Valorization of Strawberry Tree Berries and Beeswax from Montesinho Natural Park for Cosmetic Industry—A Case Study Formulation
Abstract
1. Introduction
2. Materials and Methods
2.1. Chemicals and Reagents
2.2. Beeswax
2.2.1. Beeswax Lipid Profile
2.2.2. Beeswax Carotenoid Profile
2.2.3. Beeswax Contaminant Screening Analysis
2.3. Arbutus unedo L.
2.3.1. Ultrasound-Assisted Extraction
2.3.2. Determination of the Total Phenolic Content (TPC)
2.3.3. In Vitro Antioxidant/Antiradical Activities
Ferric Reducing Antioxidant Power (FRAP) Assay
ABTS Radical Scavenging Assay
DPPH Free Radical Scavenging Assay
2.3.4. Reactive Oxygen Species (ROS) Scavenging Capacity
Hypochlorous Acid Scavenging Assay
Superoxide Radical Scavenging Assay
Peroxyl Radical Scavenging Assay
2.3.5. Polyphenolic Profile
2.3.6. Anthocyanins Determination
2.3.7. Carotenoid Profile
2.3.8. Contaminants Screening Analysis
2.3.9. Cell Viability Assays
2.4. Cosmetic Product Development
2.4.1. Formulation of a Hydrophilic Cream
2.4.2. Formulation Characterization
Accelerated Stability by Centrifugation
pH
Color
Texture
Rheology
- Viscosity
- Thixotropy
- Amplitude Sweep Test
Long-Term Stability Evaluation
2.5. Statistical Analysis
3. Results and Discussion
3.1. Beeswax
3.1.1. Lipid Profile
3.1.2. Contaminant Screening Analysis
3.2. Arbutus unedo L. Extract
3.2.1. Chemical and Bioactivity Characterization
3.2.2. Cell Viability Assays
3.2.3. Contaminant Screening Analysis
3.3. Formulation Characterization
3.3.1. Accelerated Stability
3.3.2. pH
3.3.3. Color
3.3.4. Texture
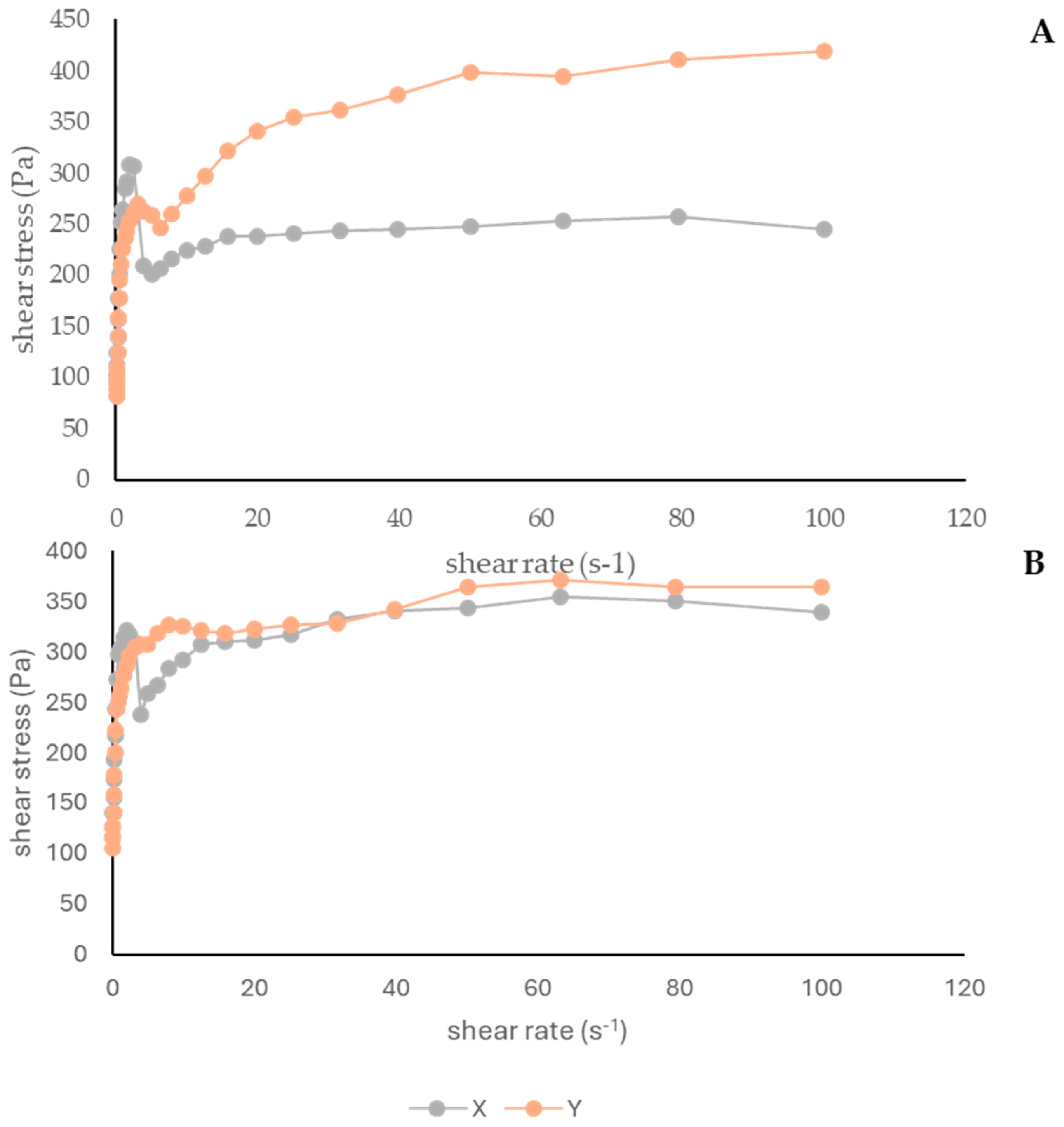
3.3.5. Rheology
Viscosity
Thixotropy
Amplitude Sweep Test
4. Conclusions
Author Contributions
Funding
Institutional Review Board Statement
Informed Consent Statement
Data Availability Statement
Acknowledgments
Conflicts of Interest
References
- Susano, P.; Silva, J.; Alves, C.; Martins, A.; Pinteus, S.; Gaspar, H.; Goettert, M.I.; Pedrosa, R. Saccorhiza polyschides—A Source of Natural Active Ingredients for Greener Skincare Formulations. Molecules 2022, 27, 6496. [Google Scholar] [CrossRef] [PubMed]
- Censi, R.; Vargas Peregrina, D.; Lacava, G.; Agas, D.; Lupidi, G.; Sabbieti, M.G.; Di Martino, P. Cosmetic Formulation Based on an Açai Extract. Cosmetics 2018, 5, 48. [Google Scholar] [CrossRef]
- Leite, F.d.G.; Oshiro Júnior, J.A.; Chiavacci, L.A.; Chiari-Andréo, B.G. Assessment of an anti-ageing structured cosmetic formulation containing goji berry. Braz. J. Pharm. Sci. 2019, 55, e17412. [Google Scholar] [CrossRef]
- Cefali, L.C.; Franco, J.G.; Nicolini, G.F.; Ataide, J.A.; Mazzola, P.G. In vitro antioxidant activity and solar protection factor of blackberry and raspberry extracts in topical formulation. J. Cosmet. Dermatol. 2019, 18, 539–544. [Google Scholar] [CrossRef] [PubMed]
- Pinto, D.; Lameirão, F.; Delerue-Matos, C.; Rodrigues, F.; Costa, P. Characterization and Stability of a Formulation Containing Antioxidants-Enriched Castanea sativa Shells Extract. Cosmetics 2021, 8, 49. [Google Scholar] [CrossRef]
- Almeida, I.F.; Maleckova, J.; Saffi, R.; Monteiro, H.; Góios, F.; Amaral, M.H.; Costa, P.C.; Garrido, J.; Silva, P.; Pestana, N.; et al. Characterization of an antioxidant surfactant-free topical formulation containing Castanea sativa leaf extract. Drug Dev. Ind. Pharm. 2015, 41, 148–155. [Google Scholar] [CrossRef]
- Pinto, D.; Braga, N.; Rodrigues, F.; Oliveira, M.B.P.P. Castanea sativa Bur: An Undervalued By-Product but a Promising Cosmetic Ingredient. Cosmetics 2017, 4, 50. [Google Scholar] [CrossRef]
- Rodríguez García, S.L.; Raghavan, V. Green extraction techniques from fruit and vegetable waste to obtain bioactive compounds—A review. Crc. Cr. Rev. Food Sci. 2022, 62, 6446–6466. [Google Scholar] [CrossRef]
- Dzah, C.S.; Duan, Y.; Zhang, H.; Wen, C.; Zhang, J.; Chen, G.; Ma, H. The effects of ultrasound assisted extraction on yield, antioxidant, anticancer and antimicrobial activity of polyphenol extracts: A review. Food Biosci. 2020, 35, 100547. [Google Scholar] [CrossRef]
- Fratini, F.; Cilia, G.; Turchi, B.; Felicioli, A. Beeswax: A minireview of its antimicrobial activity and its application in medicine. Asian Pac. J. Trop. Med. 2016, 9, 839–843. [Google Scholar] [CrossRef]
- Aguilar, F.; Autrup, H.; Barlow, S.; Castle, L.; Crebelli, R.; Dekant, W.; Engel, K.-H.; Gontard, N.; Gott, D.; Grilli, S. Beeswax (E 901) as a glazing agent and as carrier for flavours scientific opinion of the panel on food additives, flavourings, processing aids and materials in contact with food (AFC). EFSA J. 2007, 5, 615. [Google Scholar] [CrossRef]
- Felicioli, A.; Cilia, G.; Mancini, S.; Turchi, B.; Galaverna, G.; Cirlini, M.; Cerri, D.; Fratini, F. In vitro antibacterial activity and volatile characterisation of organic Apis mellifera ligustica (Spinola, 1906) beeswax ethanol extracts. Food Biosci. 2019, 29, 102–109. [Google Scholar] [CrossRef]
- Giampieri, F.; Quiles, J.L.; Cianciosi, D.; Forbes-Hernández, T.Y.; Orantes-Bermejo, F.J.; Alvarez-Suarez, J.M.; Battino, M. Bee Products: An Emblematic Example of Underutilized Sources of Bioactive Compounds. J. Agric. Food Chem. 2022, 70, 6833–6848. [Google Scholar] [CrossRef] [PubMed]
- Serra Bonvehi, J.; Orantes Bermejo, F.J. Detection of adulterated commercial Spanish beeswax. Food Chem. 2012, 132, 642–648. [Google Scholar] [CrossRef] [PubMed]
- Nong, Y.; Maloh, J.; Natarelli, N.; Gunt, H.B.; Tristani, E.; Sivamani, R.K. A review of the use of beeswax in skincare. J. Cosmet. Dermatol. 2023, 22, 2166–2173. [Google Scholar] [CrossRef]
- Stacey, R.J. The composition of some Roman medicines: Evidence for Pliny’s Punic wax? Anal. Bioanal. Chem. 2011, 401, 1749–1759. [Google Scholar] [CrossRef]
- Ben Salem, I.; Ouesleti, S.; Mabrouk, Y.; Landolsi, A.; Saidi, M.; Boulilla, A. Exploring the nutraceutical potential and biological activities of Arbutus unedo L. (Ericaceae) fruits. Ind. Crops Prod. 2018, 122, 726–731. [Google Scholar] [CrossRef]
- El Haouari, M.; Assem, N.; Changan, S.; Kumar, M.; Dastan, S.D.; Rajkovic, J.; Taheri, Y.; Sharifi-Rad, J. An Insight into Phytochemical, Pharmacological, and Nutritional Properties of Arbutus unedo L. from Morocco. Evid.-Based Compl. Alt. 2021, 2021, 1794621. [Google Scholar] [CrossRef]
- Bebek Markovinović, A.; Brčić Karačonji, I.; Jurica, K.; Lasić, D.; Skendrović Babojelić, M.; Duralija, B.; Šic Žlabur, J.; Putnik, P.; Bursać Kovačević, D. Strawberry Tree Fruits and Leaves (Arbutus unedo L.) as Raw Material for Sustainable Functional Food Processing: A Review. Horticulturae 2022, 8, 881. [Google Scholar] [CrossRef]
- Martins, J.; Pinto, G.; Canhoto, J. Biotechnology of the multipurpose tree species Arbutus unedo: A review. J. For. Res. 2022, 33, 14. [Google Scholar] [CrossRef]
- INCI Decoder. Arbutus unedo Fruit Extract. Available online: https://incidecoder.com/ingredients/arbutus-unedo-fruit-extract (accessed on 16 August 2023).
- CLARINS. Europe—Strawberry Tree. Available online: https://ae.clarins.com/en/explore-beauty-trip/arbousier.html (accessed on 16 August 2023).
- Yusoff, I.M.; Mat Taher, Z.; Rahmat, Z.; Chua, L.S. A review of ultrasound-assisted extraction for plant bioactive compounds: Phenolics, flavonoids, thymols, saponins and proteins. Food Res. Int. 2022, 157, 111268. [Google Scholar] [CrossRef] [PubMed]
- Ribeiro, A.S.; Estanqueiro, M.; Oliveira, M.B.; Sousa Lobo, J.M. Main Benefits and Applicability of Plant Extracts in Skin Care Products. Cosmetics 2015, 2, 48–65. [Google Scholar] [CrossRef]
- Nohynek, G.J.; Antignac, E.; Re, T.; Toutain, H. Safety assessment of personal care products/cosmetics and their ingredients. Toxicol. Appl. Pharmacol. 2010, 243, 239–259. [Google Scholar] [CrossRef] [PubMed]
- Folch, J.; Lees, M.; Sloane Stanley, G.H. A simple method for the isolation and purification of total lipids from animal tissues. J. Biol. Chem. 1957, 226, 497–509. [Google Scholar] [CrossRef] [PubMed]
- Ozório, R.; Escorcio, C.; Bessa, R.; Ramos, B.; Gonçalves, J. Comparative effects of dietary l-carnitine supplementation on diploid and triploid rainbow trout (Oncorhynchus mykiss). Aquac. Nutr. 2012, 18, 189–201. [Google Scholar] [CrossRef]
- Bondia-Pons, I.; Moltó-Puigmartí, C.; Castellote, A.I.; López-Sabater, M.C. Determination of conjugated linoleic acid in human plasma by fast gas chromatography. J. Chromatogr. A 2007, 1157, 422–429. [Google Scholar] [CrossRef]
- Fernandes, F.; Barbosa, M.; Oliveira, A.P.; Azevedo, I.C.; Sousa-Pinto, I.; Valentão, P.; Andrade, P.B. The pigments of kelps (Ochrophyta) as part of the flexible response to highly variable marine environments. J. Appl. Phycol. 2016, 28, 3689–3696. [Google Scholar] [CrossRef]
- Chiesa, L.M.; Labella, G.F.; Giorgi, A.; Panseri, S.; Pavlovic, R.; Bonacci, S.; Arioli, F. The occurrence of pesticides and persistent organic pollutants in Italian organic honeys from different productive areas in relation to potential environmental pollution. Chemosphere 2016, 154, 482–490. [Google Scholar] [CrossRef]
- Perestrelo, R.; Silva, P.; Porto-Figueira, P.; Pereira, J.A.M.; Silva, C.; Medina, S.; Câmara, J.S. QuEChERS—Fundamentals, relevant improvements, applications and future trends. Anal. Chim. Acta 2019, 1070, 1–28. [Google Scholar] [CrossRef]
- Silva, A.M.; Pinto, D.; Moreira, M.M.; Costa, P.C.; Delerue-Matos, C.; Rodrigues, F. Valorization of Kiwiberry Leaves Recovered by Ultrasound-Assisted Extraction for Skin Application: A Response Surface Methodology Approach. Antioxidants 2022, 11, 763. [Google Scholar] [CrossRef]
- Singleton, V.L.; Rossi, J.A. Colorimetry of total phenolics with phosphomolybdic-phosphotungstic acid reagents. Am. J. Sci. 1965, 16, 144–158. [Google Scholar] [CrossRef]
- Pinto, D.; Cádiz-Gurrea, M.d.l.L.; Sut, S.; Ferreira, A.S.; Leyva-Jimenez, F.J.; Dall’Acqua, S.; Segura-Carretero, A.; Delerue-Matos, C.; Rodrigues, F. Valorisation of underexploited Castanea sativa shells bioactive compounds recovered by supercritical fluid extraction with CO2: A response surface methodology approach. J. CO2 Util. 2020, 40, 101194. [Google Scholar] [CrossRef]
- Benzie, I.F.F.; Strain, J.J. [2] Ferric reducing/antioxidant power assay: Direct measure of total antioxidant activity of biological fluids and modified version for simultaneous measurement of total antioxidant power and ascorbic acid concentration. In Methods in Enzymology; Academic Press: Cambridge, MA, USA, 1999; Volume 299, pp. 15–27. [Google Scholar]
- Re, R.; Pellegrini, N.; Proteggente, A.; Pannala, A.; Yang, M.; Rice-Evans, C. Antioxidant activity applying an improved ABTS radical cation decolorization assay. Free Radic. Biol. Med. 1999, 26, 1231–1237. [Google Scholar] [CrossRef] [PubMed]
- Barros, L.; Baptista, P.; Ferreira, I.C.F.R. Effect of Lactarius piperatus fruiting body maturity stage on antioxidant activity measured by several biochemical assays. Food Chem. Toxicol. 2007, 45, 1731–1737. [Google Scholar] [CrossRef] [PubMed]
- Gomes, A.; Fernandes, E.; Silva, A.M.; Santos, C.M.; Pinto, D.C.; Cavaleiro, J.A.; Lima, J.L. 2-Styrylchromones: Novel strong scavengers of reactive oxygen and nitrogen species. Bioorg. Med. Chem. 2007, 15, 6027–6036. [Google Scholar] [CrossRef] [PubMed]
- Moreira, M.M.; Barroso, M.F.; Boeykens, A.; Withouck, H.; Morais, S.; Delerue-Matos, C. Valorization of apple tree wood residues by polyphenols extraction: Comparison between conventional and microwave-assisted extraction. Ind. Crops Prod. 2017, 104, 210–220. [Google Scholar] [CrossRef]
- Nile, S.; Kim, D.; Keum, Y.-S. Determination of Anthocyanin Content and Antioxidant Capacity of Different Grape Varieties. Cienc. Tec. Vitivinic. 2015, 30, 60–68. [Google Scholar] [CrossRef]
- Silva, A.M.; Lago, J.P.; Pinto, D.; Moreira, M.M.; Grosso, C.; Cruz Fernandes, V.; Delerue-Matos, C.; Rodrigues, F. Salicornia ramosissima Bioactive Composition and Safety: Eco-Friendly Extractions Approach (Microwave-Assisted Extraction vs. Conventional Maceration). Appl. Sci. 2021, 11, 4744. [Google Scholar] [CrossRef]
- Pinto, D.; Vieira, E.F.; Peixoto, A.F.; Freire, C.; Freitas, V.; Costa, P.; Delerue-Matos, C.; Rodrigues, F. Optimizing the extraction of phenolic antioxidants from chestnut shells by subcritical water extraction using response surface methodology. Food Chem. 2021, 334, 127521. [Google Scholar] [CrossRef]
- Jiménez, J.J.; Bernal, J.L.; Aumente, S.; Toribio, L.; Bernal, J. Quality assurance of commercial beeswax: II. Gas chromatography–electron impact ionization mass spectrometry of alcohols and acids. J. Chromatogr. A 2003, 1007, 101–116. [Google Scholar] [CrossRef]
- Jiménez, J.J.; Bernal, J.L.; del Nozal, M.J.; Martín, M.T.; Bernal, J. Sample preparation methods for beeswax characterization by gas chromatography with flame ionization detection. J. Chromatogr. A 2006, 1129, 262–272. [Google Scholar] [CrossRef] [PubMed]
- Buchwald, R.; Breed, M.D.; Bjostad, L.; Hibbard, B.E.; Greenberg, A.R. The role of fatty acids in the mechanical properties of beeswax. Apidologie 2009, 40, 585–594. [Google Scholar] [CrossRef]
- Yang, M.; Zhou, M.; Song, L. A review of fatty acids influencing skin condition. J. Cosmet. Dermatol. 2020, 19, 3199–3204. [Google Scholar] [CrossRef] [PubMed]
- Tanojo, H.; Boelsma, E.; Junginger, H.E.; Ponec, M.; Boddé, H.E. In vivo Human Skin Barrier Modulation by Topical Application of Fatty Acids. Skin Pharmacol. Appl. Skin Physiol. 1998, 11, 87–97. [Google Scholar] [CrossRef]
- Lin, T.-K.; Zhong, L.; Santiago, J.L. Anti-Inflammatory and Skin Barrier Repair Effects of Topical Application of Some Plant Oils. Int. J. Mol. Sci. 2018, 19, 70. [Google Scholar] [CrossRef]
- European Union. Regulation (EC) No 1223/2009 of the European Parliament and of the Council of 30 November 2009 on Cosmetic Products; 1223/2009; European Union: Brussels, Belgium, 2009. [Google Scholar]
- Zitouni, H.; Hssaini, L.; Ouaabou, R.; Viuda-Martos, M.; Hernández, F.; Ercisli, S.; Ennahli, S.; Messaoudi, Z.; Hanine, H. Exploring Antioxidant Activity, Organic Acid, and Phenolic Composition in Strawberry Tree Fruits (Arbutus unedo L.) Growing in Morocco. Plants 2020, 9, 1677. [Google Scholar] [CrossRef]
- Izcara, S.; Morante-Zarcero, S.; Casado, N.; Sierra, I. Study of the Phenolic Compound Profile of Arbutus unedo L. Fruits at Different Ripening Stages by HPLC-TQ-MS/MS. Appl. Sci. 2021, 11, 11616. [Google Scholar] [CrossRef]
- Mendes, L.; de Freitas, V.; Baptista, P.; Carvalho, M. Comparative antihemolytic and radical scavenging activities of strawberry tree (Arbutus unedo L.) leaf and fruit. Food Chem. Toxicol. 2011, 49, 2285–2291. [Google Scholar] [CrossRef]
- Barros, L.; Carvalho, A.M.; Morais, J.S.; Ferreira, I.C.F.R. Strawberry-tree, blackthorn and rose fruits: Detailed characterisation in nutrients and phytochemicals with antioxidant properties. Food Chem. 2010, 120, 247–254. [Google Scholar] [CrossRef]
- Boulanouar, B.; Abdelaziz, G.; Aazza, S.; Gago, C.; Miguel, M.G. Antioxidant activities of eight Algerian plant extracts and two essential oils. Ind. Crops Prod. 2013, 46, 85–96. [Google Scholar] [CrossRef]
- Fortalezas, S.; Tavares, L.; Pimpão, R.; Tyagi, M.; Pontes, V.; Alves, P.M.; McDougall, G.; Stewart, D.; Ferreira, R.B.; Santos, C.N. Antioxidant Properties and Neuroprotective Capacity of Strawberry Tree Fruit (Arbutus unedo). Nutrients 2010, 2, 214–229. [Google Scholar] [CrossRef] [PubMed]
- Ayaza, F.A.; Kucukislamoglu, M.; Reunanen, M. Sugar, Non-volatile and Phenolic Acids Composition of Strawberry Tree (Arbutus unedo L. var.ellipsoidea) Fruits. J. Food Compos. Anal. 2000, 13, 171–177. [Google Scholar] [CrossRef]
- Pimpao, R.C.; Dew, T.; Oliveira, P.B.; Williamson, G.; Ferreira, R.B.; Santos, C.N. Analysis of phenolic compounds in Portuguese wild and commercial berries after multienzyme hydrolysis. J. Agric. Food Chem. 2013, 61, 4053–4062. [Google Scholar] [CrossRef] [PubMed]
- Guimaraes, R.; Barros, L.; Duenas, M.; Carvalho, A.M.; Queiroz, M.J.R.P.; Santos-Buelga, C.; Ferreira, I.C.F.R. Characterisation of phenolic compounds in wild fruits from Northeastern Portugal. Food Chem. 2013, 141, 3721–3730. [Google Scholar] [CrossRef] [PubMed]
- Hwang, E.; Park, S.-Y.; Lee, H.J.; Lee, T.Y.; Sun, Z.-W.; Yi, T.H. Gallic Acid Regulates Skin Photoaging in UVB-exposed Fibroblast and Hairless Mice. Phytother. Res. 2014, 28, 1778–1788. [Google Scholar] [CrossRef]
- Senthil Kumar, K.; Vani, M.; Wang, S.-Y.; Liao, J.-W.; Hsu, L.-S.; Yang, H.-L.; Hseu, Y.-C. In vitro and in vivo studies disclosed the depigmenting effects of gallic acid: A novel skin lightning agent for hyperpigmentary skin diseases. BioFactors 2013, 39, 259–270. [Google Scholar] [CrossRef]
- Bae, J.; Kim, N.; Shin, Y.; Kim, S.-Y.; Kim, Y.-J. Activity of catechins and their applications. Biomed. Dermatol. 2020, 4, 8. [Google Scholar] [CrossRef]
- Yoshino, S.; Mitoma, T.; Tsuruta, K.; Todo, H.; Sugibayashi, K. Effect of emulsification on the skin permeation and UV protection of catechin. Pharm. Dev. Technol. 2014, 19, 395–400. [Google Scholar] [CrossRef]
- Bebek Markovinović, A.; Brdar, D.; Putnik, P.; Bosiljkov, T.; Durgo, K.; Huđek Turković, A.; Brčić Karačonji, I.; Jurica, K.; Pavlić, B.; Granato, D.; et al. Strawberry tree fruits (Arbutus unedo L.): Bioactive composition, cellular antioxidant activity, and 3D printing of functional foods. Food Chem. 2024, 433, 137287. [Google Scholar] [CrossRef]
- Olatunji, O.S. Evaluation of selected polychlorinated biphenyls (PCBs) congeners and dichlorodiphenyltrichloroethane (DDT) in fresh root and leafy vegetables using GC-MS. Sci. Rep. 2019, 9, 538. [Google Scholar] [CrossRef]
- Fernandes, F.; Barroso, M.F.; De Simone, A.; Emriková, E.; Dias-Teixeira, M.; Pereira, J.P.; Chlebek, J.; Fernandes, V.C.; Rodrigues, F.; Andrisano, V.; et al. Multi-target neuroprotective effects of herbal medicines for Alzheimer’s disease. J. Ethnopharmacol. 2022, 290, 115107. [Google Scholar] [CrossRef] [PubMed]
- Luo, L.; Dong, L.; Huang, Q.; Ma, S.; Fantke, P.; Li, J.; Jiang, J.; Fitzgerald, M.; Yang, J.; Jia, Z.; et al. Detection and risk assessments of multi-pesticides in 1771 cultivated herbal medicines by LC/MS-MS and GC/MS-MS. Chemosphere 2021, 262, 127477. [Google Scholar] [CrossRef] [PubMed]
- de Oliveira, Â.Z.M. Desenvolvimento de Formulações Cosméticas com Ácido Hialurónico. Master’s Thesis, Faculdade de Farmácia da Universidade do Porto, Porto, Portugal, 2011. [Google Scholar]
- Fenny Indah, S.; Desy, N.; Dina, F. Overview: Application of Carbopol 940 in Gel. In Proceedings of the International Conference on Health and Medical Sciences (AHMS 2020); Atlantis Press: Amsterdam, The Netherlands, 2021; pp. 80–84. [Google Scholar]
- Lukić, M.; Pantelić, I.; Savić, S.D. Towards Optimal pH of the Skin and Topical Formulations: From the Current State of the Art to Tailored Products. Cosmetics 2021, 8, 69. [Google Scholar] [CrossRef]
- da Silva Santos, P.S. Desenvolvimento e Caracterização de Microemulsões e Microemulgeles Contendo Ibuprofeno; Faculdade de Farmácia da Universidade do Porto: Porto, Portugal, 2015. [Google Scholar]
- Silva, A.C.; Amaral, M.H.; González-Mira, E.; Santos, D.; Ferreira, D. Solid lipid nanoparticles (SLN)—Based hydrogels as potential carriers for oral transmucosal delivery of risperidone: Preparation and characterization studies. Colloids Surf. B Biointerfaces 2012, 93, 241–248. [Google Scholar] [CrossRef]
- Tichota, D.M.; Silva, A.C.; Sousa Lobo, J.M.; Amaral, M.H. Design, characterization, and clinical evaluation of argan oil nanostructured lipid carriers to improve skin hydration. Int. J. Nanomedicine 2014, 9, 3855–3864. [Google Scholar] [CrossRef]
- Dobraszczyk, B.J.; Morgenstern, M.P. Rheology and the breadmaking process. J. Cereal Sci. 2003, 38, 229–245. [Google Scholar] [CrossRef]
- Lee, C.H.; Moturi, V.; Lee, Y. Thixotropic property in pharmaceutical formulations. J. Control. Release 2009, 136, 88–98. [Google Scholar] [CrossRef]
- Di Mambro, V.M.; Fonseca, M.J.V. Assays of physical stability and antioxidant activity of a topical formulation added with different plant extracts. J. Pharm. Biomed. Anal. 2005, 37, 287–295. [Google Scholar] [CrossRef]









| Ingredients | X | Y |
|---|---|---|
| Glycerin | 10.0 | 10.0 |
| Kathon® CG | 0.1 | 0.1 |
| Tween® 80 | 5.0 | 5.0 |
| Carbopol® 940 | 0.6 | 0.6 |
| A. unedo extract | - | 10.0 |
| Beeswax | 2.0 | 2.0 |
| Cetyl Alcohol | 15.0 | 15.0 |
| Triethanolamine | q.s. | q.s. |
| Purified Water | q.s. 100.0 | q.s. 100.0 |
| % Total of FA | RSD % | |
|---|---|---|
| SFA | ||
| C10:0 | 0.05 ± 1.79 × 10−5 | 4 |
| C12:0 | 0.17 ± 4.78 × 10−5 | 3 |
| C14:0 | 0.21 ± 2.38 × 10−4 | 11 |
| C16:0 | 63.60 ± 1.13 × 10−2 | 2 |
| C18:0 | 2.15 ± 1.99 × 10−4 | 1 |
| C20:0 | 0.56 ± 6.11 × 10−4 | 11 |
| C22:0 | 3.72 ± 7.33 × 10−5 | 0 |
| C23:0 | 0.17 ± 2.04 × 10−4 | 12 |
| C24:0 | 3.53 ± 2.06 × 10−3 | 6 |
| MUFA | ||
| C16:1 n-7 | 0.18 ± 2.79 × 10−4 | 16 |
| C18:1 n-9c | 15.55 ± 3.05 × 10−3 | 2 |
| C20:1 n-9 | 0.42 ± 5.82 × 10−4 | 14 |
| PUFA | ||
| C18:2 n-6c | 8.79 ± 8.03 × 10−3 | 9 |
| C18:3 n-3 | 0.91 ± 7.00 × 10−4 | 8 |
| Σ SFA | 74.10 ± 1.01 × 10−2 | 1 |
| Σ MUFA | 16.15 ± 2.75 × 10−3 | 2 |
| Σ PUFA | 9.70 ± 7.33 × 10−3 | 8 |
| Σ ω3 | 0.91 ± 7.00 × 10−4 | 8 |
| Σ ω6 | 8.79 ± 8.03 × 10−3 | 9 |
| Chemical Class | Contaminant | Retention Time (min) | Concentration (µg/L) | R2 | LOD (µg/L) | LOQ (µg/L) |
|---|---|---|---|---|---|---|
| OPEs | TToP = TCP | 48.2 | 8.38 | 0.999 | 0.780 | 2.58 |
| Extraction Time (min) | ABTS (mg AAE/g dw) | DPPH (mg TE/g dw) | FRAP (µmol FSE/g dw) | TPC (mg GAE/g dw) |
|---|---|---|---|---|
| 15 | 26.78 ± 1.86 b | 37.62 ± 3.19 b | 353.69 ± 16.05 c | 24.69 ± 1.87 c |
| 30 | 29.44 ± 1.70 a | 43.58 ± 3.33 a | 393.76 ± 14.92 b | 29.00 ± 1.08 a,b |
| 45 | 28.10 ± 1.02 a,b | 38.83 ± 1.20 b | 363.55 ± 17.67 c | 26.02 ± 0.85 c |
| 60 | 30.36 ± 1.67 a | 43.83 ± 2.95 a | 415.61 ± 14.29 a | 30.27 ± 1.31 a |
| 90 | 29.91 ± 2.38 a | 40.02 ± 2.76 a,b | 365.06 ± 15.68 c | 28.05 ± 0.72 b |
| Extraction Time (min) | HOCl | O2•− | ROO• (µmol TE/mg dw) |
|---|---|---|---|
| IC50 (µg/mL) | |||
| 15 | 17.23 ± 2.33 b | 342.44 ± 30.41 e | 0.23 ± 0.01 c |
| 30 | 31.63 ± 2.59 d | 288.25 ± 17.43 d | 0.11 ± 0.02 c |
| 45 | 24.43 ± 2.38 c | 176.25 ± 21.92 c | 0.21 ± 0.03 c |
| 60 | 19.78 ± 2.24 b | 90.51 ± 16.43 b | 0.19 ± 0.05 c |
| 90 | 29.60 ± 0.34 d | 156.82 ± 5.96 c | 0.17 ± 0.03 c |
| Positive control | |||
| Gallic Acid | 2.60 ± 0.14 a | 6.34 ± 0.53 a | 2.45 ± 0.54 b |
| Catechin | 0.20 ± 0.03 a | 18.01 ± 0.77 a | 6.37 ± 2.32 a |
| Compound | 15′ | 30′ | 45′ | 60′ | 90′ |
|---|---|---|---|---|---|
| mg/100 g | |||||
| Phenolic acids | |||||
| Gallic acid | 1528 ± 76 | 2033 ± 102 | 2238 ± 112 | 2180 ± 109 | 2063 ± 103 |
| Protocatechuic acid | ND | ND | ND | ND | 4.52 ± 0.23 |
| Neochlorogenic acid | 1.87 ± 0.09 | 1.90 ± 0.09 | 2.92 ± 0.15 | 0.93 ± 0.05 | 2.46 ± 0.12 |
| Caftaric acid | 2.19 ± 0.11 | 1.35 ± 0.07 | 9.46 ± 0.47 | 2.36 ± 0.12 | 1.71 ± 0.09 |
| Chlorogenic acid | 15.73 ± 0.79 | 5.47 ± 0.27 | 8.02 ± 0.40 | 6.61 ± 0.33 | 6.34 ± 0.32 |
| 4-O-caffeoylquinic acid | 12.38 ± 0.62 | 2.54 ± 0.13 | 9.12 ± 0.46 | 14.20 ± 0.71 | 11.94 ± 0.60 |
| Vanillic acid | 3.08 ± 0.15 | 2.36 ± 0.12 | 2.46 ± 0.12 | 2.46 ± 0.12 | 2.20 ± 0.11 |
| Caffeic acid | 0.80 ± 0.04 | 0.83 ± 0.04 | 1.31 ± 0.07 | 0.22 ± 0.01 | ND |
| Syringic acid | 6.79 ± 0.34 | 0.17 ± 0.01 | 3.58 ± 0.18 | 0.37 ± 0.02 | ND |
| p-Coumaric acid | 1.06 ± 0.05 | 0.65 ± 0.03 | 0.56 ± 0.03 | 0.62 ± 0.03 | 0.61 ± 0.03 |
| Ferulic acid | 13.85 ± 0.69 | 1.22 ± 0.06 | 7.68 ± 0.38 | 6.09 ± 0.30 | 4.22 ± 0.21 |
| Sinapic acid | 2.09 ± 0.10 | 2.00 ± 0.10 | 2.50 ± 0.13 | 2.77 ± 0.14 | 2.57 ± 0.13 |
| 3,5-di-caffeoylquinic acid | 0.99 ± 0.05 | ND | ND | ND | ND |
| Ellagic acid | 7.34 ± 0.37 | 1.65 ± 0.08 | 3.29 ± 0.16 | 1.64 ± 0.08 | 1.64 ± 0.08 |
| 4,5-di-O-caffeoylquinic acid | 2.09 ± 0.10 | 1.58 ± 0.08 | 2.63 ± 0.13 | 1.43 ± 0.07 | 1.54 ± 0.08 |
| Σ Phenolic acids | 1598 | 2055 | 2292 | 2220 | 2103 |
| Flavonols | |||||
| Quercetin-3-O-galactoside | 20.19 ± 1.01 | 8.71 ± 0.44 | 13.62 ± 0.68 | 13.96 ± 0.70 | 11.47 ± 0.57 |
| Myricetin | 3.71 ± 0.19 | 1.49 ± 0.07 | 2.22 ± 0.11 | 2.47 ± 0.12 | 2.36 ± 0.12 |
| Σ Flavonols | 23.90 | 10.20 | 15.84 | 16.43 | 13.83 |
| Flavan-3-ols | |||||
| Catechin | 36.78 ± 1.84 | 17.48 ± 0.87 | 16.72 ± 0.84 | 15.57 ± 0.78 | 14.94 ± 0.75 |
| Epicatechin | 37.23 ± 1.86 | 1.74 ± 0.09 | 20.12 ± 1.01 | 15.11 ± 0.76 | 9.80 ± 0.49 |
| (-)-gallocatechin | 24.0 ± 1.20 | 19.09 ± 0.95 | 20.76 ± 1.04 | 20.77 ± 1.04 | 21.5 ± 1.08 |
| (-)-epigallocatechin | 64.3 ± 3.22 | 17.92 ± 0.90 | 139 ± 6.93 | 147 ± 7.35 | 111 ± 5.57 |
| (-)-epicatechin gallate | <LOQ | <LOQ | <LOD | <LOQ | <LOQ |
| (-)-catechin gallate | <LOD | <LOQ | <LOQ | <LOQ | |
| Σ Flavan-3-ols | 162.31 | 56.23 | 196.60 | 198.45 | 157.24 |
| Stilbenes | |||||
| trans-polydatin | 1.16 ± 0.06 | ND | ND | 1.01 ± 0.05 | 0.59 ± 0.03 |
| Resveratrol | 0.99 ± 0.05 | ND | ND | ND | ND |
| Σ Stilbenes | 2.15 | ND | ND | 1.01 | 0.59 |
| Anthocyanins | |||||
| Pelargonidin chloride 3 | <LOQ | <LOQ | <LOQ | <LOD | <LOQ |
| Delphinidin-3-O-glucoside chloride | 19.8 ± 0.99 | <LOD | ND | <LOD | <LOD |
| Cyanidin-3-O-galactoside chloride | <LOQ | <LOD | ND | <LOD | <LOD |
| Cyanidin-3-O-glucoside chloride | 6.98 ± 0.35 | 6.11 ± 0.31 | 7.22 ± 0.36 | 7.23 ± 0.36 | 7.69 ± 0.38 |
| Malvidin-3,5-di-O-glucoside chloride | <LOQ | <LOD | <LOQ | <LOQ | <LOQ |
| Petunidin-3-O-glucoside chloride | ND | <LOQ | <LOQ | <LOD | <LOD |
| Peonidin-3-O-glucoside chloride | 2.34 ± 0.12 | ND | ND | <LOQ | <LOQ |
| Malvidin-3-O-glucoside chloride | <LOD | 4.00 ± 0.20 | <LOD | <LOD | <LOD |
| Σ Anthocyanins | 29.12 | 10.11 | 7.22 | 7.23 | 7.69 |
| Tannins | |||||
| Procyanidin B1 | 10.7 ± 0.53 | 6.69 ± 0.33 | 7.54 ± 0.38 | 7.69 ± 0.38 | 7.70 ± 0.39 |
| Procyanidin B2 | 49.4 ± 2.47 | 48.65 ± 2.43 | 48.77 ± 2.44 | 46.63 ± 2.33 | 49.81 ± 2.49 |
| Σ Tannins | 60.10 | 55.34 | 56.31 | 54.32 | 49.81 |
| Other | |||||
| Caffeine | 8.08 ± 0.40 | 3.80 ± 0.19 | 3.85 ± 0.19 | 3.83 ± 0.19 | 3.73 ± 0.19 |
| Phloridzin | 6.68 ± 0.33 | 0.35 ± 0.02 | 2.68 ± 0.13 | 0.54 ± 0.03 | 0.78 ± 0.04 |
| Naringin | 0.78 ± 0.04 | ND | ND | ND | ND |
| Σ Other | 15.54 | 4.15 | 6.53 | 4.37 | 4.51 |
| Σ Total | 1891 | 2191 | 2574 | 2502 | 2336 |
| Extraction Time (min) | Concentrations (µg/mL) | |||
|---|---|---|---|---|
| 125 | 250 | 500 | 1000 | |
| 15 | 97.97 ± 19.23 a | 92.15 ± 16.22 a | 86.69 ± 18.74 a | 88.58 ± 14.55 a |
| 30 | 80.36 ± 2.37 a | 84.70 ± 13.51 a | 53.20 ± 11.04 b | 57.24 ± 6.16 b |
| 45 | 48.17 ± 8.58 a | 27.06 ± 4.12 b | 24.85 ± 2.48 b | 31.24 ± 5.07 b |
| 60 | 105.36 ± 8.27 a | 99.16 ± 6.63 a | 93.34 ± 4.99 a | 90.17 ± 14.90 a |
| 90 | 89.78 ± 4.54 a | 85.26 ± 9.17 a | 78.93 ± 3.93 a,b | 62.67 ± 8.42 b |
| Negative control | 0.00 ± 0.46 | |||
| Positive control | 103.68 ± 16.57 | |||
| Chemical Class | Contaminant | Retention Time (min) | Concentration (µg/L) | R2 | LOD (µg/L) | LOQ (µg/L) |
|---|---|---|---|---|---|---|
| OCPs | p,p’-DDE | 31.6 | <LOD | 0.999 | 0.709 | 2.37 |
| Color | pH | ||||
|---|---|---|---|---|---|
| C* | L* (Lightness) | a* (Redness) | b* (Yellowness) | ||
| X | |||||
| T0 | 7.81 | 84.10 b | −2.42 b | 7.43 a | 6.61 a |
| T60 | 9.24 | 82.68 a | −2.30 a | 8.96 b | 6.68 a |
| Y | |||||
| T0 | 11.41 | 82.96 b | −2.67 b | 11.09 a | 6.59 a |
| T60 | 11.30 | 79.20 a | −1.58 a | 11.19 b | 6.63 a |
Disclaimer/Publisher’s Note: The statements, opinions and data contained in all publications are solely those of the individual author(s) and contributor(s) and not of MDPI and/or the editor(s). MDPI and/or the editor(s) disclaim responsibility for any injury to people or property resulting from any ideas, methods, instructions or products referred to in the content. |
© 2024 by the authors. Licensee MDPI, Basel, Switzerland. This article is an open access article distributed under the terms and conditions of the Creative Commons Attribution (CC BY) license (https://creativecommons.org/licenses/by/4.0/).
Share and Cite
Lamas, M.; Silva, A.M.; Moreira, M.M.; Maia, M.L.; Domingues, V.F.; Delerue-Matos, C.; Amaral, M.H.; Fernandes, V.C.; Rodrigues, F. Valorization of Strawberry Tree Berries and Beeswax from Montesinho Natural Park for Cosmetic Industry—A Case Study Formulation. Antioxidants 2024, 13, 1152. https://doi.org/10.3390/antiox13101152
Lamas M, Silva AM, Moreira MM, Maia ML, Domingues VF, Delerue-Matos C, Amaral MH, Fernandes VC, Rodrigues F. Valorization of Strawberry Tree Berries and Beeswax from Montesinho Natural Park for Cosmetic Industry—A Case Study Formulation. Antioxidants. 2024; 13(10):1152. https://doi.org/10.3390/antiox13101152
Chicago/Turabian StyleLamas, Mariana, Ana Margarida Silva, Manuela M. Moreira, Maria Luz Maia, Valentina F. Domingues, Cristina Delerue-Matos, Maria Helena Amaral, Virgínia Cruz Fernandes, and Francisca Rodrigues. 2024. "Valorization of Strawberry Tree Berries and Beeswax from Montesinho Natural Park for Cosmetic Industry—A Case Study Formulation" Antioxidants 13, no. 10: 1152. https://doi.org/10.3390/antiox13101152
APA StyleLamas, M., Silva, A. M., Moreira, M. M., Maia, M. L., Domingues, V. F., Delerue-Matos, C., Amaral, M. H., Fernandes, V. C., & Rodrigues, F. (2024). Valorization of Strawberry Tree Berries and Beeswax from Montesinho Natural Park for Cosmetic Industry—A Case Study Formulation. Antioxidants, 13(10), 1152. https://doi.org/10.3390/antiox13101152

