Abstract
Phosphorus (P) deficiency is a major global factor constraining peanut production. Exogenous γ-aminobutyric acid (GABA) and Ca2+ are essential to improve stress resilience in peanuts growing under low-P conditions. This study therefore examined the detailed physiological effects of GABA-Ca on restoring peanut growth under low-P conditions. These included the root–shoot ratio, leaf nutrients, photochemical activity, reactive oxygen species (ROS), cyclic electron flow (CEF), ATP synthase activity, and the proton gradient (∆pH), all of which were measured under low-P (LP, 0.5 mM) and optimized-P (1 mM) conditions. Specifically, supplying GABA-Ca under LP conditions regulated the ∆pH by causing adjustments in CEF and ATP synthase activities, buffering the photosystems’ activities, restoring the antioxidant enzyme system, and lowering ROS production. Interestingly, exogenous GABA-Ca restored peanut growth under low-P conditions, possibly by the putative signaling crosstalk between GABA and Ca2+. The plausible signal amplification between GABA and Ca2+ suggested that the combination of GABA and Ca, may offer an effective strategy for enhancing peanut adaptation to low-P conditions. Moving forward, the strategic supplementation of GABA-Ca, either during cultivation or through the formulation of novel fertilizers, opens up many possibilities for better and more resilient plant production in soils with low P.
1. Introduction
Phosphorus (P) is a critical major limiting nutrient for plant growth; in particular, its availability is restricted in tropical regions, with a resulting impact on global food production [1,2]. Varying degrees of P limitation are common in terrestrial ecosystems, and the extent of phosphorus limitation varies in different climate zones and regions [1]. P has low mobility and a high fixation rate in soil [2,3] resulting in less than 25% of phosphatic fertilizer being utilized during the growing period. The high reliance of conventional and often intensive farming activities on phosphatic fertilizers is inevitable for maintaining high production in order to cope with increasing food demands [4,5]. The long-term and excessive use of phosphatic fertilizer has caused negative environmental issues such as the eutrophication of water bodies and poor drinking water quality. In China, about 131 major lakes are classified as highly eutrophic [6]. Furthermore, the intense and unsustainable use of phosphatic rocks could deplete the finite resource of naturally occurring phosphatic rocks by 2050 [7,8]. Moreover, the effective management of phosphate-based fertilizers to improve agricultural productivity while maintaining environmental sustainability is indeed a very challenging task globally. Specifically for China, a country with a large population, the efficient management of P resources, P utilization, sustainable food production, and food security requires strategic, science-based, multi-disciplinary, and multi-stakeholder policies [9].
P is an essential element for plant growth and production [10,11]. It also regulates nucleic acid, protein, ATP, and various P-containing enzymes in plants. It is involved in important physiological and biochemical processes in plants [10,11]. Even a slight P deficiency will lower photosynthesis and cause growth inhibition in peanuts [12]. Low P triggers ROS accumulation and damages the photosynthetic membranes of peanut plants [13]. Additionally, an increase in the ∆pH of peanut thylakoids under low-P stress induces changes in photosynthetic control and strengthens the non-photochemical quenching (NPQ) photoprotection mechanism, along with cyclic electron flow (CEF) around PSI.
Peanut is an important oilseed and leguminous crop that is highly sensitive to variation in P availability in soils [14]. In China, and globally, peanut production in low-yielding fields is often associated with cultivation in P-limiting environments [15]. Peanuts are physiologically sensitive to the availability of P, and minor phosphorus deficiency will lower photosynthesis and increase ROS toxicity, ultimately reducing growth [12,13]. As low-P-induced ROS stress is linked to photosynthetic perturbations, efforts to reduce ROS and enhance photosynthesis are crucial for restoring peanut production in P-deficient soils.
GABA (γ-aminobutyric acid) is well known and proven for physiological improvement, particularly for mental and physical relief. Because of its non-toxic and health-beneficial properties, it is widely used in the food industry as a natural edible additive [16,17,18,19]. In recent years, GABA has been gradually applied in agricultural production due to the large-scale industrial production of bio-based green pathways [20,21,22]. Supplemental GABA accumulates rapidly in plants and enhances their resistance to abiotic stress [21]. A stress-induced increase in GABA synthesis also leads to changes in the intracellular calcium flux [23]. Glutamate decarboxylase (GAD), a key enzyme involved in the GABA shunt pathway, was identified as a calmodulin (CaM)-binding protein that can be stimulated by Ca2+ and CaM [24]. Stress in plants generally elevates the levels of Ca2+ and GABA simultaneously; thus, the application of both supplements may offer an avenue to help plants adapt to unfavorable conditions [25]. Based on the literature, Ca2+ is an important second messenger in plants [26,27]. Under abiotic stress, increasing the levels of free Ca2+ in the cytoplasm and binding with calmodulin will initiate various physiological and biochemical processes [26,28]. GABA is known to be involved in regulating plant metabolism through signaling molecules, especially during unfavorable conditions [21]. Ma et al. [29] found that the interplay of Ca2+ and GABA improved the stress resilience of barley, particularly during exposures to high NaCl levels. Interestingly, Ca2+ signaling is involved in the accumulation of GABA under stress; GABA also transmits Ca2+ signaling through receptors to trigger downstream signaling cascades [30]. There is plausible evidence of a complex system of crosstalk between GABA and Ca2+ signaling. Xie et al. [31] also suggested that utilization of GABA and Ca2+ interactions possibly enhanced the resilience of soybeans to high NaCl levels.
From earlier studies, GABA effectively alleviated the growth inhibition and photoinhibition of peanuts grown under low-P stress [13]. Exogenous applied Ca2+ treatments were shown to enhance the photosynthesis of peanuts under P-limited environments [15]. However, it remains unclear whether the combination of GABA and Ca can deliver positive effects on enhancing peanuts’ resilience to low P. Thus, this study aimed to evaluate the physiological and biochemical effects of using Ca2+, GABA, and GABA-Ca treatments on peanuts, measured under low-P (LP, 0.5 mM) and optimized-P (1 mM) conditions.
2. Materials and Methods
The Chinese peanut (Arachis hypogaea L.) cultivar “Xiaobaisha” was used in the study. Uniformly sized peanut seeds were selected and transplanted into 60 pots (11.4 cm height, 13.6 cm diameter, 1 seed per pot), each containing an equal amount of sand. Each treatment had 12 pots of peanut plants to provide sufficient biological materials for the different analyses, and there were 3 independent biological replicates for each measurement. Peanut seeds were cultured in an incubator (Conviron, Winnipeg, MB, Canada). Peanuts were grown on a 12/12 h photoperiod (light intensity, 1000 μmol quanta m−2 s−1), 28/23 °C day/night temperature, and 60% relative air humidity. Prior to treatment, Hoagland’s nutrient solution was applied every 3 days. After 21 days of planting, pure water was added to flush away the local residual nutrients and salt patches from the pots.
The pots with uniformly sized peanut seedlings were then divided into five treatments: (1) control plants (CK) (normal P level + foliar spray of ultrapure water); (2) LP (low P level + foliar spray of type 1 ultrapure water); (3) LP + Ca (low P level + foliar spray of 15 mM CaCl2); (4) LP + G (low P level + foliar spray of 10 mM GABA); and (5) LP + GCa (low-P stress + foliar spray of GABA-Ca solution contained 10 mM GABA and 15 mM CaCl2). Hoagland’s nutrient solution was prepared in accordance with the previous studies [12,13]. Starting 27 days after planting, the leaves of the peanut plants were sprayed twice a day (at 8:00 and 16:00) for three days (at 27, 28, and 29 days after planting) according to different treatments. With reference to Hoagland’s nutrient solution, it was determined that the low-P-concentration solution (−P, 0.5 mM) corresponded approximately to having 15.5 mg/kg ± 3 mg/kg of soil available P, typically found in soils of medium-yielding to low-yielding peanut fields; the normal-P-level solution (CK, 1 mM) was equivalent to that of high-yielding peanut fields with soil available phosphorus exceeding 30 mg/kg.
Two types of Hoagland’s nutrient solution were prepared in the form of KH2PO4 for simulating normal CK plants (1 mM) and low P for LP plants (0.5 mM) 22 days after planting. The levels of nitrogen (N) and potassium (K) in the two P levels of Hoagland’s nutrient solution were balanced by altering the amounts of KNO3 and NH4NO3. Every two days, 25 mL of the nutrient solution for each treatment was supplied.
At 30 days after planting, chlorophyll fluorescence and P700 parameters were measured on the third youngest fully expanded leaf of peanut plants using a Dual-PAM 100 (Heinz Walz, Effeltrich, Germany) according to the method of [12,26]. The light intensity gradient setting of the RLCs was set to 0, 22, 48, 71, 144, 226, 284, 513, 771, 1190, 1467, and 1821 μmol quanta·m−2·s−1. The CEF was determined by the formula CEF = ETR (I) − ERT (II), and the ratio of the quantum yield of CEF was Y (II) [Y (CEF)/Y (II)] = [Y (I) − Y (II)]/Y (II) [13,26]. ΔpH and membrane potential (ΔΨ) were measured simultaneously using a Dual-PAM 100 with a P515/535 module, following the method of [13,26].
The net photosynthetic rate (Pn) was monitored on the third youngest fully expanded leaf with an open gas exchange system (GFS 3000; Heinz Walz, Effeltrich, Germany) at 30 days after planting. The setting parameters of the instrument program were chosen with reference to the previous method [12,13]. Relative chlorophyll concentration was determined with a chlorophyll meter (SPAD-502 plus, Tokyo, Japan) at 31 days after planting.
At 32 days after planting, the superoxide radical (O2•−) generation rate, leaf hydrogen peroxide (H2O2) concentration, and MDA concentration of peanut leaves were measured. Malondialdehyde (MDA) in peanut leaves was assayed following the method of Heath and Packer [32,33] and our modified version for peanuts [13]. Peanut leaf samples (0.2 g) frozen in liquid nitrogen were homogenized with trichloroacetic acid and centrifuged. The absorbance of thiobarbituric acid-reactive substances in the supernatant was measured at 450, 532, and 600 nm for the calculation of MDA content. H2O2 in peanut leaves was assayed following the method of [13] with modifications. Peanut leaf samples (0.2 g) frozen in liquid nitrogen were homogenized with acetone and centrifuged. The supernatant was mixed with 5% TiCl4 and 2 mol H2SO4 and centrifuged at 3000 r/min for 10 min. The supernatant was taken, and its absorbance at 415 nm was measured; the H2O2 content was then calculated. The generation rate of O2•− was assayed following the method of [34,35] and the modified version of Sun et al. [13]. Peanut leaf samples (0.2 g) frozen in liquid nitrogen were homogenized with 50 mM phosphate buffer (PBS, pH 7.8) and centrifuged at 10,000 r/min for 20 min at 4 °C. The supernatant was mixed with 1 mM hydroxylamine hydrochloride and stored at 25 °C for 60 min. The mixture was supplemented with 17 mM p-aminobenzene sulfonic acid and 7 mM 1-naphthylamine and stored at 25 °C for 20 min. The absorbance of the mixture at 530 nm was measured, and the O2•− content (μmol/L) was calculated.
Antioxidant enzymes—superoxide dismutase (SOD), peroxidase (POD), ascorbate peroxidase (APX), and catalase (CAT)—were extracted and their activity assayed according to the previous methods [36,37,38,39]. Peanut leaf samples (0.5 g) frozen in liquid nitrogen were homogenized with 50 mM PBS (pH 7.8) and centrifuged at 10,000 r/min for 20 min at 4 °C. The supernatant was taken and mixed with PBS containing nitroblue tetrazolium, EDTA-Na2, methionine, and riboflavin. After light treatment, its absorbance at 560 nm was measured, and the SOD activity was calculated. Peanut leaf samples (0.5 g) frozen in liquid nitrogen were homogenized with 200 mM PBS (pH 6.0) and centrifuged at 10,000 r/min for 20 min at 4 °C. The supernatant was taken and mixed with PBS containing guaiacol and H2O2. Its absorbance at 470 nm was measured at 1 min intervals for a total of 3 min. The POD activity was calculated based on the change in absorbance values. Peanut leaf samples (0.5 g) frozen in liquid nitrogen were homogenized with 0.15 M PBS (pH 7.8) and centrifuged at 10,000 r/min for 20 min at 4 °C. The supernatant was taken and mixed with PBS containing H2O2. The absorbances at 240 nm were measured at 1 min intervals for a total of 4 min. The CAT activity was calculated based on the decrease in absorbance values. Peanut leaf samples (0.5 g) frozen in liquid nitrogen were homogenized with 0.05 M PBS (pH 7.0) and centrifuged at 10,000 r/min for 20 min at 4 °C. The supernatant was taken and mixed with PBS containing EDTA-Na2, PBS containing ascorbic acid, and PBS containing H2O2. Its absorbance at 290 nm was measured over a period of 40 s, and the APX activity was calculated.
At 33 days after planting, leaf area and plant height were measured. Peanut leaves (0.2 g DW) were digested with a mixture of H2SO4 and H2O2. Leaf N concentrations were determined using the micro-Kjeldahl method [40]. Leaf P concentrations were determined using the vanadomolybdate method [41]. The mixture contained peanut leaves (0.1 g DW), 5 mL HNO3 (65%, guaranteed reagent), 2 mL H2O (type 1 ultrapure water), and 1 mL H2O2 (30%, guaranteed reagent); the leaves in the mixture were digested with a microwave system (Milestone Ethos one, Italy). Program settings followed previous studies [13]. The amounts of potassium (K), calcium (Ca), magnesium (Mg), iron (Fe), manganese (Mn), copper (Cu), and zinc (Zn) were determined by flame atomic absorption spectrometry (AA-4002400304, PerkinElmer, Waltham, MA, USA). Ca, Mg, Fe, Mn, Cu, and Zn content were obtained as metal concentrations and DW Values.
The experiment adopted a random block design. The results presented the mean values and standard errors of three biological replicates of a final experiment. A one-way ANOVA model including a homogeneity-of-variance test and Fisher’s LSD test in Origin 2024 was used for statistical analysis. The results were presented as mean values and standard errors of three biological replicates. Different letters above columns in the figures indicate significant differences among the variants (p ≤ 0.05). All graphs were plotted using GraphPad Prism 9.5 software.
3. Results
3.1. Growth
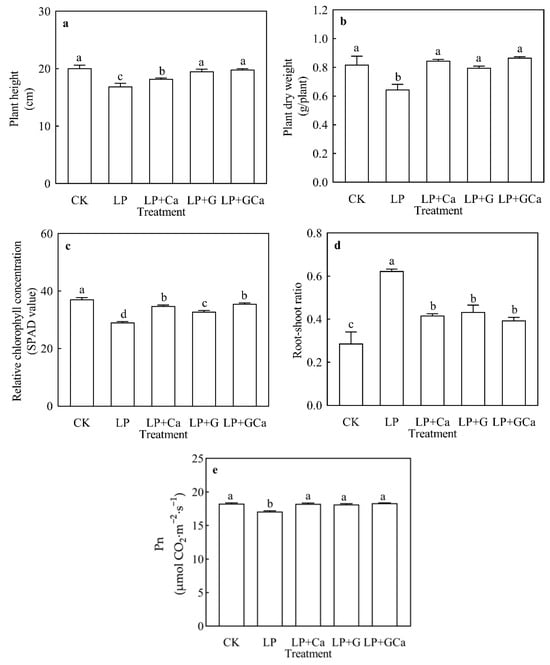
The peanut plants’ growth and physiological parameters were tested through the utilization of GABA and calcium supplementation. Compared with CK, plants that had received LP treatment showed lower plant height, plant dry weight, SPAD value, and Pn (Figure 1a–c,e). The treatment LP + GCa enhanced the plant height, plant dry weight, SPAD value, and Pn compared with LP. LP treatment significantly increased the root–shoot ratio of the peanut (Figure 1d), and LP + GCa significantly decreased the root–shoot ratio (Figure 1c). The LP + G group showed greater plant height than the LP + Ca group; the LP + Ca group showed greater plant dry weight and SPAD values than the LP + G group (Figure 1a–c).
Figure 1.
Effects of exogenous GABA-Ca on growth and development in peanuts under low-P stress. Plant height (a), Plant dry weight (b), Relative chlorophyll concentration (c), Root-shoot ratio (d), and Pn (e). Values are means of three biological replicates ± SE (n = 3). Different and unshared letters above columns in the figures indicate significant differences among the 5 variants (p ≤ 0.05).
3.2. Mineral Element
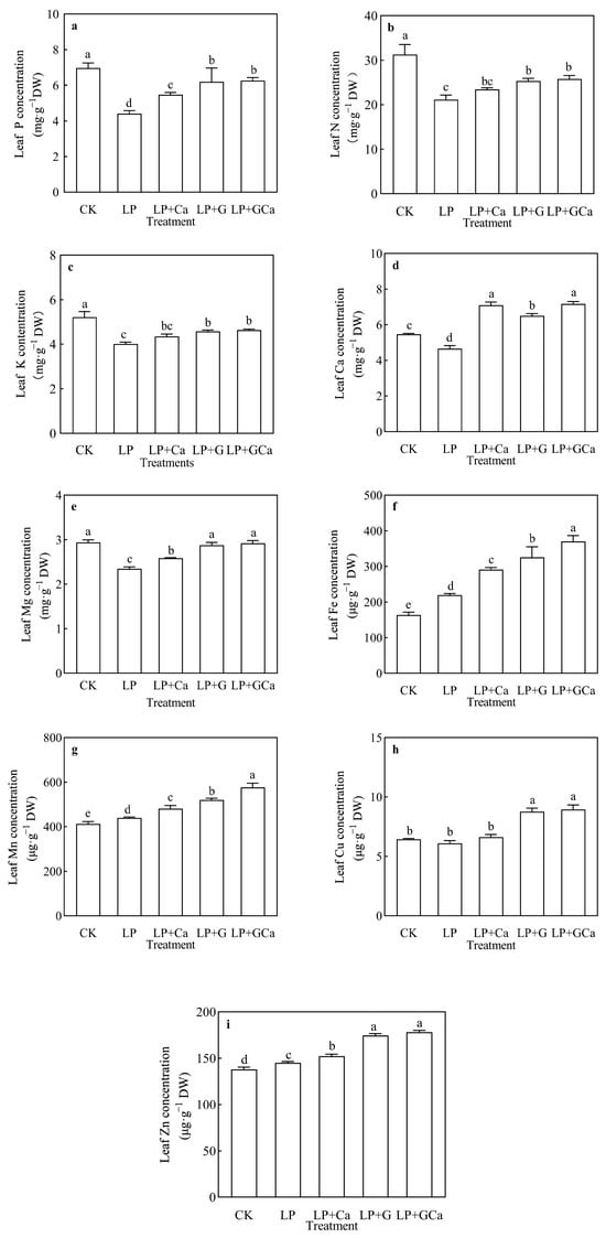
Compared with CK, LP treatment resulted in a lower P concentration in leaves. According to the obtained results, LP + G and LP + GCa significantly increased the observed nutrient levels in peanut plants. LP + G treatment showed higher P concentration in leaves than LP + Ca (Figure 2a). LP + G and LP + GCa treatments significantly increased the N concentration of peanut leaves, LP + Ca, but the effect of the applied treatment was not obvious (Figure 2b).
Figure 2.
Effects of exogenous GABA-Ca on P (a), N (b), K (c), Ca (d), Mg (e), Fe (f), Mn (g), Cu (h), and Zn (i) levels in peanut leaves under low-P stress. Values are means of three biological replicates ± SE (n = 3). There are different and unshared letters above columns in the figures which indicate significant differences among the 5 variants (p ≤ 0.05).
3.3. ROS
The LP treatment caused a higher leaf O2•− generation rate and H2O2 level compared with CK (Figure 3a,b). Furthermore, exogenous GABA-Ca alleviated oxidative damage in peanut leaves under LP stress, as indicated by a significant reduction in MDA content (Figure 3c). LP + Ca, LP + G, and LP + GCa treatments significantly reduced the ROS in peanut leaves under low P. The combined application of GABA and Ca proved more effective than the sole application of GABA or Ca.
Figure 3.
Effects of exogenous GABA-Ca on H2O2 content (a), O2•− generation rate (b), and MDA content (c) in peanut leaves under low-P stress. Values are means of three biological replicates ± SE (n = 3). Different and unshared letters above columns in the figures indicate significant differences among the 5 variants (p ≤ 0.05).
3.4. Antioxidant Enzyme Activity
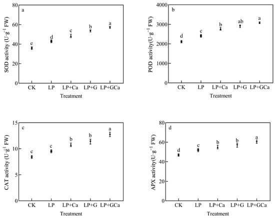
Compared with CK, LP treatment induced higher antioxidant enzymatic activity in leaves. The application of GABA and Ca2+ significantly enhanced the antioxidant activity of the peanut plants except for control or CK plants (Figure 4a,b,d). The LP + GCa treatment showed a significant difference from all other remaining treatments. The LP + GCa treatment significantly enhanced SOD, POD, CAT, and APX enzyme activities (Figure 4a–d). However, the LP + G treatment showed higher antioxidant enzyme activities compared with LP + Ca.
Figure 4.
Effects of exogenous GABA-Ca on SOD (a), POD (b), CAT (c), and APX (d) activity in peanut leaves under low-P stress. Values are means of three biological replicates ± SE (n = 3). Different and unshared letters above columns in the figures indicate significant differences among the 5 variants (p ≤ 0.05).
3.5. Photosystem I and II Activity
Compared with CK, LP treatment was associated with lower Y (I), Y (II), and Fv/Fm in leaves. Compared with LP, LP + Ca, LP + G, and LP + GCa treatments significantly increased the Fv/Fm in peanut leaves under low-P stress (Figure 5a). Compared with LP, LP + Ca, LP + G, and LP + GCa treatments significantly decreased the NPQ in peanut leaves under low-P stress (Figure 5b). CK and LP + GCa had the highest Y (I), followed by LP + Ca and LP + GABA, with the lowest values observed in LP (Figure 5c). CK and LP + GCa treatments had the highest Y (II), followed by LP + Ca, while the lowest was observed in LP treatment (Figure 5d).
Figure 5.
Effects of exogenous GABA-Ca on Fv/Fm (a), NPQ (b), Y (I) (c), and Y (II) (d) in peanut leaves under low-P stress. Values are means of three biological replicates ± SE (n = 3). Different and unshared letters above columns in the figures indicate significant differences among the 5 variants (p ≤ 0.05).
3.6. ETR and CEF
The light response curve indicated the relative electron flow rate of the photosystem under different light intensities (Figure 6a,b). The difference between ETR (II) and ETR (I) was cyclic electron flow (Figure 6c). Compared with CK, LP treatment was associated with lower ETR (II) and ETR (I) in leaves (Figure 6a,b). LP + GCa treatment enhanced both ETR (II) and ETR (I) under high-light conditions compared with LP (Figure 6a,b). Compared with CK, LP treatment was associated with higher CEF in leaves (Figure 6c). LP + Ca was associated with higher ETR (II), ETR (I), and CEF compared with LP + G (Figure 6a–c).
Figure 6.
Effects of exogenous GABA-Ca on ETR (II) (a), ETR (I) (b), CEF (c), and Y (CEF)/Y (II) (d) in peanut leaves under low-P stress. Values are means of three biological replicates ± SE (n = 3).
3.7. ∆pH and ∆Ψ
The increased ∆pH of the thylakoid indicated thylakoid lumen acidification. Compared with CK, LP treatment was associated with a higher ∆pH of thylakoids in leaves (Figure 7a,b). Compared with LP treatment, LP + Ca, LP + G, and LP + GCa treatments significantly reduced the ∆pH of thylakoids in peanut leaves under low-P stress (Figure 7b).
Figure 7.
Effects of exogenous GABA-Ca on the proton gradient (∆pH) and membrane potential (∆Ψ) (a,b) in peanut leaves under low-P stress. Values are means of three biological replicates ± SE (n = 3). Different and unshared letters above columns in the figures indicate significant differences among the 5 variants (p ≤ 0.05).
3.8. Thylakoid Membrane Integrity and ATP Synthase Activity
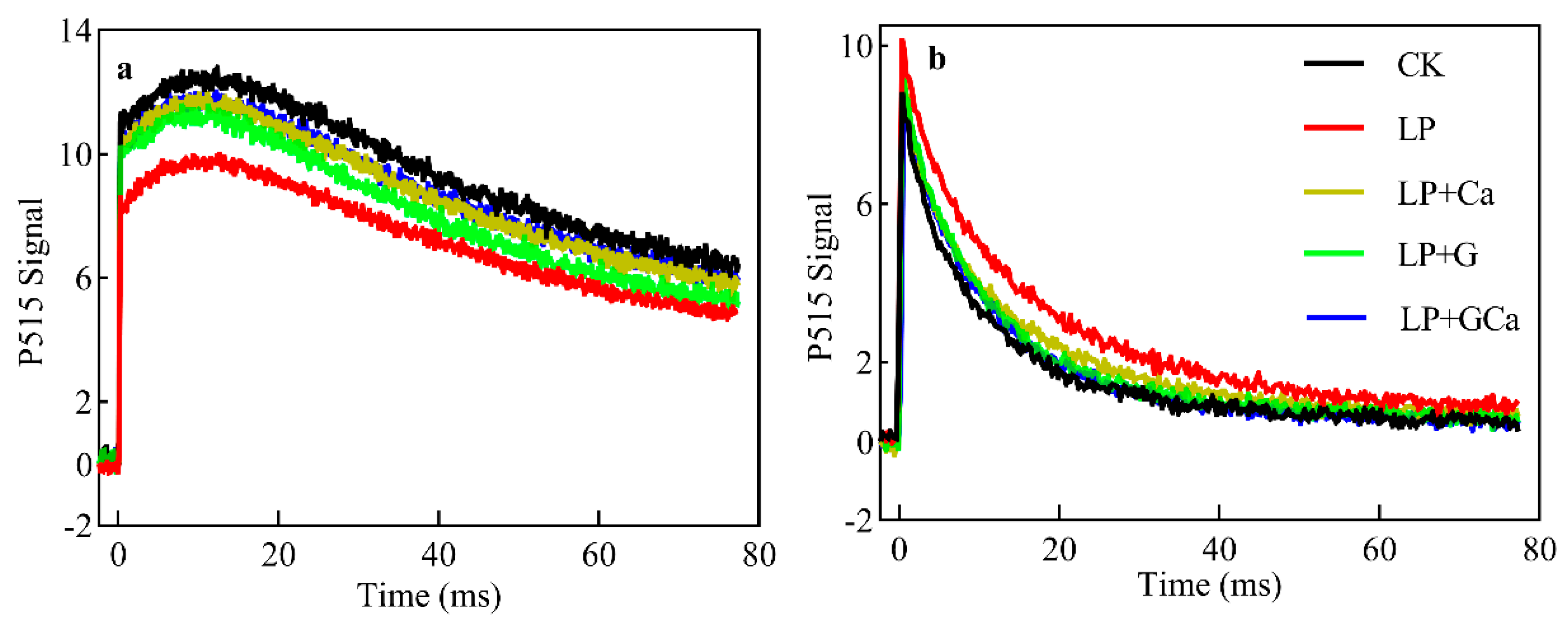
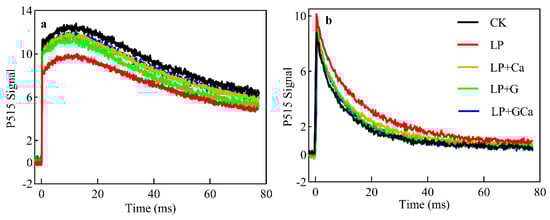
The faster decay of the P515 signal in the dark indicated that the thylakoid membrane integrity was impaired (Figure 8a). The lower decay of the P515 signal after light exposure indicated that ATP synthase activity was inhibited (Figure 8b). Compared with CK, LP treatment was associated with lower thylakoid membrane integrity and ATP synthase activity in leaves (Figure 8a,b). LP + GCa treatment significantly enhanced thylakoid membrane integrity and ATP synthase activity (Figure 8a,b).
Figure 8.
Effects of exogenous GABA-Ca on rapid P515 kinetics (a,b) in peanut leaves under low-P stress. Rapid kinetics over 1 h in darkness: thylakoid membrane integrity (a). Rapid kinetics under light exposure for 10 min at 1000 μmol photons·m−2·s−1 and darkness for 4 min: ATP synthase activity (b) in peanut leaves under low-P stress. Values are means of three biological replicates ± SE (n = 3).
4. Discussion
Low availability of P in soils is one of the key factors affecting crop production [1], and the cultivation of peanuts is highly sensitive to P supply [12]. A search of the literature revealed that there are limited studies pertaining to the improvement of growth and physiological resilience to low-P conditions for peanuts. Guo et al. [30] and Wu et al. [42] demonstrated that exogenous GABA application was effective in improving plants’ resilience to a variety of abiotic stresses, and Sun et al. [13] recently confirmed this statement. Exogenous Ca2+ is also beneficial for mitigating low-P stress in peanuts [15]. Additionally, there may be complex signal crosstalk between GABA and Ca2+ [30]. At present, there is limited information regarding the effects of GABA-Ca on strengthening plants’ resilience to low-P conditions. Our study demonstrated that a combination of GABA-Ca, containing 10 mM GABA and 15 mM Ca2+, alleviated the sub-optimal physiological status of peanut plants growing in low-P conditions.
4.1. Effects of GABA-Ca on Growth, Leaf Nutrients, and ROS in Peanut Under Low-P Stress
Exogenous GABA-Ca enhanced the height (Figure 1a), dry matter weight (Figure 1b), and chlorophyll concentration (Figure 1c) of peanut plants under low-P stress and alleviated the influence of P deficiency on peanut growth. Previous studies have shown that GABA and Ca2+ restored the growth inhibition of peanuts under low-P stress [13,15]. This study further demonstrated that the combination of GABA and Ca was more effective (Figure 1) in enhancing P (Figure 2a), N (Figure 2b), K (Figure 2c), Ca (Figure 2d), Mg (Figure 2e), Fe (Figure 2f), Mn (Figure 2g), Cu (Figure 2h), and Zn (Figure 2i) concentrations in peanut leaves under low-P stress, while P deficiency lowered the N, P, K, Ca, and Mg concentrations in peanut leaves. GABA generally regulates the activity of plant-specific anion transporters and is also recognized as a plant ion regulator [43,44]. GABA delivered a better effect on mineral element accumulation in leaves than Ca under LP. However, Ca had a better effect on SPAD and plant dry weight than GABA under LP.
Based on our analyses, the O2•− generation rate (Figure 3b), H2O2 content (Figure 3a), MDA content (Figure 3c), antioxidant enzyme activity (Figure 4), and thylakoid membrane integrity (Figure 8a) demonstrated that exogenous GABA-Ca alleviated the photooxidative stress induced in peanut leaves by low-P stress. P deficiency induces oxidative stress and damages cell membranes [13]. The application of GABA has been found to enhance the antioxidant enzyme activity of maize under salt stress and reduce the levels of O2·− and MDA in leaves [45]. GABA also enhances the antioxidant capacity of seedlings under stress and significantly decreases ROS and MDA accumulation [46]. Exogenous GABA improved the activity of antioxidant enzymes such as POD, CAT, and SOD, and it diminished the steady-state level of ROS. Existing study results suggest that GABA application, which reduces the levels of accumulated O2·−, H2O2, and MDA, results in alleviation of oxidative damage in plants under drought and salt stress [47]. Similarly, Ca2+ alleviates oxidative damage in crops under stress by enhancing the activity of enzymes such as SOD and CAT, which are crucial for the detoxifying action of the ROS scavenging system in plants [48]. Sun et al. [15] found that exogenous Ca2+ reduces the ROS levels in peanut plants under low-P stress, thereby mitigating oxidative stress damage. GABA also delivered a better effect on antioxidant enzyme activities than Ca under LP. GABA and Ca2+ are closely involved in antioxidant defense mechanisms, and combined GABA-Ca treatment further enhances the antioxidant capacity of peanuts under low-P stress and enhances their resistance to low-P stress.
4.2. GABA-Ca Enhances CEF and Alleviates Photoinhibition in Peanut Leaves Under Low-P Stress
Exogenous GABA has been proven to regulate the photosynthetic electron transport chain (PETC) in plants by reducing the stress induced by ROS. The excess electrons in the PETC may increase ROS production, thereby reducing photosynthetic activity. Based on our analyses, exogenous GABA-Ca decreased the acidity of the thylakoid lumen (Figure 8a) and increased linear electron flow (LEF) (Figure 6a,b) and CEF (Figure 6c,d) in leaves of peanuts under low-P stress. The water splitting and plastoquinone (PQ) cycle within the PETC transports H+ into the thylakoid lumen [49]. Therefore, improvements in the CEF and LEF contribute to H+ accumulation in the thylakoid lumen [49]. Controlled H+ efflux via ATP synthase in the thylakoid lumen is a key factor in the photoprotection mechanism of “photosynthetic control” [50]. Under low-P stress, the activity of ATP synthase (Figure 8b) in the thylakoid of leaves decreased, leading to the accumulation of protons in the thylakoid lumen (Figure 7b). This regulates photosynthetic control mechanisms aligned with the previous findings [13,15]. Photosynthetic control mechanisms are crucial for the photosystem because they adjust photosynthetic electron transport to balance energy supply and demand [51]. The increase in ATP synthase activity is the main factor through which GABA-Ca alleviates the acidification of the thylakoid lumen in peanut leaves under low-P stress.
GABA-Ca enhanced the CEF in peanut leaves under low-P stress, particularly under high light intensity (Figure 6). Under LEF-limited conditions, CEF around PSI can contribute a higher ΔpH intensity [52]. Under low-P stress, an increase in the CEF helps to achieve photosynthetic control [13]. Both GABA and Ca enhance the CEF of peanuts under low-P stress and alleviate photoinhibition [13,15]. However, it appears paradoxical that CEF transports more H+ to the thylakoid lumen, where acidification needs to be reduced. CEF includes two pathways: proton gradient regulation 5 (PGR5)/PRG5-like photosynthetic phenotype 1 (PGRL1) and NADH dehydrogenase-like complex [53]. Lu et al. [54] showed that the inhibiting pathway of CEF significantly reduces the ΔpH in the thylakoid. The increase in CEF (Figure 6) induced by GABA-Ca under low P was not considered to conflict with the decrease in H+ (Figure 7). The significant increase in and flexible regulation of CEF induced by GABA-Ca contributed to maintaining ∆pH stability, prevent an excessive decrease in ΔpH due to substantial H+ efflux induced by ATP synthase activity contributing to the excessive acidification of thylakoid lumen. Improvement in CEF is necessary despite the generation of a ΔpH gradient without PSII [54]. Our results suggest that GABA-Ca-induced CEF elevation is beneficial for the regulation of thylakoid acidification.
5. Conclusions
Low-P stress in peanut plants induced severe leaf-level photoinhibition and ROS toxicity that significantly limited photosynthesis and growth. Exogenous GABA-Ca effectively improved the sub-optimal physiological status under low-P stress through various processes: it activated the antioxidant enzyme system, reduced oxidative damage to the photosynthetic membrane, and decreased the ROS toxicity induced by low P. Additionally, exogenous GABA-Ca effectively balanced the H+ accumulation in the thylakoid lumen by enhancing the CEF and increasing ATP synthase activity. Under low P, exogenous GABA restored key physiological attributes such as plant height, foliar mineral content, and antioxidant enzyme activities. Interestingly, exogenous Ca delivered better effects on foliar chlorophyll (SPAD values), plant dry weight, and photochemical activity than GABA. Compared to the sole application of either Ca2+ or GABA, combined GABA-Ca application further alleviated P deficiency symptoms, including increased root–shoot ratios, photoinhibition, and ROS toxicity. The underlying mechanism of GABA-Ca interactions in plants is unclear and requires further research. We postulated that there might be a plausible signal amplification between GABA and Ca2+, suggesting that the combination of GABA and Ca may offer an effective strategy for enhancing peanut adaptation to low-P conditions. Moving forward, the strategic supplementation of GABA-Ca, either during cultivation or by formulating novel fertilizers, opens up many possibilities for better and more resilient plant production.
Author Contributions
Conceptualization: Y.L., X.H. and J.W.H.Y.; methodology: Z.S., M.M. and D.T.; formal analysis: Z.S. and H.L.; data curation: Y.L.; writing—original draft preparation: Z.S.; writing—review and editing: Z.S., Y.L., S.A.S. and J.W.H.Y.; supervision: Y.L. and J.W.H.Y.; project administration: Y.L. All authors have read and agreed to the published version of the manuscript.
Funding
This research was funded by the Liaoning Province International Science and Technology Cooperation Project (2024JH2/101900004); the Liaoning Province Science and Technology Plan Project (2023JH1/10200009); the National Key R&D Program of China (2018YFD1000703, 2018YFD1000700); the National Natural Science Foundation of China (31772391, 31601627, and 31301842); the China Scholarship Council Cooperation Project with Canada, Australia, New Zealand and Latin America for Scientific Research and High-level Personnel Training (Z20230147); and the ARC Linkage Project (LP200100341).
Institutional Review Board Statement
Not applicable.
Informed Consent Statement
Not applicable.
Data Availability Statement
The data presented in this study are available on request from the corresponding author.
Acknowledgments
This study was carried out with support from the China Scholarship Council (No. 202408210273). Special thanks to Nanning Hanhe Biotechnology Co., Ltd. for providing high-quality GABA agents for this study.
Conflicts of Interest
The authors declare no conflicts of interest.
References
- Hou, E.; Luo, Y.; Kuang, Y.; Chen, C.; Lu, X.; Jiang, L.; Luo, X.; Wen, D. Global meta-analysis shows pervasive phosphorus limitation of aboveground plant production in natural terrestrial ecosystems. Nat. Commun. 2020, 11, 637. [Google Scholar] [CrossRef] [PubMed]
- López-Arredondo, D.L.; Leyva-González, M.A.; González-Morales, S.I.; López-Bucio, J.; Herrera-Estrella, L. Phosphate nutrition: Improving low-phosphate tolerance in crops. Annu. Rev. Plant Biol. 2014, 65, 95–123. [Google Scholar] [CrossRef] [PubMed]
- Dong, R.; Hu, W.; Bu, L.; Cheng, H.; Liu, G. Legume cover crops alter soil phosphorus availability and microbial community composition in mango orchards in karst areas. Agric. Ecosyst. Environ. 2024, 364, 108906. [Google Scholar] [CrossRef]
- Yu, X.; Keitel, C.; Dijkstra, F.A. Global analysis of phosphorus fertilizer use efficiency in cereal crops. Glob. Food Sec. 2021, 29, 100545. [Google Scholar] [CrossRef]
- Roy, E.D.; Richards, P.D.; Martinelli, L.A.; Coletta, L.D.; Lins, S.R.M.; Vazquez, F.F.; Willig, E.; Spera, S.A.; VanWey, L.K.; Porder, S. The phosphorus cost of agricultural intensification in the tropics. Nat. Plants 2016, 2, 16043. [Google Scholar] [CrossRef]
- Zhao, Y.; Deng, X.; Zhang, J.-Y.; Xi, B.; Lu, Q. Progress on preventing and controlling strategies of lake eutrophication in China. Environ. Technol. 2010, 33, 92–98. [Google Scholar]
- Smil, V. Phosphorus in the environment: Natural flows and human interferences. Annu. Rev. Environ. Resour. 2000, 25, 53–88. [Google Scholar] [CrossRef]
- Tilman, D.; Fargione, J.E.; Wolff, B.G.; D’Antonio, C.M.; Dobson, A.P.; Howarth, R.W.; Schindler, D.W.; Schlesinger, W.H.; Simberloff, D.; Swackhamer, D.L. Forecasting agriculturally driven global environmental change. Science 2001, 292, 281–284. [Google Scholar] [CrossRef]
- Chowdhury, R.B.; Moore, G.A.; Weatherley, A.J.; Arora, M. Key sustainability challenges for the global phosphorus resource, their implications for global food security, and options for mitigation. J. Clean. Prod. 2017, 140, 945–963. [Google Scholar] [CrossRef]
- Lambers, H.; Oliveira, R. Plant Physiological Ecology, 3rd ed.; Springer: Berlin/Heidelberg, Germany, 2019. [Google Scholar]
- Lambers, H. Phosphorus Acquisition and Utilization in Plants. Annu. Rev. Plant Biol. 2022, 73, 17–42. [Google Scholar] [CrossRef]
- Shi, Q.; Pang, J.; Yong, J.W.H.; Bai, C.; Pereira, C.G.; Song, Q.; Wu, D.; Dong, Q.; Cheng, X.; Wang, F.; et al. Phosphorus-fertilisation has differential effects on leaf growth and photosynthetic capacity of Arachis hypogaea L. Plant Soil. 2020, 447, 99–116. [Google Scholar] [CrossRef]
- Sun, Z.; Bai, C.; Liu, Y.; Ma, M.; Zhang, S.; Liu, H.; Bai, R.; Han, X.; Yong, J.W.H. Resilient and sustainable production of peanut (Arachis hypogaea) in phosphorus-limited environment by using exogenous gamma-aminobutyric acid to sustain photosynthesis. Ecotox. Environ. Safe 2023, 263, 115388. [Google Scholar] [CrossRef] [PubMed]
- Zeng, R.; Chen, T.; Li, X.; Cao, J.; Li, J.; Xu, X.; Zhang, L.; Chen, Y. Integrated physiological, transcriptomic and metabolomic analyses reveal the mechanism of peanut kernel weight reduction under waterlogging stress. Plant Cell Environ. 2024, 47, 3198–3214. [Google Scholar] [CrossRef] [PubMed]
- Sun, Z.; Liu, X.; Zhang, S.; Ma, M.; Bai, R.; Liu, H.; Yi, B.; Han, X.; Liu, Y. Exogenous calcium alleviates phosphorus deficiency-induced photosynthetic inhibition in peanuts (Arachis hypogaea). J. Plant Nutr. 2022, 28, 1055–1066. [Google Scholar]
- Foster, A.C.; Kemp, J.A. Glutamate- and GABA-based CNS therapeutics. Curr. Opin. Pharmacol. 2006, 6, 7–17. [Google Scholar] [CrossRef]
- Sun, Y.; Mehmood, A.; Battino, M.; Xiao, J.; Chen, X. Enrichment of gamma-aminobutyric acid in foods: From conventional methods to innovative technologies. Int. Food Res. J. 2022, 162, 111801. [Google Scholar] [CrossRef]
- Hou, D.; Tang, J.; Feng, Q.; Niu, Z.; Shen, Q.; Wang, L.; Zhou, S. Gamma-aminobutyric acid (GABA): A comprehensive review of dietary sources, enrichment technologies, processing effects, health benefits, and its applications. Crit. Rev. Food Sci. Nutr. 2023, 64, 8852–8874. [Google Scholar] [CrossRef]
- Boonstra, E.; de Kleijn, R.; Colzato, L.S.; Alkemade, A.; Forstmann, B.U.; Nieuwenhuis, S. Neurotransmitters as food supplements: The effects of GABA on brain and behavior. Front. Psychol. 2015, 6, 01520. [Google Scholar] [CrossRef]
- Renes, E.; Linares, D.M.; González, L.; Fresno, J.M.; Tornadijo, M.E.; Stanton, C. Production of conjugated linoleic acid and gamma-aminobutyric acid by autochthonous lactic acid bacteria and detection of the genes involved. J. Funct. Food 2017, 34, 340–346. [Google Scholar] [CrossRef]
- Bown, A.W.; Shelp, B.J. Plant GABA: Not just a metabolite. Trends Plant Sci. 2016, 21, 811–813. [Google Scholar] [CrossRef]
- Liu, C.; Wang, H.; Zhang, X.; Ma, F.; Guo, T.; Li, C. Activation of the ABA signal pathway mediated by GABA improves the drought resistance of apple seedlings. Int. J. Mol. Sci. 2021, 22, 12676. [Google Scholar] [CrossRef] [PubMed]
- Knight, M.R.; Campbell, A.K.; Smith, S.M.; Trewavas, A.J. Transgenic plant aequorin reports the effects of touch and cold-shock and elicitors on cytoplasmic calcium. Nature 1991, 352, 524–526. [Google Scholar] [CrossRef] [PubMed]
- Kinnersley, A.M.; Turano, F.J. Gamma aminobutyric acid (GABA) and plant responses to stress. Crit. Rev. Plant Sci. 2000, 19, 479–509. [Google Scholar] [CrossRef]
- Braam, J.; Davis, R.W. Rain-, wind-, and touch-induced expression of calmodulin and calmodulin-related genes in Arabidopsis. Cell 1990, 60, 357–364. [Google Scholar] [CrossRef] [PubMed]
- Wu, D.; Liu, Y.; Pang, J.; Yong, J.W.H.; Chen, Y.; Bai, C.; Han, X.; Liu, X.; Sun, Z.; Zhang, S.; et al. Exogenous calcium alleviates nocturnal chilling-induced feedback inhibition of photosynthesis by improving sink demand in peanut (Arachis hypogaea). Front. Plant Sci. 2020, 11, 607029. [Google Scholar] [CrossRef]
- Song, Q.; Liu, Y.; Pang, J.; Yong, J.W.H.; Chen, Y.; Bai, C.; Gille, C.; Shi, Q.; Wu, D.; Han, X.; et al. Supplementary calcium restores peanut (Arachis hypogaea) growth and photosynthetic capacity under low nocturnal temperature. Front. Plant Sci. 2020, 10, 1637. [Google Scholar] [CrossRef]
- Liu, J.; Hu, J.; Li, Y.; Li, G.; Wu, H. Chapter 10-Calcium channels and transporters in plants under salinity stress. In Calcium Transport Elements in Plants; Upadhyay, S.K., Ed.; Academic Press: Cambridge, MA, USA, 2021; pp. 157–169. [Google Scholar]
- Ma, Y.; Wang, P.; Gu, Z.; Tao, Y.; Shen, C.; Zhou, Y.; Han, Y.-B.; Yang, R. Ca2+ involved in GABA signal transduction for phenolics accumulation in germinated hulless barley under NaCl stress. Food Chem. X 2019, 2, 100023. [Google Scholar] [CrossRef]
- Guo, Z.; Gong, J.; Luo, S.; Zuo, Y.; Shen, Y. Role of gamma-aminobutyric acid in plant defense response. Metabolites 2023, 13, 741. [Google Scholar] [CrossRef]
- Xie, C.; Sun, M.; Wang, P.; Yang, R. Interaction of Gamma-Aminobutyric Acid and Ca2+ on Phenolic Compounds Bioaccumulation in Soybean Sprouts under NaCl Stress. Plants 2022, 11, 3503. [Google Scholar] [CrossRef]
- Heath, R.L.; Packer, L. Photoperoxidation in isolated chloroplasts: I. Kinetics and stoichiometry of fatty acid peroxidation. Arch. Biochem. Biophys. 1968, 125, 189–198. [Google Scholar] [CrossRef]
- Gupta, P.; Srivastava, S.; Seth, C.S. 24-Epibrassinolide and Sodium Nitroprusside alleviate the salinity stress in Brassica juncea L. cv. Varuna through cross talk among proline, nitrogen metabolism and abscisic acid. Plant Soil 2017, 411, 483–498. [Google Scholar] [CrossRef]
- Elstner, E.F.; Heupel, A. Inhibition of nitrite formation from hydroxylammoniumchloride: A simple assay for superoxide dismutase. Anal. Biochem. 1976, 70, 616–620. [Google Scholar] [CrossRef] [PubMed]
- Nguyen, T.T.; Uthairatanakij, A.; Srilaong, V.; Laohakunjit, N.; Kato, M.; Jitareerat, P. Impact of electron beam irradiation on the chlorophyll degradation and antioxidant capacity of mango fruit. Appl. Biol. Chem. 2021, 64, 19. [Google Scholar] [CrossRef] [PubMed]
- Egley, G.H.; Paul, R.N.; Vaughn, K.C.; Duke, S.O. Role of peroxidase in the development of water-impermeable seed coats in Sida spinosa L. Planta 1983, 157, 224–232. [Google Scholar] [CrossRef]
- Misra, H.P.; Fridovich, I. The Role of Superoxide Anion in the Autoxidation of Epinephrine and a Simple Assay for Superoxide Dismutase. J. Biol. Chem. 1972, 247, 3170–3175. [Google Scholar] [CrossRef]
- Nakano, Y.; Asada, K. Hydrogen Peroxide is Scavenged by Ascorbate-specific Peroxidase in Spinach Chloroplasts. Plant Cell Physiol. 1981, 22, 867–880. [Google Scholar] [CrossRef]
- Hadwan, M. Simple spectrophotometric assay for measuring catalase activity in biological tissues. BMC Biochem. 2018, 19, 1. [Google Scholar] [CrossRef]
- Dahnke, W.C.; Johnson, G.V. Testing Soils for Available Nitrogen. In Soil Testing and Plant Analysis; SSSA Book Series; SSSA: Madison, WI, USA, 1990; pp. 127–139. [Google Scholar]
- Jones, J.B. Phosphorus toxicity in tomato plants: When and how does it occur? Commun. Soil Sci. Plant Anal. 1998, 29, 1779–1784. [Google Scholar] [CrossRef]
- Wu, X.; Jia, Q.; Ji, S.; Gong, B.; Li, J.; Lü, G.; Gao, H. Gamma-aminobutyric acid (GABA) alleviates salt damage in tomato by modulating Na+ uptake, the GAD gene, amino acid synthesis and reactive oxygen species metabolism. BMC Plant Biol. 2020, 20, 465. [Google Scholar] [CrossRef]
- Ramesh, S.A.; Tyerman, S.D.; Xu, B.; Bose, J.; Kaur, S.; Conn, V.; Domingos, P.; Ullah, S.; Wege, S.; Shabala, S.; et al. GABA signalling modulates plant growth by directly regulating the activity of plant-specific anion transporters. Nat. Commun. 2015, 6, 7879. [Google Scholar] [CrossRef]
- Ramesh, S.A.; Kamran, M.; Sullivan, W.; Chirkova, L.; Okamoto, M.; Degryse, F.; McLaughlin, M.; Gilliham, M.; Tyerman, S.D. Aluminum-activated malate transporters can facilitate GABA transport. Plant Cell 2018, 30, 1147–1164. [Google Scholar] [CrossRef] [PubMed]
- Wang, Y.; Gu, W.; Meng, Y.; Xie, T.; Li, L.; Li, J.; Wei, S. Gamma-aminobutyric acid imparts partial protection from salt stress injury to maize seedlings by improving photosynthesis and upregulating osmoprotectants and antioxidants. Sci. Rep. 2017, 7, 43609. [Google Scholar] [CrossRef]
- Salah, A.; Zhan, M.; Cao, C.; Han, Y.; Ling, L.; Liu, Z.; Li, P.; Ye, M.; Jiang, Y. γ-Aminobutyric Acid Promotes Chloroplast Ultrastructure, Antioxidant Capacity, and Growth of Waterlogged Maize Seedlings. Sci. Rep. 2019, 9, 484. [Google Scholar] [CrossRef] [PubMed]
- Zhou, M.; Hassan, M.J.; Peng, Y.; Liu, L.; Liu, W.; Zhang, Y.; Li, Z. γ-Aminobutyric acid (GABA) priming improves seed germination and seedling stress tolerance associated with enhanced antioxidant metabolism, DREB expression, and dehydrin accumulation in white clover under water stress. Front. Plant Sci. 2021, 12, 776939. [Google Scholar] [CrossRef] [PubMed]
- Hu, W.; Wu, Q.; Liu, X.; Shen, Z.; Chen, J.; Liu, T.; Chen, J.; Zhu, C.; Wu, F.; Chen, L.; et al. Comparative proteomic analysis reveals the effects of exogenous calcium against acid rain stress in Liquidambar formosana Hance leaves. J. Proteome Res. 2016, 15, 216–228. [Google Scholar] [CrossRef]
- Tikkanen, M.; Mekala, N.R.; Aro, E.-M. Photosystem II photoinhibition-repair cycle protects Photosystem I from irreversible damage. Biochim. Biophys. Acta (BBA)-Bioenerg. 2014, 1837, 210–215. [Google Scholar] [CrossRef]
- Barbato, R.; Tadini, L.; Cannata, R.; Peracchio, C.; Jeran, N.; Alboresi, A.; Morosinotto, T.; Bajwa, A.A.; Paakkarinen, V.; Suorsa, M.; et al. Higher order photoprotection mutants reveal the importance of ΔpH-dependent photosynthesis-control in preventing light induced damage to both photosystem II and photosystem I. Sci. Rep. 2020, 10, 6770. [Google Scholar] [CrossRef]
- Foyer, C.H.; Neukermans, J.; Queval, G.; Noctor, G.; Harbinson, J. Photosynthetic control of electron transport and the regulation of gene expression. J. Exp. Bot. 2012, 63, 1637–1661. [Google Scholar] [CrossRef]
- Yamori, W.; Makino, A.; Shikanai, T. A physiological role of cyclic electron transport around photosystem I in sustaining photosynthesis under fluctuating light in rice. Sci. Rep. 2016, 6, 20147. [Google Scholar] [CrossRef]
- Ma, M.; Liu, Y.; Bai, C.; Yang, Y.; Sun, Z.; Liu, X.; Zhang, S.; Han, X.; Yong, J.W.H. The physiological functionality of PGR5/PGRL1-dependent cyclic electron transport in sustaining photosynthesis. Front. Plant Sci. 2021, 12, 702196. [Google Scholar] [CrossRef]
- Lu, J.; Wang, Z.; Yang, X.; Wang, F.; Qi, M.; Li, T.; Liu, Y. Cyclic electron flow protects photosystem I donor side under low night temperature in tomato. Environ. Exp. Bot. 2020, 177, 104151. [Google Scholar] [CrossRef]
Disclaimer/Publisher’s Note: The statements, opinions and data contained in all publications are solely those of the individual author(s) and contributor(s) and not of MDPI and/or the editor(s). MDPI and/or the editor(s) disclaim responsibility for any injury to people or property resulting from any ideas, methods, instructions or products referred to in the content. |
© 2024 by the authors. Licensee MDPI, Basel, Switzerland. This article is an open access article distributed under the terms and conditions of the Creative Commons Attribution (CC BY) license (https://creativecommons.org/licenses/by/4.0/).







