scavenging assay to study the antioxidant activities of methanol flower extracts from different species of dandelion, such as T. obovatum (Willd.) DC., T. marginellum H. Lindb., T. hispanicum H. Lindb., T. lambinonii Soest and T. lacistrum Sahlin [93]. Meanwhile, a study indicated that the superoxide anion scavenging activity of T. mongolicum Hand.-Mazz total flavonoids was almost 1.54- and 2.26-times stronger than that of rutin (28) and quercetin (62), indicating strong ROS scavenging activity [92]. It was found that 1 mg of T. mongolicum Hand.-Mazz flavonoids extract was equivalent to 21.41 SOD vitality units, while 1 mg of rutin (84) was equivalent to 13.89 SOD vitality units, indicating strong in vitro superoxide anion radical scavenging abilities for both T. mongolicum Hand.-Mazz flavonoids extract and rutin (84) [105]. As reported, the hydroalcoholic extract of T. officinale exhibited notable radical scavenging ability at 830.78 µM TE/g, dw [91].
4.1.2. Ion-Reducing Power Determination
One study used iron ion-reducing power as the detection index, with quercetin (62), luteolin (4), and rutin (84) as the research objects, to investigate the protective effects of β-LG on the antioxidant activities of three flavonoids under different temperatures (25 °C, 65 °C, 75 °C, 90 °C) and natural light conditions on sunny summer days. The results were basically consistent with the results of the ABTS assay mentioned above [15]. Moreover, 95% ethanol and subsequent water extracts of T. officinale L. Weber ex F.H. Wigg. roots collected from Northern and South Bulgaria locations were proved to possess good antioxidant activities via FRAP assay. In particular, subsequent water extracts from the Parvomay location demonstrated significant iron ion-reducing power, with a Trolox equivalent concentration of 46.9 ± 1.3 mg TE/g dw [90]. Wasim Akhtar et al. found that the methanolic extract from T. officinale possessed good reducing potential and total antioxidant capacity (TAC), with values of 0.53 ± 0.02 mg/g and 19.42 ± 0.97 mg/g, respectively [102]. A report indicated that the ascorbic acid equivalent antioxidant capacities of a water extract from T. officinale and water extract formula derived from M. stigma, N. nucifera Gaertn and T. officinale were 536.1 ± 49.0 and 485.1 ± 50.9 mM/mg, respectively [103]. Notably, the extract of leaves from T. officinale showed almost 3.9-times higher antioxidant potential compared to the extract of roots for ion-reducing capacity, with 156 ± 5.28 compared to 40 ± 0.3 µg VC/mg extract, respectively [91].
4.1.3. Antioxidant Assay Kits
The master’s thesis of Longfei Gao studied the effects of T. mongolicum flavonoids on the antioxidant activity of C. korshinskii silage by using antioxidant assay kits produced by Nanjing Jiancheng Bioengineering Institute. It was found that T-AOC first decreased and then stabilized; GSH-Px activity first increased and then stabilized; and SOD activity did not fluctuate much throughout the silage process. After 60 days of silage, different amounts of T. mongolicum flavonoids significantly increased the T-AOC and GSH-Px activities of C. korshinskii silage, with significant antioxidant activity at a T. mongolicum flavonoids addition of 2.0% [14]. This result, as well as the result of the DPPH assay, indicated that different amounts of T. mongolicum flavonoids could enhance the antioxidant activities of C. korshinskii silage feed. The antioxidant activity of C. korshinskii silage was significant when the T. mongolicum flavonoids addition was 2.0%. Similarly, total flavonoids from T. mongolicum Hand.-Mazz. used as additives were proved to promote the antioxidant activities of C. korshinskii silage by testing with antioxidant assay kits produced by Nanjing Jiancheng Bioengineering Institute. It was indicated that the T-AOC, SOD, and CAT activities of the 2% T. mongolicum Hand.-Mazz. total flavonoids group were higher than those of the group without T. mongolicum Hand.-Mazz. total flavonoids and the 1% T. mongolicum Hand.-Mazz. total flavonoids group. The T-AOC and CAT activities of the 1% T. mongolicum Hand.-Mazz. total flavonoids group were higher than those of the group without T. mongolicum Hand.-Mazz. total flavonoids, and the GSH-Px activities of both the 1% and 2% T. mongolicum Hand.-Mazz. total flavonoids groups were higher than those of the group without T. mongolicum Hand.-Mazz. total flavonoids [88]. Therefore, the addition of T. mongolicum Hand.-Mazz. total flavonoids would contribute to improving the antioxidant activities of C. korshinskii silage, similar to the findings of Longfei Gao.
4.1.4. Lipid Peroxidation Inhibition
In a study by Sun et al., total flavonoids enriched from T. officinale by ultrasonic-assisted extraction presented better lipid peroxidation inhibition capacity compared with vitamin C in the β-carotene bleaching assay (CB), with inhibition rates of 55.78% and 4.30%, respectively. However, it was less efficient than BHT in both CB and ferrothiocyanate assays (FTC) [101]. As reported, the hydroalcoholic extract of T. officinale was effective in protecting liposomes from lipid peroxidation, with an IC50 value of 98.49 ± 6.67 µg/mL [91].
4.1.5. Cell Experiments
It was found that the antioxidant activities of the methanol extracts from different species of dandelion were dose-dependent by testing ROS in HepG2 cells. In addition, each species of dandelion had a different response pattern. T. obovatum, T. hispanicum and T. lacistrum could not reverse the increase in ROS concentration caused by the oxidant (H2O2) [93]. The antioxidant activities of total flavonoids in T. mongolicum Hand.-Mazz. were proved to be almost 1.04-, 1.12-, and 1.00-times stronger than that of rutin (28), quercetin (62), and vitamin E at a concentration of 4 mg/L by H2O2-induced red blood cell hemolysis experiments. Furthermore, the antioxidant activities of total flavonoids in T. mongolicum Hand.-Mazz. were proved to be slightly weaker than that of vitamin E by ultraviolet (UV)-induced red blood cell hemolysis experiments. Overall, T. mongolicum Hand.-Mazz. flavonoids showed strong ROS scavenging activities [92]. A previous study suggested that leaves and petals 50% methanol fractions of T. officinale could be a new source of natural compounds, showing cooperative activities: antioxidant, anti-platelet and anticoagulant, beneficial in the prevention and treatment of cardiovascular diseases, which are often associated with changes in hemostasis and oxidative stress [106].
4.1.6. Density Functional Theory Method
The density functional theory method can be used to study the relationships between the structures and antioxidant activities of flavonoids isolated from dandelions. It was found that the antioxidant activities were weak when the phenolic hydroxyl groups of the flavonoids were in the A-ring. The antioxidant activities were high when the phenolic hydroxyl groups were in the B-ring. Ortho-substituents in the B-ring were essential antioxidant groups for flavonoids, especially when they were substituted with phenolic hydroxyl groups. The antioxidant activities of 3-OH substitution in the C-ring were particularly important, and 3-OH glycosylations in the C-ring were not conducive to exerting antioxidant activities; the stronger the glycosylations, the worse the antioxidant activities. Therefore, the antioxidant activities were in the order of quercetin (62) (IC50: 8.07 ± 0.67 mg/L) > hesperetin-5′-O-β-rhamnoglucoside (49) (IC50: 8.72 ± 0.88 mg/L) > hesperetin-7-glucuronide (48) (IC50: 13.49 ± 1.02 mg/L). The spatial hindrance of large glycoside groups mainly played a role in shielding or hindering the 3,4-OH of the B-ring, resulting in reduced antioxidant activities. Through DFT calculations, the molecular orbital energy levels of flavonoids with strong antioxidant activities and the hydrogen extraction enthalpy of B-ring substituents were re-determined. Theoretical results were consistent with experimental results, proving that hesperetin-5′-O-β-rhamnoglucoside (49) had strong antioxidant activities, mainly due to the combined effects of different substituents in the B-ring and the enhanced hydrogen supply capacity [52].
Table 7.
In vitro antioxidant activities of flavonoids extracted from dandelion.
Table 7.
In vitro antioxidant activities of flavonoids extracted from dandelion.
| No. | Extracts/Compounds | Sources | Assays | Results | References |
|---|---|---|---|---|---|
| 1 | Dandelion flavonoids | Research office of natural drug research center, school of pharmacy, Jilin University * | DPPH, ABTS | Both total flavonoids from dandelion stems and leaves showed good antioxidant capacity with EC50 values of 54.88 μg/mL and 123.50 μg/mL for DPPH, 229.41 μg/mL and 559.07 μg/mL for ABTS. | [96] |
| 2 | Probiotic synergistic dandelion fermentation | Taraxacum mongolicum Hand.-Mazz. | DPPH | The DPPH clearance rate after fermentation was 90.7%, which was 1.28 times higher than before fermentation. | [97] |
| 3 | Dandelion flavonoids | Shanxi Guanchen Biotechnology Co., Ltd. (Xi’an, China) * | DPPH | After 60 days of silage, different amounts of dandelion flavonoids significantly increased the DPPH free radical scavenging ability of Caragana korshinshii. The antioxidant activity of Caragana korshinshii silage was the best when the addition of dandelion flavonoids was 2.0%. | [14] |
| 4 | Different fractions of dandelion flowers extracts | Taraxacum mongolicum Hand.-Mazz. | DPPH, ·OH, O2•− | Different fractions of dandelion flower extracts had different antioxidant effects, and the order was as follows: ethyl acetate fraction > n-butanol fraction > water fraction > petroleum fraction. | [98] |
| 5 | Dandelion total flavonoids | Taraxaci Herba | DPPH, ·OH | When the concentration of flavonoids extract was 0.7 mg/mL, the clearance rates of DPPH and ·OH were 50.11% and 59.00%, respectively. | [99] |
| 6 | Dandelion total flavonoids | Taraxacum mongolicum Hand.-Mazz. | DPPH, ·OH | The IC50 value of DPPH free radical and ·OH scavenging rate was 0.8492 mg/mL and 1.0717 mg/mL, respectively. | [100] |
| 7 | Dandelion total flavonoids | Taraxacum mongolicum Hand.-Mazz. | DPPH, ABTS, ·OH, O2•− | The DPPH radical scavenging ability of dandelion alcohol extract showed a trend of first increasing and then decreasing as the light intensity decreases. The scavenging ability was highest in the 80% transmittance treatment, and lowest in the 20% transmittance treatment, with no significant difference from the 40% transmittance treatment. There was no significant difference in the ability of scavenging ABTS free radicals between the natural light group and the 80% and 60% light transmittance treatments. The ability of scavenging ABTS free radicals was high under 60% light transmittance treatment. The ability of scavenging ·OH showed a trend of first increasing and then decreasing. The ability of scavenging ·OH was highest in the 60% transmittance treatment. And the ability of scavenging ·OH in the 60% transmittance treatment, which was significantly higher than other treatments. There was no significant difference in the ability of scavenging O2•− among different transmittance treatments. | [89] |
| 8 | 95% Methanol extracts from dandelion different plant parts (total flavonoids) | Taraxacum officinale F. H. Wigg. | DPPH | The antioxidant activities of the methanol extracts from all the plant parts dose-dependently increased. DPPH free radical scavenging activity was highest in flower extracts (IC50 = 624.3 mg/kg), and followed by leaves, roots, and stalks extracts. | [4,107] |
| 9 | 95% Ethanol and subsequent water extracts from dandelion roots (total flavonoids) | Taraxacum officinale L. Weber ex F.H. Wigg. | DPPH, FRAP | The subsequent water extracts of roots from the Parvomay location demonstrated the highest antioxidant activity (DPPH, 83.1 ± 3.2 mg TE/g dw; FRAP, 46.9 ± 1.3 mg TE/g dw), while water extracts from Plovdiv location showed high activity defined only by FRAP assay: 52.9 ± 0.3 mg TE/g dw. | [4,90] |
| 10 | 80% Methanol extracts (total flavonoids) | Taraxacum obovatum (Willd.) DC., Taraxacum marginellum H. Lindb., Taraxacum hispanicum H. Lindb., Taraxacum lambinonii Soest and Taraxacum lacistrum Sahlin | DPPH, O2•− | Taraxacum lambinoni had the highest total phenolic and flavonoid contents, and the strongest DPPH free radical scavenging activity, with an IC50 value of 0.083 ± 0.006 mg/mL; Taraxacum obovatum had the strongest scavenging activity for O2•−, with an IC50 value of 0.199 ± 0.015 mg/mL. | [4,93] |
| 11 | Dandelion leaf extract (total flavonoids) | Taraxacum officinale Weber | DPPH | The EC50 value for DPPH radical scavenging was 207 ± 0.84 µg/mL. | [87] |
| 12 | Dandelion flavonoids, rutin, quercetin | Taraxacum mongolicum Hand.-Mazz. | O2•−, ·OH | The activities of dandelion total flavonoids in scavenging O2•− and ·OH were stronger than that of rutin, quercetin, and positive control vitamin E. Dandelion flavonoids had strong activity in scavenging ROS. | [92] |
| 13 | Dandelion total flavonoids, rutin | Taraxacum mongolicum Hand.-Mazz. | O2•− | 1 mg flavonoid extract was equivalent to 21.41 SOD active units, and 1 mg rutin was equivalent to 13.89 SOD active units. Both dandelion flavonoid extracts and rutin had strong ability to scavenge O2•− in vitro. | [105] |
| 14 | Hesperetin-5′-O-β-rhamnoglucoside, hesperetin-7-glucuronide, kaempferol-3-glucoside, baicalein, hyperseroside | Taraxacum mongolicum Hand.-Mazz. | DPPH, DFT | The IC50 value of DPPH scavenging activity of hesperetin-5′-O-β-rhamnoglucoside was 8.72 mg/L, DPPH radical scavenging activity sequence: quercetin (8.07 ± 0.67 mg/L) > hesperetin-5′-O-β-rhamnoglucoside (8.72 ± 0.88 mg/L) > kaempferol-3-glucoside (13.49 ± 1.02 mg/L) > baicalein (15.5 ± 0.98 mg/L) > hesperetin-7-glucuronide (22.1 ± 0.76 mg/L) > hysperoside (31.39 ± 0.65 mg/L) > rutin (31.54 ± 0.79 mg/L). | [52] |
| 15 | Isoetin-7-O-β-D-glucopyranosyl-2′-O-α-D-glucopyranoside, quercetin, isoetin-7-O-β-D-glucopyranosyl- 2′-O-β-D-xyloypyranoside | Taraxacum mongolicum Hand.-Mazz. | DPPH | The IC50 values were 21.57 ± 2.53 µmol/L, 5.53 ± 0.76, and 19.76 ± 2.83 µmol/L, respectively. | [29] |
| 16 | Quercetin, luteolin, rutin | Shanghai Yuanye Biotechnology Co., Ltd. (Shanghai, China) * | ABTS, reducing power | The antioxidant activities of quercetin alone significantly decreased at 65 °C, 75 °C, and 90 °C, while the antioxidant activities of β-LG-quercetin complex was significantly higher than that of quercetin alone at 25 °C, 65 °C, 75 °C, and 90 °C. Therefore, β-LG slowed down the decrease of antioxidant activities of quercetin. Luteolin showed no significant changes in antioxidant activities within the range of 25 °C, 65 °C, 75 °C, and 90 °C, while β-LG-luteolin showed the greatest decrease compared with luteolin alone at 75 °C. The antioxidant activities of rutin increased as the temperature increasing, and the antioxidant activities of β-LG-rutin significantly decreased at 75 °C compared with rutin alone. | [15] |
| 17 | Dandelion flavonoids | Shanxi Guanchen Biotechnology Co., Ltd. * | Antioxidant assasy kits provided by Nanjing Jiancheng Bioengineering Institute | Compared with 0% dandelion flavonoids addition group, different amounts of dandelion flavonoids could improve the antioxidant activity of C. silage. During the whole silage process, T-AOC decreased first and then stabilized. The activity of GSH-Px increased first and then stabilized. SOD activity didn’t change much during the whole silage process. After 60 days of silage, different amounts of dandelion flavonoids significantly increased the T-AOC and GSH-Px activity of Caragana korshinshii silage. The T-AOC of 2.0% dandelion flavonoids addition group was the highest (2.90 mmol/g), and the SOD activity of 2.0% dandelion flavonoids addition group was significantly higher than that of 0% dandelion flavonoids addition group. The antioxidant of Caragana korshinshii silage was the best when the addition of dandelion flavonoids was 2.0%. | [14] |
| 18 | Dandelion total flavonoids | Shanxi Guanchen Biotechnology Co., Ltd. * | Antioxidant assay kits provided by Nanjing Jiancheng Bioengineering Institute (Nanjing, China) | After 60 days of Caragana korshinshii silage, the T-AOC, SOD, and CAT activities of 2% dandelion flavonoids addition group were higher than that of 0% dandelion flavonoids addition group and 1% dandelion flavonoids addition group, and the T-AOC and CAT activities of 1% dandelion flavonoids addition group were higher than that of 0% dandelion flavonoids addition group. The GSH-Px activities of 1% dandelion flavonoids addition group and 2% dandelion flavonoids addition group were higher than that of 0% dandelion flavonoids addition group. | [88] |
| 19 | 80% Methanol extracts (total flavonoids) | Taraxacum obovatum (Willd.) DC., Taraxacum marginellum H. Lindb., Taraxacum hispanicum H. Lindb., Taraxacum lambinonii Soest and Taraxacum lacistrum Sahlin | ROS measurement in HepG2 cells | The antioxidant activities of 5 dandelion extracts were dose-dependent. The response patterns were different for each species, three of them being unable to reverse the ROS concentration increase generated by the oxidizing agent (H2O2): Taraxacum obovatum, Taraxacum hispanicum and Taraxacum lacistrum. Taraxacum marginellum was the most efficient extract reducing intracellular ROS levels. | [4,93] |
| 20 | Dandelion, rutin, quercetin | Taraxacum mongolicum Hand.-Mazz. | H2O2 and UV induced hemolysis test | The activity of dandelion total flavonoids in H2O2 induced hemolysis test was stronger than that of rutin, quercetin, and positive control vitamin E. The activity of dandelion total flavonoids in UV induced hemolysis test slightly weaker than that of positive control vitamin E. Dandelion flavonoids had strong activity in scavenging ROS. | [92] |
| 21 | Total flavonoids (TOFs) | Taraxacum officinale | DPPH, ABTS, CB, FTC | In the DPPH assay, the IC50 values of TOFs, BHT, and vitamin C were 180.11 ± 7.85, 69.13 ± 4.32, and 77.98 ± 3.68 μg/mL, respectively. In the ABTS assay, the IC50 values of TOFs, BHT, and vitamin C were 10.18 ± 1.07, 2.02 ± 0.18, and 1.92 ± 0.04 μg/mL, respectively. In the CB assay, the lipid peroxidation inhibitions of TOFs, BHT, and vitamin C were 55.78%, 96.37%, and 4.30%, respectively. In the FTC assay, TOFs presented a strong antioxidant activity, but it was less efficient than BHT. | [101] |
| 22 | 70% Ethanol extracts | Taraxacum officinale | O2•−, TBA | The hydroalcoholic extract of T. officinale exhibited the most effective radical scavenging ability at 830.78 µM TE/g, dw. And it was effective in protecting liposomes from lipid peroxidation with the IC50 value of 98.49 ± 6.67 µg/mL. | [91] |
| 23 | Methanolic extract | Taraxacum offcinale (L.) | DPPH, TRP, TAC | The methanolic extract revealed the highest DPPH activity (IC50, 32.80 ± 9.66 µg/mL), reducing potential (0.53 ± 0.02 mg/g), and TAC (19.42 ± 0.97 mg/g) as compared to the acetone and n-hexane extracts. | [102] |
| 24 | Water extract formula (WEF) derived from three TCM herbs | Taraxacum officinale | DPPH, ABTS, FRAP | In the DPPH assay, the IC50 values of water extract from T. officinale and WEF were 0.41 ± 0.02 and 0.39 ± 0.02 mg/mL, respectively. In the ABTS assay, Trolox equivalent antioxidant capacities of water extract from T. officinale and WEF were 276.7 ± 45.8 and 454.2 ± 15.7 mM/mg, respectively. In the FRAP assay, ascorbic acid equivalent antioxidant capacities of water extract from T. officinale and WEF were 536.1 ± 49.0 and 485.1 ± 50.9 mM/mg, respectively. | [103] |
| 25 | 70% Ethanol extracts | Taraxacum officinale | DPPH, ABTS, FRAP | The extract of leaves showed higher antioxidant potential compared to the extract of roots for all parameters measured. The extract of leaves possessed a significantly (p < 0.01) higher DPPH (EC50 0.37 compared to 1.34 mg/mL), ABTS (407.5 ± 0.14 compared to 171.5 ± 1.01 µM TE/mg of extract) and FRAP (156 ± 5.28 compared to 40 ± 0.3 µg VC/mg extract) capacities than the extract of roots. | [104] |
| 26 | Methanol extracts | Taraxacum officinale | TBA, O2•− | Leaves and petals 50% methanol fractions could be a new source of natural compounds showing cooperative activities: antioxidant, anti-platelet and anticoagulant, beneficial in the prevention and treatment of cardiovascular diseases, which are often associated with changes of hemostasis and oxidative stress. | [106] |
Note: DPPH: 1,1-diphenyl-2-picrylhydrazyl; ABTS: 2,2′-azinobis-(3-ethylbenzthiazoline)-6-sulfonic acid; FRAP: total ferric-reducing antioxidant power;·OH: hydroxyl radical; O2•−: superoxide anion radical; CB: β-carotene bleaching assay; FTC: ferrothiocyanate assay; TBA: thiobarbituric acid assay; EC50: concentration for 50% of maximal effect; IC50: concentration for 50% of maximal inhibition; BHT: butylated hydroxytoluene; T-AOC: total antioxidant capacity; SOD: superoxide dismutase; GSH-Px: glutathione peroxidase; CAT: catalase; ROS: reactive oxygen species; UV: ultraviolet; dw: dry weight; H2O2: hydrogen peroxide; TE: Trolox; VC: ascorbic acid; Taraxaci Herba: the common name of dandelion in the Pharmacopoeia of the People’s Republic of China, and the accurate Latin name was not mentioned in the literature; *: extracts or compounds were acquired from elsewhere rather than experiments in the literature.
4.2. In Vivo Antioxidant Activities and Mechanisms
In vitro antioxidant activities’ studies of dandelion flavonoids have the advantages of low cost and easy operation, and the digestion, absorption, and metabolism of dandelion flavonoids by the body during normal metabolism, which introduce certain partialities and uncertainties. Therefore, it is necessary to further combine in vivo antioxidant activities’ studies to accurately evaluate their antioxidant activities. As shown in Table 8, in vivo antioxidant activities’ studies of dandelion flavonoids typically use representative animal models. The main animal models reported in the literature for in vivo antioxidant activities’ studies of dandelion flavonoids mainly include mouse models of chronic obstructive pulmonary disease (COPD) induced by tobacco smoke [96], mouse models of aging induced by D-galactose [108], rat models of liver injury induced by carbon tetrachloride (CCl4) [109], rat models of liver injury induced by sodium dichromate [87], lipopolysaccharide (LPS)-induced inflammation models in Channa argus [110], etc.
4.2.1. Regulating mRNA Levels of Antioxidant Genes to Improve Antioxidant Capacity
In previous studies, dandelion flavonoids were proved to significantly increase the activities of SOD, GSH-Px, and T-AOC in mouse serum and liver tissue, reduce the content of malondialdehyde (MDA), and upregulate the mRNA expression of SOD-1, SOD-2, GPX-1, GPX-4 mRNA. Dandelion flavonoids could improve the antioxidant capacities of mice and have anti-aging effects [111]. A study also reported that dandelion total flavonoid extracts could upregulate the mRNA levels of antioxidant genes (Nrf2 and SOD1), regulate the expression levels of proteins related to the Nrf2 signaling pathway, and play a protective role in COPD induced by cigarette smoke by regulating the Nrf2 antioxidant signaling pathway [96]. According to literature reports, adding 50 mg/kg or 100 mg/kg T. mongolicum flavonoids to the diet could significantly increase T-AOC, CAT, and ascorbic acid (ASA) levels in the intestine of LPS-induced C. argus, as well as T-AOC, SOD, CAT, GSH-Px, glutathione reductase (GR), and ASA levels in the liver and pancreas, significantly reducing MDA and protein carbonyl (PC) levels. Adding 100 mg/kg T. mongolicum flavonoids to the diet could significantly upregulate the expression of antioxidant-related genes (nrf2, gpx, gst, cat) and heat shock proteins (hsp70, hsp90). T. mongolicum flavonoids could protect C. argus from LPS-induced inflammatory damage, improve antioxidant status, and suggest that T. mongolicum flavonoids can be added as an antioxidant to aquatic animal feed [110].
Table 8.
In vivo antioxidant activities of flavonoids extracted from dandelion.
Table 8.
In vivo antioxidant activities of flavonoids extracted from dandelion.
| No. | Extracts/Compounds | Sources | Experimental Subjects | Results | References |
|---|---|---|---|---|---|
| 1 | 95% Dandelion flavonoids | Nanjing Daosifu Biotechnology Co., Ltd. (Nanjing, China) * | 5-Week-old SPF ICR male mice | Dandelion flavonoids could make the activities of SOD, GSH-Px, and T-AOC in mouse serum and liver tissue significantly increased, the content of MDA reduced significantly and the expression of SOD-1, SOD-2, GPX-1, GPX-4 mRNA increased significantly. Dandelion flavonoids could improve the antioxidant capacity of mice and had anti-aging effects. | [111] |
| 2 | Dandelion flavonoids extracts | Research office of natural drug research center, school of pharmacy, Jilin university * | COPD induced by cigarette smoke (female SPF-grade BALB/c mice) | Dandelion total flavonoids could upregulate the mRNA levels of antioxidant genes (Nrf2 and SOD1), could regulate the expression levels of proteins related to the Nrf2 signaling pathway, might play a protective role in COPD induced by cigarette smoke by regulating Nrf2 antioxidant signaling pathway. | [96] |
| 3 | Anti-aging dandelion health product composition (include dandelion flavonoids) | Jiangsu Yichao Biotechnology Co., Ltd. (Huaian, China) * | Aging mice caused by D-galactose | The active ingredient composition of the health product could significantly reduce the content of MDA in aging mice caused by D-galactose, and could significantly improve the activities of CAT, SOD, T-AOC, GSH-Px enzymes in serum and brain tissue of aging mice. The health product composition could be used as anti-aging drugs or anti-aging health products. | [108] |
| 4 | Dandelion total flavonoids | Xian Aoruite Biotechnology Co., Ltd. (Xi’an, China) * | CCl4 induced liver injury in Wistar rats | Dandelion total flavonoids could increase the levels of SOD and GSH-Px, and reduce the levels of MDA in rat liver tissue, and improve pathological damage in rat liver tissue. | [109] |
| 5 | Dandelion leaf extracts (total flavonoids) | Taraxacum officinale Weber | Sodium dichromate-induced liver injury in rats | The levels of SOD, CAT, GSH-Px in the liver of sodium dichromate-induced liver injury rats increased after adding dandelion leaf extract, while the levels of MDA significantly decreased. | [87] |
| 6 | Dandelion flavonoids | Shanxi Jinkangtai Biotechnology Co., Ltd. (Xixianxinqu, China) * | LPS-induced Channa argus | Adding 50 mg/kg or 100 mg/kg dandelion flavonoids to the diet could significantly increase T-AOC, CAT, and ASA levels in the intestine of LPS induced C. argus, as well as T-AOC, SOD, CAT, GSH-Px, GR, and ASA levels in the liver and pancreas, and significantly reduce MDA and PC levels. Adding 100 mg/kg dandelion flavonoids to the diet could significantly upregulate the expression of antioxidant related genes (nrf2, gpx, gst, cat) and heat shock proteins (hsp70, hsp90). Dandelion flavonoids could protect C. argus from lipopolysaccharide induced inflammatory damage, improve antioxidant status, and suggest that dandelion flavonoids can be added as an antioxidant to aquatic animal feed. | [110] |
| 7 | Dandelion extract (polysaccharides 5.09%, flavonoids 2.15%) | A certain biotechnology company (batch number: BWPGY20210907) * | Male Kebao-500 broilers | The activity of GSH-Px in 21-day-old broilers treated with dandelion extract significantly increased. Adding 0.1% dandelion extract alone to the diet could enhance the immune function, improve antioxidant capacity, and thus improve growth performance of broilers. Moreover, the simultaneous addition of danshen extract and dandelion extract was more effective than adding them alone. | [112] |
| 8 | Water extract formula (WEF) derived from three TCM herbs | Taraxacum officinale | CCl4 induced hepatic damage in rats | The animal experiments revealed that the WEF administration could lower MDA and GSH levels, and reform or resume SOD content as well as improve GSH-Px, GR and CAT activities in CCl4 induced rats. | [103] |
| 9 | 70% Ethanol extracts | Taraxacum officinale | Nω-nitro-L-arginine methyl ester induced hypertensive rats | The extract of leaves and the extract of roots significantly reduced MDA levels in targets organs. | [104] |
Note: SPF: specific pathogen free; ICR: institute of cancer research; LPS: lipopolysaccharide; COPD: chronic obstructive pulmonary disease; T-AOC: total antioxidant capacity; SOD: superoxide dismutase; GSH: glutathione; GSH-Px: glutathione peroxidase; GR: glutathione reductase; CAT: catalase; MDA: malondialdehyde; ASA: ascorbic acid; PC: protein carbonyl; *: extracts or compounds were acquired from elsewhere rather than experiments in the literature.
4.2.2. Regulating Antioxidant Enzyme Activities to Improve Antioxidant Capacity
In the literature, the active ingredient composition of the health product, which included effective components extracted from dandelion, chicory root, and perilla leaf, could significantly reduce the content of MDA in aging mice caused by D-galactose and could significantly improve the activities of CAT, SOD, T-AOC, GSH-Px enzymes in the serum and brain tissue of aging mice. The health product composition was proved to be used as anti-aging drugs or anti-aging health products [108]. Dandelion total flavonoids were proved to increase the levels of SOD and GSH-Px, reduce the levels of MDA in rat liver tissue, and improve pathological damage in rat liver tissue [109]. In a certain study, it was indicated that the levels of SOD, CAT, and GSH-Px in the liver of sodium dichromate-induced liver injury rats increased after adding dandelion leaf extract, while the levels of MDA significantly decreased. Dandelion leaf extract showed potential in the protection against sodium dichromate-induced hepatotoxicity, which was consistent with the results of the DPPH assay [87]. As shown in the literature, the activity of GSH-Px in 21-day-old broilers treated with dandelion extract significantly increased. Adding 0.1% dandelion extract alone to the diet could enhance the immune function, improve antioxidant capacity, and, thus, improve the growth performance of broilers. Moreover, the simultaneous addition of Danshen extract and Dandelion extract was more effective than adding them alone [112]. The animal experiments revealed that the water extract formula derived from M. stigma, N. nucifera Gaertn and T. officinale administration could lower MDA and GSH levels and reform or resume SOD content as well as improve GSH-Px, GR and CAT activities in CCl4-induced rats [103]. The study found that the extract of leaves and the extract of roots from T. officinale significantly reduced MDA levels in targets organs [104].
5. Potential Application
As a well-known traditional Chinese medicine, dandelion encompasses a diverse range of functional flavonoids. Numerous domestic and international reports have unveiled the remarkable antioxidant effects of flavonoid-containing dandelion extracts and pure flavonoids derived from dandelion. As shown in Table 9, these findings supplied a solid foundation for the potential application of dandelion in the fields of medicine [28,64,66,70,78,80,81,87,96,102,103,104,106,108,109], functional foods and drinks [15,68,90], feeds [3,12,14,73,88,110,112], and cosmetics [13].
Table 9.
Potential application related to dandelion flavonoids and their antioxidant activities.
Table 9.
Potential application related to dandelion flavonoids and their antioxidant activities.
| No. | Flavonoids-Containing Extracts | Major Flavonoids Identified from Extracts | Potential Application | Effects | References |
|---|---|---|---|---|---|
| 1 | 50% ethanol extract of dandelion | 4, 6, 12, 62, 87, 111 | medicine | anticancer | [28] |
| 2 | dandelion extract | 103, 150 | medicine | anticancer | [78] |
| 3 | not mentioned | 4, 21, 43, 44 | medicine | α-glucosidase inhibitory | [64] |
| 4 | 60% hydroethanolic extract of dandelion | 8, 31, 73, 91, 95, 99, 100 | medicine | antioxidant, anti-obesity | [66] |
| 5 | dandelion extract | 3, 5, 11, 29, 30, 44, 63, 78, 84, 92, 108, 142, 144, 146, 147, 149 | medicine | antioxidant, hepatoprotective | [70] |
| 6 | hydro-methanolic extract of dandelion | 49, 89, 108, 111 | medicine | antimicrobial | [80] |
| 7 | hydromethanolic extract of dandelion | 49, 89, 108, 111 | medicine | antidepressant | [81] |
| 8 | dandelion leaf extract | not mentioned | medicine | hepatoprotective | [87] |
| 9 | total flavonoids from dandelion | 4, 6, 12, 21, 28, 62, 83, 84 | medicine | antioxidant | [96] |
| 10 | dandelion methanolic extract | not mentioned | medicine | antioxidant, cytotoxic, and phytotoxic | [102] |
| 11 | formula derived from Maydis stigma, Nelumbo nucifera and dandelion | not mentioned | medicine | antioxidant and hepatoprotective | [103] |
| 12 | dandelion leaf extract | not mentioned | medicine | antioxidant | [104] |
| 13 | dandelion leaves and petals 50% methanol fractions | not mentioned | medicine | antioxidant and anticoagulant | [106] |
| 14 | anti-aging dandelion health product | not mentioned | drug or health product | anti-aging | [108] |
| 15 | dandelion flavonoids | not mentioned | medicine | hepatoprotective | [109] |
| 16 | dandelion fermented stock solution | 4, 62, 84 | beverage | antioxidant | [15] |
| 17 | crude extract from dandelion and fermented dandelion | 2, 35, 38, 60, 72, 84, 109, 115, 116, 117, 118, 122, 124, 126, 135, 136, 138, 140, 141, 155 | food additive | antioxidant | [68] |
| 18 | 95% ethanol and subsequent water extracts from dandelion roots | not mentioned | food additive | antioxidant | [90] |
| 19 | dandelion water extract added in basic feed | not mentioned | feed | increase milk production, milk protein content, and milk fat content in cows, reduce somatic cell count in milk, increase fecal microbial diversity and relative abundance, and positively regulate the body’s antioxidant capacity and immune function | [3] |
| 20 | dandelion grass powder added in basic feed | not mentioned | feed | reduce the incidence rate and mortality of broilers | [12] |
| 21 | dandelion flavonoids added in basic feed | not mentioned | feed | antioxidant, enhance the immune function and improve growth performance of broilers | [112] |
| 22 | dandelion flavonoids add in Caragana korshinskii silage | not mentioned | feed | antioxidant, improve nutritional and quality and fermentation quality, optimize the microbial community structure, promote the growth of beneficial bacteria, and inhibit the growth of bad bacteria | [14] |
| 23 | 2% total flavonoids from dandelion | not mentioned | feed | promote the fermentation quality and antioxidant activity of Caragana korshinskii Kom. silage | [88] |
| 24 | flavonoids from fermented dandelion | 16, 37, 44, 47, 48, 56, 57, 58, 68, 71, 92, 93, 94, 98, 119, 139 | feed additive | antioxidant | [73] |
| 25 | dandelion flavonoids | not mentioned | feed additive | antioxidant, anti-inflammatory | [110] |
| 26 | complexes of dandelion extract and Salvia miltiorrhiza volatile oil | not mentioned | cosmetic | antioxidant, antibacterial, no obvious cytotoxicity, better skin permeability | [13] |
5.1. Potential Application in Medicine
The literature shows that flavonoid-containing dandelion extracts or pure flavonoids derived from dandelion possess significant antioxidant activities and could be potentially used as antitumor [28,78], hypoglycemic [64], hypolipidemic [66], hepatoprotective [70,87,103,109], antihypertensive [104], anticoagulant [106], anti-aging [108], antibacterial [80], and antidepressant drugs or health products [81].
One study showed that a 50% ethanol extract of T. mongolicum, which was rich in flavonoids, such as luteolin (4), luteolin-7-O-β-D-glucoside (6), luteolin-7-O-β-D-rutinoside (12), quercetin (62), isorhamnetin-3-O-β-D-glucoside (87), and hesperidin (111), possessed the possible therapeutic potential for triple-negative breast cancer by inducing G2/M phase arrest and activating apoptosis in MDA-MB-231 cells through ER stress [28]. It was not unique; other research results concluded that dandelion extract, which was identified as containing 2-(3,4-dihydroxy-5-methoxyphenyl)-3,5,7-trihydroxy-6-methoxy-4H-chromen-4-one (103) and mangostenone B (150), might exert anticancer activity by inducing A549 cell death with complex mechanisms [78]. There was also a study that found luteolin (4), chrysoeriol (21), 5,7,3′-trihydroxy-4′,5′-dimethoxy flavone (43), and tricin (44) isolated from T. officinale displayed outstanding α-glucosidase inhibitory activities as potential novel potent α-glucosidase inhibitors, with IC50 values of 39.8 ± 4.2 μM, 155.9 ± 3.2 μM, 154.1 ± 2.5 μM, and 161.6 ± 2.2 μM, respectively [64]. There was also a study that presented a 60% hydroethanolic extract of T. officinale as a potential source of antioxidant and anti-obesity ingredients. Flavonoids identified from a 60% hydroethanolic extract of T. officinale, such as luteolin-7-O-β-D-(6″-acetyl)-glucopyranoside (8), isovitexin-3″-O-glucopyranoside (31), myricetin (73), kaempferol-3-O-β-D-glucopyranoside (91), kaempferol-3-O-rhamnoside (95), kaemperfol-3,7-diglucoside (99), and kaempferol-3-O-β-D-glucoside-7-O-α-L-arabinofuranoside (100), showed considerable binding affinity with pancreatic lipase [66]. Additionally, Taraxaci extractum extract, which was identified as containing 6,2′-dihydroxyflavone (3), luteolin-7-O-glucoside (5), luteolin-7-O-rutinose (11), apigenin-7-O-glucuronide (29), vitexin (30), tricin (44), quercetin-3-O-glucoside (63), quercetin-3-O-glucuronide (78), rutin (84), kaempferol-3-O-rutinoside (92), naringenin (108), genistein (142), tectorigenin (144), pseudobaptigenin (146), formononetin (147), and genistin (149), exerted antioxidant and hepatoprotective properties to prevent oxidative damage and inflammation in human liver cells [70]. Similarly, there were also findings powerfully supporting the fact that the T. officinale leaf extract was effective in the protection against liver injury in rats [87]. In addition, the formula derived from Maydis stigma, Nelumbo nucifera, and T. officinale showed antioxidant and hepatoprotective effects on liver damage [103]. There was a study concluding that dandelion flavonoids showed a certain protective effect in the early stage of liver injury [109]. Containing luteolin (4), luteolin-7-O-β-D-glucoside (6), luteolin-7-O-β-D-rutinoside (12), luteolin-3′-methyl ether (21), apigenin-7-O-glucoside (28), quercetin (62), quercetin-3′,4′,7-trimethyl ether (83), and rutin (84), total flavonoids from dandelion were found to regulate the Nrf2 antioxidant signaling pathway to play a protective role in chronic obstructive pulmonary disease [96]. What’s more, the T. officinale methanolic extract exhibited efficiency on antioxidant, cytotoxic, and phytotoxic potential [102]. In another study, the T. officinale leaf extract possessed antioxidant protection against hypertensive rats [104]. Notably, T. officinale leaves and petals’ 50% methanol fraction was proven to possess antioxidant and anticoagulant activity, which had potential in the treatment of cardiovascular diseases [106]. Furthermore, an anti-aging dandelion health product composition prepared with dandelion, chicory root, and perilla leaf was demonstrated to show significant antioxidant activity, indicating that dandelion could be used in anti-aging drugs or anti-aging health products [108]. Moreover, the hydro-methanolic extract of T. mongolicum, which was rich in flavonoids, such as isoetin (49), kaempferol (89), naringenin (108), and hesperidin (111), and phenolic compounds exhibited significant antimicrobial activity against respiratory tract bacterial strains [80]. In addition, a hydromethanolic extract of T. officinale exerted antidepressant effects by inhibiting corticosterone levels and modulating the expression of mitogen-activated protein kinase phosphatase-1 and brain-derived neurotrophic factor. In addition, the bioactive flavonoids, which were potentially responsible for the antidepressant effects of T. officinale hydromethanolic extract, were identified as isoetin (49), kaempferol (89), naringenin (108), and hesperidin (111) [81].
5.2. Potential Application in Functional Foods
Studies have shown that flavonoid-containing dandelion extracts or pure flavonoids derived from dandelion possessed significant antioxidant activities and could be potentially used to produce a dandelion fermented beverage [15] and food additive [68,90].
Based on the antioxidant activities of luteolin (4), quercetin (62), and rutin (84) derived from dandelion, a kind of fermented dandelion beverage, which was beneficial to human health, was finally obtained [15]. In particular, flavonoids, such as 7,4′-dihydroxyflavone (2), baicalein (35), pedalitin (38), 3-hydroxyflavone (60), myricitrin (72), rutin (84), naringenin-7-O-glucoside (109), liquiritigenin (115), liquiritin (116), farrerol (117), garbanzol (118), dihydromyricetin (122), cyanidin (124), delphinidin-3-O-glucoside (126), butein (135), xanthohumol (136), isoliquiritigenin (138), daidzein (140), 2-hydroxyxydaidzein (141), and amentoflavone (155), were different between dandelion and fermented dandelion. Furthermore, solid-state fermentation could effectively enhance the content of dandelion flavonoids and their antioxidant capacities. In addition, a crude extract from fermented dandelion displayed significant antioxidant activity, which could be applied as an antioxidant and functional food additive [68]. Moreover, 95% ethanol and subsequent water extracts from T. officinale roots showed significant antioxidant activities, which demonstrated that the T. officinale root is valuable for use as natural antioxidants in foods [90].
5.3. Potential Application in Feed
Previous experiments have shown that flavonoid-containing dandelion extracts or pure flavonoids derived from dandelion possessed significant antioxidant activities and could be potentially added to feed [3,12,14,73,88,110,112]. It was found that adding dandelion water extract in basic feed could increase milk production, milk protein rate, and milk fat rate in cows; reduce somatic cell count in milk; increase fecal microbial diversity and relative abundance; and positively regulate the body’s antioxidant capacity and immune function [3]. A study also indicated that the addition of dandelion powder to basic feed could reduce the incidence rate and mortality of broilers [12]. Additionally, the addition of dandelion flavonoids to basic feed could improve the antioxidant properties and immunity of broilers [112]. A study indicated that the addition of dandelion powder to basic feed could reduce the incidence rate and mortality of broilers [112]. Moreover, it was also found that different amounts of dandelion flavonoids could improve the antioxidant activity, nutritional quality, fermentation quality, microbial community structure, and the growth of beneficial bacteria of C. korshinskii silage [14]. Furthermore, C. korshinskii silage ensiled with 2% total flavonoids from T. mongolicum Hand.-Mazz add was proven to possess good fermentation quality and antioxidant activity [88]. In addition, a study found that major flavonoids from fermented dandelion, including lonicerin (16), hispidulin (37), tricin (44), jaceosidin (47), tangeretin (48), homoorientin (56), isoscutellarein (57), tetrahydroxyflavonoe-C-rhamnosyl-glucoside (58), avicularin (68), quercetin-3-O-α-L-rhamnopyranoside (71), kaempferol-3-O-rutinoside (92), kaempferol-3-O-neohesperiidoside (93), kaempferol-3-O-robinobioside (94), kaempferol-3-O-glucoside-7-O-rhamnoside (98), toxifolin (119), and phloretin (139), displayed superior potential as a natural antioxidant in animal husbandry for its good antioxidant activity [73]. One report elucidated that the dietary supplementation of T. mongolicum flavonoids was proven to possess significant anti-inflammatory and antioxidant activities [110].
5.4. Potential Application in Cosmetics
In addition, the complexes of Salvia miltiorrhiza volatile oil and dandelion extract showed synergistic antioxidant and antibacterial effects, illustrating great potential in cosmetics [13].
6. Conclusions and Prospects
In conclusion, dandelion has broad application prospects in the fields of pharmaceuticals, foods, health products, daily chemicals, and feed additives, but current correlational research on dandelion antioxidant activities, bioactive constituents, and underlying mechanisms still needs improvement. Firstly, research on the flavonoids of dandelion is not systematic and comprehensive enough. Currently, only over 150 types of flavonoids are identified from dandelion, requiring further exploration. Secondly, most current studies on the antioxidant activities of dandelion flavonoids are limited to crude extracts or dandelion total flavonoids, and there is a lack of research on the antioxidant activities and mechanisms of action of flavonoids. Therefore, research on the antioxidant activities of flavonoids extracted and isolated from other plants can provide a reference for the study of the antioxidant activities and mechanisms of action of dandelion flavonoids. Thirdly, in vitro antioxidant activities’ studies of dandelion flavonoids exhibit certain partialities and inaccuracies. Even combining various in vitro antioxidant activities cannot accurately reflect the actual utilization value of dandelion flavonoids. The digestion, absorption, distribution, metabolism, and bioavailability of dandelion flavonoids affect their antioxidant activities and require further in-depth research. Moreover, in cellular or in vivo antioxidant activity studies of dandelion flavonoids, there are reports on the regulation of mRNA levels of antioxidant genes and the activity of antioxidant enzymes by dandelion flavonoids. However, specific regulatory mechanisms, such as whether dandelion flavonoids regulate gene expression through transcription factors or directly interact with nucleic acids and the cross-effects of dandelion flavonoids among various cellular pathways in oxidative stress, have not been fully elucidated. Finally, there are relatively few studies on the structure–activity relationships of the antioxidant activities of dandelion flavonoids, and most existing studies focus on the ability to scavenge free radicals. Reports on other mechanisms by which dandelion flavonoids exert antioxidant effects, such as regulating mRNA levels of antioxidant genes, regulating antioxidant enzyme activity, and regulating oxidative stress-related signaling pathways, are even fewer. These may become important directions for future research on the antioxidant mechanisms of dandelion flavonoids. Research on dandelion flavonoids and their antioxidant activities will become more detailed, and the research and development of dandelion flavonoids will reach a higher level due to the rapid development and interdisciplinary integration of disciplines, such as biochemistry, molecular biology, cell biology, bioinformatics, and phytochemistry.
Author Contributions
D.H. and X.Z. designed and coordinated this review; X.Z., X.C., Q.W., W.S., T.S. and M.F. reviewed, analyzed and summarized literature and finalized the figures; X.Z. and W.S. wrote the manuscript; X.Z., W.S., T.S., M.F. and D.H. revised and finalized the manuscript. All authors have read and agreed to the published version of the manuscript.
Funding
This work was supported by the Basic Research Special Project of Yunnan Provincial Department of Science and Technology (202301AT070044), Yunnan Provincial Department of Education Science Research Fund Project (2023J0992) and Yuxi Normal University College Student Innovation and Entrepreneurship Training Program Project (202211390001).
Conflicts of Interest
The authors declare no conflicts of interest.
References
- National Pharmacopoeia Commission. Pharmacopoeia of the Peoples Republic of China; Section 1; China Medical Science Press: Beijing, China, 2020; pp. 367–368. [Google Scholar]
- Yu, J.B.; Yue, T.J.; Xue, J. Nutritional and functional characteristics of dandelion and its product development status. Spec. Econ. Anim. Plants 2024, 27, 164–167+177. [Google Scholar]
- Li, Z.J.; Meng, R.; Yang, W.J.; Feng, W.; Li, M.X.; Chen, Z.Y.; Wang, X.P.; Mao, L.J.; Chen, N. Effects of dandelion water extract on milk production performance, serum biochemical indexes, milk somatic cell count and fecal microbial diversity of dairy cows under heat stress. Chin. J. Anim. Nutr. 2024, 36, 1003–1019. [Google Scholar]
- Fan, M.; Zhang, X.; Song, H.P.; Zhang, Y.K. Dandelion (Taraxacum genus): A review of chemical constituents and pharmacological effects. Molecules 2023, 28, 5022. [Google Scholar] [CrossRef] [PubMed]
- Hu, C. Taraxacum: Phytochemistry and health benefits. Chin. Herb. Med. 2018, 10, 353–361. [Google Scholar] [CrossRef]
- Liu, Y.; Shi, Y.J.; Zou, J.B.; Zhang, X.F.; Zhai, B.T.; Guo, D.Y.; Sun, J.; Luan, F. Extraction, purification, structural features, biological activities, modifications, and applications from Taraxacum mongolicum polysaccharides: A review. Int. J. Biol. Macromol. 2024, 259, 129193. [Google Scholar] [CrossRef]
- Zhang, Y.; Hu, Y.F.; Li, W.; Xu, G.Y.; Wang, K.R.; Li, L.; Luo, H.; Zou, L.; Wu, J.S. Updates and advances on pharmacological properties of Taraxacum mongolicum Hand.-Mazz and its potential applications. Food Chem. 2022, 373, 131380. [Google Scholar] [CrossRef]
- Li, R.T. Research progress on development and vtilization of dandelion. For. By-Prod. Spec. China 2024, 2, 85–88. [Google Scholar]
- Ma, X.H.; Li, X. Research progress in dandelion food. Food Ind. 2023, 44, 156–160. [Google Scholar]
- Li, L.B.; Meng, D.J. Biological function of dandelion extract and its application in livestock and poultry production. Feed Res. 2023, 46, 146–149. [Google Scholar]
- Guo, S.; Wang, Y.Y.; Wang, X.; Fu, X.; Wei, H.; Wang, H. Application of Taraxacum in healthy breeding of livestock and poultry. Sci. Technol. Tianjin Agric. For. 2022, 6, 33–35. [Google Scholar]
- Liu, G.W.; Duan, X.F.; Zhao, P.; Zhang, Y.N.; Liu, H.J.; Man, D.Q.; Ma, F.Y.; Liu, X.P. Study on nutrient components and feeding performance of cultivated Taraxacum mongolicun in arid area. Chin. Feed 2022, 20, 107–111. [Google Scholar]
- Wu, Y.; Liu, Q.; Tang, W.; Wang, J.Q.; Wang, S.D.; Hou, F.R. Application of complexes of Salvia miltiorrhiza volatile oil and dandelion extract in cosmetics. Fine Chem. 2022, 39, 562–568. [Google Scholar]
- Gao, L.F. Effects of Dandelion Flavonoids on Antioxidant Activity, Fermentation Quality, and Microbial Community Structure of Caragana korshinskii Silage. Master Dissertation, Ningxia University, Ningxia, China, 2023. [Google Scholar]
- Li, K.X. Protective Mechanism of β-Lactoglobulin on the Stability of Dandelion Flavonoids and Preparation of Fermented Beverage. Master Dissertation, Nanchang University, Nanchang, China, 2023. [Google Scholar]
- Sharma, G.N.; Gupta, G.; Sharma, P. A comprehensive review of free radicals, antioxidants, and their relationship with human ailments. Crit. Rev. Eukaryot. Gene. Expr. 2018, 28, 139–154. [Google Scholar] [CrossRef] [PubMed]
- Barnes, P.J. Oxidative stress-based therapeutics in COPD. Redox. Biol. 2020, 33, 101544. [Google Scholar] [CrossRef]
- Lee, Y.; Kim, S.; Oh, Y.; Kim, Y.M.; Chin, Y.W.; Cho, J. Inhibition of oxidative neurotoxicity and scopolamine-induced memory impairment by γ-mangostin: In vitro and in vivo evidence. Oxid. Med. Cell. Longev. 2019, 2019, 3640753. [Google Scholar] [CrossRef]
- Chang, K.H.; Chen, C.M. The role of oxidative stress in Parkinson’s disease. Antioxidants 2020, 9, 597. [Google Scholar] [CrossRef]
- Li, J.; O, W.; Li, W.; Jiang, Z.G.; Ghanbari, H.A. Oxidative stress and neurodegenerative disorders. Int. J. Mol. Sci. 2013, 14, 24438–24475. [Google Scholar] [CrossRef]
- Arroyave-Ospina, J.C.; Wu, Z.M.; Geng, Y.; Moshage, H. Role of oxidative stress in the pathogenesis of non-alcoholic fatty liver disease: Implications for prevention and therapy. Antioxidants 2021, 10, 174. [Google Scholar] [CrossRef]
- Delli Bovi, A.P.; Marciano, F.; Mandato, C.; Siano, M.A.; Savoia, M.; Vajro, P. Oxidative stress in non-alcoholic fatty liver disease. An updated mini review. Front. Med. 2021, 8, 595371. [Google Scholar] [CrossRef]
- Radi, R. Oxygen radicals, nitric oxide, and peroxynitrite: Redox pathways in molecular medicine. Proc. Natl. Acad. Sci. USA 2018, 115, 5839–5848. [Google Scholar] [CrossRef]
- Ren, H.; Zheng, S.J.; Zhang, X.L.; Lu, K.K.; Wu, S.R.; Ming, J. Research progress on the structure-activity relationship of flavonoid compounds based on different antioxidant mechanism. Sci. Technol. Food Ind. 2016, 37, 384–388. [Google Scholar]
- Li, Y.Z.; Hu, W.Z.; Saren, G.W.; Long, Y.; Lao, Y. Research progress on antioxidant components and antioxidant mechanism of flavonoids. In Proceedings of the 15th Annual Meeting of the China Food Science and Technology Society, Qingdao, China, 7–8 November 2018. [Google Scholar]
- Ren, H.S.; Zhu, W.Q.; Zheng, Y.Y.; Zheng, Z.J. Research progress on functional components and biological activities of Taraxaci. Herba Food Drug 2022, 24, 1–10. [Google Scholar]
- Yang, W.Z.; Du, Y.Z.; Gao, Y.; Wang, A.J.; Wang, M.Z. The research progress of dandelion flavonoids. Ginseng. Res. 2017, 1, 53–55. [Google Scholar]
- Li, X.H.; He, X.R.; Zhou, Y.Y.; Zhao, H.Y.; Zheng, W.X.; Jiang, S.T.; Zhou, Q.; Li, P.P.; Han, S.Y. Taraxacum mongolicum extract induced endoplasmic reticulum stress associated-apoptosis in triple-negative breast cancer cells. J. Ethnopharmacol. 2017, 206, 55–64. [Google Scholar] [CrossRef]
- Shi, S.Y.; Zhao, Y.; Zhou, H.H.; Zhang, Y.P.; Jiang, X.Y.; Huang, K.L. Identification of antioxidants from Taraxacum mongolicum by high-performance liquid chromatography-diode array detection-radical-scavenging detection-electrospray ionization mass spectrometry and nuclear magnetic resonance experiments. J. Chromatogr. A 2008, 1209, 145–152. [Google Scholar] [CrossRef]
- Hu, C.; Kitts, D.D. Luteolin and luteolin-7-O-glucoside from dandelion flower suppress iNOS and COX-2 in RAW264.7 cells. Mol. Cell Biochem. 2004, 265, 107–113. [Google Scholar] [CrossRef]
- Wang, Y.R.; Li, Y.M.; Yang, N.; Zhou, B.S.; Chen, F.; Liu, J.P.; Li, P.Y. Research progress on chemical compositions and pharmacological actions of Taraxacum. Spec. Wild. Econ. Anim. Plant. Res. 2017, 39, 67–75. [Google Scholar]
- Ling, Y.; Zhang, Y.L.; Cai, S.Q.; Zheng, J.H. A study on flavonoids and sterols in dandelion. Chin. J. Med. Chem. 1998, 8, 46–48. [Google Scholar]
- Shi, S.Y.; Zhou, C.X.; Xu, Y.; Tao, Q.F.; Bai, H.; Lu, F.S.; Lin, W.Y.; Chen, H.Y.; Zheng, W.; Wang, L.W.; et al. Studies on the chemical constituents from herbs of Taraxacum mongolicum. Chin. J. Chin. Mater. Med. 2008, 33, 1147–1157. [Google Scholar]
- Yao, W.; Lin, W.Y.; Zhou, C.X.; Zhao, Y. Studies on constituents from Taraxacum mongolicum. Chin. J. Chin. Mater. Med. 2007, 10, 926–929. [Google Scholar]
- Ling, Y.; Bao, Y.Y.; Zhang, Y.L.; Cai, S.Q.; Zheng, J.H. Studies on chemical constituents of dandelion. Transl. Med. J. 1998, 11, 167–169. [Google Scholar]
- Williams, C.A.; Goldstone, F.; Greenham, J. Flavonoids, cinnamic acids and coumarins from the different tissues and medicinal preparations of Taraxacum officinale. Phytochemistry 1996, 42, 121–127. [Google Scholar] [CrossRef] [PubMed]
- Ling, Y.; Bao, Y.Y.; Guo, X.F.; Xu, Y.; Cai, S.Q.; Zheng, J.H. Isolation and identification of two flavonoid glycosides in Taraxacum mongolicum Hand.-Mazz. Chin. J. Chin. Mater. Med. 1999, 24, 223–225. [Google Scholar]
- Ling, Y.; Zhang, Y.L.; Cai, S.; Xu, Y.; Cai, S.Q.; Zheng, J.H. Studies on chemical constituents from Taraxacum sinicum Kitag. Chin. J. Chin. Mater. Med. 1998, 24, 232–233. [Google Scholar]
- Shi, S.Y.; Zhou, H.H.; Zhang, Y.P.; Huang, K.L.; Liu, S.Q. Chemical constituents from Neo-Taraxacum siphonathum. Chin. J. Chin. Mater. Med. 2009, 34, 1002–1004. [Google Scholar]
- Shi, S.Y.; Zhou, H.H.; Zhang, Y.P.; Zhao, Y.; Huang, K.L.; Liu, S.Q. A high-speed counter-current chromatography-HPLC-DAD method for preparative isolation and purification of two polymethoxylated flavones from Taraxacum mongolicum. J. Chromatogr. Sci. 2009, 47, 349–353. [Google Scholar] [CrossRef][Green Version]
- Ling, Y.; Bao, Y.Y.; Zhu, L.L.; Zheng, J.H.; Cai, S.Q.; Xiao, Y. Chemical constituents of Taraxacum mongolicum. Chin. Pharm. J. 1997, 32, 584–585. [Google Scholar]
- Ling, Y.; Bao, Y.Y.; Zhang, Y.L.; Xiao, Y.; Zheng, J.H. Studies on chemical constituents from Taraxacum falcilobum Kitag. Transl. Med. J. 1999, 12, 233–235. [Google Scholar]
- Shi, S.Y. Chemical Constituents of Ligularia atroviolacea and Taraxacum mongolicum and Studies on the Preparation of Isocholorogenic Acids from Laggera pterodonta. Ph.D. Dissertation, Zhejiang University, Hangzhou, China, 2007. [Google Scholar]
- Li, J.H.; Huang, J.B. Determination of 10 active substances in dandelion extract by high-performance liquid chromatography. Chem. Anayl. Meterage 2022, 31, 49–53. [Google Scholar]
- Xie, S.Y.; Yang, X.Y.; Ding, Z.G.; Li, M.G.; Zhao, J.Y. Chemical constituents and pharmacological effects of Taraxacum mongolicum Hand.-Mazz. Nat. Prod. Res. Dev. 2012, 24, 141–151. [Google Scholar]
- Chen, H.J.; Inbaraj, B.S.; Chen, B.H. Determination of phenolic acids and flavonoids in Taraxacum formosanum Kitam by liquid chromatography-tandem mass spectrometry coupled with a post-column derivatization technique. Int. J. Mol. Sci. 2012, 13, 260–285. [Google Scholar] [CrossRef] [PubMed]
- Dias, M.I.; Barros, L.; Alves, R.C.; Oliveira, M.B.P.P.; Santos-Buelga, C.; Ferreira, I.C.F.R. Nutritional composition, antioxidant activity and phenolic compounds of wild Taraxacum sect Ruderalia. Food. Res. Int. 2014, 56, 266–271. [Google Scholar] [CrossRef]
- Schütz, K.; Kammerer, D.R.; Carle, R.; Schieber, A. Characterization of phenolic acids and flavonoids in dandelion (Taraxacum officinale WEB. ex WIGG.) root and herb by high-performance liquid chromatography/electrospray ionization mass spectrometry. Rapid. Commun. Mass Spectrom. 2004, 19, 179–186. [Google Scholar] [CrossRef] [PubMed]
- Shi, S.Y.; Huang, K.L.; Zhang, Y.P.; Liu, S.Q. Preparative isolation and purification of two flavonoid glycosides from Taraxacum mongolicum by high-speed counter-current chromatography. Sep. Purif. Technol. 2008, 60, 81–85. [Google Scholar] [CrossRef]
- Shi, S.Y.; Zhang, Y.P.; Zhao, Y.; Huang, K.L. Preparative isolation and purification of three flavonoid glycosides from Taraxacum mongolicum by high-speed counter-current chromatography. J. Sep. Sci. 2008, 31, 683–688. [Google Scholar] [CrossRef]
- Shi, S.Y.; Zhou, Q.; Peng, H.; Zhou, C.X.; Hu, M.H.; Tao, Q.F.; Hao, X.J.; Stöckigt, J.; Zhao, Y. Four new constituents from Taraxacum mongolicum. Chin. Chem. Lett. 2007, 18, 1367–1370. [Google Scholar] [CrossRef]
- Wang, R.; Li, W.H.; Fang, C.; Zheng, X.X.; Liu, C.; Huang, Q. Extraction and identification of new flavonoid compounds in dandelion Taraxacum mongolicum Hand.-Mazz. with evaluation of antioxidant activities. Sci. Rep. 2023, 13, 2166. [Google Scholar] [CrossRef]
- Yadava, R.N.; Khan, S. A new flavonoidal constituent from Taraxacum officinale (L.) Weber. Asian J. Chem. 2013, 25, 4117–4118. [Google Scholar] [CrossRef]
- Cui, W.H.; Deng, X.L.; Chen, C.Y. Rapid identification of chemical constituents in Taraxaci Herba roots based on UPLC-Q-exactive-orbitrap MS. Henan Sci. 2023, 41, 978–984. [Google Scholar]
- Kong, J.Q.; Meng, X.S.; Shang, Y.H.; Dong, Y.Y.; Ma, Q. Identification of chemical components in Taraxacum kok-saghyz Rodin and investigation of mass spectrometrie fragmentation pathways. J. Chin. Mass. Spectrom. Soc. 2022, 43, 278–286. [Google Scholar]
- Liu, Z.W.; Ren, Y.R.; Liu, Y.F.; Liu, Y. Exploring the active components and action mechanism of Taraxacum mongolicum in improving hyperlipidemia using UHPLC-LTQ-Orbitrap-MS/MS and network pharmacology. Drugs Clin. 2023, 38, 2133–2145. [Google Scholar]
- Jiang, X.Y.; Shi, S.Y.; Zhang, Y.P.; Chen, X.Q. Excellent combination of HPLC-RSD-DAD-ESI/MS and HSCCC experiments to screen and identify radical scavengers from Neo-Taraxacum siphonanthun. J. Braz. Chem. Soc. 2010, 21, 1524–1529. [Google Scholar] [CrossRef]
- Xu, Y. Studies on the Chemical Constituents of Two Medicinal Plants and Their Biological Activities. Master Dissertation, Zhejiang University, Hangzhou, China, 2008. [Google Scholar]
- Jiang, X.Y.; Shi, S.Y.; Zhang, Y.P.; Chen, X.Q. Activity-guided isolation and purification of three flavonoid glycosides from Neo-Taraxacum siphonanthum by high-speed counter-current chromatography. Sep. Sci. Technol. 2010, 45, 839–843. [Google Scholar] [CrossRef]
- Shi, S.Y.; Zhang, Y.P.; Zhou, H.H.; Huang, K.L.; Jiang, X.Y. Screening and identification of radical scavengers fromneo-Taraxacum Siphonanthum by online rapid screening method and nuclear magnetic resonance experiments. J. Immunoass. Immunochem. 2010, 31, 233–249. [Google Scholar] [CrossRef]
- Lee, S.; Han, S.; Kim, H.M.; Lee, J.M.; Mok, S.Y.; Lee, S. Isolation and identification of phytochemical constituents from Taraxacum coreanum. J. Korean Soc. Appl. Biol. Chem. 2011, 54, 73–78. [Google Scholar] [CrossRef]
- Lee, S.; Han, S.; Kim, H.M.; Lee, J.M.; Kim, J.; Park, C.-G.; Lee, S. Simultaneous determination of luteolin and luteoloside in dandelions using HPLC. Hortic. Environ. Biote. 2011, 52, 536–540. [Google Scholar] [CrossRef]
- Zidorn, C. Isoetin and its derivatives: Analytics, chemosystematics, and bioactivities. Biochem. Syst. Ecol. 2015, 61, 402–412. [Google Scholar] [CrossRef]
- Choi, J.; Yoon, K.D.; Kim, J. Chemical constituents from Taraxacum officinale and their α-glucosidase inhibitory activities. Bioorg. Med. Chem. Lett. 2018, 28, 476–481. [Google Scholar] [CrossRef]
- Petropoulos, S.A.; Fernandes, Â.; Tzortzakis, N.; Sokovic, M.; Ciric, A.; Barros, L.; Ferreira, I.C.F.R. Bioactive compounds content and antimicrobial activities of wild edible Asteraceae species of the Mediterranean flora under commercial cultivation conditions. Food Res. Int. 2019, 119, 859–868. [Google Scholar] [CrossRef]
- Aabideen, Z.U.; Mumtaz, M.W.; Akhtar, M.T.; Mukhtar, H.; Raza, S.A.; Touqeer, T.; Saari, N. Anti-obesity attributes; UHPLC-QTOF-MS/MS-based metabolite profiling and molecular docking insights of Taraxacum officinale. Molecules 2020, 25, 4935. [Google Scholar] [CrossRef]
- Lis, B.; Jedrejek, D.; Rywaniak, J.; Soluch, A.; Stochmal, A.; Olas, B. Flavonoid preparations from Taraxacum officinale L. fruits-A phytochemical, antioxidant and hemostasis studies. Molecules 2020, 25, 5402. [Google Scholar] [CrossRef] [PubMed]
- Liu, N.; Song, M.; Wang, N.F.; Wang, Y.; Wang, R.F.; An, X.P.; Qi, J.W. The effects of solid-state fermentation on the content, composition and in vitro antioxidant activity of flavonoids from dandelion. PLoS ONE 2020, 15, e0239076. [Google Scholar] [CrossRef] [PubMed]
- Zhang, S.B.; Li, C.; Gu, W.; Qiu, R.L.; Chao, J.G.; Pei, L.F.; Ma, L.J.; Guo, Y.F.; Tian, R. Metabolomics analysis of dandelions from different geographical regions in China. Phytochem. Anal. 2021, 32, 899–906. [Google Scholar] [CrossRef] [PubMed]
- Costea, L.; Chițescu, C.L.; Boscencu, R.; Ghica, M.; Lupuliasa, D.; Mihai, D.P.; Deculescu-Ioniță, T.; Duțu, L.E.; Popescu, M.L.; Luță, E.-A.; et al. The polyphenolic profile and antioxidant activity of five vegetal extracts with hepatoprotective potential. Plants 2022, 11, 1680. [Google Scholar] [CrossRef]
- Liu, F.J.; Yang, J.; Chen, X.Y.; Yu, T.; Ni, H.; Feng, L.; Li, P.; Li, H.J. Chemometrics integrated with in silico pharmacology to reveal antioxidative and anti-inflammatory markers of dandelion for its quality control. Chin. Med. 2022, 17, 125. [Google Scholar] [CrossRef]
- Wu, P.; Ben, T.T.; Zou, H.; Chen, Y.L. PARAFAC modeling of dandelion phenolic compound fluorescence relation to antioxidant properties. J. Food Meas. Charact. 2022, 16, 2811–2819. [Google Scholar] [CrossRef]
- Yin, N.; Wang, Y.; Ren, X.R.; Zhao, Y.; Liu, N.; An, X.P.; Qi, J.W. Isolation and characterization of flavonoids from fermented dandelion (Taraxacum mongolicum Hand.-Mazz.), and assessment of its antioxidant actions in vitro and in vivo. Fermentation 2022, 8, 306. [Google Scholar] [CrossRef]
- Wójciak, K.; Materska, M.; Pełka, A.; Michalska, A.; Małecka-Massalska, T.; Kačániová, M.; Čmiková, N.; Słowiński, M. Effect of the addition of dandelion (Taraxacum officinale) on the protein profile, antiradical activity, and microbiological status of raw-ripening pork sausage. Molecules 2024, 29, 249. [Google Scholar] [CrossRef]
- Liu, H.Q.; Wang, T.L. Study on water-soluble chemical constituents of Taraxacum mongolicum. J. Chin. Med. Mater. 2014, 37, 989–991. [Google Scholar]
- Sari, A.; Keçeci, Z. Phytochemical investigations on chemical constituents of Taraxacum bessarabicum (Hornem.) Hand.-Mazz. subsp. bessarabicum (Hornem.) Hand.-Mazz. Iran. J. Pharm. Res. 2019, 18, 400–405. [Google Scholar]
- Qiu, J.; Sun, S.Q.; Luo, S.Q.; Zhang, J.C.; Xiao, X.Z.; Zhang, L.Q.; Wang, F.; Liu, S.Z. Arabidopsis AtPAP1 transcription factor induces anthocyanin production in transgenic Taraxacum brevicorniculatum. Plant Cell Rep. 2014, 33, 669–680. [Google Scholar] [CrossRef] [PubMed]
- Man, J.; Wu, L.J.; Han, P.; Hao, Y.; Li, J.Y.; Gao, Z.B.; Wang, J.; Yang, W.J.; Tian, Y.M. Revealing the metabolic mechanism of dandelion extract against A549 cells using UPLC-QTOF MS. Biomed. Chromatogr. 2021, 36, e5272. [Google Scholar] [CrossRef] [PubMed]
- Han, S.H.; Lee, H.D.; Lee, S.; Lee, A.Y. Taraxacum coreanum Nakai extract attenuates lipopolysaccharide-induced inflammatory responses and intestinal barrier dysfunction in Caco-2 cells. J. Ethnopharmacol. 2024, 319, 117105. [Google Scholar] [CrossRef] [PubMed]
- Sun, C.D.; Wang, Y.; Zhang, X.M. Taraxacum mongolicum extract exhibits antimicrobial activity against respiratory tract bacterial strains in vitro and in neonatal rats by enhancing systemic Th1 immunity. Trop. J. Pharm. Res. 2018, 17, 1833–1838. [Google Scholar] [CrossRef]
- Gao, C.Y.; Kong, S.L.; Guo, B.Y.; Liang, X.J.; Duan, H.F.; Li, D.H. Antidepressive effects of Taraxacum officinale in a mouse model of depression are due to inhibition of corticosterone levels and modulation of mitogen-activated protein kinase phosphatase-1 (Mkp-1) and brain-derived neurotrophic factor (Bdnf) expression. Med. Sci. Monit. 2019, 25, 389–394. [Google Scholar] [CrossRef]
- Zhao, L.J.; Gao, W.Y.; Gu, X.R.; Wang, H.J.; Zhao, H.Y.; Bian, B.L. Identification and attribution of chemical compounds of Pudilan Antiphlogistic Oral Liquid. China J. Chin. Mater. Med. 2019, 44, 1573–1587. [Google Scholar]
- Gomez, M.K.; Singh, J.; Acharya, P.; Jayaprakasha, G.K.; Patil, B.S. Identification and quantification of phytochemicals, antioxidant activity, and bile acid-binding capacity of garnet stem dandelion (Taraxacum officinale). J. Food Sci. 2018, 83, 1569–1578. [Google Scholar] [CrossRef]
- Yoo, K.M.; Hwang, I.K.; Moon, B. Comparative flavonoids contents of selected herbs and associations of their radical scavenging activity with antiproliferative actions in V79-4 Cells. J. Food Sci. 2009, 74, 419–425. [Google Scholar] [CrossRef]
- Shi, S.Y.; Zhang, Y.P.; Zhou, H.H.; Huang, K.L. Study on fast screening and identification of potential antitumor compounds from Neo-Taraxacum siphonathum. Chin. J. Pharm. Anal. 2011, 31, 471–475. [Google Scholar]
- Zhang, S.B.; Kong, L.J.; Gu, W. Chemical composition analysis of Taraxacum mongolicum based on HPLC-Q-TOF-MS/MS and network pharmacology study on its anticancer mechanism. Nat. Prod. Res. Dev. 2022, 34, 305–314. [Google Scholar]
- Hfaiedh, M.; Brahmi, D.; Zourgui, L. Hepatoprotective effect of Taraxacum officinale leaf extract on sodium dichromate-induced liver injury in rats. Environ. Toxicol. 2016, 31, 339–349. [Google Scholar] [CrossRef] [PubMed]
- Huang, S.; Ke, W.C.; Lu, Q.; Gao, L.F.; Zhou, X.D.; Ma, C.Y. Effects of total flavonoids from Taraxacum mongolicum Hand.-Mazz. on fermentation quality, antioxidant status and microbial community of Caragana korshinskii Kom. silage. Fermentation 2023, 9, 949. [Google Scholar] [CrossRef]
- Jiang, X.M.; Zhang, X.; Cheng, Y.; Mao, J.Y.; Lei, B.; He, X.X.; Liu, X.B.; Li, P.X.; Pan, K. Effects of light intensity on growth, accumulation of active constituents and antioxidant activities of Taraxacum mongolicum Hand.-Mazz. J. Northeast Agric. Univ. 2023, 54, 26–34. [Google Scholar]
- Petkova, N.; Ivanov, I.; Topchieva, S.; Denev, P.; Pavlov, A. Biologically active substances and in vitro antioxidant activity of different extracts from dandelion (Taraxacum officinale) roots. Sci. Bull. Ser. F Biotechnol. 2015, XIX, 190–197. [Google Scholar]
- Aazza, S.; El-Guendouz, S.; Miguel, M.D.G. Screening for acetylcholinesterase inhibition, lipid peroxidation inhibition and antioxidant activity of medicinal plants from Morocco. Bol. Latinoam. Caribe. Plant. Med. Aromat. 2023, 22, 1–18. [Google Scholar] [CrossRef]
- Chen, J.Y.; Wu, G.R.; Wang, X.D.; Liu, H.; Wang, J.A.; Shen, Q. Antioxidation of Taraxacum mongolicum Hand.-Mazz flavonoids. J. Nanjin Norm. Univ. (Nat. Sci.) 2005, 28, 84–87. [Google Scholar]
- Mingarro, D.M.; Plaza, A.; Galán, A.; Vicente, J.A.; Martínez, M.P.; Acero, N. The effect of five Taraxacum. species on in vitro and in vivo antioxidant and antiproliferative activity. Food Funct. 2015, 6, 2787–2793. [Google Scholar] [CrossRef]
- Paradiso, V.M.; Flamminii, F.; Pittia, P.; Caponio, F.; Mattia, C.D. Radical scavenging activity of olive oil phenolic antioxidants in oil or water phase during the oxidation of O/W emulsions: An oxidomics approach. Antioxidants 2020, 9, 996. [Google Scholar] [CrossRef]
- Chen, X. Synergistic Antioxidant Effects and Mechanism of Flavonoids (Quercetin, Lutelin) and Carotenoids (Lycopene, Lutein). Ph.D. Dissertation, Nanchang University, Nanchang, China, 2022. [Google Scholar]
- Wang, C.; Chen, F.; Hu, K.S.; An, Y.M.; Zheng, W.X.; Zhang, J.Q.; Chen, K.; Wang, G.Q.; Zheng, J.T.; Liu, J.P.; et al. Antioxidant protective effect and mechanism of total flavonoids from dandelion on cigarette smoke-induced chronic obstructive pulmonary disease. Int. J. Geriatr. 2023, 44, 257–264. [Google Scholar]
- Eziz, S.; Zhang, Z.; Jiang, S.L.; Xie, Q.G. Promoting effect of probiotics and dandelion fermentation on its antioxidant function. For. By.-Prod. Spec. Chin. 2022, 6, 1–7. [Google Scholar]
- Yang, R.J.; Qiao, H.; Liu, W.; Wang, H.J.; Sun, T.J. Antioxidant activity in vitro of fractions of dandelion flower. Chin. Rem. Clin. 2016, 16, 9–11. [Google Scholar]
- Zhu, Q.L.; Wang, J.Y.; He, W.; Chai, J.; Jiang, H.Y.; Zhou, W. Study on the extraction process and antioxidant activity and antibacterial activity in vitro of flavonoids from dandelion. J. JinLing Inst. Technol. 2022, 38, 86–92. [Google Scholar]
- Liu, S.L.; Gao, Y.; Wu, X.Y.; Xu, D.; Chen, Z.X. Optimization of extraction process and evaluation of antioxidant activity of total flavonoids from dandelion. Chem. Eng. 2024, 1, 88–91. [Google Scholar]
- Sun, Z.X.; Su, R.Q.; Qiao, J.W.; Zhao, Z.Q.; Wang, X.S. Flavonoids extraction from Taraxacum officinale (Dandelion): Optimisation using response surface methodology and antioxidant activity. J. Chem. 2014, 2014, 956278. [Google Scholar] [CrossRef]
- Akhtar, W.; Ali, G.; Ashraf, N.; Fatima, I.; Kayani, W.K.; Shaheen, H.; Ghoneim, M.M.; Abdelgawad, M.A.; Khames, A. Efficiency of multiple extraction solvents on antioxidant, cytotoxic, and phytotoxic potential of Taraxacum officinale (L.) Weber ex F.H. Wigg. from Poonch Valley, Azad Kashmir, Pakistan. Evid.-Based. Compl. Alt. Med. 2022, 2022, 118553. [Google Scholar] [CrossRef]
- Yang, S.H.; Chen, Y.Z.; Wang, L.T.; Wang, T.; Yang, C.C. Antioxidant characteristics and hepatoprotective effects of a formula derived from Maydis stigma, Nelumbo nucifera and Taraxacum officinale against carbon tetrachloride-induced hepatic damage in rats. Pak. J. Pharm. Sci. 2020, 33, 2131–2142. [Google Scholar]
- Aremu, O.O.; Oyedeji, A.O.; Oyedeji, O.O.; Nkeh-Chungag, B.N.; Rusike, C.R.S. In vitro and in vivo antioxidant properties of Taraxacum officinale in Nω-nitro-L-arginine methyl ester (L-NAME)-induced hypertensive rats. Antioxidants 2019, 8, 309. [Google Scholar] [CrossRef]
- Chen, J.Y.; Gong, Z.N.; Zai, X.M.; Liu, H.; Chang, J. Determination of antioxidative activation and distillation of total flavonoid rutin and quercetin in Taraxacum mongolicum Hand.-Mazz. Chin. Wild. Plant Resour. 2001, 20, 22–23. [Google Scholar]
- Lis, B.; Jędrejek, D.; Stochmal, A.; Olas, B. Assessment of effects of phenolic fractions from leaves and petals of dandelion in selected components of hemostasis. Food Res. Int. 2018, 107, 605–612. [Google Scholar] [CrossRef]
- Chon, S.U.; Bae, C.H.; Lee, S.C. Antioxidant and cytotoxic potentials of methanol extracts from Taraxacum officinale F. H. Wigg. at different plant parts. Korean J. Plant. Resour. 2012, 25, 232–239. [Google Scholar] [CrossRef]
- Wang, X. Application of supercritical extraction technology in extracting anti-aging components of dandelion. Chem. Ind. Times 2022, 36, 15–16. [Google Scholar]
- Zhu, Z.W.; Fu, S.N.; Xue, N.; Ma, R.X.; Guo, H.B.; Miao, M.S.; Zhu, P.S. The protective effect of total flavonoids of dandelion on CCl4 induced liver injury in rats. Chin. Tradit. Pat. Med. 2022, 44, 3680–3686. [Google Scholar]
- Du, J.H.; Xu, M.Y.; Wang, Y.; Zhao, L.; Yu, Z.; Li, M.Y. Evaluation of Taraxacum mongolicum flavonoids in diets for Channa argus based on growth performance, immune responses, apoptosis and antioxidant defense system under lipopolysaccharide stress. Fish Shellfish Immunol. 2022, 131, 1224–1233. [Google Scholar] [CrossRef]
- Liu, J.R.; Xu, X.J.; Kang, W.J.; Zhang, W.W.; Shao, S.L. Effects of dandelion flavonoids on antioxidant enzyme activity and related gene expression in ICR mice. Genom. Appl. Biol. 2022, 41, 41–48. [Google Scholar]
- Guo, M.Y.; Sun, H.X.; Han, S.Y.; Liu, J.; Wang, X.J.; An, S.Y.; Liu, G.Z. Effects of salvia miltiorrhiza extract, dandelion extract and their compound on growth performance, immune function and antioxidant ability of broilers. Chin. J. Anim. Nutr. 2023, 35, 2230–2240. [Google Scholar]
Disclaimer/Publisher’s Note: The statements, opinions and data contained in all publications are solely those of the individual author(s) and contributor(s) and not of MDPI and/or the editor(s). MDPI and/or the editor(s) disclaim responsibility for any injury to people or property resulting from any ideas, methods, instructions or products referred to in the content. |
© 2024 by the authors. Licensee MDPI, Basel, Switzerland. This article is an open access article distributed under the terms and conditions of the Creative Commons Attribution (CC BY) license (https://creativecommons.org/licenses/by/4.0/).





