Employing Titanium Dioxide Nanoparticles as Biostimulant against Salinity: Improving Antioxidative Defense and Reactive Oxygen Species Balancing in Eggplant Seedlings
Abstract
1. Introduction
2. Materials and Methods
2.1. Characterization of TiO2-NPs
2.2. Plant Growth and Experimental Conditions
2.3. Chlorophyll Fluorescence
2.4. Growth Attributes
2.5. Enzymatic Activity and TSP
2.6. Stress Indicators and Toxic Ion
2.7. Statistical Analysis
3. Results
3.1. Characterization of Nanoparticles
3.1.1. XRD and FTIR Analysis
3.1.2. SEM and TGA
3.2. Chlorophyll Fluorescence
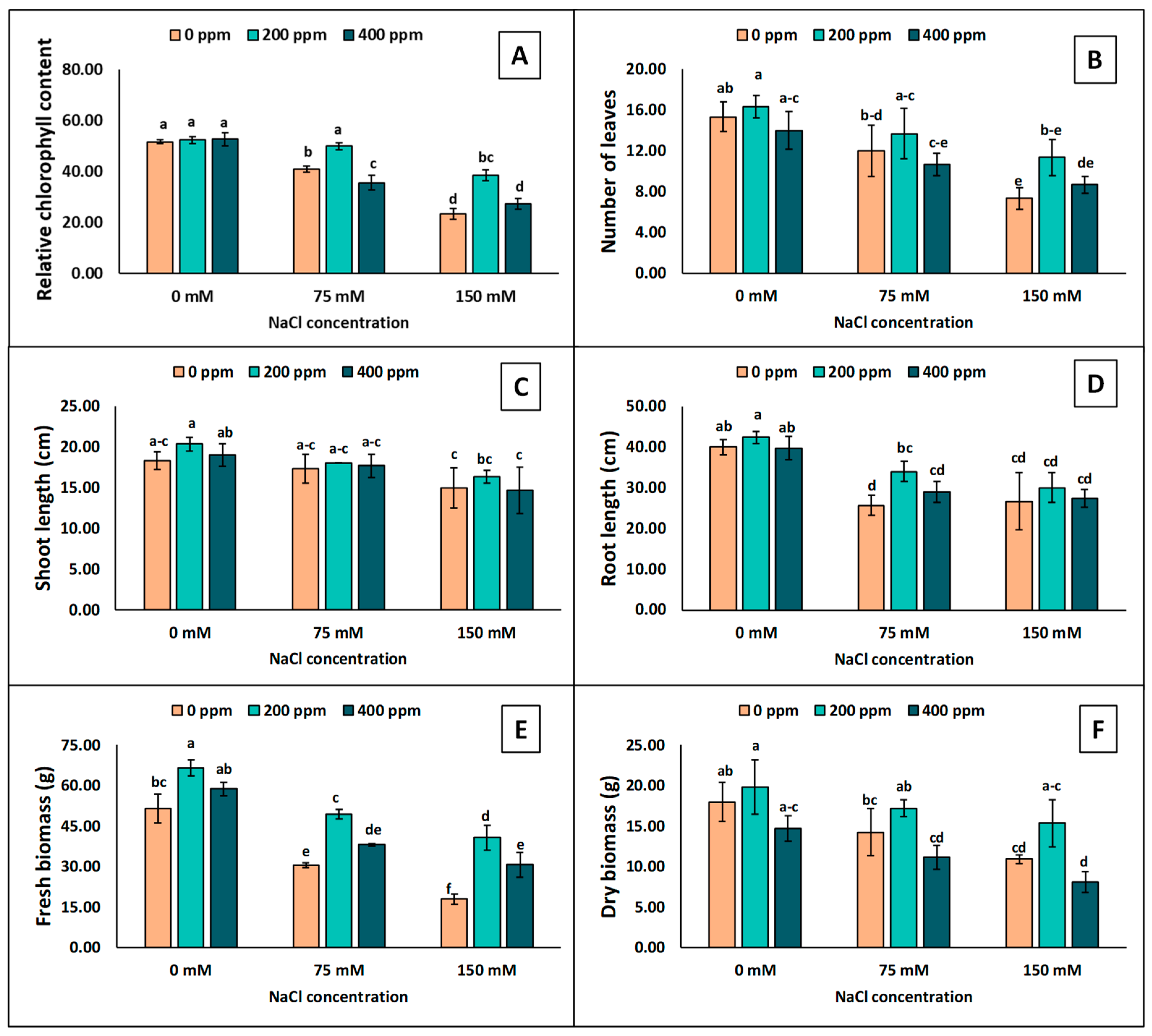
3.3. Growth Attributes
3.4. Enzymatic Activity and TSP
3.5. Stress Indicators and Toxic Ions
3.6. Pearson’s Correlation
3.7. PCA
4. Discussion
5. Conclusions
Supplementary Materials
Author Contributions
Funding
Institutional Review Board Statement
Informed Consent Statement
Data Availability Statement
Conflicts of Interest
References
- Karaca, C.; Aslan, G.E.; Buyuktas, D.; Kurunc, A.; Bastug, R.; Navarro, A. Effects of salinity stress on drip-irrigated tomatoes grown under mediterranean-type greenhouse conditions. Agronomy 2022, 13, 36. [Google Scholar] [CrossRef]
- Ahmed, M.Z.; Gul, B.; Khan, M.A.; Watanabe, K.N. Characterization and function of sodium exchanger genes in Aeluropus lagopoides under NaCl stress. In Halophytes for Food Security in Dry Lands; Academic Press: Cambridge, MA, USA, 2016; pp. 1–16. [Google Scholar]
- Daba, A.W.; Qureshi, A.S. Review of soil salinity and sodicity challenges to crop production in the lowland irrigated areas of Ethiopia and its management strategies. Land 2021, 10, 1377. [Google Scholar] [CrossRef]
- Balasubramaniam, T.; Shen, G.; Esmaeili, N.; Zhang, H. Plants’ response mechanisms to salinity stress. Plants 2023, 12, 2253. [Google Scholar] [CrossRef] [PubMed]
- Junedi, M.A.; Mukhopadhyay, R.; Manjari, K.S. Alleviating salinity stress in crop plants using new engineered nanoparticles (ENPs). Plant Stress 2023, 9, 100184. [Google Scholar] [CrossRef]
- Amer, R. Spatial relationship between irrigation water salinity, waterlogging, and cropland degradation in the arid and semi-arid environments. Remote Sens. 2021, 13, 1047. [Google Scholar] [CrossRef]
- Khalid, M.F.; Abou Elezz, A.; Jawaid, M.Z.; Ahmed, T. Salicylic acid restricts mercury translocation by activating strong antioxidant defense mechanisms in sweet pepper (Capsicum annum L.). Environ. Technol. Innov. 2023, 32, 103283. [Google Scholar] [CrossRef]
- Khalid, M.F.; Shafqat, W.; Khan, R.I.; Jawaid, M.Z.; Hussain, S.; Saqib, M.; Rizwan, M.; Ahmed, T. Unveiling the resilience mechanism: Strigolactones as master regulators of plant responses to abiotic stresses. Plant Stress 2024, 12, 100490. [Google Scholar] [CrossRef]
- Zhang, X.; Zhang, L.; Ma, C.; Su, M.; Wang, J.; Zheng, S.; Zhang, T. Exogenous strigolactones alleviate the photosynthetic inhibition and oxidative damage of cucumber seedlings under salt stress. Sci. Hortic. 2022, 297, 110962. [Google Scholar] [CrossRef]
- Ling, F.; Su, Q.; Jiang, H.; Cui, J.; He, X.; Wu, Z.; Zhang, Z.; Liu, J.; Zhao, Y. Effects of strigolactone on photosynthetic and physiological characteristics in salt-stressed rice seedlings. Sci. Rep. 2020, 10, 6183. [Google Scholar] [CrossRef]
- Liu, J.; Wu, Y.; Dong, G.; Zhu, G.; Zhou, G. Progress of research on the physiology and molecular regulation of sorghum growth under salt stress by gibberellin. Int. J. Mol. Sci. 2023, 24, 6777. [Google Scholar] [CrossRef]
- Mir, R.A.; Somasundaram, R. Salicylic acid and salt stress tolerance in plants: A review. J. Stress Physiol. Biochem. 2021, 17, 32–50. [Google Scholar]
- Khan, A.; Ashraf, M. Exogenously applied ascorbic acid alleviates salt-induced oxidative stress in wheat. Environ. Exp. Bot. 2008, 63, 224–231. [Google Scholar]
- El-Beltagi, H.S.; Ahmad, I.; Basit, A.; Shehata, W.F.; Hassan, U.; Shah, S.T.; Haleema, B.; Jalal, A.; Amin, R.; Khalid, M.A.; et al. Ascorbic acid enhances growth and yield of sweet peppers (Capsicum annum) by mitigating salinity stress. Gesunde Pflanz. 2022, 74, 423–433. [Google Scholar] [CrossRef]
- Mahawar, L.; Živčák, M.; Barboricova, M.; Kovár, M.; Filaček, A.; Ferencova, J.; Vysoká, D.M.; Brestič, M. Effect of copper oxide and zinc oxide nanoparticles on photosynthesis and physiology of Raphanus sativus L. under salinity stress. Plant Physiol. Biochem. 2024, 206, 108281. [Google Scholar] [CrossRef]
- Khalid, M.F.; Iqbal Khan, R.; Jawaid, M.Z.; Shafqat, W.; Hussain, S.; Ahmed, T.; Alina Marc, R. Nanoparticles: The plant saviour under abiotic stresses. Nanomaterials 2022, 12, 3915. [Google Scholar] [CrossRef]
- Lashkary, M.; Moghaddam, M.; Asgharzade, A.; Tatari, M. Titanium dioxide nanoparticle is involved in mitigating NaCl-induced Calendula officinalis L. by activation of antioxidant defense system and accumulation of osmolytes. Plant Physiol. Biochem. 2021, 166, 31–40. [Google Scholar] [CrossRef]
- Mustafa, N.; Raja, N.I.; Ilyas, N.; Ikram, M.; Mashwani, Z.U.R.; Ehsan, M. Foliar applications of plant-based titanium dioxide nanoparticles to improve agronomic and physiological attributes of wheat (Triticum aestivum L.) plants under salinity stress. Green Process. Synth. 2021, 10, 246–257. [Google Scholar] [CrossRef]
- Lei, Z.; Mingyu, S.; Xiao, W.; Chao, L.; Chunxiang, Q.; Liang, C.; Fashui, H. Antioxidant stress is promoted by nano-anatase in spinach chloroplasts under UV-B radiation. Biol. Trace Elem. Res. 2008, 121, 69–79. [Google Scholar] [CrossRef]
- Abdel Latef, A.A.H.; Srivastava, A.K.; El-sadek, M.S.A.; Kordrostami, M.; Tran, L.S.P. Titanium dioxide nanoparticles improve growth and enhance tolerance of broad bean plants under saline soil conditions. Land Degrad. Dev. 2018, 29, 1065–1073. [Google Scholar] [CrossRef]
- Hu, J.; Wu, X.; Wu, F.; Chen, W.; White, J.C.; Yang, Y.; Wang, X. Potential application of titanium dioxide nanoparticles to improve the nutritional quality of coriander (Coriandrum sativum L.). J. Hazard. Mater. 2020, 389, 121837. [Google Scholar] [CrossRef]
- Khan, M.N. Nano-Titanium Dioxide (nano-TiO2) Mitigates NaCl Stress by Enhancing Antioxidative Enzymes and Accumulation of Compatible Solutes in Tomato (Lycopersicon esculentum Mill.); CABI Digital Library: Wallingford, UK, 2016. [Google Scholar]
- Mustafa, N.; Raja, N.I.; Ilyas, N.; Abasi, F.; Ahmad, M.S.; Ehsan, M.; Proćków, J. Exogenous application of green titanium dioxide nanoparticles (TiO2 NPs) to improve the germination, physiochemical, and yield parameters of wheat plants under salinity stress. Molecules 2022, 27, 4884. [Google Scholar] [CrossRef] [PubMed]
- Gohari, G.; Mohammadi, A.; Akbari, A.; Panahirad, S.; Dadpour, M.R.; Fotopoulos, V.; Kimura, S. Titanium dioxide nanoparticles (TiO2 NPs) promote growth and ameliorate salinity stress effects on the essential oil profile and biochemical attributes of Dracocephalum Moldavia. Sci. Rep. 2020, 10, 912. [Google Scholar] [CrossRef] [PubMed]
- Amooaghaie, R.; Majidi, M.; Farhadian, S. Impact of nano-TiO2 on salt stress tolerance of Carum copticum. J. Plant Process Funct. 2022, 11, 19–34. [Google Scholar]
- Rico, C.M.; Peralta-Videa, J.R.; Gardea-Torresdey, J.L. Chemistry, biochemistry of nanoparticles, and their role in antioxidant defense system in plants. In Nanotechnology and Plant Sciences: Nanoparticles and Their Impact on Plants; Springer: Berlin/Heidelberg, Germany, 2015; pp. 1–17. [Google Scholar]
- Tan, W.; Peralta-Videa, J.R.; Gardea-Torresdey, J.L. Interaction of titanium dioxide nanoparticles with soil components and plants: Current knowledge and future research needs–a critical review. Environ. Sci. Nano 2018, 5, 257–278. [Google Scholar] [CrossRef]
- Jiang, Z.; Shen, L.; He, J.; Du, L.; Xia, X.; Zhang, L.; Yang, X. Functional analysis of SmMYB39 in salt stress tolerance of eggplant (Solanum melongena L.). Horticulturae 2023, 9, 848. [Google Scholar] [CrossRef]
- Hanachi, S.; Van Labeke, M.C.; Mehouachi, T. Application of chlorophyll fluorescence to screen eggplant (Solanum melongena L.) cultivars for salt tolerance. Photosynthetica 2014, 52, 57–62. [Google Scholar] [CrossRef]
- Mustafa, Z.; Ayyub, C.M.; Amjad, M.; Ahmad, R. Assessment of biochemical and ionic attributes against salt stress in eggplant (Solanum melongena L.) genotypes. J. Anim. Plant Sci. 2017, 27, 503–509. [Google Scholar]
- Brenes, M.; Solana, A.; Boscaiu, M.; Fita, A.; Vicente, O.; Calatayud, Á.; Plazas, M. Physiological and biochemical responses to salt stress in cultivated eggplant (Solanum melongena L.) and in S. insanum L., a close wild relative. Agronomy 2020, 10, 651. [Google Scholar] [CrossRef]
- Khan, M.; Siddiqui, Z.A.; Parveen, A.; Khan, A.A.; Moon, I.S.; Alam, M. Elucidating the role of silicon dioxide and titanium dioxide nanoparticles in mitigating the disease of the eggplant caused by Phomopsis vexans, Ralstonia solanacearum, and root-knot nematode Meloidogyne incognita. Nanotechnol. Rev. 2022, 11, 1606–1619. [Google Scholar] [CrossRef]
- Hoagland, D.R.; Arnon, D.I. The Water-Culture Method for Growing Plants without Soil; CABI Digital Library: Wallingford, UK, 1938; Volume 347. [Google Scholar]
- Khalid, M.F.; Vincent, C.; Morillon, R.; Anjum, M.A.; Ahmad, S.; Hussain, S. Different strategies lead to a common outcome: Different water-deficit scenarios highlight physiological and biochemical strategies of water-deficit tolerance in diploid versus tetraploid Volkamer lemon. Tree Physiol. 2021, 41, 2359–2374. [Google Scholar] [CrossRef]
- Giannopolitis, C.N.; Ries, S.K. Superoxide dismutases: I. Occurrence in higher plants. Plant Physiol. 1977, 59, 309–314. [Google Scholar] [CrossRef] [PubMed]
- Change, B.; Maehly, A.C. Assay of catalases and peroxidase. Methods Enzym. 1955, 2, 764–775. [Google Scholar]
- Nakano, Y.; Asada, K. Hydrogen peroxide is scavenged by ascorbate-specific peroxidase in spinach chloroplasts. Plant Cell Physiol. 1981, 22, 867–880. [Google Scholar]
- Foyer, C.H.; Halliwell, B. The presence of glutathione and glutathione reductase in chloroplasts: A proposed role in ascorbic acid metabolism. Planta 1976, 133, 21–25. [Google Scholar] [CrossRef] [PubMed]
- Bradford, M.M. A rapid and sensitive method for the quantitation of microgram quantities of protein utilizing the principle of protein-dye binding. Anal. Biochem. 1976, 72, 248–254. [Google Scholar] [CrossRef] [PubMed]
- Velikova, V.; Yordanov, I.; Edreva, A.J.P.S. Oxidative stress and some antioxidant systems in acid rain-treated bean plants: Protective role of exogenous polyamines. Plant Sci. 2000, 151, 59–66. [Google Scholar] [CrossRef]
- Heath, R.L.; Packer, L. Photoperoxidation in isolated chloroplasts: I. Kinetics and stoichiometry of fatty acid peroxidation. Arch. Biochem. Biophys. 1968, 125, 189–198. [Google Scholar] [CrossRef]
- Ryan, J.; Estefan, G.; Rashid, A. Soil and Plant Analysis Laboratory Manual; ICARDA: Beirut, Lebanon, 2001. [Google Scholar]
- Gomez, K.A.; Gomez, A.A. Statistical Procedures for Agricultural Research; John Wiley & Sons: Hoboken, NJ, USA, 1984. [Google Scholar]
- Matouke, M.M. FTIR study of the binary effect of titanium dioxide nanoparticles (nTiO2) and copper (Cu2+) on the biochemical constituents of liver tissues of catfish (Clarias gariepinus). Toxicol. Rep. 2019, 6, 1061–1070. [Google Scholar] [CrossRef]
- Hamdan, S.A.; Ibrahim, I.M.; Ali, I.M. Comparison of anatase and rutile TiO2 nanostructure for gas sensing application. Dig. J. Nanomater. Biostructures 2020, 15, 1001–1008. [Google Scholar] [CrossRef]
- Sacco, A.; Mandrile, L.; Tay, L.L.; Itoh, N.; Raj, A.; Moure, A.; Del Campo, A.; Fernandez, J.F.; Paton, K.R.; Wood, S.; et al. Quantification of titanium dioxide (TiO2) anatase and rutile polymorphs in binary mixtures by Raman spectroscopy: An interlaboratory comparison. Metrologia 2023, 60, 055011. [Google Scholar] [CrossRef]
- Alsaiari, M.A.; Alhemiary, N.A.; Umar, A.; Hayden, B.E. Growth of amorphous, anatase and rutile phase TiO2 thin films on Pt/TiO2/SiO2/Si (SSTOP) substrate for resistive random access memory (ReRAM) device application. Ceram. Int. 2020, 46, 16310–16320. [Google Scholar] [CrossRef]
- Munns, R.; Tester, M. Mechanisms of salinity tolerance. Annu. Rev. Plant Biol. 2008, 59, 651–681. [Google Scholar] [CrossRef] [PubMed]
- Khalid, M.F.; Hussain, S.; Anjum, M.A.; Ali, M.A.; Ahmad, S.; Ejaz, S.; Ali, S.; Usman, M.; Haque, E.U.; Morillon, R. Efficient compartmentalization and translocation of toxic minerals lead tolerance in volkamer lemon tetraploids more than diploids under moderate and high salt stress. Fruits 2020, 75, 204–215. [Google Scholar] [CrossRef]
- Jajoo, A. Changes in photosystem II in response to salt stress. In Ecophysiology and Responses of Plants under Salt Stress; Springer New York: New York, NY, USA, 2012; pp. 149–168. [Google Scholar]
- Bjorkman, O. Photon yield of O2 evolution and chlorophyll fluorescence characteristics at 77 K among vascular plants of diverse origins. Planta 1987, 170, 489–504. [Google Scholar] [CrossRef] [PubMed]
- Maxwell, K.; Johnson, G.N. Chlorophyll fluorescence—A practical guide. J. Exp. Bot. 2000, 51, 659–668. [Google Scholar] [CrossRef]
- Wu, X.; Zhu, Z.; Li, X.; Zha, D. Effects of cytokinin on photosynthetic gas exchange, chlorophyll fluorescence parameters and antioxidative system in seedlings of eggplant (Solanum melongena L.) under salinity stress. Acta Physiol. Plant. 2012, 34, 2105–2114. [Google Scholar] [CrossRef]
- Alkhatib, R.; Abdo, N.; Mheidat, M. Photosynthetic and ultrastructural properties of eggplant (Solanum melongena) under salinity stress. Horticulturae 2021, 7, 181. [Google Scholar] [CrossRef]
- Ali, S.; Mehmood, A.; Khan, N. Uptake, translocation, and consequences of nanomaterials on plant growth and stress adaptation. J. Nanomater. 2021, 2021, 6677616. [Google Scholar] [CrossRef]
- Li, Z.; Juneau, P.; Lian, Y.; Zhang, W.; Wang, S.; Wang, C.; Shu, L.; Yan, Q.; He, Z.; Xu, K. Effects of titanium dioxide nanoparticles on photosynthetic and antioxidative processes of Scenedesmus obliquus. Plants 2020, 9, 1748. [Google Scholar] [CrossRef]
- Singh, S.; Husen, A. Role of nanomaterials in the mitigation of abiotic stress in plants. In Nanomaterials and Plant Potential; Springer: Berlin/Heidelberg, Germany, 2019; pp. 441–471. [Google Scholar]
- Mohammadi, M.H.Z.; Panahirad, S.; Navai, A.; Bahrami, M.K.; Kulak, M.; Gohari, G. Cerium oxide nanoparticles (CeO2-NPs) improve growth parameters and antioxidant defense system in Moldavian Balm (Dracocephalum moldavica L.) under salinity stress. Plant Stress 2021, 1, 100006. [Google Scholar] [CrossRef]
- Martínez-Ballesta, M.C.; Zapata, L.; Chalbi, N.; Carvajal, M. Multiwalled carbon nanotubes enter broccoli cells enhancing growth and water uptake of plants exposed to salinity. J. Nanobiotechnol. 2016, 14, 42. [Google Scholar] [CrossRef] [PubMed]
- Alsaeedi, A.; El-Ramady, H.; Alshaal, T.; El-Garawany, M.; Elhawat, N.; Al-Otaibi, A. Silica nanoparticles boost growth and productivity of cucumber under water deficit and salinity stresses by balancing nutrients uptake. Plant Physiol. Biochem. 2019, 139, 1–10. [Google Scholar] [CrossRef] [PubMed]
- Chen, D.; Wang, S.; Yin, L.; Deng, X. How does silicon mediate plant water uptake and loss under water deficiency? Front. Plant Sci. 2018, 9, 281. [Google Scholar] [CrossRef] [PubMed]
- Gill, S.S.; Tuteja, N. Reactive oxygen species and antioxidant machinery in abiotic stress tolerance in crop plants. Plant Physiol. Biochem. 2010, 48, 909–930. [Google Scholar] [CrossRef]
- Shah, T.; Latif, S.; Saeed, F.; Ali, I.; Ullah, S.; Alsahli, A.A.; Jan, S.; Ahmad, P. Seed priming with titanium dioxide nanoparticles enhances seed vigor, leaf water status, and antioxidant enzyme activities in maize (Zea mays L.) under salinity stress. J. King Saud Univ. -Sci. 2021, 33, 101207. [Google Scholar] [CrossRef]
- Mozafari, A.A.; Ghadakchi asl, A.; Ghaderi, N. Grape response to salinity stress and role of iron nanoparticle and potassium silicate to mitigate salt induced damage under in vitro conditions. Physiol. Mol. Biol. Plants 2018, 24, 25–35. [Google Scholar] [CrossRef]
- Dionisio-Sese, M.L.; Tobita, S. Antioxidant responses of rice seedlings to salinity stress. Plant Sci. 1998, 135, 1–9. [Google Scholar] [CrossRef]
- Foyer, C.; Lelandais, M.; Galap, C.; Kunert, K.J. Effects of elevated cytosolic glutathione reductase activity on the cellular glutathione pool and photosynthesis in leaves under normal and stress conditions. Plant Physiol. 1991, 97, 863–872. [Google Scholar] [CrossRef]
- Omar, S.A.; Elsheery, N.I.; Pashkovskiy, P.; Kuznetsov, V.; Allakhverdiev, S.I.; Zedan, A.M. Impact of titanium oxide nanoparticles on growth, pigment content, membrane stability, DNA damage, and stress-related gene expression in Vicia faba under saline conditions. Horticulturae 2023, 9, 1030. [Google Scholar] [CrossRef]
- Tichá, T.; Samakovli, D.; Kuchařová, A.; Vavrdová, T.; Šamaj, J. Multifaceted roles of HEAT SHOCK PROTEIN 90 molecular chaperones in plant development. J. Exp. Bot. 2020, 71, 3966–3985. [Google Scholar] [CrossRef]
- Cox, A.; Venkatachalam, P.; Sahi, S.; Sharma, N. Silver and titanium dioxide nanoparticle toxicity in plants: A review of current research. Plant Physiol. Biochem. 2016, 107, 147–163. [Google Scholar] [CrossRef]
- Demir, E.; Kaya, N.; Kaya, B. Genotoxic effects of zinc oxide and titanium dioxide nanoparticles on root meristem cells of Allium cepa by comet assay. Turk. J. Biol. 2014, 38, 31–39. [Google Scholar] [CrossRef]









Disclaimer/Publisher’s Note: The statements, opinions and data contained in all publications are solely those of the individual author(s) and contributor(s) and not of MDPI and/or the editor(s). MDPI and/or the editor(s) disclaim responsibility for any injury to people or property resulting from any ideas, methods, instructions or products referred to in the content. |
© 2024 by the authors. Licensee MDPI, Basel, Switzerland. This article is an open access article distributed under the terms and conditions of the Creative Commons Attribution (CC BY) license (https://creativecommons.org/licenses/by/4.0/).
Share and Cite
Khalid, M.F.; Jawaid, M.Z.; Nawaz, M.; Shakoor, R.A.; Ahmed, T. Employing Titanium Dioxide Nanoparticles as Biostimulant against Salinity: Improving Antioxidative Defense and Reactive Oxygen Species Balancing in Eggplant Seedlings. Antioxidants 2024, 13, 1209. https://doi.org/10.3390/antiox13101209
Khalid MF, Jawaid MZ, Nawaz M, Shakoor RA, Ahmed T. Employing Titanium Dioxide Nanoparticles as Biostimulant against Salinity: Improving Antioxidative Defense and Reactive Oxygen Species Balancing in Eggplant Seedlings. Antioxidants. 2024; 13(10):1209. https://doi.org/10.3390/antiox13101209
Chicago/Turabian StyleKhalid, Muhammad Fasih, Muhammad Zaid Jawaid, Muddasir Nawaz, Rana Abdul Shakoor, and Talaat Ahmed. 2024. "Employing Titanium Dioxide Nanoparticles as Biostimulant against Salinity: Improving Antioxidative Defense and Reactive Oxygen Species Balancing in Eggplant Seedlings" Antioxidants 13, no. 10: 1209. https://doi.org/10.3390/antiox13101209
APA StyleKhalid, M. F., Jawaid, M. Z., Nawaz, M., Shakoor, R. A., & Ahmed, T. (2024). Employing Titanium Dioxide Nanoparticles as Biostimulant against Salinity: Improving Antioxidative Defense and Reactive Oxygen Species Balancing in Eggplant Seedlings. Antioxidants, 13(10), 1209. https://doi.org/10.3390/antiox13101209

